Патент на изобретение №2212636
|
||||||||||||||||||||||||||
(54) СПОСОБ ВЗВЕШИВАНИЯ НА ВАГОННЫХ ЭЛЕКТРОННЫХ ВЕСАХ ДЛЯ ОЦЕНКИ БЕЗОПАСНОСТИ ДВИЖЕНИЯ ВАГОНОВ С СЫПУЧИМИ ГРУЗАМИ
(57) Реферат: Изобретение относится к измерительной технике и может быть использовано при взвешивании движущихся вагонов в поездах на вагонных электронных весах. Способ включает поколесное измерение массы брутто движущегося вагона с последующим вычитанием из нее массы нетто вагона и определением массы груза в вагоне. По разности масс брутто, распределенных по левой и правой сторонам вагона, определяют горизонтальное смещение центра тяжести вагона от его центральной продольной оси и общие координаты центра тяжести вагона с сыпучим грузом и для оценки безопасности движения поездов сравнивают их с допустимыми значениями общих координат центра тяжести вагона. Технический результат: повышение достоверности измерений. 2 табл., 5 ил. Изобретение относится к способам взвешивания движущихся вагонов в поездах на вагонных электронных весах и может быть использовано на железнодорожном транспорте для определения безопасности движения поездов с учетом неравномерности загрузки сыпучими грузами вагонов. Известен способ оценки неравномерности загрузки вагонов с помощью вагонных электронных весов для безопасности движения поездов, включающий измерение массы брутто движущегося вагона с последующим вычитанием из нее массы тары вагона и определением массы груза в вагоне (авт. св. 1064153, кл. G 01 G 19/04, 1982 г.). Недостаток данного способа заключается в невозможности оценки правильности загрузки вагонов по высоте, что очень важно для движения вагонов со смещенными грузами по железной дороге. Из известных способов определения безопасности движения поездов наиболее близким по технической сущности является способ взвешивания на вагонных электронных весах для оценки безопасности движения вагонов с сыпучими грузами, включающий поколесное взвешивание движущегося вагона и измерение массы брутто с последующим вычитанием из нее массы нетто вагона для определения массы сыпучего груза в вагоне, причем измерение массы брутто вагона производят с учетом измерения массы брутто левой и правой стороны вагона путем взвешивания и суммирования соответствующих масс брутто, распределенных по левым и правым колесам, при этом вычисляют массу смещенной части сыпучего груза в вагоне по разности масс брутто, распределенных по левой и правой сторонам вагона, и определяют горизонтальное смещение центра тяжести массы сыпучего груза в вагоне в его поперечной вертикальной плоскости (заявка 2001114833). Недостаток состоит в том, что при этом способе определяется только горизонтальное смещение центра тяжести вагона по величине смещения загрузки вагона и не определяется его вертикальное смещение. При погрузке или при прохождении кривых участков железнодорожного пути вагон со смещенным грузом наклоняется и при больших вертикальных смещениях центра тяжести вагона может опрокинуться. Для исключения таких случаев необходимо определять степень неравномерности размещения груза по высоте в кузове вагона. Техническим решением задачи является расширение сферы использования вагонных электронных весов для оценки безопасности движения поездов путем определения координат центра тяжести взвешенного груза в вагоне. Указанная в техническом решении задача достигается тем, что при способе взвешивания на вагонных электронных весах для оценки безопасности движения вагонов с сыпучими грузами, включающем поколесное взвешивание движущегося вагона и измерение массы брутто с последующим вычитанием из нее массы нетто вагона для определения массы сыпучего груза в вагоне, причем измерение массы брутто вагона производят с учетом измерения массы брутто левой и правой стороны вагона путем взвешивания и суммирования соответствующих масс брутто, распределенных по левым и правым колесам, при этом вычисляют массу смещенной части сыпучего груза в вагоне по разности масс брутто, распределенных по левой и правой сторонам вагона, и определяют горизонтальное смещение центра тяжести массы сыпучего груза в вагоне в его поперечной вертикальной плоскости, дополнительно определяют путем вычитания из массы сыпучего груза массы смещенной части массу несмещенной части сыпучего груза в вагоне, по указанным частям сыпучего груза с учетом известной его объемной массы и формы смещения в кузове вычисляют вертикальное смещение центра тяжести сыпучего груза в вагоне в поперечной вертикальной плоскости, при этом по вычисленным координатам центра тяжести сыпучего груза в вагоне находят общие координаты центра тяжести вагона с сыпучим грузом: ![]() ![]() где Gгр – масса сыпучего груза в вагоне, т; bгр – горизонтальное расстояние от центральной продольной оси до центра тяжести сыпучего груза в вагоне, м; G – масса брутто вагона, т; hп – высота пола в вагоне, м; H0 – высота несмещенной части сыпучего груза в кузове вагона, те расстояние между полом вагона и верхней границей несмещенной части сыпучего груза в вагоне, м; с – горизонтальное расстояние от центральной продольной оси вагона до центра тяжести смещенной части сыпучего груза, м; h – вертикальное расстояние между центром тяжести смещенной части сыпучего груза и верхней границей несмещенной остальной части сыпучего груза в кузове вагона, м; hв – высота центра тяжести вагона без сыпучего груза (тары вагона), м и для оценки безопасности движения вагона поездов сравнивают полученную горизонтальную координату смещения с допускаемыми величинами смещения центра тяжести вагона при его различных загрузках. Предлагаемый способ, обладая указанными ограничительными признаками, позволяет поколесно взвешивать вагоны на вагонных электронных весах, определять массу брутто и массу груза в вагоне, а также определять разность загрузки боковых сторон и горизонтальное смещение центра тяжести. В известных способах – аналогах не решен вопрос о безопасном пропуске через весы вагонов со смещенным центром тяжести вагона при неравномерной загрузке по высоте кузова сыпучими грузами, что не позволяет правильно судить о загрузке вагонов. Новизна предлагаемого способа, характеризуемая его отличительными признаками, состоит в том, что у вагона на вагонных электронных весах дополнительно определяют путем вычитания из массы сыпучего груза массы смещенной части массу несмещенной части сыпучего груза в вагоне, по указанным частям сыпучего груза с учетом известной его объемной массы и формы смещения в кузове вычисляют вертикальное смещение центра тяжести сыпучего груза в вагоне в поперечной вертикальной плоскости, при этом по вычисленным координатам центра тяжести сыпучего груза в вагоне находят общие координаты центра тяжести вагона с сыпучим грузом: ![]() ![]() где Gгр – масса сыпучего груза в вагоне, т; bгр – горизонтальное расстояние от центральной продольной оси до центра тяжести сыпучего груза в вагоне, м; G – масса брутто вагона, т; hп – высота пола в вагоне, м; H0 – высота несмещенной части сыпучего груза в кузове вагона, т.е. расстояние между полом вагона и верхней границей несмещенной части сыпучего груза в вагоне, м; с – горизонтальное расстояние от центральной продольной оси вагона до центра тяжести смещенной части сыпучего груза, м; h – вертикальное расстояние между центром тяжести смещенной части сыпучего груза и верхней границей несмещенной остальной части сыпучего груза в кузове вагона, м; hв – высота центра тяжести вагона без сыпучего груза (тары вагона), м. Для оценки безопасности движения поездов сравнивают их с допустимыми значениями общих координат центра тяжести вагона. Сущность предлагаемого способа поясняется чертежами: на фиг.1 – общий вид взвешиваемых вагонов; на фиг. 2 – развеска четырехосного вагона при взвешивании на вагонных электронных весах; фиг.3 – схема определения центра тяжести смещенного груза в вагоне; фиг.4 – схема определения центра тяжести вагона; на фиг. 5 – примеры смещения сыпучего груза в кузове вагона в прямоугольной форме. Принятые обозначения в одной поперечной вертикальной плоскости четырехосного вагона при условии его загрузки сыпучим грузом: 01 – центр тяжести смещенного груза; 02 – центр тяжести несмещенной части груза в кузове; 03 – центр тяжести груза в кузове вагона (общий); 04 – центр тяжести порожнего вагона (без груза); 05 – центр тяжести груженого вагона. Способ взвешивания на вагонных электронных весах для оценки безопасности движения вагонов с сыпучими грузами осуществляется следующим образом. Состав с вагонами 1 взвешивают на вагонных электронных весах 2, например, модели ВНИИЖТ (фиг. 1). Массу брутто каждого вагона 1 определяют при суммировании результатов взвешивания массы брутто каждого колеса и каждой оси первой и второй тележек. Массу груза вычисляют как разность между вычисленной на ЭВМ вагонных весов 2 массой брутто и нетто Gв=Т (тарой) вагона, считанной весовщиком с нижнего бруса вагона 1 и внесенной в результат взвешивания вагона 1. Измерение массы брутто левой и правой сторон вагона 1 производят на вагонных электронных весах 2 путем взвешивания и суммирования соответствующих масс брутто, распределенных по четырем левым и четырем правым колесам (фиг. 2). Масса смещенной части груза равна разности масс брутто боковых сторон вагона 1, т.к. у вагона смещается только груз. Принимается условие, что тара вагона равномерно распределена по колесам вагона 1. Кроме того, технические неполадки и перекос кузова вагона 1 выявляются при взвешивании на весах 2 равномерно загруженного вагона 1. Чтобы исключить влияние кузова на показания весов 2, груз в вагоне 1 необходимо разровнять и повторно взвесить вагон 1 на весах 2. Если весы показывают разность брутто боковых сторон вагона 1 и в этом случае, то такой вагон 1 отцепляют для ремонта на ПТО вагонникам. Масса груза, распределенная на i-е колесо вагона 1, равна: Grp.i=Gi-Т/8, где Т/8 – одна восьмая часть массы тары, распределенная на одно колесо из восьми колес четырехосного вагона. По разности масс брутто левой и правой боковых сторон вагона 1 определяют горизонтальное смещение центра тяжести груза в вагоне bгр от его центральной продольной оси в вертикальной поперечной плоскости по формуле ![]() где – масса смещенной части сыпучего груза в кузове вагона, т;l – поперечное расстояние между колесами вагона по кругу катания на рельсах (колея) равно 1,58 м; Gгр – масса (вес) груза в вагоне равна G-Т, т; G – масса брутто вагона, т; Т – масса нетто (тара) вагона, т. Принимается условие, что груз в вагоне смещен равномерно по всей длине вагона. Смещение массы груза в вагоне (фиг.3) должно быть менее нормативных (допустимых) значений по табл. 1. Масса несмещенной части сыпучего груза в кузове вагона равна G0 = Gгр– , т. (2)Высота несмещенной части сыпучего груза в кузове вагона, т.е. расстояние между полом вагона и верхней границей несмещенной части сыпучего груза в вагоне определяется по формуле ![]() где – объемная масса груза, т/м;B – ширина кузова вагона, м; L – длина кузова вагона, м. Вертикальное смещение центра тяжести сыпучего груза в вагоне в поперечной вертикальной плоскости находят по формуле ![]() где hп – высота пола в вагоне, hп=hнсм – Hoм; hнсм – высота центра тяжести несмещенной в кузове вагона части груза от уровня головки рельса (УТР), м; с – горизонтальное расстояние от центральной продольной оси вагона до центра тяжести смещенной части сыпучего груза, м; h – вертикальное расстояние между центром тяжести смещенной части сыпучего груза и верхней границей несмещенной остальной части сыпучего груза в кузове вагона, м. По вычисленным координатам центра тяжести сыпучего груза в вагоне находят на фиг. 4 общие координаты центра тяжести вагона с сыпучим грузом по формулам: ![]() ![]() где hв – высота центра тяжести вагона без сыпучего груза (тары вагона), мм. Значения , B, L, hп, hв выбирают по справочникам и каталогам для конкретного сыпучего груза и вагона.
Затем оценивают неравномерность загрузки вагона путем сравнения определенной по формуле (5) величины поперечного смещения центра тяжести вагона с нормативной величиной смещения безопасной для движения поезда по табл.2.
Промежуточные значения для конкретной массы груза и получают из следующей зависимости: =94-G-Т,где 94 – значение предельной массы брутто вагона, осевая нагрузка которого не должна превышать 23,5 т согласно ГОСТ 22780-93 (для четырехосного вагона 23,5х4=94 т). Нормативные (допустимые) значения разности загрузки боковых сторон четырехосного вагона приведены в табл. 1.
Полученную в результате расчета разность загрузки боковых сторон вагона и поперечного смещения сыпучего груза сравнивают с нормативной разностью. В случае превышения расчетной разности или величины поперечного смещения делают заключение о неправильной загрузке вагона и в целях безопасности движения его отцепляют от поезда. Если нормативная разность и величина поперечного смещения центра тяжести груза не превышены, вагон может следовать в поезде дальше по назначению.
Примеры осуществления способаПример 1. В равномерно загруженном до 67 т каменном углем вагоне, например, модели 12-1592 (см. Альбом-справочник. Грузовые вагоны колеи 1520 мм железных дорог СССР. М., Транспорт, 1989 г., с. 49) высота погрузки Н составит: ![]() где Gгp – масса груза в вагоне, т; – объемная масса груза, для каменного угля =0,9 т/м (см. Справочник. Погрузочно-разгрузочные работы с насыпными грузами. Плюхин Д.С. и др. М., Транспорт, 1989 г., с.15);B – ширина кузова вагона, B=2,878 м; L – длина кузова вагона, L=12,7 м. Определяют мНа весах был взвешен другой вагон с каменным углем, который был смещен до верхнего борта кузова в одну сторону. Масса брутто вагона 91 т и масса несмещенной части груза 67 т. Известно, что тара вагона равна 22 т и высота кузова вагона H=2,24 м. Высота смещенной части сыпучего груза в кузове вагона над несмещенной остальной частью сыпучего груза массой 67 т будет равна: Hсм=2,24-2,03=0,21 м. Масса смещенного груза в кузове вагона согласно конфигурации смещения на фиг. 1 равна: Gсм=1/2 0,21 2,878 12,7 0,9=3,45 т.
Масса груза в вагоне равна: Gгр=67+3,45=70,45 т.
Масса брутто вагона, измеренная на весах, равна:G=Gо+Gсм+T=67+3,45+22=92,45 т. Высота погрузки несмещенного груза в размере 67 т вагоне составляет: Ho= 2,03 м. Высота центра тяжести смещенной части сыпучего груза в кузове вагона, расположенной над несмещенной остальной частью сыпучего груза по прямоугольному треугольнику, будет равна: h=Hсм/3=0,21/3=0,07 м. Горизонтальное расстояние от центральной продольной оси вагона до центра тяжести смещенной части сыпучего груза в виде трехгранной призмы, размещенной в кузове вагона на несмещенной части груза, равно: с=B/6=2,878/6=0,479 м. Горизонтальное смещение центра тяжести груза в вагоне bгр от его центральной продольной оси вычисляют по формуле (1): ![]() По формулам (5 и 6) находят общие координаты центра тяжести вагона с сыпучим грузом: ![]() ![]() где hп – высота пола в вагоне, hп=1,232 м из Альбома-справочника; hв – высота центра тяжести порожнего вагона от уровня головки рельса; hв=1,13 м (см. Справочник. Размещение и крепление грузов в вагонах. /Под ред. Малова А.Д. М., Транспорт, 1980 г., с.95). Вертикальный угол наклона центра тяжести вагона составляет менее 1o. В результате анализа полученных результатов можно сделать вывод, что у этого вагона допустимая разность загрузки боковых сторон по формуле (7) не превышена. н=94-67-22=5 т.
Координаты центра тяжести вагона следующие. О5(0,03 м; 2,05 м). Вагон может следовать дальше, т.к. груз смещен незначительно.
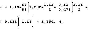
Пример 2. Весы показали массу брутто вагона 89 т. Вагон загружен строительным песком 67 т. Объемная масса для строительного песка =1,4 т/м. Геометрические размеры вагона такие же, как и в первом примере. В табл. 2 допустимая величина горизонтального смещения центра тяжести груза в вагоне для высоты погрузки 2,3 м составит bгр=0,12 м. Разность загрузки боковых сторон вагона определяют из формулы (1)![]() Высота смещенной части сыпучего груза будет равна ![]() Масса несмещенного груза в вагоне равна: Go=67-10,17=56,83 т. Высота погрузки несмещенного груза в вагоне равна: ![]() Высота центра тяжести смещенной части груза в кузове вагона будет равна .
Горизонтальное расстояние от центральной продольной оси вагона до центра тяжести смещенной части сыпучего груза равно:![]() По формулам (5 и 6) находят общие координаты центра тяжести вагона с сыпучим грузом: ![]() ![]() где hп = 1,232 м и hв=1,13 м. Вертикальный угол наклона центра тяжести вагона около 3o. Разность загрузки боковых сторон такого вагона при взвешивании на вагонных электронных весах уже превышена. н=94-67-22=5 т.
Вагон необходимо отцепить от состава и выровнять центр тяжести вагона 05 (0,09 м; 1,754 м).
Пример 3. На станции взвешен вагон, загруженный щебнем 67 т с объемной массой =2 т/м. Разность загрузки боковых сторон вагона не превышена.
=94-67-22=5 т.
Высота смещенной части сыпучего груза в кузове вагона над несмещенной остальной частью сыпучего груза будет равна:![]() Масса брутто вагона, определенная на весах, 89 т. При массе тары вагона 22 т масса несмещенного груза в вагоне равна Go= 67-5=62 т. Высота погрузки несмещенного груза в вагоне равна: ![]() Высота центра тяжести смещенной части щебня в кузове вагона ![]() Центр тяжести смещенной части сыпучего груза расположен на расстоянии: ![]() Горизонтальное смещение центра тяжести груза в вагоне вгр вычисляют по формуле (1): ![]() По формулам (5 и 6) находят общие координаты центра тяжести вагона с сыпучим грузом: ![]() ![]() Вертикальный угол наклона центра тяжести вагона при смещении его от центральной оси вагона равен 1o30′. Можно сделать вывод о том, чем тяжелее груз смещен в кузове, тем центр тяжести поднимается меньше при одинаковых величинах .К примеру другой вагон со щебнем и с массой брутто 89 т взвесили на весах и получили разность загрузки боковых сторон в два раза больше =10 т.
Высота смещенной части сыпучего груза в поперечном сечении в виде прямоугольного треугольника одинакового по всей длине вагона равна:![]() Масса остальной части несмещенного груза в вагоне равна Gо=67-10=52 т. Высота погрузки этого несмещенного груза в вагоне равна: ![]() Горизонтальное смещение центра тяжести груза в вагоне bгр по формуле (1): ![]() Высота центра тяжести смещенной части щебня в кузове вагона ![]() Центр тяжести смещенной части груза на одну сторону вагона по всей его длине расположен на расстоянии: ![]() По формулам (5 и 6) находят общие координаты центра тяжести вагона с сыпучим грузом: ![]() ![]() где hп=1,232 м и hв=1,13 м. Вертикальный угол наклона центра тяжести вагона при смещении его от центральной оси вагона равен 3o. На этом примере наглядно видно, что при возрастании разности загрузки сторон вагона в 2 раза центр тяжести вагона опустился на значительную величину. Примеры показывают, что при незначительном увеличении перекоса вагона и горизонтального смещении его центра тяжести на 10 см, в нем оказывается перегруз на одну боковую сторону в пределах 10 т. Этот перекос при длине вагона 12,7 м трудно обнаружить невооруженным глазом, а нахождение такого вагона в составе поезда опасно для движения. Пример 4. Воспользуемся значением высоты центра тяжести вагона модели 12-1592 с массой груза 55 т из табл.2, равным 1,5 м. Высота загрузки кузова будет равна Н= 1,5-1,232= 0,268 м, где 1,232 м – высота пола вагона над уровнем головки рельса УГР. Объемная масса груза должна составлять не менее =G/V=55/2,878х12,7х0,268=5,614 т/м.
Для расчета принимаем =5,6 т/м. Согласно табл.2 горизонтальное смещение центра тяжести вагона bгр=180 мм.
Разность загрузки боковых сторон вагона выбирают из формулы (1)![]() Масса брутто вагона на весах 77 т. Высота смещенной части сыпучего груза равна: ![]() Масса несмещенного груза в вагоне равна Gо=55-12,53=42,47 т. Высота погрузки несмещенного груза в вагоне равна: ![]() Принимают ![]() По формулам (5 и 6) находят общие координаты центра тяжести вагона с сыпучим грузом: ![]() ![]() где hв=1,13 м. Вертикальный угол наклона центра тяжести вагона около 6o. Отметим, что у вагона рассмотреть смещение центра тяжести груза в вагоне невозможно и решить эту задачу можно только при помощи вагонных электронных весов. Координаты центра тяжести вагона следующие: 05 (0,128 м; 1,314 м). Пример 5. На весах получена большая разность загрузки боковых сторон с указанным тяжелым грузом. = 20 т. Высота смещенной части сыпучего груза равна:![]() Масса брутто вагона на весах 91 т. Масса несмещенного груза в вагоне равна Gо=69-20=49 т. Высота погрузки несмещенного груза в вагоне равна: ![]() Горизонтальное смещение центра тяжести груза в вагоне bгр по формуле (1): ![]() Высота центра тяжести смещенной по треугольнику части груза в кузове вагона ![]() Расстояние с равно: ![]() По формулам (5 и 6) находят общие координаты центра тяжести вагона с сыпучим грузом: ![]() ![]() где hп=1,232 м и hв=1,13 м. Вертикальный угол наклона центра тяжести вагона составит более 7o. Координаты центра тяжести вагона: 05 (0,174 м; 1,366 м). Этот перегруженный вагон опасен при движении в поезде и требует отцепки от состава. Все формулы и нормативы необходимо внести в память ЭВМ и отразить в программе определения массы груза на вагонных электронных весах для весовщика. На весах по массе брутто конкретного вагона определяют массу груза и массу смещенной части груза относительно колес вагона в поперечном направлении. Далее вычисляют необходимые геометрические размеры по формулам 3, 1, 4. По визуально оцениваемой геометрической форме смещения груза в кузове вагона находят величины “с” и “h”. На фиг. 5 показаны две формы смещения груза в кузове, сечение которых соответствует прямоугольному треугольнику с основанием, равным ширине кузова вагона. В первом случае (треугольник заштрихован) центр тяжести смещенного груза будет располагаться в точке 01. Во втором случае точка 01 1 будет располагаться на одной вертикали с точкой 01. Различие будет только по высоте. Здесь надо учитывать, что сыпучий груз в кузове вагона в основном продольно смещается из-за разности высот наружного и внутреннего рельса железнодорожной колеи. После этого определяют координаты центра тяжести вагона x, z и величины смещения сравнивают с допускаемыми (табл.2). По последним данным в кузовах вагонов (примеры 4 и 5) явно необходимо исправлять смещение груза. Техническими условиями погрузки и крепления грузов (изд. Транспорт, 1988 г. , табл. 1.6) определены более укрупненно наибольшие допускаемые смещения центра тяжести грузов в четырехосных вагонах. Предлагаемые взвешивания на вагонных электронных весах для оценки безопасности движения вагонов с сыпучими грузами позволит осуществить наиболее полный контроль правильности загрузки всех прибывающих на станцию вагонов по допустимым разностям масс брутто боковых сторон вагона. На станции или пункте коммерческого осмотра оценивают неравномерность загрузки каждого вагона по данным взвешивания его колес, осей и тележек. Использование этого способа позволит значительно расширить область применения вагонных электронных весов на железнодорожном транспорте в целях повышения безопасности движения. Формула изобретения Способ взвешивания на вагонных электронных весах для оценки безопасности движения вагонов с сыпучими грузами, включающий поколесное взвешивание движущегося вагона и измерение массы брутто с последующим вычитанием из нее массы нетто вагона для определения массы сыпучего груза в вагоне, причем измерение массы брутто вагона производят с учетом измерения массы брутто левой и правой сторон вагона путем взвешивания и суммирования соответствующих масс брутто, распределенных по левым и правым колесам, при этом вычисляют массу смещенной части сыпучего груза в вагоне по разности масс брутто, распределенных по левой и правой сторонам вагона, и определяют горизонтальное смещение центра тяжести массы сыпучего груза в вагоне в его поперечной вертикальной плоскости, отличающийся тем, что дополнительно определяют путем вычитания из массы сыпучего груза массы смещенной части массу несмещенной части сыпучего груза в вагоне, по указанным частям сыпучего груза с учетом известной его объемной массы и формы смещения в кузове вычисляют вертикальное смещение центра тяжести сыпучего груза в вагоне в поперечной вертикальной плоскости, при этом по вычисленным координатам центра тяжести сыпучего груза в вагоне находят общие координаты центра тяжести вагона с сыпучим грузом ![]() ![]() где Gгр – масса сыпучего груза в вагоне, т; bгр – горизонтальное расстояние от центральной продольной оси до центра тяжести сыпучего груза в вагоне, мм; G – масса брутто вагона, т; hп – высота пола в вагоне, мм; H0 – высота несмещенной части сыпучего груза в кузове вагона, т. е. расстояние между полом вагона и верхней границей несмещенной части сыпучего груза в вагоне, мм; с – горизонтальное расстояние от центральной продольной оси вагона до центра тяжести смещенной части сыпучего груза, мм; h – вертикальное расстояние между центром тяжести смещенной части сыпучего груза и верхней границей несмещенной остальной части сыпучего груза в кузове вагона, мм; hв – высота центра тяжести вагона без сыпучего груза (тары вагона), мм, и для оценки безопасности движения поездов сравнивают их с допустимыми значениями общих координат центра тяжести вагона. РИСУНКИ
MM4A – Досрочное прекращение действия патента СССР или патента Российской Федерации на изобретение из-за неуплаты в установленный срок пошлины за поддержание патента в силе
Дата прекращения действия патента: 20.07.2008
Извещение опубликовано: 20.07.2010 БИ: 20/2010
|
||||||||||||||||||||||||||






– масса смещенной части сыпучего груза в кузове вагона, т;
– объемная масса груза, т/м;



м
0,21





.
Горизонтальное расстояние от центральной продольной оси вагона до центра тяжести смещенной части сыпучего груза равно:






























