Патент на изобретение №2213095
|
||||||||||||||||||||||||||
(54) МОДИФИЦИРОВАННЫЙ ОЛИГОМЕР НУКЛЕИНОВОЙ КИСЛОТЫ, МЕТОДЫ ЕГО ПОЛУЧЕНИЯ, МОДИФИЦИРОВАННЫЕ ПРОВОДЯЩИЕ ПОВЕРХНОСТИ, МЕТОДЫ ИХ ПОЛУЧЕНИЯ, МЕТОД ЭЛЕКТРОХИМИЧЕСКОГО ОПРЕДЕЛЕНИЯ СОБЫТИЙ ГИБРИДИЗАЦИИ ОЛИГОМЕРОВ НУКЛЕИНОВОЙ КИСЛОТЫ
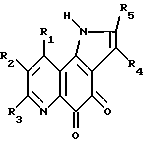
(57) Реферат: Изобретение относится к методу электрохимического определения событий гибридизации последовательность-специфичных олигомеров нуклеиновой кислоты. С этой целью одноцепочечные олигомерные ДНК, РНК и ПНК, которые одним концом ковалентно связаны с поверхностью носителя, а другим свободным концом ковалентно связаны с окислительно-восстановительной парой, используются в качестве гибридизационной матрицы (зонда). В результате обработки раствором исследуемого олигонуклеотида (мишени) электрическая связь между проводящей поверхностью носителя и окислительно-восстановительной парой, которые соединены одноцепочечным олигонуклеотидом, первоначально либо отсутствующая, либо слабая, модифицируется. В случае гибридизации эта электрическая связь между поверхностью носителя и окислительно-восстановительной парой, которые теперь соединены гибридизованным одноцепочечным олигонуклеотидом, усиливается. Это позволяет определять событие гибридизации с помощью таких методов, как циклическая вольтаметрия, амперометрия или измерение проводимости. 10 с. и 41 з.п. ф-лы. Текст описания в факсимильном виде (см. графическую часть) Та Формула изобретения 1. Олигомер нуклеиновой кислоты, модифицированный присоединением вещества, обладающего окислительно-восстановительной активностью, отличающийся тем, что вещество, обладающее окислительно-восстановительной активностью, является соединением, имеющим преимущественно плоскую р- -орбитальную систему, а именно, 1,2-нафтохинон следующей структуры![]() или 1,4-нафтохинон следующей структуры ![]() или 9,10-антрахинон следующей структуры ![]() или пирролхинолинхинон следующей структуры ![]() где R1-R8 являются, независимо друг от друга, Н или любыми алкильными, алкенильными алкинильными, гетероалкильными, гетероалкенильными или гетероалкинильными заместителями. 2. Олигомер нуклеиновой кислоты по п. 1, отличающийся тем, что вещество, обладающее окислительно-восстановительной активностью, является пирролхинолинхиноном следующей структуры ![]() где R2, R4= Н и R1, R3, R5= СООН. 3. Олигомер нуклеиновой кислоты по п. 1 или 2, отличающийся тем, что вещество, обладающее окислительно-восстановительной активностью, ковалентно присоединяется к одной из фосфорно-кислых, карбоксильных или аминогрупп, к одной из сахарных групп или к одному из оснований олигомера нуклеиновой кислоты, особенно к концевой части олигомера нуклеиновой кислоты. 4. Олигомер нуклеиновой кислоты по п. 1 или 2, отличающийся тем, что вещество, обладающее окислительно-восстановительной активностью, ковалентно присоединяется к разветвленной или линейной молекулярной части любого состава и длины цепи и разветвленная или линейная молекулярная часть присоединяется к одной из фосфорно-кислых, карбоксильных или аминогрупп, к одной из сахарных групп или к одному из оснований олигомера нуклеиновой кислоты, особенно к концевой части олигомера нуклеиновой кислоты. 5. Олигомер нуклеиновой кислоты по п. 4, отличающийся тем, что вещество. обладающее окислительно-восстановительной активностью, ковалентно присоединяется к разветвленной или линейной молекулярной части, наиболее короткое непрерывное звено которой между соединяемыми структурами содержит 1 – 14 атомов. 6. Олигомер нуклеиновой кислоты по любому из предшествующих пунктов, отличающийся тем, что упомянутый олигомер нуклеиновой кислоты может последовательность-специфично связывать одноцепочечную ДНК, РНК и ПНК. 7. Олигомер нуклеиновой кислоты по п. 6, отличающийся тем, что упомянутый олигомер нуклеиновой кислоты является олигомером дезоксирибонуклеиновой кислоты, олигомером рибонуклеиновой кислоты, олигомером пептидной нуклеиновой кислоты или олигомером нуклеиновой кислоты, имеющей структурно аналогичный скелет. 8. Метод получения модифицированного олигомера нуклеиновой кислоты по пп. 1-3, отличающийся тем, что вещество, обладающее окислительно-восстановительной активностью, связывается с олигомером нуклеиновой кислоты, причем это присоединение осуществляется по фосфорно-кислой или карбоксильной группе олигомера нуклеиновой кислоты посредством амидирования первичной или вторичной аминогруппой вещества, обладающего окислительно-восстановительной активностью, посредством этерификации первичной, вторичной или третичной спиртовой группой вещества, обладающего окислительно-восстановительной активностью, посредством образования тиоэфира первичной, вторичной или третичной тиоспиртовой группой вещества, обладающего окислительно-восстановительной активностью, или посредством конденсации аминогруппы этого олигомера нуклеиновой кислоты с альдегидной группой вещества, обладающего окислительно-восстановительной активностью. 9. Метод получения модифицированного олигомера нуклеиновой кислоты по пп. 4-7, отличающийся тем, что вещество, обладающее окислительно-восстановительной активностью, ковалентно присоединяется к разветвленной или линейной молекулярной части любого состава и длины цепи, причем это присоединение осуществляется по фосфорно-кислой или карбоксильной группе разветвленной или линейной молекулярной части посредством амидирования первичной или вторичной аминогруппой вещества, обладающего окислительно-восстановительной активностью, посредством этерификации первичной, вторичной или третичной спиртовой группой вещества, обладающего окислительно-восстановительной активностью, посредством образования тиоэфира первичной, вторичной или третичной тиоспиртовой группой вещества, обладающего окислительно-восстановительной активностью, или посредством конденсации аминогруппы разветвленной или линейной молекулярной части с альдегидной группой вещества, обладающего окислительно-восстановительной активностью. 10. Модифицированная проводящая поверхность, отличающаяся тем, что один или больше видов модифицированных олигомеров нуклеиновой кислоты по пп. 1-7, присоединены к проводящей поверхности. 11. Модифицированная проводящая поверхность по п. 10, отличающаяся тем, что она изготовлена из металла или металлического сплава, особенно металла, выбранного из группы, включающей платину, палладий, золото, кадмий, ртуть, никель, цинк, углерод, серебро, медь, железо, свинец, алюминий, магний и их соединения. 12. Модифицированная проводящая поверхность по п. 10, отличающаяся тем, что она изготовлена из полупроводника, особенно полупроводника, выбранного из группы, включающей углерод, кремний, германий и -олово.
13. Модифицированная проводящая поверхность по пп. 10-12, отличающаяся тем, что модифицированные олигомеры нуклеиновой кислоты присоединяются к проводящей поверхности ковалентно или посредством физической сорбции.
14. Модифицированная проводящая поверхность по п. 13, отличающаяся тем, что одна из фосфорно-кислых, карбоксильных или аминогрупп, одна из сахарных групп или одно из оснований олигомера нуклеиновой кислоты, присоединяется к проводящей поверхности ковалентно или посредством физической сорбции, особенно к концевой части олигомера нуклеиновой кислоты.
15. Модифицированная проводящая поверхность по одному из пп. 10-12, отличающаяся тем, что разветвленные или линейные молекулярные части любого состава и длины цепи, присоединяются к проводящей поверхности ковалентно или посредством физической сорбции и модифицированные олигомеры нуклеиновой кислоты ковалентно присоединяются к этим молекулярным частям.
16. Модифицированная проводящая поверхность по п. 15, отличающаяся тем, что разветвленная или линейная молекулярная часть содержит наиболее короткое непрерывное звено, содержащее 1 – 14 атомов между соединяемыми структурами.
17. Модифицированная проводящая поверхность по п. 15 или 16, отличающаяся тем, что разветвленная или линейная молекулярная часть ковалентно связывается с одной из фосфорно-кислых, карбоксильных или аминогрупп, с одной из сахарных групп или с одним из оснований олигомера нуклеиновой кислоты, особенно с концевой частью олигомера нуклеиновой кислоты.
18. Метод получения модифицированной проводящей поверхности по одному из пп. 10-17, отличающийся тем, что один или больше видов модифицированных олигомеров нуклеиновой кислоты по пп. 1-7, наносятся на проводящую поверхность.
19. Метод получения модифицированной проводящей поверхности по одному из пп. 10-17, отличающийся тем, что один или больше видов олигомеров нуклеиновой кислоты связываются с проводящей поверхностью и только эти олигомеры нуклеиновой кислоты, связанные с проводящей поверхностью, модифицируются присоединением вещества, обладающего окислительно-восстановительной активностью, к этим олигомерам нуклеиновой кислоты.
20. Метод получения модифицированной проводящей поверхности по п. 19, отличающийся тем, что присоединение вещества, обладающего окислительно-восстановительной активностью, к олигомеру нуклеиновой кислоты осуществляется посредством реакции вещества, обладающего окислительно-восстановительной активностью, с фосфорно-кислой группой, сахарной группой или одним из оснований олигомера нуклеиновой кислоты, главным образом посредством реакции с концевой частью олигомера нуклеиновой кислоты.
21. Метод получения модифицированной проводящей поверхности по п. 19, отличающийся тем, что вещество, обладающее окислительно-восстановительной активностью, ковалентно присоединяется к разветвленной или линейной молекулярной части любого состава и длины цепи, и разветвленная или линейная молекулярная часть присоединяется к одной из фосфорно-кислых, карбоксильных или аминогрупп, к одной из сахарных групп или к одному из оснований олигомера нуклеиновой кислоты, особенно к концевой части олигомера нуклеиновой кислоты.
22. Метод получения модифицированной проводящей поверхности по одному из пп. 18-21, отличающийся тем, что олигомер нуклеиновой кислоты или модифицированный олигомер нуклеиновой кислоты гибридизуется с комплементарной ему цепью олигомера нуклеиновой кислоты и наносится на проводящую поверхность в форме двухцепочечного гибрида.
23. Метод получения модифицированной проводящей поверхности по одному из пп. 18-22, отличающийся тем, что олигомер нуклеиновой кислоты или модифицированный олигомер нуклеиновой кислоты наносится на проводящую поверхность в присутствии дополнительных химических соединений, которые также присоединяются к проводящей поверхности.
24. Метод электрохимического определения событий гибридизации олигомеров нуклеиновой кислоты, отличающийся тем, что проводящая поверхность по пп. 10-17 приводится в контакт с олигомерами нуклеиновой кислоты и после этого осуществляется определение изменения электрического связывания между частью, обладающей окислительно-восстановительной активностью, и соответствующей проводящей поверхностью.
25. Метод по п. 24, отличающийся тем, что определение осуществляется посредством циклической вольтаметрии, амперометрии или измерением проводимости.
26. Метод получения модифицированной проводящей поверхности, отличающийся тем, что олигомер нуклеиновой кислоты или олигомер нуклеиновой кислоты, модифицированный присоединением вещества, обладающего окислительно-восстановительной активностью, которое избирательно окисляется или восстанавливается при потенциале , измеряемом против нормального водородного электрода и имеющем значения 2,0 В![]() ![]() -2,0 В, гибридизуется с комплементарной ему цепью олигомера нуклеиновой кислоты и наносится на проводящую поверхность в форме двухцепочечного гибрида.
27. Метод по п. 26, отличающийся тем, что этот двухцепочечный гибрид термически дегибридизуется после нанесения на проводящую поверхность.
28. Метод по п. 26 или 27, отличающийся тем, что двухцепочечный гибрид наносится на проводящую поверхность в присутствии дополнительных химических соединений, которые также присоединяются к проводящей поверхности.
29. Метод получения модифицированной проводящей поверхности, отличающийся тем, что олигомер нуклеиновой кислоты, модифицированный присоединением вещества, обладающего окислительно-восстановительной активностью, которое избирательно окисляется или восстанавливается при потенциале , измеряемом против нормального водородного электрода и имеющем значения 2,0 В![]() ![]() -2,0 В, наносится на проводящую поверхность в присутствии дополнительных химических соединений, которые также присоединяются к проводящей поверхности.
30. Метод получения модифицированной проводящей поверхности, отличающийся тем, что олигомер нуклеиновой кислоты, модифицированный присоединением вещества, обладающего окислительно-восстановительной активностью, которое избирательно окисляется или восстанавливается при потенциале , измеряемом против нормального водородного электрода, со значениями 2,0 В![]() ![]() -2,0 В, наносится на проводящую поверхность в буфере без добавления проводящей соли, для уменьшения электростатического отталкивания олигомера нуклеиновой кислоты, и после этого дополнительные химические соединения, которые также присоединяются к проводящей поверхности, наносятся на проводящую поверхность.
31. Метод по одному из пп. 28-30, отличающийся тем, что химические соединения являются алкильными, алкенильными, алкинильными, гетероалкильными, гетероалкенильными или гетероалкинильными заместителями.
32. Метод по п. 31, отличающийся тем, что алкильные, алкенильные, алкинильные, гетероалкильные, гетероалкенильные или гетероалкинильные соединения имеют длину цепи 1 – 20 атомов.
33. Метод по п. 32, отличающийся тем, что алкильные, алкенильные, алкинильные, гетероалкильные, гетероалкенильные или гетероалкинильные соединения имеют длину цепи 1 – 14 атомов.
34. Метод по одному из пп. 26-33, отличающийся тем, что олигомеры нуклеиновой кислоты или модифицированные олигомеры нуклеиновой кислоты присоединяются к проводящей поверхности ковалентно или посредством физической сорбции.
35. Метод по п. 34, отличающийся тем, что одна из фосфорно-кислых, карбоксильных или аминогрупп, одна из сахарных групп или одно из оснований олигомера нуклеиновой кислоты или модифицированного олигомера нуклеиновой кислоты присоединяется к проводящей поверхности ковалентно или посредством физической сорбции, главным образом, к концевой части олигомера нуклеиновой кислоты или модифицированного олигомера нуклеиновой кислоты.
36. Метод по одному из пп. 26-33, отличающийся тем, что олигомеры нуклеиновой кислоты или модифицированные олигомеры нуклеиновой кислоты ковалентно присоединяются к разветвленным или линейным молекулярным частям любого состава и длины цепи и эти молекулярные части присоединяются к проводящей поверхности ковалентно или посредством физической сорбции.
37. Метод по п. 36, отличающийся тем, что длина цепи разветвленной или линейной молекулярной части содержит 1 – 14 атомов.
38. Метод по п. 36 или 37, отличающийся тем, что разветвленная или линейная молекулярная часть ковалентно связывается с одной из фосфорно-кислых, карбоксильных или аминогрупп, одной из сахарных групп или одним из оснований олигомера нуклеиновой кислоты, особенно с концевой частью олигомера нуклеиновой кислоты.
39. Метод по одному из пп. 28-38, отличающийся тем, что длина цепи дополнительного химического соединения и длина цепи разветвленной или линейной молекулярной части различаются максимально на 8 атомов.
40. Метод по п. 39, отличающийся тем, что химическое соединение и разветвленная или линейная молекулярная часть имеют одинаковую длину цепи.
41. Метод по одному из пп. 26-40, отличающийся тем, что один или более видов олигомеров нуклеиновой кислоты в форме двухцепочечного гибрида связываются с проводящей поверхностью и только олигомеры нуклеиновой кислоты, связанные с проводящей поверхностью, модифицируются присоединением вещества, обладающего окислительно-восстановительной активностью, к олигомерам нуклеиновой кислоты.
42. Метод по п. 41, отличающийся тем, что присоединение вещества, обладающего окислительно-восстановительной активностью, к олигомеру нуклеиновой кислоты осуществляется посредством реакции вещества, обладающего окислительно-восстановительной активностью, с фосфорно-кислой группой, сахарной группой или одним из оснований олигомера нуклеиновой кислоты, главным образом, посредством реакции с концевой частью олигомера нуклеиновой кислоты.
43. Метод по п. 42, отличающийся тем, что вещество, обладающее окислительно-восстановительной активностью, ковалентно присоединяется к разветвленной или линейной молекулярной части любого состава и длины цепи, и разветвленная или линейная молекулярная часть присоединяется к одной из фосфорно-кислых, карбоксильных или аминогрупп, к одной из сахарных групп или к одному из оснований олигомера нуклеиновой кислоты, особенно к концевой части олигомера нуклеиновой кислоты.
44. Метод по одному из пп. 26-43, отличающийся тем, что вещество, обладающее окислительно-восстановительной активностью, является красителем, предпочтительней, производным флавинов.
45. Метод по одному из пп. 26-43, отличающийся тем, что вещество, обладающее окислительно-восстановительной активностью, является хиноном, предпочтительней пирролхинолинхиноном (PQQ), 1,4-бензохиноном, 1,2-нафтохиноном, 1,4-нафтохиноном или 9,10-антрахиноном.
46. Метод по п. 44 или 45, отличающийся тем, что вещество, обладающее окислительно-восстановительной активностью, ковалентно присоединяется к одной из фосфорно-кислых, карбоксильных или аминогрупп, к одной из сахарных групп, к одному из оснований олигомера нуклеиновой кислоты, особенно к концевой части олигомера нуклеиновой кислоты.
47. Метод по п. 44 или 45, отличающийся тем, что вещество, обладающее окислительно-восстановительной активностью, ковалентно присоединяется к разветвленной или линейной молекулярной части любого состава и длины цепи и разветвленная или линейная молекулярная часть присоединяется к одной из фосфорно-кислых, карбоксильных или аминогрупп, к одной из сахарных групп или к одному из оснований олигомера нуклеиновой кислоты, особенно к концевой части олигомера нуклеиновой кислоты.
48. Метод по п. 47, отличающийся тем, что вещество, обладающее окислительно-восстановительной активностью, ковалентно присоединяется к разветвленной или линейной молекулярной части, наиболее короткое непрерывное звено которой между соединяемыми структурами составляет 1 – 14 атомов.
49. Метод по одному из пп. 26-48, отличающийся тем, что модифицированный олигомер нуклеиновой кислоты является олигомером дезоксирибонуклеиновой кислоты, олигомером рибонуклеиновой кислоты, олигомером пептидной нуклеиновой кислоты или олигомером нуклеиновой кислоты, имеющим структурно аналогичный скелет.
50. Метод по одному из пп. 26-49, отличающийся тем, что проводящая поверхность состоит из металла или металлического сплава, особенно металла, выбранного из группы, включающей платину, палладий, золото, кадмий, ртуть, никель, цинк, углерод, серебро, медь, железо, свинец, алюминий, магний и их соединения.
51. Метод по одному из пп. 26-49, отличающийся тем, что эта проводящая поверхность состоит из полупроводника, особенно полупроводника, выбранного из группы, включающей углерод, кремний, германий и -олово.
Приоритет по пунктам:23.11.1998 по пп. 1-51; 29.04.1999 уточнение признаков по пп. 1-51. РИСУНКИ
MM4A Досрочное прекращение действия патента Российской Федерации на изобретение из-за неуплаты в установленный срок пошлины за поддержание патента в силе
Дата прекращения действия патента: 20.11.2004
Извещение опубликовано: 27.03.2006 БИ: 09/2006
|
||||||||||||||||||||||||||

-орбитальную систему, а именно, 1,2-нафтохинон следующей структуры




-олово.
13. Модифицированная проводящая поверхность по пп. 10-12, отличающаяся тем, что модифицированные олигомеры нуклеиновой кислоты присоединяются к проводящей поверхности ковалентно или посредством физической сорбции.
14. Модифицированная проводящая поверхность по п. 13, отличающаяся тем, что одна из фосфорно-кислых, карбоксильных или аминогрупп, одна из сахарных групп или одно из оснований олигомера нуклеиновой кислоты, присоединяется к проводящей поверхности ковалентно или посредством физической сорбции, особенно к концевой части олигомера нуклеиновой кислоты.
15. Модифицированная проводящая поверхность по одному из пп. 10-12, отличающаяся тем, что разветвленные или линейные молекулярные части любого состава и длины цепи, присоединяются к проводящей поверхности ковалентно или посредством физической сорбции и модифицированные олигомеры нуклеиновой кислоты ковалентно присоединяются к этим молекулярным частям.
16. Модифицированная проводящая поверхность по п. 15, отличающаяся тем, что разветвленная или линейная молекулярная часть содержит наиболее короткое непрерывное звено, содержащее 1 – 14 атомов между соединяемыми структурами.
17. Модифицированная проводящая поверхность по п. 15 или 16, отличающаяся тем, что разветвленная или линейная молекулярная часть ковалентно связывается с одной из фосфорно-кислых, карбоксильных или аминогрупп, с одной из сахарных групп или с одним из оснований олигомера нуклеиновой кислоты, особенно с концевой частью олигомера нуклеиновой кислоты.
18. Метод получения модифицированной проводящей поверхности по одному из пп. 10-17, отличающийся тем, что один или больше видов модифицированных олигомеров нуклеиновой кислоты по пп. 1-7, наносятся на проводящую поверхность.
19. Метод получения модифицированной проводящей поверхности по одному из пп. 10-17, отличающийся тем, что один или больше видов олигомеров нуклеиновой кислоты связываются с проводящей поверхностью и только эти олигомеры нуклеиновой кислоты, связанные с проводящей поверхностью, модифицируются присоединением вещества, обладающего окислительно-восстановительной активностью, к этим олигомерам нуклеиновой кислоты.
20. Метод получения модифицированной проводящей поверхности по п. 19, отличающийся тем, что присоединение вещества, обладающего окислительно-восстановительной активностью, к олигомеру нуклеиновой кислоты осуществляется посредством реакции вещества, обладающего окислительно-восстановительной активностью, с фосфорно-кислой группой, сахарной группой или одним из оснований олигомера нуклеиновой кислоты, главным образом посредством реакции с концевой частью олигомера нуклеиновой кислоты.
21. Метод получения модифицированной проводящей поверхности по п. 19, отличающийся тем, что вещество, обладающее окислительно-восстановительной активностью, ковалентно присоединяется к разветвленной или линейной молекулярной части любого состава и длины цепи, и разветвленная или линейная молекулярная часть присоединяется к одной из фосфорно-кислых, карбоксильных или аминогрупп, к одной из сахарных групп или к одному из оснований олигомера нуклеиновой кислоты, особенно к концевой части олигомера нуклеиновой кислоты.
22. Метод получения модифицированной проводящей поверхности по одному из пп. 18-21, отличающийся тем, что олигомер нуклеиновой кислоты или модифицированный олигомер нуклеиновой кислоты гибридизуется с комплементарной ему цепью олигомера нуклеиновой кислоты и наносится на проводящую поверхность в форме двухцепочечного гибрида.
23. Метод получения модифицированной проводящей поверхности по одному из пп. 18-22, отличающийся тем, что олигомер нуклеиновой кислоты или модифицированный олигомер нуклеиновой кислоты наносится на проводящую поверхность в присутствии дополнительных химических соединений, которые также присоединяются к проводящей поверхности.
24. Метод электрохимического определения событий гибридизации олигомеров нуклеиновой кислоты, отличающийся тем, что проводящая поверхность по пп. 10-17 приводится в контакт с олигомерами нуклеиновой кислоты и после этого осуществляется определение изменения электрического связывания между частью, обладающей окислительно-восстановительной активностью, и соответствующей проводящей поверхностью.
25. Метод по п. 24, отличающийся тем, что определение осуществляется посредством циклической вольтаметрии, амперометрии или измерением проводимости.
26. Метод получения модифицированной проводящей поверхности, отличающийся тем, что олигомер нуклеиновой кислоты или олигомер нуклеиновой кислоты, модифицированный присоединением вещества, обладающего окислительно-восстановительной активностью, которое избирательно окисляется или восстанавливается при потенциале
, измеряемом против нормального водородного электрода и имеющем значения 2,0 В