Патент на изобретение №2213293
|
||||||||||||||||||||||||||
(54) УСТАНОВКА ДЛЯ ПОЛУЧЕНИЯ ВЫСОКОНАПОРНОЙ ПЕРЕГРЕТОЙ ВОДЫ
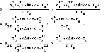
(57) Реферат: Изобретение предназначено для получения высоконапорной (до 20 МПа) перегретой (до 200-300oС) воды и может быть использовано в теплоэнергетике. Установка содержит парогенератор, дегазатор для подготовки питательной воды с трубопроводом подвода греющей среды, имеющим редукционное устройство, через которое проходит пар, произведенный парогенератором, трубопроводом подвода химически очищенной воды и отвода дегазированной воды с нагнетательным насосом для питательной воды и деаэратор. Деаэратор снабжен трубопроводами подвода воды, забираемой из природного источника на деаэрацию, подвода греющей среды от редукционного устройства и отвода деаэрированной воды. Трубопровод отвода деаэрированной воды из деаэратора подключен к входу нагнетательного насоса повышенного давления, выходной патрубок которого подключен к смесительному устройству, в которое подается по паропроводам пар, произведенный парогенератором, при этом к выходу смесительного устройства подключен раздаточный трубопровод перегретой воды потребителям. Изобретение позволяет повысить эффективность установки. 2 з.п.ф-лы, 3 ил. Изобретение относится к теплоэнергетике и может быть использовано для производства теплоносителя, например, перегретой воды с целью закачки высоконапорной горячей среды в нефтяные пласты. Известны устройства, так называемые парогенерирующие установки, позволяющие вырабатывать теплоноситель в виде пара [1, 2]. Подобные устройства могут быть использованы для паротеплового воздействия на нефтяные пласты, что позволяет повысить нефтеотдачу скважин [3, 4]. При этом эффект от паротеплового воздействия зависит от правильного выбора оборудования для нагнетания теплоносителя в нефтяные пласты, от оптимальности режимов работы этого оборудования. Так, в монографии [3] отмечается, что для теплового воздействия на пласт целесообразно применять перегретый пар высокого давления 9,0. . . 18,0 МПа и выше. С целью получения пара для таких нужд на месторождениях нефти используются различные парогенераторные установки как отечественного, так и зарубежного производства. Также известна парогенераторная установка, технологическая схема которой изображена на рис. 95 в монографии [3], которая состоит из котла, системы подачи топлива в котел, системы подготовки питательной воды для котла, обязательным элементом которой является дегазатор. В соответствии со схемой, приведенной на рис. 95 [3], исходная вода, восполняющая потери пара и конденсата в системе, насосом подается через подогреватели на аппараты химводоподготовки и далее в дегазатор. Питательная вода из дегазатора после дегазации питательным насосом направляется в парогенератор. После прохождения парогенератора нагретая пароводяная смесь (влажный пар) частично расходуется через понижающий редуктор на собственные нужды (дегазатор, подогреватели, отопительно-вентиляционные процессы), а основная масса влажного пара отводится в сеть нагнетательных скважин. Как отмечается в монографии [3], схема парогенераторной установки может видоизменяться в зависимости от многих факторов, в том числе от характеристик конкретного месторождения нефти. В частности, парогенераторные установки производят влажный пар, подаваемый под большим давлением в скважины, а конструктивные особенности скважин не позволяют использовать теплоноситель с температурой более 280oС. Так, например, парогенераторная установка типа УПГ – 60/160 согласно паспортным данным [5] производит влажный пар под давлением в 16,0 МПа с температурой 345oС, что не позволяет использовать такой высокотемпературный продукт для большинства скважин нефтяных месторождений, которые не имеют специальной термической защиты. Но и эти защитные покрытия позволяют повысить температуру используемого пара только до температуры 320oС. Наиболее близким аналогом заявленного изобретения является техническое решение [1], которое содержит парогенератор, дегазатор для подготовки питательной воды с трубопроводом подвода греющей среды, имеющим редукционное устройство, через которое проходит пар, произведенный парогенератором, трубопроводы подвода химически очищенной воды и отвода дегазированной воды с нагнетательным насосом для питательной воды и деаэратор. Адаптация существующих парогенераторных установок к конкретным условиям нефтедобычи обычно производится за счет перевода работы парогенераторной установки в режим перегретой воды. При этом снижается не только надежность работы самого парогенератора, но и его к.п.д. Использование в таких установках котлов перегретой воды из-за их более низкого к.п.д. по сравнению с парогенераторами также неэффективно. Более того, при работе парогенераторной установки в режиме перегретой воды увеличивается расход теплоносителя на дегазацию питательной воды, что снижает производительность установки по конечному продукту. Таким образом, основным недостатком использования парогенераторных установок для получения жидкого высоконапорного теплоносителя (перегретой воды) является их низкая эффективность, что проявляется в снижении производительности установки по конечному продукту. Цель изобретения – повышение эффективности установки по производству перегретой воды. Указанная цель достигается тем, что установка для получения высоконапорной перегретой воды содержит парогенератор, дегазатор для подготовки питательной воды с трубопроводом подвода греющей среды, имеющим редукционное устройство, через которое проходит пар, произведенный парогенератором, трубопроводом подвода химически очищенной воды и отвода дегазированной воды с нагнетательным насосом для питательной воды и деаэратор, при этом деаэратор снабжен трубопроводами подвода воды, забираемой из природного источника на деаэрацию, подвода греющей среды от редукционного устройства и отвода деаэрированной воды, причем трубопровод отвода деаэрированной воды из деаэратора подключен к входу нагнетательного насоса повышенного давления, выходной патрубок которого подключен к смесительному устройству, в которое подается по паропроводам пар, произведенный парогенератором, при этом к выходу смесительного устройства подключен раздаточный трубопровод перегретой воды потребителям. Кроме того, установка может дополнительно содержать парогенератор, который имеет свой отдельный дегазатор питательной воды, а упомянутые деаэратор для деаэрирования воды, забираемой из природного источника, смесительное устройство с нагнетательным насосом повышенного давления могут являться общими для обоих парогенераторов. Также установка дополнительно может содержать в своем составе парогенератор, упомянутый дегазатор является общим для обоих парогенераторов и при этом упомянутый нагнетательный насос для питательной воды может подавать воду в оба парогенератора. На трубопроводе отвода деаэрированной воды из упомянутого деаэратора, предназначенного для деаэрации воды, забираемой из природного источника, упомянутым нагнетательным насосом повышенного давления деаэрированная вода может подаваться в смесительное устройство, в которое подается основная часть пара, произведенная парогенераторами. К выходному патрубку смесительного устройства может быть подключен раздаточный трубопровод подачи перегретой воды потребителям. Деаэрация воды, забираемой из природного источника, необходима для снижения коррозионной активности перегретой воды, подаваемой потребителям. Более того, обычно в энергетических системах для повышения надежности ее работы используется несколько парогенераторных установок, часть из которых находится в работе, а часть – в ремонте. Такая совокупность парогенераторов, обычно называемая кустом, позволяет использовать более простую схему установки для получения перегретой воды. В частности, для такого случая можно использовать один дегазатор для подготовки питательной воды сразу на несколько котлов. Причем установка имеет только один дополнительный деаэратор для деаэрации воды, забираемой из природного источника, и одно смесительное устройство, в которое под давлением, соизмеримым с давлением питательной воды в котлах, подается деаэрированная в деаэраторе вода, для чего используется дополнительный нагнетательный насос. В смесительное устройство поступает и основная часть произведенного всеми парогенераторами в кусте пара. На фиг. 1 схематично показана установка для получения высоконапорной перегретой воды. На фиг. 2 и 3 показаны различные схемы установки для получения перегретой воды для случая одновременной работы нескольких (двух) парогенераторов. В соответствии с рисунком на фиг. 1 установка для получения высоконапорной перегретой воды содержит парогенератор 1, дегазатор 2 с трубопроводом 3 подвода греющей среды, подаваемой через редукционное устройство 4, трубопровод 5 подвода деаэрируемой воды от системы ее предварительной подготовки (система подогрева и химической обработки), не показанной на фиг. 1, трубопровод 6 отвода дегазированной воды с питательным насосом 7 для подачи воды в парогенератор 1. Установка снабжена дополнительным деаэратором 8 с трубопроводом 9 подвода греющей среды от редукционного устройства 4 и трубопроводом 10 подвода деаэрируемой воды, забираемой из природного источника без какой-либо химической ее обработки, и трубопроводом 11 отвода деаэрированной воды из дополнительного деаэратора, в который встроен дополнительный нагнетательный насос 12. Выходной патрубок насоса 12 подключен к трубопроводу высокого давления 13, который, как и основной паропровод 14, подсоединен к смесительному устройству 15, с выходом которого стыкуется раздаточный трубопровод 16 подачи перегретой воды потребителям. При работе установки химически очищенная и предварительно подогретая до 20-50oС вода по трубопроводу 5 поступает в дегазатор 2, где дегазируется, нагреваясь до 70-130oС за счет теплоносителя, поступающего по трубопроводу 3 и имеющего расчетную температуру, причем теплоноситель образован паром, произведенным парогенератором после прохождения редукционного устройства 4. Дегазированная вода по трубопроводу 6 поступает в насос 7, откуда под давлением, соответствующим давлению питательной воды, – в парогенератор 1. Часть выработанного в парогенераторе 1 пара через редукционное устройство 4 подается по трубопроводу 9 и в рабочую полость дополнительного деаэратора 8. При этом в дополнительный деаэратор 8 вода на деаэрацию и предварительный нагрев поступает из природного водоема по трубопроводу 10. Дегазированная в дегазаторе до 100-150 мкг остаточного кислорода на литр и нагретая до 70-100oС вода по трубопроводу 11 поступает в насос 12. Далее, деаэрированная вода насосом 12 под давлением, соизмеримым с давлением питательной воды, поступающей в парогенератор 1, подается по трубопроводу 13 в смесительное устройство 15, куда подается по трубопроводу 14 основная часть пара, вырабатываемого парогенератором 1. В смесительном устройстве 15 происходит конденсация пара и нагрев деаэрированной в дополнительном деаэраторе воды, в результате чего получается перегретая вода с температурой 200-300oС, которая по трубопроводу 16 подается потребителям. Такое техническое решение установки для получения высоконапорной перегретой воды позволит не только снизить расход греющей среды в дегазатор подготовки питательной воды, но и уменьшит относительное содержание химически очищенной воды в составе перегретой воды, подаваемой потребителям, что тем самым повышает экономичность установки. Расчеты показывают, что при этом значительно растет и производительность установки по объему получаемой перегретой воды. Более того, эффективность использования парогенераторных установок для получения перегретой воды можно еще более повысить в случае, когда техническая система по производству пара в своем составе имеет несколько парогенераторов, которые, как говорилось выше, образуют так называемый куст парогенераторов. Попарно объединяя два таких парогенератора в одну подсистему и введя в нее один дополнительный деаэратор, один дополнительный нагнетательный насос и одно смесительное устройство, можно добиться того же количества произведенной перегретой воды, которое производится двумя установками, собранными по схеме, изображенной на фиг. 1. Но при этом сама схема такой установки с двумя парогенераторами по производству перегретой воды будет значительно проще. Возможная схема установки для получения высоконапорной перегретой воды, имеющей в своем составе два парогенератора с системами подготовки питательной воды, один дополнительный деаэратор, а также один дополнительный нагнетательный насос и одно смесительное устройство, показана на фиг. 2. Обозначения позиций по фиг. 2 соответствуют обозначениям позиций по фиг. 1. Как следует из рисунка, изображенного на фиг. 2, схема установки для получения перегретой воды состоит из трех блоков, обозначенных римскими цифрами. При этом цифрами I и II обозначены блоки, в состав которых входят парогенераторы с дегазаторами питательной воды, а в состав блока III входит дополнительный деаэратор, дополнительный нагнетательный насос и смесительное устройство, в которое подается вода, прошедшая подогрев и деаэрацию в дополнительном деаэраторе, и основная часть произведенного парогенераторами пара. Исходя из первого приближения, пренебрегая потерями на выпар в дегазаторах и деаэраторе, можно оценить технические характеристики системы подготовки перегретой воды. Так, для схемы, представленной на фиг. 2, примем следующие обозначения: 1 – производительность одного котла;Х1 I, Х12 II – потребное количество (часовой расход) химически очищенной воды соответственно для первого и второго котла; Т1 I, Т1 II – температура химически очищенной воды, поступающей соответственно в первый и второй основные дегазаторы; Т2 I, Т2 II – температура питательной воды после основного дегазатора соответственно для первого и второго котлов; Т3 I, Т3 II – температура воды (пароводяной смеси) в системе после ее нагрева в котле; Т0, Х0 – температура и часовой расход воды, дегазируемой в дополнительном дегазаторе; Х, Т – массовый расход и температура перегретой воды, подготовленной установкой для получения высоконапорной воды, имеющей в своем составе два парогенератора и один дополнительный дегазатор со смесительным устройством. Н – удельная теплоемкость парообразования воды;С – удельная теплоемкость воды. Масса потребной химически очищенной воды, поступающей в соответствующий дегазатор, тогда будет определяться по зависимостям: ![]() ![]() Объем (масса) греющей среды, поступающей в соответствующий основной дегазатор, определим по следующей формуле: ![]() ![]() Тогда результирующее количество перегретой воды, производимое в час установкой для получения перегретой высоконапорной воды, имеющей температуру Т, при температуре 0 холодной воды, поступающей в дополнительный деаэратор из природного источника, будет равно: ![]() Часовой расход холодной воды, забираемой из природного источника и поступающей в дополнительный деаэратор, будет равен: ![]() Уравнения получены без учета потерь на выпар в дегазаторах и деаэраторе. Использование в установке для получения высоконапорной перегретой воды нескольких парогенераторов (не менее двух) позволяет еще более упростить схему установки, поскольку в этом случае можно уменьшить количество отдельных узлов системы. Так, если по схеме установки, изображенной на фиг. 2, каждый из парогенераторов имеет свой дегазатор питательной воды, свое редукционное устройство, то, в принципе, в установке можно ограничиться использованием в системе только одного редукционного устройства. При этом греющая среда после редукционного устройства поступает как в основной дегазатор, общий для всех парогенераторов, так и в дополнительный деаэратор. Упрощенная схема энергетической установки для производства перегретой высоконапорной воды, имеющей в своем составе два парогенератора, приведена на фиг. 3. Как и для схемы, изображенной на фиг. 2, в схеме, изображенной на фиг. 3, теми же позициями обозначены те же основные устройства и узлы, что и для схемы, приведенной на фиг. 1. Таким образом, предлагаемые технические решения установки для производства перегретой высоконапорной воды позволяют не только снизить расход греющей среды, подаваемой в дегазатор подготовки питательной воды, и уменьшить относительное содержание химически очищенной воды в составе перегретой воды, но и повышают производительность установки и надежность ее работы, что в целом повышает эффективность работы всей теплоэнергетической системы. Источники информации 1. SU 1028945, F 22 В 1/00; С 02 F 1/20, 15.07.1983. 2. SU 1076697, F 22 В 1/18, 28.02.1984. 3. Байбаков Н. К. , Гарушев А.Р. Тепловые методы разработки нефтяных месторождений. – М.: Недра; 1981. с.233, рис.95). 4. Желтов Ю.В., Кудинов В.И., Малофеев Г.Е. Разработка сложнопостроенных месторождений вязкой нефти в карбонатных коллекторах. – М.: Нефть и газ; 1997. 5. Инструкция по монтажу парогенераторной, водоподготовительной и механической части автоматизированной передвижной установки типа УПГ 60/160 для закачки высоконапорной горячей среды в нефтяные пласты. – Производственное объединение “Красный котельщик”; 1979. Формула изобретения 1. Установка для получения высоконапорной перегретой воды, содержащая парогенератор, дегазатор для подготовки питательной воды с трубопроводом подвода греющей среды, имеющим редукционное устройство, через которое проходит пар, произведенный парогенератором, трубопроводом подвода химически очищенной воды и отвода дегазированной воды с нагнетательным насосом для питательной воды и деаэратор, отличающаяся тем, что деаэратор снабжен трубопроводами подвода воды, забираемой из природного источника на деаэрацию, подвода греющей среды от редукционного устройства и отвода деаэрированной воды, причем трубопровод отвода деаэрированной воды из деаэратора подключен к входу нагнетательного насоса повышенного давления, выходной патрубок которого подключен к смесительному устройству, в которое подается по паропроводам пар, произведенный парогенератором, при этом к выходу смесительного устройства подключен раздаточный трубопровод перегретой воды потребителям. 2. Установка по п. 1, отличающаяся тем, что установка дополнительно содержит парогенератор, который имеет свой отдельный дегазатор питательной воды, а упомянутые деаэратор для деаэрирования воды, забираемой из природного источника, смесительное устройство с нагнетательным насосом повышенного давления являются общими для обоих парогенераторов. 3. Установка по п. 1, отличающаяся тем, что она дополнительно содержит в своем составе парогенератор, упомянутый дегазатор является общим для обоих парогенераторов, и при этом упомянутый нагнетательный насос для питательной воды подает воду в оба парогенератора, на трубопроводе отвода деаэрированной воды из упомянутого деаэратора, предназначенного для деаэрации воды, забираемой из природного источника, упомянутым нагнетательным насосом повышенного давления деаэрированная вода подается в смесительное устройство, в которое подается основная часть пара, произведенного парогенераторами, при этом к выходному патрубку смесительного устройства подключен раздаточный трубопровод подачи перегретой воды потребителям. РИСУНКИ
MM4A Досрочное прекращение действия патента Российской Федерации на изобретение из-за неуплаты в установленный срок пошлины за поддержание патента в силе
Дата прекращения действия патента: 15.08.2005
Извещение опубликовано: 10.11.2006 БИ: 31/2006
|
||||||||||||||||||||||||||

1 – производительность одного котла;
Н – удельная теплоемкость парообразования воды;




