Патент на изобретение №2212407
|
||||||||||||||||||||||||||
(54) БЕНЗОТИАЗОЛЬНЫЕ ИНГИБИТОРЫ ПРОТЕИНТИРОЗИНКИНАЗ
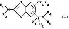
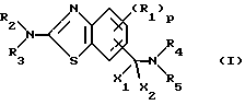
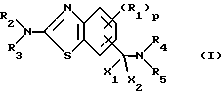
(57) Реферат: Изобретение относится к новым производным бензотиазола общей формулы (I) или его соль, где р обозначает 1; X1 и Х2 вместе образуют =О; R1 обозначает водород, галоид, алкил, алкокси; R2 обозначает водород; R3 обозначает -Z4-R6, -Z13-NR7R8; Z4 обозначает -Z11-C(О)-Z12-, -Z11-C(О)-О-Z12-; Z11 и Z12 представляют простую связь или алкилен; Z13 обозначает -Z11-C(О)-Z12-; R4 обозначает водород; R5 обозначает фенил, замещенный группами Z1, Z2, выбранными из алкила, галоида, нитро, -ОН, гидроксиалкил, -C(О)Z6, -C(О)OZ6-Z4-NZ7Z8, где Z4 представляет простую связь; бифенил, замещенный алкилом; нафталинил, который необязательно может быть замещен -ОН; хинолинил, замещенный алкилом; гетероциклоалкокси; Z6 обозначает алкил, который может быть необязательно замещен группой -Z4-NZ7Z8, морфолинилом; Z7, Z8 каждый независимо обозначает алкил; R6 обозначает алкил необязательно замещенный циано, метокси, фенилом, -Z4-NZ7Z8, и т.д.; R7 обозначает водород, алкил; R8 обозначает алкил необязательно замещенный одним или более заместителем, выбранным из -ОН, низшего алкила, алкинила, -SZ6, метокси, -Z4-NZ7Z8; и т. д. Технический результат – получение новых производных бензотиазола. 2 с. и 8 з.п. ф-лы, 10 табл.
Текст описания в факсимильном виде (см. графическую часть)а
Формула изобретения 1. Бензотиазольное соединение формулы (I) или его соль ![]() где р обозначает 1; X1 и Х2 вместе образуют = O; R1 обозначает водород, галоид, алкил, алкокси; R2 обозначает водород; R3 обозначает -Z4-R6, -Z13-NR7R8; Z4 обозначает -Z11-C(O)-Z12-, -Z11-C(O)-O-Z12-; Z11 и Z12 представляют простую связь или алкилен; Z13 обозначает -Z11-C(O)-Z12-; R4 обозначает водород; R5 обозначает фенил, замещенный группами Z1, Z2, выбранными из алкила, галоида, нитро, -ОН, гидроксиалкил, -C(O)Z6, -C(О)OZ6, гетероциклоалкокси -Z4-NZ7Z8, где Z4 представляет простую связь; бифенил, замещенный алкилом; нафталинил, который необязательно может быть замещен -ОН; хинолинил, замещенный алкилом; гетероциклоалкокси; Z6 обозначает алкил, который может быть необязательно замещен группой -Z4-NZ7Z8, морфолинилом; Z7, Z8 каждый независимо обозначает алкил; R6 обозначает алкил, необязательно замещенный циано, метокси, фенилом, -Z4-NZ7Z8, -C(O)Z6; алкинил; циклоалкил, необязательно замещенный алкилом, -ОН, циано, галоидом, метокси, фенилом, который может быть замещен алкилом, галоидом или метокси, -Z4-NZ7Z8, алкенилом, бензилом, бифенилом; незамещенный циклоалкилалкил; циклоалкенил; фенил, необязательно замещенный алкилом; незамещенный нафтил; фенилалкил необязательно замещенный алкилом, галоидом, нитро, метокси; незамещенный нафталенилалкил; гетероцикло, включающий тиенил, тетрагидрофуранил; гетероциклоалкил, где гетероцикло выбирают из пиррола, тиенила, бензодиоксинила, имидазола, замещенного алкилом или нитро, бенздиоксолила, хинолинила, пиридинила; R7 обозначает водород, алкил; R8 обозначает алкил, необязательно замещенный одним или более заместителем, выбранным из -ОН, низшего алкила, алкинила, -SZ6, метокси, -Z4-NZ7Z8; алкенил; алкинил; циклоалкил, необязательно замещенный алкилом, алкинилом, гидроксиалкилом; незамещенный циклоалкилалкил; фенил, необязательно замещенный одним или более заместителем, выбранным из алкила, галоида, метокси, фенила, бензоила, циклоалкила, морфолинила, 1,3,4-оксадиазола, циано, -SZ6; фенилалкил, где фенил может быть необязательно замещенный одним или более заместителем, выбранным из низшего алкила, метокси, галоида, -Z4-NZ7Z8, нитро, амино, -ОН, алкил может быть необязательно замещенный одним или более заместителем, выбранным из низшего алкила, гидроксиалкила; незамещенный нафталинилалкил; гетероцикло, включающий 1,3-бензодиоксолил, пиридинил, необязательно замещенный низшим алкилом, пиперидинил, необязательно замещенный низшим алкилом, пирролидинил, необязательно замещенный бензилом, пиримидинил; гетероциклоалкил, где гетероцикло выбирают из имидазолила, тетрагидрофуранила, индолила, замещенного метокси, галоидом или низшим алкилом, морфолинила, пиридинила, тиенила, индолила, необязательно замещенного низшим алкилом, тетрагидрофуранила, пиперидинила, необязательно замещенного бензилом или низшим алкилом, бензо[b] тиофенила, пирролидинила, необязательно замещенного бензилом, низшим алкилом или оксо, 2,3-дигидро-1,4-бензодиоксинила, фуранила, необязательно замещенного низшим алкилом, пиперазинила, необязательно замещенного низшим алкилом, азепин. 2. Соединение по п. 1, отличающееся тем, что р обозначает 1, а каждый R1 независимо выбирают из водорода, галоида, алкила или алкокси. 3. Соединение по п. 1, отличающееся тем, что R2 обозначает водород. 4. Соединение по п. 1, отличающееся тем, что R4 обозначает водород. 5. Соединение по п. 1, отличающееся тем, что R5 обозначает замещенный фенил с заместителями Z1 и Z2. 6. Соединение по п. 1, отличающееся тем, что X1 и Х2 вместе образуют = O. 7. Соединение по п. 1, отличающееся тем, что Z13 обозначает -Z11-C(O)-Z12-. 8. Бензотиазольное соединение формулы (I) или его соль ![]() где р обозначает 1; X1 и Х2, вместе образуют = O; R1 обозначает водород, галоид, алкил, алкокси; R2 обозначает водород; R3 обозначает -Z4-R6, -Z13-NR7R8; Z4 обозначает -Z11-C(O)-Z12-, -Z11-C(O)-O-Z12-; Z11 и Z12 представляют простую связь или алкилен; Z13 обозначает -Z11-C(O)-Z12-; R4 обозначает водород; R5 обозначает фенил, замещенный группами Z1, Z2, выбранными из алкила, галоида, нитро, -ОН, гидроксиалкил, -C(O)Z6-C(O)OZ6, Z4-NZ7Z8, гетероциклоалкокси, где Z4 представляет простую связь; бифенил, замещенный алкилом; нафталинил, который необязательно может быть замещен -ОН; хинолинил, замещенный алкилом; Z6 обозначает алкил, который может быть необязательно замещен группой -Z4-NZ7Z8, морфолинилом; Z7, Z8 каждый независимо обозначает алкил; R6 обозначает алкил, необязательно замещенный циано, метокси, фенилом, -Z4-NZ7Z8, -C(О)Z6; алкинил; циклоалкил, необязательно замещенный алкилом, -ОН, циано, галоидом, метокси, фенилом, который может быть замещен алкилом, галоидом или метокси, -Z4-NZ7Z8, алкенилом, бензилом, бифенилом; незамещенный циклоалкилалкил; циклоалкенил; фенил, необязательно замещенный алкилом; незамещенный нафтил; фенилалкил, необязательно замещенный алкилом, галоидом, нитро, метокси; незамещенный нафталенилалкил; гетероцикло, включающий тиенил, тетрагидрофуранил; гетероциклоалкил, где гетероцикло выбирают из пиррола, тиенила, бензодиоксинила, имидазола, замещенного алкилом или нитро, бенздиоксолила, хинолинила, пиридинила; R7 обозначает водород, алкил; R8 обозначает алкил, необязательно замещенный одним или более заместителем, выбранным из -ОН, низшего алкила, алкинила, -SZ6, метокси, -Z4-NZ7Z8; алкенил; алкинил; циклоалкил, необязательно замещенный алкилом, алкинилом, гидроксиалкилом; незамещенный циклоалкилалкил; фенил, необязательно замещенный одним или более заместителем, выбранным из алкила, галоида, метокси, фенила, бензоила, циклоалкила, морфолинила, 1,3,4-оксадиазола, циано, -SZ6; фенилалкил, где фенил может быть необязательно замещенный одним или более заместителем, выбранным из низшего алкила, метокси, галоида, -Z4-NZ7Z8, нитро, амино, -ОН, алкил, может быть необязательно замещенный одним или более заместителем, выбранным из низшего алкила, гидроксиалкила; незамещенный нафталинилалкил; гетероцикло, включающий 1,3-бензодиоксолил, пиридинил, необязательно замещенный низшим алкилом, пиперидинил, необязательно замещенный низшим алкилом, пирролидинил, необязательно замещенный бензилом, пиримидинил; гетероциклоалкил, где гетероцикло выбирают из имидазолила, тетрагидрофуранила, индолила, замещенного метокси, галоидом или низшим алкилом, морфолинила, пиридинила, тиенила, индолила, необязательно замещенного низшим алкилом, тетрагидрофуранила, пиперидинила, необязательно замещенного бензилом или низшим алкилом, бензо[b] тиофенила, пирролидинила, необязательно замещенного бензилом, низшим алкилом или оксо, 2,3-дигидро-1,4-бензодиоксинила, фуранила, необязательно замещенного низшим алкилом, пиперазинила, необязательно замещенного низшим алкилом, азепин. 9. Соединение по п. 8, причем это соединение формулы I или его соль выбираются из группы, в которую входят: 1,1-диметилэтиловый эфир[6-[[(2,4,6-триметилфенил)амино] карбонил] -2-бензотиазолил] карбаминовой кислоты; 2-амино-N-(2,4,6-триметилфенил)-6-бензотиазолкарбоксамид, трифторацетат (1: 1); 2-(ацетиламино)-N-(2,4,6-триметилфенил)-6-бензотиазолкарбоксамид; 2-(бензоиламино)-N-(2,4,6-триметилфенил)-6-бензотиазолкарбоксамид; 2-[(1-оксопропил)амино] -N-(2,4,6-триметилфенил)-6-бензотиазолкарбоксамид; 2-[(1-оксобутил)амино] -N-(2,4,6-триметилфенил)-6-бензотиазолкарбоксамид; 2-[[[(1,1-диметилэтил)амино] карбонил] амино] -N-(2,4,6-триметилфенил)-6-бензотиазолкарбоксамид; 2-[[[бис(1-метилэтил)амино] карбонил] амино] -N-(2,4,6-триметилфенил)-6-бензотиазолкарбоксамид; 1,1-диметилэтиловый эфир [6-бром-4-[[(2,4,6-триметилфенил)амино] карбонил] -2-бензотиазолил] карбаминовой кислоты; 1,1-диметилэтиловый эфир [4-[[(2,4,6-триметилфенил)амино] карбонил] -2-бензотиазолил] карбаминовой кислоты; 1,1-диметилэтиловый эфир [6-бром-7-[[(2,4,6-триметилфенил)амино] карбонил] -2-бензотиазолил] карбаминовой кислоты; 1,1-диметилэтиловый эфир [7-[[(2,4,6-триметилфенил)амино] карбонил] -2-бензотиазолил] карбаминовой кислоты; 1,1-диметилэтиловый эфир [6-бром-5-[[(2,4,6-триметилфенил)амино] карбонил] -2-бензотиазолил] карбаминовой кислоты, 1,1-диметилэтиловый эфир [5-[[(2,4,6-триметилфенил)амино] карбонил] -2-бензотиазолил] карбаминовой кислоты; 2-[[[фениламино] карбонил] амино] -N-(2,4,6-триметилфенил)-6-бензотиазолкарбоксамид; 2-[[[(фенилметил)амино] карбонил] амино] -N-(2,4,6-триметилфенил)-6-бензотиазолкарбоксамид; 2-[[[этиламино] карбонил] амино] -N-(2,4,6-триметилфенил)-6-бензотиазолкарбоксамид; 2-[[(бутиламино)карбонил] амино] -N-(2,4,6-триметилфенил)-6-бензотиазолкарбоксамид; 2-[[(циклопропиламино)карбонил] амино] -N-(2,4,6-триметилфенил)-6-бензотиазолкарбоксамид; (R)-2-[[[[(3,3-диметилциклогексил)метил] амино] карбонил] амино] -N-(2,4,6-триметилфенил)-6-бензотиазолкарбоксамид; 2(R)-2-[[[[(3,3-диметилциклогексил)метил] амино] карбонил] амино] -N-(2,4,6-триметилфенил)-6-бензотиазолкарбоксамид; 2-[[[(циклогексилметил)амино] карбонил] амино] -N-(2,4,6-триметилфенил)-6-бензотиазолкарбоксамид; 2-[[[(2,3-дигидро-1Н-инден-1-ил)амино] карбонил] амино] -Н-(2,4,6-триметилфенил)-6-бензотиазолкарбоксамид; 2-[[[(1-нафталинилметил)амино] карбонил] амино] -N-(2,4,6-триметилфенил)-6-бензотиазолкарбоксамид; 2-[[[[2-(1-Н-имидазол-4-ил)этил] амино] карбонил] амино] -N-(2,4,6-триметилфенил)-6-бензотиазолкарбоксамид; 2-[[[[(тетрагидро-2-фуранил)метил] амино] карбонил] амино] -N-(2,4,6-триметилфенил)-6-бензотиазолкарбоксамид; 2-[[[[2-(5-метокси-1Н-индол-3-ил)этил] амино] карбонил] амино] -N-(2,4,6-триметилфенил)-6-бензотиазолкарбоксамид; 2-[[[[2-(4-морфолинил)этил] амино] карбонил] амино] -N-(2,4,6-триметилфенил)-6-бензотиазолкарбоксамид; 2-[[[[2-(2-пиридинил)этил] амино] карбонил] амино] -N-(2,4,6-триметилфенил)-6-бензотиазолкарбоксамид; 2-[[[(1,1,3,3-тетраметилбутил)амино] карбонил] амино] -N-(2,4,6-триметилфенил)-6-бензотиазолкарбоксамид; 2-[[[(1,1-диметил-пропил)амино] карбонил] амино] -N-(2,4,6-триметилфенил)-6-бензотиазолкарбоксамид; 2-[[[(1,5-диметилгексил)амино] карбонил] амино] -N-(2,4,6-триметилфенил)-6-бензотиазолкарбоксамид; 2-[[(циклопентиламино)карбонил] амино] -N-(2,4,6-триметилфенил)-6-бензотиазолкарбоксамид; 2-[1[(1,1-диметил-2-гидроксиэтил)амино] карбонил] амино] -N-(2,4,6-триметилфенил)-6-бензотиазолкарбоксамид; 2-[[[[(3-метоксифенил)метил] амино] карбонил] амино] -N-(2,4,6-триметилфенил)-6-бензотиазолкарбоксамид; 2-[[[[(3-метилфенил)метил] амино] карбонил] амино] -N-(2,4,6-триметилфенил)-6-бензотиазолкарбоксамид; 2-[[[[(4-хлорфенил)метил] амино] карбонил] амино] -N-(2,4,6-триметилфенил)-6-бензотиазолкарбоксамид; 2-[[[[2-(4-метоксифенил)этил] амино] карбонил] амино] -N-(2,4,6-триметилфенил)-6-бензотиазолкарбоксамид; 2-[[(2-пропиниламино)карбонил] амино] -N-(2,4,6-триметилфенил)-6-бензотиазолкарбоксамид; 2-[[(2-пропениламино)карбонил] амино] -N-(2,4,6-триметилфенил)-6-бензотиазолкарбоксамид; 2-[[[(3-фенилпропил)амино] карбонил] амино] -N-(2,4,6-триметилфенил)-6-бензотиазолкарбоксамид; 2-[[[[1-(гидроксиметил)циклопентил] амино] карбонил] амино] -N-(2,4,6-триметилфенил)-6-бензотиазолкарбоксамид; 2-[[[[4-(1,1-диметилэтил)циклогексил] амино] карбонил] амино] -N-(2,4,6-триметилфенил)-6-бензотиазолкарбоксамид; 2-[[[(1-пропилбутил)амино] карбонил] амино] -N-(2,4,6-триметилфенил)-6-бензотиазолкарбоксамид; 2-[[[(1,3-диметилпентил)амино] карбонил] амино] -N-(2,4,6-триметилфенил)-6-бензотиазолкарбоксамид; 2-[[[[3-(метилтио)пропил] амино] карбонил] амино] -N-(2,4,6-триметилфенил)-6-бензотиазолкарбоксамид; 2-[[[[1-(метоксиметил)пропил] амино] карбонил] амино] -N-(2,4,6-триметилфенил)-6-бензотиазолкарбоксамид; 2-[[[[2-(2-тиенил)этил] амино] карбонил] амино] -N-(2,4,6-триметилфенил)-6-бензотиазолкарбоксамид; 2-[[[[(2,6-диметоксифенил)метил] амино] карбонил] амино] -N-(2,4,6-триметилфенил)-6-бензотиазолкарбоксамид; (R)-2-[[[[1-(гидроксиметил)-2-фенилэтил] амино] карбонил] амино] -N-(2,4,6-триметилфенил)-6-бензотиазолкарбоксамид; (R)-2-[[[(1-фенилэтил)амино] карбонил] амино] -N-(2,4,6-триметилфенил)-6-бензотиазолкарбоксамид; 2-[[(1-адамантиламино)карбонил] амино] -N-(2,4,6-триметилфенил)-6-бензотиазолкарбоксамид; 2-[[[[2-(4-фторфенил)-1,1-диметилэтил] амино] карбонил] амино] -N-(2,4,6-триметилфенил)-6-бензотиазолкарбоксамид; 2-[[[[2-(2-придинилокси)этил] амино] карбонил] амино] -N-(2,4,6-триметилфенил)-6-бензотиазолкарбоксамид; 2-[[[(1-метил-1-фенилэтил)амино] карбонил] амино] -N-(2,4,6-триметилфенил)-6-бензотиазолкарбоксамид; (R)-2-[[[[1-(4-метилфенил)этил] амино] карбонил] амино] -N-(2,4,6-триметилфенил)-6-бензотиазолкарбоксамид; 2-[[[(1-метилгептил)амино] карбонил] амино] -N-(2,4,6-триметилфенил)-6-бензотиазолкарбоксамид; 2-[[[[(4-метоксифенил)метил] амино] карбонил] амино] -N-(2,4,6-триметилфенил)-6-бензотиазолкарбоксамид; 2-[[[(4-циклогексилфенил)амино] карбонил] амино] -N-(2,4,6-триметилфенил)-6-бензотиазолкарбоксамид; 2-[[[(5,6,7,8-тетрагидро-1-нафталенил)амино] карбонил] амино] -N-(2,4,6-триметилфенил)-6-бензотиазолкарбоксамид; 2-[[[(2,3-дигидро-1Н-инден-5-ил)амино] карбонил] амино] -N-(2,4,6-триметилфенил)-6-бензотиазолкарбоксамид; 2-[[(1,3-бензодиоксол-5илмино)карбонил] амино] -N-(2,4,6-триметилфенил)-6-бензотиазолкарбоксамид; 2-[[(2-пиридиниламино)карбонил] амино] -N-(2,4,6-триметилфенил)-6-бензотиазолкарбоксамид; 2-[[[(3-метил-2-пиридинил)амино] карбонил] амино] -N-(2,4,6-триметилфенил)-6-бензотиазолкарбоксамид; 2-[[[(4-метил-2-пиридинил)амино] карбонил] амино] -N-(2,4,6-триметилфенил)-6-бензотиазолкарбоксамид; 2-[[[(2-хлор-5-метилфенил)амино] карбонил] амино] -N-(2,4,6-триметилфенил)-6-бензотиазолкарбоксамид; 2-[[[(2,6-дихлорфенил)амино] карбонил] амино] -N-(2,4,6-триметилфенил)-6-бензотиазолкарбоксамид; 2-[[[(2-метоксифенил)амино] карбонил] амино] -N-(2,4,6-триметилфенил)-6-бензотиазолкарбоксамид; 2-[[([(1,1′-бифенил] -2-иламино)карбонил] амино] -N-(2,4,6-триметилфенил)-6-бензотиазолкарбоксамид; 2-[[[(2-бензоилфенил)амино] карбонил] амино] -N-(2,4,6-триметилфенил)-6-бензотиазолкарбоксамид; 2-[[[(2-метилфенил)амино] карбонил] амино] -N-(2,4,6-триметилфенил)-6-бензотиазолкарбоксамид; N-(2,4,6-тpимeтилфeнил)-2-[[[(2,4,6-тpимeтилфeнил)aминo] кapбoнил] aминo] -6-бензотиазолкарбоксамид; 2-[[[[2-метил-6-(1-метилэтил)фенил] амино] карбонил] амино] -N-(2,4,6-триметилфенил)-6-бензотиазолкарбоксамид; 2-[[[(3,5-дифторфенил)амино] карбонил] амино] -N-(2,4,6-триметилфенил)-6-бензотиазолкарбоксамид; 2-[[[(3-метоксифенил)амино] карбонил] амино] -N-(2,4,6-триметилфенил)-6-бензотиазолкарбоксамид; 2-[[[(3-метилфенил)амино] карбонил] амино] -N-(2,4,6-триметилфенил)-6-бензотиазолкарбоксамид; 2-[[[(4-цианофенил)амино] карбонил] амино] -N-(2,4,6-триметилфенил)-6-бензотиазолкарбоксамид; 2-[[[(4-фторфенил)амино] карбонил] амино] -N-(2,4,6-триметилфенил)-6-бензотиазолкарбоксамид; 2-[[[(4-хлорфенил)амино] карбонил] амино] -N-(2,4,6-триметилфенил)-6-бензотиазолкарбоксамид; этиловый эфир 4-[[[[6-[[(2,4,6-триметилфенил)амино] карбонил] -2-бензотиазолил] амино] карбонил] амино] бензойной кислоты; 2-[[[(3,4,5-триметоксифенил)амино] карбонил] амино] -N-(2,4,6-триметилфенил)-6-бензотиазолкарбоксамид; 2-[[[(3,4-диметоксифенил)амино] карбонил] амино] -N-(2,4,6-триметилфенил)-6-бензотиазолкарбоксамид; 2-[[[[2,6-бис-(1-метилэтил)фенил] амино] карбонил] амино] -N-(2,4,6-триметилфенил)-6-бензотиазолкарбоксамид; 2-[[[(2-пропилфенил)амино] карбонил] амино] -N-(2,4,6-триметилфенил)-6-бензотиазолкарбоксамид; 2-[[[(3-бром-2,4,6-триметилфенил)амино] карбонил] амино] -N-(2,4,6-триметилфенил)-6-бензотиазолкарбоксамид; 2-[[[[2-(4-морфолинил)фенил] амино] карбонил] амино] -N-(2,4,6-триметилфенил)-6-бензотиазолкарбоксамид; 2-[[[(3-бром-2-метилфенил)амино] карбонил] амино] -N-(2,4,6-триметилфенил)-6-бензотиазолкарбоксамид; 2-[[[(2,6-диметоксифенил)амино] карбонил] амино] -N-(2,4,6-триметилфенил)-6-бензотиазолкарбоксамид; 2-[[[(2-бром-5-метоксифенил)амино] карбонил] амино] -N-(2,4,6-триметилфенил)-6-бензотиазолкарбоксамид; 2-[[[(2-метокси-6-метилфенил)амино] карбонил] амино] -N-(2,4,6-триметилфенил)-6-бензотиазолкарбоксамид; 2-[[[(2,3-диметил-1Н-индол-5-ил)амино] карбонил] амино] -N-(2,4,6-триметилфенил)-6-бензотиазолкарбоксамид; 2-[[[[3-(1,3,4-оксадиазол-2-ил)фенил] амино] карбонил] амино] -N-(2,4,6-триметилфенил)-6-бензотиазолкарбоксамид; 2-[[[(2-хлор-6-метилфенил)амино] карбонил] амино] -N-(2,4,6-триметилфенил)-6-бензотиазолкарбоксамид; 2-[[[[3-(метилтио)фенил] амино] карбонил] амино] -N-(2,4,6-триметилфенил)-6-бензотиазолкарбоксамид; 2-[[[(4-метокси-2-метилфенил)амино] карбонил] амино] -N-(2,4,6-триметилфенил)-6-бензотиазолкарбоксамид; 2-[[(4-метоксициклогексил)карбонил] амино] -N-(2,4,6-триметилфенил)-6-бензотиазолкарбоксамид; 2-[(2,2-диметил-1-оксопропил)амино] -N-(2,4,6-триметилфенил)-6-бензотиазолкарбоксамид; 2-[(2-тиенилацетил)амино] -N-(2,4,6-триметилфенил)-6-бензотиазолкарбоксамид; 2-[(циклопропилкарбонил)амино] -N-(2,4,6-триметилфенил)-6-бензотиазолкарбоксамид; 2-[(циклобутилкарбонил)амино] -N-(2,4,6-триметилфенил)-6-бензотиазолкарбоксамид; 2-[(циклопентилкарбонил)амино] -N-(2,4,6-триметилфенил)-6-бензотиазолкарбоксамид; 2-[(3-циклопентил-1-оксопропил)амино] -N-(2,4,6-триметилфенил)-6-бензотиазолкарбоксамид; 2-[(циклопентен-1-илкарбонил)амино] -N-(2,4,6-триметилфенил)-6-бензотиазолкарбоксамид; 2-[(циклогексилацетил)амино] -N-(2,4,6-триметилфенил)-6-бензотиазолкарбоксамид; 2-[(1-оксо-2-фенилпропил)амино] -N-(2,4,6-триметилфенил)-6-бензотиазолкарбоксамид; 2-[(2-метил-1-оксопропил)амино] -N-(2,4,6-триметилфенил)-6-бензотиазолкарбоксамид; 2-[(1-оксо-3-феноксипропил)амино] -N-(2,4,6-триметилфенил)-6-бензотиазолкарбоксамид; 2-[(1-оксо-3-фенилпропил)амино] -N-(2,4,6-триметилфенил)-6-бензотиазолкарбоксамид; 2-[[3-(2-метоксифенил)-1-оксопропил] амино] -N-(2,4,6-триметилфенил)-6-бензотиазолкарбоксамид; 2-[[3-(2,3,4-триметоксифенил)-1-оксопропил] амино] -N-(2,4,6-триметилфенил)-6-бензотиазолкарбоксамид; 2-[(1,4-диоксопентил)амино] -N-(2,4,6-триметилфенил)-6-бензотиазолкарбоксамид; 2-[(2-нафталенилацетил)амино] -N-(2,4,6-триметилфенил)-6-бензотиазолкарбоксамид; 2-[[(2-хлор-6-фторфенил)ацетил] амино] -N-(2,4,6-триметилфенил)-6-бензотиазолкарбоксамид; 2-[[(2-метилфенил)ацетил] амино] -N-(2,4,6-триметилфенил)-6-бензотиазолкарбоксамид; 2-[[(3-метоксифенил)ацетил] амино] -N-(2,4,6-триметилфенил)-6-бензотиазолкарбоксамид; 2-[[(4-хлорфенил)ацетил] амино] -N-(2,4,6-триметилфенил)-6-бензотиазолкарбоксамид; 2-[(1-оксо-4-пентинил)амино] -N-(2,4,6-триметилфенил)-6-бензотиазолкарбоксамид; метиловый эфир 5-оксо-5[[6-[[(2,4,6-триметилфенил)амино] карбонил] -2-бензотиазолил] амин] пентановой кислоты; 2-[(1-оксогексил)амино] -N-(2,4,6-триметилфенил)-6-бензотиазолкарбоксамид; 2-[(1-оксогептил)амино] -N-(2,4,6-триметилфенил)-6-бензотиазолкарбоксамид; 2-[[(1-оксо-4-(2-тиенил)бутил] амино] -N-(2,4,6-триметилфенил)-6-бензотиазолкарбоксамид; 2-[(3-тиенилкарбонил)амино] -N-(2,4,6-триметилфенил)-6-бензотиазолкарбоксамид; 2-[[(4-нитрофенил)ацетил] амино] -N-(2,4,6-триметилфенил)-6-бензотиазолкарбоксамид; 2-[[3,5-бис(трифторметил)фенил] ацетил] амино] -N-(2,4,6-триметилфенил)-6-бензотиазолкарбоксамид; 2-[[2-[4-(2-метилпропил)фенил] -1-оксопропил] амино] -N-(2,4,6-триметилфенил)-6-бензотиазолкарбоксамид; 2-[[(3-циклогексен-1-ил)карбонил] амино] -N-(2,4,6-триметилфенил)-6-бензотиазолкарбоксамид; 2-[[3-(3-метоксифенил)-1-оксопропил] амино] -N-(2,4,6-триметилфенил)-6-бензотиазолкарбоксамид; 2-[[(2,3,6-трихлорфенил)ацетил] амино] -N-(2,4,6-триметилфенил)-6-бензотиазолкарбоксамид; 2-[[(1,3-бензодиоксол-5-ил)ацетал] аминов-(2,4,6-триметилфенил)-6-бензотиазолкарбоксамид; 2-[[[2-(фенилметокси)фенил] ацетил] амино] -N-(2,4,6-триметилфенил)-6-бензотиазолкарбоксамид; 2-[[(3,5-диметоксифенил)ацетил] амино] -N-(2,4,6-триметилфенил)-6-бензотиазолкарбоксамид; 2-[[3-(1,3-бензодиоксол-5-ил)-1-оксопропил] амино] -N-(2,4,6-триметилфенил)-6-бензотиазолкарбоксамид; 2-[[(тетрагидро-2-фуранил)карбонил] амино] -N-(2,4,6-триметилфенил)-6-бензотиазолкарбоксамид; 2-[[2-(ацетиламино)-1-оксопропил)амино] -N-(2,4,6-триметилфенил)-6-бензотиазолкарбоксамид; 2-[[2-(ацеталамино)-1-оксогесил] амино] -N-(2,4,6-триметалфенил)-6-бензотиазолкарбоксамид; 2-[(циклопропилацетил)амино] -N-(2,4,6-триметилфенил)-6-бензотиазолкарбоксамид; N, N-димeтил-N’-[6-[[(2,4,6-тpимeтилфeнил)aминo] кapбoнил] -2-бензотиазолил] бутандиамид; 2-[(1-адамантилкарбонил)амино] -N-(2,4,6-триметилфенил)-6-бензотиазолкарбоксамид; 2-[[(4-метилциклогексил)карбонил] амино] -N-(2,4,6-триметилфенил)-6-бензотиазолкарбоксамид; 2-[(3-метокси-1-оксопропил)амино] -N-(2,4,6-триметилфенил)-6-бензотиазолкарбоксамид; 1,1-диметилэтиловый эфир [6-[[(2,3-дигидро-1Н-инден-5-ил)амино] карбонил] -2-бензотиазолил] карбаминовой кислоты; 1,1-диметилэтиловый эфир [6-[(2-нафталиниламино)карбонил] -2-бензотиазолил] карбаминовой кислоты; 1,1-диметилэтиловый эфир [6-[[(3-гидрокси-2-нафталенил)амино] карбонил] -2-бензотиазолил] карбаминовой кислоты; 1,1-диметилэтиловый эфир [6-[[(2-фтор-5-метилфенил)амино] карбонил] -2-бензотиазолил] карбаминовой кислоты; 1,1-диметилэтиловый эфир [6-[[(2-хлор-6-метилфенил)амино] карбонил] -2-бензотиазолил] карбаминовой кислоты; 1,1-диметилэтиловый эфир [6-[[(2,6-диметилфенил)амино] карбонил] -2-бензотиазолил] карбаминовой кислоты; 1,1-диметилэтиловый эфир [6-[[(4-бром-2-метилфенил)амино] карбонил] -2-бензотиазолил] карбаминовой кислоты; 1,1-диметилэтиловый эфир [6-[[(3-бром-2,4,6-триметилфенил)амино] карбонил] -2-бензотиазолил] карбаминовой кислоты; 1,1-диметилэтиловый эфир [6-[[[2,6-диметил-3-(1-метилэтил)фенил)амино] карбонил] -2-бензотиазолил] карбаминовой кислоты; 1,1-диметилэтиловый эфир [6-[[(2-бром-4,6-диметилфенил)амино] карбонил] -2-бензотиазолил] карбаминовой кислоты; 1,1-диметилэтиловый эфир [6-[[(2-метил-6-хинолинил)амино] карбонил] -2-бензотиазолил] карбаминовой кислоты; 1,1-диметилэтиловый эфир [6-[[(4-метокси-2-нафталенил)амино] карбонил] -2-бензотиазолил] карбаминовой кислоты; 1,1-диметилэтиловый эфир [6-[[(6-метил-5-хинолинил)амино] карбонил] -2-бензотиазолил] карбаминовой кислоты; 1,1-диметилэтиловый эфир[6-[[[2-(2-гидроксиэтил)-6-метилфенил] амино] карбонил] -2-бензотиазолил] карбаминовой кислоты; 1,1-диметилэтиловый эфир[6-[[(2,6-диметил-3-нитрофенил)амино] карбонил] -2-бензотиазолил] карбаминовой кислоты; 1,1-диметилэтиловый эфир[6-[[(2-бром-3,4,6-триметилфенил)амино] карбонил] -2-бензотиазолил] карбаминовой кислоты; 1,1-диметилэтиловый эфир [6-[[(2-ацетил-6-гидроксифенил)амино] карбонил] -2-бензотиазолил] карбаминовой кислоты; 1,1-диметилэтиловый эфир [6-[[[4-[[(1,1-диметилэтокси)карбонил] амино] -2,3,5,6-тетраметилфенил] амино] карбонил] -2-бензотиазолил] карбаминовой кислоты; 1,1-диметилэтиловый эфир [6-[[(4-бром-2,6-диметилфенил)амино] карбонил] -2-бензотиазолил] карбаминовой кислоты; 1,1-диметилэтиловый эфир [6-[[[3-ацетиламино] -4,6-диметилфенил] амино] карбонил] -2-бензотиазолил] карбаминовой кислоты; 1,1-диметилэтиловый эфир [6-[[(2,6-диметоксифенил)амино] карбонил] -2-бензотиазолил] карбаминовой кислоты; 1,1-диметилэтиловый эфир [6-[[(2-метил-1-нафталенил)амино] карбонил] -2-бензотиазолил] карбаминовой кислоты; метиловый эфир 3-[[[2-[[(1,1-диметилэтокси)карбонил] амино] -6-бензотиазолил] карбонил] амино] -4-метил-2-тиофенкарбоновой кислоты; метиловый эфир [6-[[(2,4,6-триметилфенил)амино] карбонил] -2-бензотиазолил] карбаминовой кислоты; 2-[[(ацетиламино)ацетил] амино] -N-(2,4,6-триметилфенил)-6-бензотиазолкарбоксамид; N-(2-хлор-6-метилфенил)-2-[[[(1,1-диметилэтил)амино] карбонил] амино] -6-бензотиазолкарбоксамид; N-(2,6-дихлорфенил)-2-[[[(1,1-диметилэтил)амино] карбонил] амино] -6-бензотиазолкарбоксамид; N-(4-бpoм-2,6-димeтилфeнил)-2-[[[(1,1-димeтилэтил)aминo] кapбoнил] aминo] -6-бензотиазолкарбоксамид; N-(4-карбометокси-2,6-диметилфенил)-2-[[[(1,1-диметилэтил)амино] карбонил] амино] -6-бензотиазолкарбоксамид; N-(4-гидроксиметил-2,6-диметилфенил)-2-[[[(1,1-диметилэтил)амино] карбонил] амино] -6-бензотиазолкарбоксамид; 1,1-диметилэтиловый эфир [4-метил-6-[[(2,4,6-триметилфенил)амино] карбонил] -2-бензотиазолил] карбаминовой кислоты; трифторацетат (1: 1) 2-амино-4-метил-N-(2,4,6-триметилфенил)-6-бензотиазолкарбоксамида; 1,1-диметилэтиловый эфир 4-метокси-[6-[[(2,4,6-триметилфенил)амино] карбонил] -2-бензотиазолил] карбаминовой кислоты; трифторацетат (1: 1) 2-амино-4-метокси-N-(2,4,6-триметилфенил)-6-бензотиазолкарбоксамида; 2-[[(метиламино)карбонил] амино] -N-(2,4,6-триметилфенил)-6-бензотиазолкарбоксамид; 2-[[[метиламино] карбонил] амино] -4-метокси-N-(2,4,6-триметилфенил)-6-бензотиазолкарбоксамид; 1,1-диметилэтиловый эфир 5-метокси-[6-[[(2,4,6-триметилфенил)амино] карбонил] -2-бензотиазолил] карбаминовой кислоты; трифторацетат (1: 1) 2-амино-N-(4-N, N-диметиламино-2,3,5,6-тетраметилфенил)-6-бензотиазолкарбоксамида; 1,1-диметилэтиловый эфир 5-хлор-[6-[[(2,4,6-триметилфенил)амино] карбонил] -2-бензотиазолил] карбаминовой кислоты; 1,1-диметилэтиловый эфир 7-хлор-[6-[[(2,4,6-триметилфенил)амино] карбонил] -2-бензотиазолил] карбаминовой кислоты; 2-амино-5-гидрокси-N-(2,4,6-триметилфенил)-6-бензотиазолкарбоксамид; 1,1-диметилэтиловый эфир 5-трет. -бутоксикарбонил-[6-[[(2,4,6-триметилфенил)амино] карбонил] -2-бензотиазолил] карбаминовой кислоты; 2-[[[(1,1-диметилэтил)амино] карбонил] амино] -N-(2,6-диметилфенил)-6-бензотиазолкарбоксамид; 2-[[(циклопропиламино)карбонил] амино] -N-(2,6-диметилфенил)-6-бензотиазолкарбоксамид; 2-[[(циклопентиламино)карбонил] амино] -N-(2,6-диметилфенил)-6-бензотиазолкарбоксамид; 2-[[[1-(этинил)циклогексил] амино] карбонил] амино] -N-(2,6-диметилфенил)-6-бензотиазолкарбоксамид; 2-[[[(4-метил-циклогексил)амино] карбонил] амино] -N-(2,6-диметилфенил)-6-бензотиазолкарбоксамид; 2-[[[(2,3-дигидро-1Н-инден-1-ил)амино] карбонил] амино] -N-(2,6-диметилфенил)-6-бензотиазолкарбоксамид; 2-[[[[2-(1Н-имидазол-4-ил)этил] амино] карбонил] амино] -N-(2,6-диметилфенил)-6-бензотиазолкарбоксамид; 2-[[[[(тетрагидро-2-фуранил)метил] амино] карбонил] амино] -N-(2,6-диметилфенил)-6-бензотиазолкарбоксамид; 2-[[[[2-(5-метокси-1Н-индол-3-ил)этил] амино] карбонил] амино] -N-(2,6-диметилфенил)-6-бензотиазолкарбоксамид; 2-[[[(1,1-диметил-2-гидроксиэтил)амино] карбонил] амино] -N-(2,6-диметилфенил)-6-бензотиазолкарбоксамид; 2-[[[(1,1-диметил-пропил)амино] карбонил] амино] -N-(2,6-диметилфенил)-6-бензотиазолкарбоксамид; 2-[[[[(3-метоксифенил)метил] амино)карбонил] амино] -N-(2,6-диметилфенил)-6-бензотиазолкарбоксамид; 2-[[[[(4-метоксифенил)метил] амино)карбонил] амино] -N-(2,6-диметилфенил)-6-бензотиазолкарбоксамид; 2-[[(2-пропиниламино)карбонил] амино] -N-(2,6-диметилфенил)-6-бензотиазолкарбоксамид; 2-[[(2-пропениламино)карбонил] амино] -N-(2,6-диметилфенил)-6-бензотиазолкарбоксамид; 2-[[[(3-фенилпропил)амино] карбонил] амино] -N-(2,6-диметилфенил)-6-бензотиазолкарбоксамид; 2-[[[[1-(гидроксиметил)циклопентил] амино] карбонил] амино] -N-(2,6-диметилфенил)-6-бензотиазолкарбоксамид; 2-[[[[1-(метоксиметил)пропил] амино] карбонил] амино] -N-(2,6-диметилфенил)-6-бензотиазолкарбоксамид; (R)-2-[[[(1-фенилэтил)амино] карбонил] амино] -N-(2,6-диметилфенил)-6-бензотиазолкарбоксамид; 2-[[[(3,4,5-триметоксифенил)амино] карбонил] амино] -N-(2,6-диметилфенил)-6-бензотиазолкарбоксамид; 2-[[(1,3-бензодиоксол-5-иламино)карбонил] амино] -N-(2,6-диметилфенил)-6-бензотиазолкарбоксамид; 2-[[[(4-фторфенил)амино] карбонил] амино] -N-(2,6-диметилфенил)-6-бензотиазолкарбоксамид; 2-[[(циклопропиламино)карбонил] амино] -N-(2-хлор-6-метилфенил)-6-бензотиазолкарбоксамид; 2-[[(циклопентиламино)карбонил] амино] -N-(2-хлор-6-метилфенил)-6-бензотиазолкарбоксамид; 2-[[[[1-(этинил)циклогексил] амино] карбонил] амино] -N-(2-хлор-6-метилфенил)-6-бензотиазолкарбоксамид; 2-[[[(4-метил-циклогексил)амино] карбонил] амино] -N-(2-хлор-6-метилфенил)-6-бензотиазолкарбоксамид; 2-[[[(2,3-дигидро-1Н-инден-1-ил)амино] карбонил] амино] -N-(2-хлор-6-метилфенил)-6-бензотиазолкарбоксамид; 2-[[[[2-(1Н-имидазол-4-ил)этил] амино] карбонил] амино] -N-(2-хлор-6-метилфенил)-6-бензотиазолкарбоксамид; 2-[[[[(тетрагидро-2-фуранил)метил] амино] карбонил] амино] -N-(2-хлор-6-метилфенил)-6-бензотиазолкарбоксамид; 2-[[[[2-(5-метокси-1Н-индол-3-ил)этил] амино] карбонил] амино] -N-(2-хлор-6-метилфенил)-6-бензотиазолкарбоксамид; 2-[[[(1,1-диметил-2-гидроксиэтил)амино] карбонил] амино] -N-(2-хлор-6-метилфенил)-6-бензотиазолкарбоксамид; 2-[[[(1,1-диметил-пропил)амино] карбонил] амино] -N-(2-хлор-6-метилфенил)-6-бензотиазолкарбоксамид; 2-[[[[(3-метоксифенил)метил] амино)карбонил] амино] -N-(2-хлор-6-метилфенил)-6-бензотиазолкарбоксамид; 2-[[[[(4-метоксифенил)метил] амино)карбонил] амино] -N-(2-хлор-6-метилфенил)-6-бензотиазолкарбоксамид; 2-[[(2-пропиниламино)карбонил] амино] -N-(2-хлор-6-метилфенил)-6-бензотиазолкарбоксамид; 2-[[(2-пропениламино)карбонил] амино] -N-(2-хлор-6-метилфенил)-6-бензотиазолкарбоксамид; 2-[[[(3-фенилпропил)амино] карбонил] амино] -N-(2-хлор-6-метилфенил)-6-бензотиазолкарбоксамид; 2-[[[[1-(гидроксиметил)циклопентил] амино] карбонил] амино] -N-(2-хлор-6-метилфенил)-6-бензотиазолкарбоксамид; 2-[[[[1-(метоксиметил)пропил] амино] карбонил] амино] -N-(2-хлор-6-метилфенил)-6-бензотиазолкарбоксамид; (R)-2-[[[(1-фенилэтил)амино] карбонил] амино] -N-(2-хлор-6-метилфенил)-6-бензотиазолкарбоксамид; 2-[[[(2,3-диметил-1Н-индол-5-ил)этил] амино] карбонил] амино] -N-(2-хлор-6-метилфенил)-6-бензотиазолкарбоксамид; 2-[[[(3,4,5-триметоксифенил)амино] карбонил] амино] -N-(2-хлор-6-метилфенил)-6-бензотиазолкарбоксамд; 2-[[(1,3-бензодиоксол-5-иламино)карбонил] амино] -N-(2-хлор-6-метилфенил)-6-бензотиазолкарбоксамид; 2-[[[(4-фторфенил)амино] карбонил] амино] -N-(2-хлор-6-метилфенил)-6-бензотиазолкарбоксамид; 2-[[[[(1-метоксикарбонил)циклопропил] амино] карбонил] амино] -N-(2,4,6-триметилфенил)-6-бензотиазолкарбоксамид; 1,1-диметилэтиловый эфир [6-[[[(2,6-диметил-4-фенил)фенил] амино] карбонил] -2-бензотиазолил] карбаминовой кислоты; 1,1-диметилэтиловый эфир [6-[[[(2,6-диметил-4-(2-N, N-диметилэтокси)фенил] амино] карбонил] -2-бензотиазолил] карбаминовой кислоты; 1,1-диметилэтиловый эфир [6-[[[(2,6-диметил-(2-морфолинэтокси) фенил] амино] карбонил] -2-бензотиазолил] карбаминовой кислоты; 2-[(циклопропилкарбонил)амино] -N-(2-хлор-6-метилфенил)-6-бензотиазолкарбоксамид; 2-[(2-метил-циклопропилкарбонил)амино] -N-(2-хлор-6-метилфенил)-6-бензотиазолкарбоксамид; 2-[(2,2-дихлор-1-метил-циклопропилкарбонил)амино] -N-(2-хлор-6-метилфенил)-6-бензотиазолкарбоксамид; 2-[(1-гидрокси-циклопропилкарбонил)амино] -N-(2-хлор-6-метилфенил)-6-бензотиазолкарбоксамид; N-(2-хлop-6-мeтилфeнил)-2-[(циклoбyтилкapбoнил)aминo] -6-бeнзoтиaзoлкapбoкcaмид; N-(2-хлop-6-мeтилфeнил)-2-[(циклoпeнтилкapбoнил)aминo] -6-бензотиазолкарбоксамид; N-(2-хлор-6-метилфенил)-2-[(циклогексилацетил)амино] -6-бензотиазолкарбоксамид; N-(2-хлор-6-метилфенил)-2-[(метоксиацетил)амино] -6- бензотиазолкарбоксамид; N-(2-хлор-6-метилфенил)-2-[(1-оксо-2-фенилпропил)амино] -6-бензотиазолкарбоксамид; N-(2-хлop-6-мeтилфeнил)-2-[(1-оксо-2-метилпропил)амино] -6-бензотиазолкарбоксамид; N-(2-хлор-6-метилфенил)-2-[(1-оксо-3-фенилпропил)амино] -6-бензотиазолкарбоксамид; N-(2-хлор-6-метилфенил)-2-[[3-(2-метоксифенил)-1-оксопропил] амино] -6-бензотиазолкарбоксамид; N-(2-хлор-6-метилфенил)-2-[[1-оксо-3-(2,3,4-триметоксифенил) пропил] амино] -6-бензотиазолкарбоксамид; N-(2-хлор-6-метилфенил)-2-[(1,4-диоксопентил)амино] -6-бензотиазолкарбоксамид; N-(2-хлор-6-металфенил)-2-[(2,2-диметил-1-оксобутил)амино] -6-бензотиазолкарбоксамид; 2-[[(2-хлор-6-фторфенил)ацетил] амино] -N-(2-хлор-6-метилфенил)-6-бензотиазолкарбоксамид; N-(2-хлор-6-метилфенил)-2-[[(2-метилфенил)ацетил] амино] -6-бензотиазолкарбоксамид; N-(2-хлop-6-мeтилфeнил)-2-[[(3-мeтoкcифeнил)aцeтил] aминo] -6-бензотиазолкарбоксамид; N-(2-хлop-6-мeтилфeнил)-2-[[(4-xлopфeнил)aцeтил] aминo] -6-бeнзoтиaзoлкapбoкcaмид; N-(2-хлop-6-мeтилфeнил)-2-[(l-oкco-4-пeнтинил)aминo] -6-бeнзoтиaзoлкapбoкcaмид; метиловый эфир 5-[[6-[[(2-хлор-6-метилфенил)амино] карбонил] -2-бензотиазолил] амино] -5-оксопентановой кислоты; N-(2-хлор-6-метилфенил)-2-[(1-оксогексил)амино] -6-бензотиазолкарбоксамид; N-(2-хлop-6-мeтилфeнил)-2-[[3-(3-мeтoкcифeнил)-l-oкcoпpoпил] aминo] -6-бензотиазолкарбоксамид; 2-[[(1,3-бензодиоксол-5-ил)ацетил] амино] -N-(2-хлор-6-метилфенил)-6-бензотиазолкарбоксамид; 2-[[3-(1,3-бензодиоксол-5-ил)-1-оксопропил] амино] -N-(2-хлор-6-метилфенил)-6-бензотиазолкарбоксамид; N-(2-хлop-6-мeтилфeнил)-2-[[(3,5-димeтoкcифeнил)aцeтил] aминo] -6-бензотиазолкарбоксамид; N-(2-хлор-6-метилфенил)-2-[(циклопрпилацетил)амино] -6-бензотиазолкарбоксамид; N-(2-хлор-6-метилфенил)-2-[[(1-метилциклопропил)карбонил] амино] -6-бензотиазолкарбоксамид; N-(2-хлop-6-мeтилфeнил)-2-[[[2-(тpимeтилcилил)циклoпpoпил] кapбoнил] aминo] -6-бензотиазолкарбоксамид; N-(2-хлор-6-метилфенил)-2-[[[1-(4-метоксифенил)циклопропил] карбонил] амино] -6-бензотиазолкарбоксамид; транс-N-(2-хлор-6-метилфенил)-2-[[(2-фенилциклопропил)карбонил] амино] -6-бензотиазолкарбоксамид; N-(2-хлор-6-метилфенил)-2-[[[1-(4-метилфенил)циклопропил] карбонил] амино] -6-бензотиазолкарбоксамид; N-(2-хлор-6-метилфенил)-2-[[[1-(4-хлорфенил)циклопропил] карбонил] амино] -6-бензотиазолкарбоксамид; 1,1-диметилэтиловый эфир [1-[[[6-[[(2-хлор-6-метилфенил)амино] карбонил] -2-бензотиазолил] амино] карбонил] циклопропил] карбаминовой кислоты; (1S-транс)-N-(2-хлор-6-метилфенил)-2-[[[2,2-диметил-3-(2-метил-1-пропенил)циклопропил] карбонил] амино] -6-бензотиазолкарбоксамид; (1S-цис)-N-(2-хлор-6-метилфенил)-2-[[[2,2-диметил-3-(2-метил-1-пропенил)циклопропил] карбонил] амино] -6-бензотиазолкарбоксамид; N-(2-хлор-6-метилфенил)-2-[[(1-фенилциклопропил)карбонил] амино] -6-бензотиазолкарбоксамид; N-(2-хлop-6-мeтилфeнил)-2-[[(2-фopмилциклoпpoпил)кapбoнил] aминo] -6-бензотиазолкарбоксамид; этиловый эфир 2-[[[6-[[(2-хлор-6-метилфенил)амино] карбонил] -2-бензотиазолил] амино] карбонил] циклопропанкарбоновой кислоты; метиловый эфир 2-[[[6-[[(2-хлор-6-метилфенил)амино] карбонил] -2-бензотиазолил] амино] карбонил] -1-метилциклопропанкарбоновой кислоты; N-(2-хлор-6-метилфенил)-2-[[[2-(фенилметил)циклопропил] карбонил] амино] -6-бензотиазолкарбоксамид; N-[6-[[(2-хлор-6-метилфенил)амино] карбонил] -2-бензотиазолил] -2-хинолинкарбоксамид; N-(2-хлор-6-метилфенил)-2-[(2-пиридинилкарбонил)амино] -6-бензотиазолкарбоксамид; 1-оксид N-(2-xлop-6-мeтилфeнил)-2-[(2-пиpидинилкapбoнил)aминo] -6-бензотиазолкарбоксамида; транс-N-(2-хлор-6-метилфенил)-2-[[[2-[(диметиламино)метил] циклопропил] карбонил] амино] -6-бензотиазолкарбоксамид; N-(2-хлор-6-метилфенил)-2-[[(1-метил-1Н-пиррол-2-ил)ацетил] амино] -6-бензотиазолкарбоксамид; N-(2-хлор-6-метилфенил)-2-[[5-(диметиламино)-1-оксопентил] амино] -6-бензотиазолкарбоксамид; N-(2-хлор-6-метилфенил)-2-[[4-(диметиламино)-1-оксобутил] амино] -6-бензотиазолкарбоксамид; транс-N-(2-хлор-6-метилфенил)-2-[[[2-(1-пирролидинилметил)циклопропил] карбонил] амино] -6-бензотиазолкарбоксамид; транс-N-(2-хлор-6-метилфенил)-2-[[[2-(1-пиперидинилметил)циклопропил] карбонил] амино] -6-бензотиазолкарбоксамид; N-(2-хлop-6-мeтилфeнил)-2-[[(диметиламино)ацетил] амино] -6-бензотиазолкарбоксамид; N-(2-хлop-6-мeтилфeнил)-2-[[3-(2-мeтил-4-нитpo-1Н-имидазол-1-ил)-1-оксопропил] амино] -6-бензотиазолкарбоксамид; 2-[(циклобутилкарбонил)амино] -N-(2,6-диметилфенил)-6-бензотиазолкарбоксамид; 2-[(циклопентилкарбонил)амино] -N-(2,6-диметилфенил)-6-бензотиазолкарбоксамид; 2-[(циклогексилацетил)амино] -N-(2,6-диметилфенил)-6-бензотиазолкарбоксамид; N-(2,6-димeтилфeнил)-2-[(1-oкco-2-фeнилпpoпил)aминo] -6-бeнзoтиaзoлкapбoкcaмид; N-(2,6-димeтилфeнил)-2-[(2-мeтил-1-oкcoпpoпил)aминo] -6-бeнзoтиaзoлкapбoкcaмид; N-(2,6-димeтилфeнил)-2-[(1-oкco-3-фeнилпpoпил)aминo] -6-бeнзoтиaзoлкapбoкcaмид; N-(2,6-диметилфенил)-2-[[3-(2-метоксифенил)-1-оксопропил] амино] -6-бензотиазолкарбоксамид; N-(2,6-димeтилфeнил)-2-[[3-(2,3,4-тpимeтoкcифeнил)-1-oкcoпpoпил] aминo] -6-бензотиазолкарбоксамид; N-(2,6-димeтилфeнил)-2-[(1,4-диoкcoпeнтил)aминo] -6-бeнзoтиaзoлкapбoкcaмид; 2-[(2,2-диметил-1-оксобутил)амино] -N-(2,6-диметилфенил)-6-бензотиазолкарбоксамид; N-(2,6-димeтилфeнил)-2-[(мeтoкcиaцeтил)aминo] -6-бeнзoтиaзoлкapбoкcaмид; N, N-диметил-N’-[6-[[(2,6-дииметилфенил)амино] карбонил] -2-бензотиазолил] бутандиамид; N-(2,6-димeтилфeнил)-2-[[(1-мeтилциклoпpoпил] кapбoнил] aминo] -6-бензотиазолкарбоксамид; 2-[[(2-хлор-6-фторфенил)ацетил] амино] -N-(2,6-диметилфенил)-6-бензотиазолкарбоксамид; N-(2,6-димeтилфeнил)-2-[[(2-мeтилфeнил)aцeтил] aминo] -6-бeнзoтиaзoлкapбoкcaмид; N-(2,6-диметилфенил)-2-[[(3-метоксифенил)ацетил] амино] -6-бензотиазолкарбоксамид; 2-[[(4-хлорфенил)ацетил] амино] -N-(2,6-диметилфенил)-6-бензотиазолкарбоксамид; N-(2,6-димeтилфeнил)-2-[(l-oкco-4-пeнтинил)aминo] -6-бeнзoтиaзoлкapбoкcaмид; N-(2,6-диметилфенил)-2-[(1-оксогексил)амино] -6-бензотиазолкарбоксамид; N-(2,6-диметилфенил)-2-[[3-(3-метоксифенил)-1-оксопропил] амино] -6-бензотиазолкарбоксамид; 2-[[3-(1,3-бензодиоксол-5-ил)-1-оксопропил] амино] -N-(2,6-диметилфенил)-6-бензотиазолкарбоксамид; 2-[[(1,3-бензодиоксол-5-ил)ацетил] амино] -N-(2,6-диметилфенил)-6-бензотиазолкарбоксамид; 2-[[(3,5-диметоксифенил)ацетил] амино] -N-(2,6-диметилфенил)-6-бензотиазолкарбоксамид; 2-[(циклопропилацетил)амино] -N-(2,6-диметилфенил)-6-бензотиазолкарбоксамид; N-(2,6-диметилфенил)-2-[[[2-(фенилметил)циклопропил] карбонил] амино] -6-бензотиазолкарбоксамид; N-(2,6-димeтилфeнил)-2-[[[2-(тpимeтилcилил)циклoпpoпил] кapбoнил] aминo] -6-бензотиазолкарбоксамид; 2-[(циклопропилкарбонил)амино] -N-(2,6-диметилфенил)-6-бензотиазолкарбоксамид; N-(2,6-диметилфенил)-2-[[(2-метилциклопропил)карбонил] амино] -6-бензотиазолкарбоксамид; транс-N-(2,6-диметилфенил)-2-[[(2-фенилциклопропил)карбонил] амино] -6-бензотиазолкарбоксамид; N-(2,6-диметилфенил)-2-[[[1-(4-метилфенил)циклопропил] карбонил] амино] -6-бензотиазолкарбоксамид; 2-[[[1-(4-хлорфенил)циклопропил] карбонил] амино] -N-(2,6-диметилфенил)-6-бензотиазолкарбоксамид; 1,1-диметилэтиловый эфир [1-[[[6-[[(2,6-диметилфенил)амино] карбонил] -2-бензотиазолил] амино] карбонил] циклопропил] карбаминовой кислоты; (1S-цис)-2-[[[2,2-диметил-3-(2-метил-1-пропенил)циклопропил] карбонил] амино] -N-(2,6-диметилфенил)-6-бензотиазолкарбоксамид; N-(2,6-диметилфенил)-2-[[[1-(4-метоксифенил)циклопропил] карбонил] амино] -6-бензотиазолкарбоксамид; N-(2,6-диметилфенил)-2-[[(1-фенилциклопропил)карбонил] амино] -6-бензотиазолкарбоксамид; N-(2,6-диметилфенил)-2-[[(2-формилциклопропил)карбонил] амино] -6-бензотиазолкарбоксамид; этиловый эфир 2-[[[6-[[(2,6-диметилфенил)амино] карбонил] -2-бензотиазолил] амино] карбонил] циклопропанкарбоновой кислоты; 2-[[(2-цианциклопропил)карбонил] амино] -N-(2,6-диметилфенил)-6-бензотиазолкарбоксамид; метиловый эфир 2-[[[6-[[(2,6-диметилфенил)амино] карбонил] -2-бензотиазолил] амино] карбонил] -1-метилциклопропанкарбоновой кислоты; (1S-транс)-2-[[[2,2-диметил-3-(2-метил-1-пропенил)циклопропил] карбонил] амино] -N-(2,6-диметилфенил)-6-бензотиазолкарбоксамид; N-(2,4,6-триметилфенил)-2-[[[2-(триметилсилил)циклопропил] карбонил] амино] -6-бензотиазолкарбоксамид; 2-[[(2-метилциклопропил)карбонил] амино] -N-(2,6-диметилфенил)-6-бензотиазолкарбоксамид; транс-2-[[(2-фенилциклопропил)карбонил] амино] -N-(2,4,6-триметилфенил)-6-бензотиазолкарбоксамид; этиловый эфир 2-[[[6-[[(2,4,6-триметилфенил)амино] карбонил] -2-бензотиазолил] амино] карбонил] циклопропанкарбоновой кислоты; 1,1-диметилэтиловый эфир [1-[[[6-[[(2,4,6-триметилфенил)амино] карбонил] -2-бензотиазолил] амино] карбонил] циклопропил] карбаминовой кислоты; (1S-транс)-2-[[[2,2-диметил-3-(2-метил-1-пропенил)циклопропил] карбонил] амино] -N-(2,4,6-триметилфенил)-6-бензотиазолкарбоксамид; (1S-цис)-2-[[[2,2-диметил-3-(2-метил-1-пропенил)циклопропил] карбонил] амино] -N-(2,4,6-диметилфенил)-6-бензотиазолкарбоксамид; 2-[[(1-фенилциклопропил)карбонил] амино] -N-(2,4,6-триметилфенил)-6-бензотиазолкарбоксамид; 2-[[(2-формилциклопропил)карбонил] амино] -N-(2,4,6-триметилфенил)-6-бензотиазолкарбоксамид; 2-[[(2-цианциклопропил)карбонил] амино] -N-(2,4,6-триметилфенил)-6-бензотиазолкарбоксамид; метиловый эфир 2-[[[6-[[(2,4,6-триметилфенил)амино] карбонил] -2-бензотиазолил] амино] карбонил] -1-метилциклопропанкарбоновой кислоты; 2-[[[2-(фенилметил)циклопропил] карбонил] амино] -N-(2,4,6-триметилфенил)-6-бензотиазолкарбоксамид; 2-[[[1-(4-метилфенил)циклопропил] карбонил] амино] -N-(2,4,6-триметилфенил)-6-бензотиазолкарбоксамид; 2-[[[1-(4-хлорфенил)циклопропил] карбонил] амино] -N-(2,4,6-триметилфенил)-6-бензотиазолкарбоксамид; 2-[[[1-(4-метоксифенил)циклопропил] карбонил] амино] -N-(2,4,6-триметилфенил)-6-бензотиазолкарбоксамид; N-(2-хлop-6-мeтилфeнил)-2-[[[[2-(1-пипepидинил)этил] амино] карбонил] амино] -6-бензотиазолкарбоксамид; N-(2-хлор-6-метилфенил)-2-[[[[(2-хлорфенил)метил] амино] карбонил] амино] -6-бензотиазолкарбоксамид; N-(2-хлop-6-мeтилфeнил)-2-[[[[(2-фтopфeнил)мeтил] амино] карбонил] амино] -6-бензотиазолкарбоксамид; N-(2-хлop-6-мeтилфeнил)-2-[[[(2-фeнoкcиэтил)амино] карбонил] амино] -6-бензотиазолкарбоксамид; 2-[[[(бензо[b] тиофен-3-илметил)амино] карбонил] амино] -N-(2-хлор-6-метилфенил)-6-бензотиазолкарбоксамид; (R)-N-(2-хлор-6-метилфенил)-2-[[[(2-гидрокси-1-фенилэтил)амино] карбонил] амино] -6-бензотиазолкарбоксамид; N-(2-хлор-6-метилфенил)-2-[[[[[4-(диметиламино)фенил] метил] амино] карбонил] амино] -6-бензотиазолкарбоксамид; (S)-N-(2-хлор-6-метилфенил)-2-[[[(2-гидрокси-1-фенилэтил)амино] карбонил] амино] -6-бензотиазолкарбоксамид; N-(2-хлop-6-мeтилфeнил)-2-[[[[(4-нитpoфeнил)мeтил] амино] карбонил] амино] -6-бензотиазолкарбоксамид; N-(2-хлop-6-мeтилфeнил)-2-[[[2-(1-пиppoлидинил)этил] амино] карбонил] амино] -6-бензотиазолкарбоксамид; N-(2-хлор-6-метилфенил)-2-[[[[[4-(трифторметокси)фенил] метил] амино] карбонил] амино] -6-бензотиазолкарбоксамид; N-(2-хлор-6-метилфенил)-2-[[[[2-(2-пиридинил)этил] амино] карбонил] амино] -6-бензотиазолкарбоксамид; N-(2-хлор-6-метилфенил)-2-[[[(3-пирролидинилметил)амино] карбонил] амино] -6-бензотиазолкарбоксамид; N-(2-хлop-6-мeтилфeнил)-2-[[[(4-пиppoлидинилмeтил)амино] карбонил] амино] -6-бензотиазолкарбоксамид; N-(2-хлop-6-мeтилфeнил)-2-[[[[(3-xлopфeнил)мeтил] амино] карбонил] амино] -6-бензотиазолкарбоксамид; N-(2-хлop-6-мeтилфeнил)-2-[[[[(2,3-диxлopфeнил)мeтил] амино] карбонил] амино] -6-бензотиазолкарбоксамид; N-(2-хлор-6-метилфенил)-2-[[[[(3,4-дифторфенил)метил] амино] карбонил] амино] -6-бензотиазолкарбоксамид; N-(2-хлop-6-мeтилфeнил)-2-[[[[(2,6-димeтoкcифeнил)мeтил] амино] карбонил] амино] -6-бензотиазолкарбоксамид; N-(2-хлор-6-метилфенил)-2-[[[[(2-этоксифенил)метил] амино] карбонил] амино] -6-бензотиазолкарбоксамид; N-(2-хлop-6-мeтилфeнил)-2-[[[[(2,3-дигидpo-1,4-бензодиоксин-2-ил)метил] амино] карбонил] амино] -6-бензотиазолкарбоксамид; N-(2-хлop-6-мeтилфeнил)-2-[[[[2-(3-мeтoкcифeнил)этил] амино] карбонил] амино] -6-бензотиазолкарбоксамид; N-(2-хлop-6-мeтилфeнил)-2-[[[[2-(4-мeтoкcифeнил)этил] амино] карбонил] амино] -6-бензотиазолкарбоксамид; N-(2-хлор-6-метилфенил)-2-[[[[(2-метилфенил)метил] амино] карбонил] амино] -6-бензотиазолкарбоксамид; N-(2-хлop-6-мeтилфeнил)-2-[[[[(3-мeтилфeнил)мeтил] амино] карбонил] амино] -6-бензотиазолкарбоксамид; N-(2-хлop-6-мeтилфeнил)-2-[[[[(5-мeтил-2-фypaнил)мeтил] амино] карбонил] амино] -6-бензотиазолкарбоксамид; (S)-N-(2-хлор-6-метилфенил)-2-[[[[1-(гидроксиметил)-2-фенилэтил] амино] карбонил] амино] -6-бензотиазолкарбоксамид; N-(2-хлор-6-метилфенил)-2-[[[[2-(фениламино)этил] амино] карбонил] амино] -6-бензотиазолкарбоксамид; N-(2-хлор-6-метилфенил)-2-[[[(2-тиенилметил)амино] карбонил] амино] -6-бензотиазолкарбоксамид; N-(2-хлop-6-мeтилфeнил)-2-[[[[2-(1Н-индол-3-ил)этил] амино] карбонил] амино] -6-бензотиазолкарбоксамид; 2-[[[[(4-аминофенил)метил] амино] карбонил] амино] -N-(2-хлор-6-метилфенил)-6-бензотиазолкарбоксамид; N-(2-хлор-6-метилфенил)-2-[[[(дифенилметил)амино] карбонил] амино] -6-бензотиазолкарбоксамид; (1R-экзо)-2-[[(бицикло[2.2.1] гептан-2-иламино)карбонил] амино] -N-(2-хлор-6-метилфенил)-6-бензотиазолкарбоксамид; N-(2-хлop-6-мeтилфeнил)-2-[[[[(4-xлopфeнил)мeтил] амино] карбонил] амино] -6-бензотиазолкарбоксамид; N-(2-хлop-6-мeтилфeнил)-2-[[[[l-(4-xлopфeнил)этил] амино] карбонил] амино] -6-бензотиазолкарбоксамид; (R)-N-(2-хлор-6-метилфенил)-2-[[[[1-(4-метилфенил)этил] амино] карбонил] амино] -6-бензотиазолкарбоксамид; (S)-N-(2-хлор-6-метилфенил)-2-[[[[1-(4-метилфенил)этил] амино] карбонил] амино] -6-бензотиазолкарбоксамид; N-(2-хлор-6-метилфенил)-2-[[[[(4-фторфенил)метил] амино] карбонил] амино] -6-бензотиазолкарбоксамид; N-(2-хлор-6-метилфенил)-2-[[[[1-(4-фторфенил)этил] амино] карбонил] амино] -6-бензотиазолкарбоксамид; N-(2-хлор-6-метилфенил)-2-[[[(2-фуранилметил)амино] карбонил] амино] -6-бензотиазолкарбоксамид; N-(2-хлop-6-мeтилфeнил)-2-[[[[1-(4-мeтoкcифeнил)этил] амино] карбонил] амино] -6-бензотиазолкарбоксамид; (S)-N-(2-хлор-6-метилфенил)-2-[[[1-(фенилэтил)амино] карбонил] амино] -6-бензотиазолкарбоксамид; этиловый эфир а-[[[[6-[[(2-хлор-6-метилфенил)амино] карбонил] -2-бензотиазолил] амино] карбонил] амино] бензилуксусной кислоты; N-(2-хлop-6-мeтилфeнил)-2-[[[[2-(4-мeтилфeнил)-1-фенилэтил] амино] карбонил] амино] -6-бензотиазолкарбоксамид; (R)-N-(2-хлор-6-метилфенил)-2-[[[(1-фенилпропил)амино] карбонил] амино] -6-бензотиазолкарбоксамид; N-(2-хлор-6-метилфенил)-2-[[[[(4-метилфенил)метил] амино] карбонил] амино] -6-бензотиазолкарбоксамид; (R)-N-(2-хлор-6-метилфенил)-2-[[[[1-(4-нитрофенил)этил] амино] карбонил] амино] -6-бензотиазолкарбоксамид; N-(2-хлop-6-мeтилфeнил)-2-[[[[l-(4-xлopфeнил)фeнилмeтил] амино] карбонил] амино] -6-бензотиазолкарбоксамид; N-(2-хлop-6-мeтилфeнил)-2-[[[[2-(фeнилтиo)этил] амино] карбонил] амино] -6-бензотиазолкарбоксамид; 2-[[[[(2-бромфенил)метил] амино] карбонил] амино] -N-(2-хлор-6-метилфенил)-6-бензотиазолкарбоксамид; N-(2-хлop-6-мeтилфeнил)-2-[[[[2-(3-фтopфeнил)этил] амино] карбонил] амино] -6-бензотиазолкарбоксамид; N-(2-хлор-6-метилфенил)-2[[[[[4-(трифторметил)фенил] метил] амино] карбонил] амино] -6-бензотиазолкарбоксамид; 2-[[[[(3-бромфенил)метил] амино] карбонил] амино] -N-(2-хлор-6-метилфенил)-6-бензотиазолкарбоксамид; 2-[[[[(4-хлор-2-фторфенил)метил] амино] карбонил] амино] -N-(2-хлор-6-метилфенил)-6-бензотиазолкарбоксамид; 2-[[[(2-амино-2-оксо-1-фенилэтил)амино] карбонил] амино] -N-(2-хлор-6-метилфенил)-6-бензотиазолкарбоксамид; N-(2-хлор-6-метилфенил)-2-[[[[3-(1Н-имидазол-1-ил)пропил] амино] карбонил] амино] -6-бензотиазолкарбоксамид; N-(2-хлор-6-метилфенил)-2-[[[[(2,4-диметоксифенил)метил] амино] карбонил] амино] -6-бензотиазолкарбоксамид; N-(2-хлop-6-мeтилфeнил)-2-[[[[(3-xлop-4-мeтилфeнил)мeтил] амино] карбонил] амино] -6-бензотиазолкарбоксамид; 2-[[[[(3-хлор-4-фторфенил)метил] амино] карбонил] амино] -N-(2-хлор-6-метилфенил)-6-бензотиазолкарбоксамид; 2-[[[[(2-хлор-6-фторфенил)метил] амино] карбонил] амино] -N-(2-хлор-6-метилфенил)-6-бензотиазолкарбоксамид; 2-[[[[(2-хлор-4-фторфенил)метил] амино] карбонил] амино] -N-(2-хлор-6-метилфенил)-6-бензотиазолкарбоксамид; N-(2-хлор-6-метилфенил)-2-[[[[(3,5-дифторфенил)метил] амино] карбонил] амино] -6-бензотиазолкарбоксамид; N-(2-хлор-6-метилфенил)-2-[[[[(2,5-диметоксифенил)метил] амино] карбонил] амино] -6-бензотиазолкарбоксамид; N-(2-хлор-6-метилфенил)-2-[[[[(3,5-диметилфенил)метил] амино] карбонил] амино] -6-бензотиазолкарбоксамид; N-(2-хлор-6-метилфенил)-2-[[[[(3,4-диметоксифенил)метил] амино] карбонил] амино] -6-бензотиазолкарбоксамид; N-(2-хлор-6-метилфенил)-2-[[[[(3,5-диметоксифенил)метил] амино] карбонил] амино] -6-бензотиазолкарбоксамид; N-(2-хлop-6-мeтилфeнил)-2-[[[[[4-(1-метилэтил)фенил] метил] амино] карбонил] амино] -6-бензотиазолкарбоксамид; N-(2-хлор-6-метилфенил)-2-[[[[[4-(1,2,3-тиадиазол-4-ил)фенил] метил] амино] карбонил] амино] -6-бензотиазолкарбоксамид; N-(2-хлop-6-мeтилфeнил)-2-[[[[2-(2-xлopфeнил)этил] амино] карбонил] амино] -6-бензотиазолкарбоксамид; N-(2-хлор-6-метилфенил)-2-[[[(1-метил1-фенилэтил)амино] карбонил] амино] -6-бензотиазолкарбоксамид; N-(2-хлор-6-метилфенил)-2-[[[[(2,5-дихлорфенил)метил] амино] карбонил] амино] -6-бензотиазолкарбоксамид; N-(2-хлop-6-мeтилфeнил)-2-[[[[(2,4-димeтилфeнил)мeтил] амино] карбонил] амино] -6-бензотиазолкарбоксамид; N-(2-хлор-6-метилфенил)-2-[[[[1-(1-нафталенил)этил] амино] карбонил] амино] -6-бензотиазолкарбоксамид; N-(2-хлop-6-мeтилфeнил)-2-[[[[(3,4,5-тpимeтoкcифeнил)мeтил] амино] карбонил] амино] -6-бензотиазолкарбоксамид; N-(2-хлор-6-метилфенил)-2-[[[[(3,4,6-триметоксифенил)метил] амино] карбонил] амино] -6-бензотиазолкарбоксамид; 2-[[[[(4-бромфенил)метил] амино] карбонил] амино] -N-(2-хлор-6-метилфенил)-6-бензотиазолкарбоксамид; этиловый эфир [1R(эндо, эндо)] -3-[[[[6-[[(2-хлор-6-метилфенил)амино] карбонил] -2-бензотиазолил] амино] карбонил] амино] бицикло[2.2.1] гепт-5-ен-2-карбоновой кислоты; этиловый эфир [1S(экзо, экзо)] -3-[[[[6-[[(2-хлор-6-метилфенил)амино] карбонил] -2-бензотиазолил] амино] карбонил] амино] бицикло [2.2.1] гепт-5-ен-2-карбоновой кислоты; этиловый эфир [1R(экзо, экзо)] -3-[[[[6-[[(2-хлор-6-метилфенил)амино] карбонил] -2-бензотиазолил] амино] карбонил] амино] бицикло[2.2.1] гепт-5-ен-2-карбоновой кислоты; [1R(эндо, эндо)] -N-(2-хлор-6-метилфенил)-2-[[[[3-(гидроксиметил) бицикло [2.2.1] гепт-5-ен-2-ил] амино] карбонил] амино] -6-бензотиазолкарбоксамид; [1S(эндо, эндо)] -N-(2-хлор-6-метилфенил)-2-[[[[3-(гидроксиметил) бицикло[2.2.1] гептан-2-ил] амино] карбонил] амино] -6-бензотиазолкарбоксамид; [1R(экзо, экзо)] -N-(2-хлор-6-метилфенил)-2-[[[[3-(гидроксиметил) бицикло[2.2.1] гептан-2-ил] амино] карбонил] амино] -6-бензотиазолкарбоксамид; N-(2-хлop-6-мeтилфeнил)-2-[[[[(3-фтopфeнил)мeтил] амино] карбонил] амино] -6-бензотиазолкарбоксамид; N-(2-хлор-6-метилфенил)-2-[[[[(2-метоксифенил)метил] амино] карбонил] амино] -6-бензотиазолкарбоксамид; (экзо, экзо)-2-[[[[3-(аминокарбонил)бицикло[2.2.1] гепт-5-ен-2-ил] амино] карбонил] амино] -N-(2-хлор-6-метилфенил)-6-бензотиазолкарбоксамид; (S)-N-(2-хлор-6-метилфенил)-2-[[[[1-(1-нафталенил)этил] амино] карбонил] амино] -6-бензотиазолкарбоксамид; N-(2-хлор-6-метилфенил)-2-[[[[[3-(трифторметил)фенил] метил] амино] карбонил] амино] -6-бензотиазолкарбоксамид; N-(2-хлор-6-метилфенил)-2-[[[(фенилметил)амино] карбонил] амино] -6-бензотиазолкарбоксамид; (эндо, эндо)-2-[[[[3-(аминокарбонил)бицикло[2.2.1] гепт-5-ен-2-ил] амино] карбонил] амино] -N-(2-хлор-6-метилфенил)-6-бензотиазолкарбоксамид; N-(2-хлор-6-метилфенил)-2-[[[[1-(4-гидроксифенил)этил] амино] карбонил] амино] -6-бензотиазолкарбоксамид; N-(2-хлор-6-метилфенил)-2-[[[[(2,6-дифторфенил)метил] амино] карбонил] амино] -6-бензотиазолкарбоксамид; N-(2-хлор-6-метилфенил)-2-[[[[(2,3-диметилфенил)метил] амино] карбонил] амино] -6-бензотиазолкарбоксамид; (R)-N-(2-хлор-6-метилфенил)-2-[[[[1-(1-нафталенил)этил] амино] карбонил] амино] -6-бензотиазолкарбоксамид; N-(2-хлор-6-метилфенил)-2-[[[[2-(диметиламино)этил] амино] карбонил] амино] -6-бензотиазолкарбоксамид; N-(2-хлор-6-метилфенил)-2-[[[[1,1-диметил-2-(диметиламино)этил] амино] карбонил] амино] -6-бензотиазолкарбоксамид; N-(2-хлop-6-мeтилфeнил)-2-[[[[1-(фeнилмeтил)-4-пипepидинил] амино] карбонил] амино] -6-бензотиазолкарбоксамид; N-(2-хлop-6-мeтилфeнил)-2-[[[[3-(2-мeтил-1-пипepидинил)пpoпил] амино] карбонил] амино] -6-бензотиазолкарбоксамид; N-(2-хлор-6-метилфенил)-2-[[[[2-(1-метил-2-пирролидинил)этил] амино] карбонил] амино] -6-бензотиазолкарбоксамид; N-(2-хлop-6-мeтилфeнил)-2-[[[[3-(4-мopфoлинил)пpoпил] амино] карбонил] амино] -6-бензотиазолкарбоксамид; N-(2-хлор-6-метилфенил)-2-[[[[1-(фенилметил)-3-пирролидинил] амино] карбонил] амино] -6-бензотиазолкарбоксамид; N-(2-хлор-6-метилфенил)-2-[[[[3-(диэтиламино)пропил] амино] карбонил] амино] -6-бензотиазолкарбоксамид; N-(2-хлop-6-мeтилфeнил)-2-[[[[3-(4-мeтил-1-пиперазинил)пропил] амино] карбонил] амино] -6-бензотиазолкарбоксамид; N-(2-хлop-6-мeтилфeнил)-2-[[[[2-(l-пипepaзинил)этил] амино] карбонил] амино] -6-бензотиазолкарбоксамид; N-(2-хлор-6-метилфенил)-2-[[[[2-(4-морфолинил)этил] амино] карбонил] амино] -6-бензотиазолкарбоксамид; N-(2-хлop-6-мeтилфeнил)-2-[[[(2,2,6,6-тeтpaмeтил-4-пипepидинил)амино] карбонил] амино] -6-бензотиазолкарбоксамид; (R)-N-(2-хлор-6-метилфенил)-2-[[[[1-(фенилметил)-3-пирролидинил] амино] карбонил] амино] -6-бензотиазолкарбоксамид; (S)-N-(2-хлор-6-метилфенил)-2-[[[[1-(фенилметил)-3-пирролидинил] амино] карбонил] амино] -6-бензотиазолкарбоксамид; N-(2-хлор-6-метилфенил)-2-[[[[3-(1-пиперидинил)пропил] амино] карбонил] амино] -6-бензотиазолкарбоксамид N-(2-хлор-6-метилфенил)-2-[[[[3-(1-пиперидинил)пропил] амино] карбонил] амино] -6-бензотиазолкарбоксамид; N-(2-хлop-6-мeтилфeнил)-2-[[[[l-(2-пиpидинил)этил] амино] карбонил] амино] -6-бензотиазолкарбоксамид; N-(2-хлop-6-мeтилфeнил)-2-[[[[l-(3-пиpидинил)этил] амино] карбонил] амино] -6-бензотиазолкарбоксамид; N-(2-хлop-6-мeтилфeнил)-2-[[[[3-(2-oкco-l-пиppoлидинил)пpoпил] амино] карбонил] амино] -6-бензотиазолкарбоксамид; этиловый эфир 4-[[[[6-[[(2-хлор-6-метилфенил)амино] карбонил] -2-бензотиазолил] амино] карбонил] амино] -1-пиперидинкарбоновой кислоты; (S)-2-[[[[1-(4-бромфенил)этил] амино] карбонил] амино] -N-(2-хлор-6-метилфенил)-6-бензотиазолкарбоксамид; (1S-цис)-2-[[[[2-(аминокарбонил)циклогексил] амино] карбонил] амино] -N-(2-хлор-6-метилфенил)-6-бензотиазолкарбоксамид; 2-[[[[3-(1-азепин-1-ил)пропил] амино] карбонил] амино] -N-(2-хлор-6-метилфенил)-6-бензотиазолкарбоксамид; N-(2-хлор-6-метилфенил)-2-[[[[2,2-диметил-3-(диметиламино)пропил] амино] карбонил] амино] -6-бензотиазолкарбоксамид; N-(2-хлop-6-мeтилфeнил)-2-[[(3-пиppoлидинилaминo)карбонил] амино] -6-бензотиазолкарбоксамид; 4-[[[[[6-[[(2-хлор-6-метилфенил)амино] карбонил] -2-бензотиазолил] амино] карбонил] амино] метил] бензойная кислота; N-(2-хлор-6-метилфенил)-2-[[(3-пиридиниламино)карбонил] амино] -6-бензотиазолкарбоксамид; N-(2-хлор-6-метилфенил)-2-[[(4-пиридиниламино)карбонил] амино] -6-бензотиазолкарбоксамид; N-(2-хлор-6-метилфенил)-2-[[[[2-(1Н-пиррол-3-ил)этил] амино] карбонил] амино] -6-бензотиазолкарбоксамид; N-(2-хлор-6-метилфенил)-2-[[(2-пиридиниламино)карбонил] амино] -6-бензотиазолкарбоксамид; N-(2-хлор-6-метилфенил)-2-[[(2-пиримидиниламино)карбонил] амино] -6-бензотиазолкарбоксамид; метиловый эфир 4-[[[[[6-[[(2-хлор-6-метилфенил)амино] карбонил] -2-бензотиазолил] амино] карбонил] амино] метил] бензойной кислоты; N-(2-хлор-6-метилфенил)-2-[[[[(1-этил-2-пирролидинил)метил] амино] карбонил] амино] -6-бензотиазолкарбоксамид; N-(2-хлор-6-метилфенил)-2-[[[[2-[(5-нитро-2-пиридинил)амино] этил] амино] карбонил] амино] -6-бензотиазолкарбоксамид; N-(2-хлор-6-метилфенил)-2-[[[(1-этил-3-пиперидинил)амино] карбонил] амино] -6-бензотиазолкарбоксамид; N-(2-хлop-6-мeтилфeнил)-2-[[[[2-(6-фтор-1Н-индол-2-ил)этил] амино] карбонил] амино] -6-бензотиазолкарбоксамид; транс-N-(2-хлор-6-метилфенил)-2-[[[2-[4-(1,1-диметилэтил)фенил] циклопропил] карбонил] амино] -6-бензотиазолкарбоксамид; транс-N-(2-хлор-6-метилфенил)-2-[[[2-(4-этоксифенил)циклопропил] карбонил] амино] -6-бензотиазолкарбоксамид; транс-N-(2-хлор-6-метилфенил)-2-[[[2-(4-фторфенил)циклопропил] карбонил] амино] -6-бензотиазолкарбоксамид; транс-N-(2-хлор-6-метилфенил)-2-[[[2-[4-(1-метилэтил)фенил] циклопропил] карбонил] амино] -6-бензотиазолкарбоксамид; транс-N-(2-хлор-6-метилфенил)-2-[[[2-[4-(трифторметил)фенил] циклопропил] карбонил] амино] -6-бензотиазолкарбоксамид; транс-N-(2-хлор-6-метилфенил)-2-[[[2-(4-нитрофенил)циклопропил] карбонил] амино] -6-бензотиазолкарбоксамид; транс-N-(2-хлор-6-метилфенил)-2-[[[2-(4-цианфенил)циклопропил] карбонил] амино] -6-бензотиазолкарбоксамид; транс-2-[[(2-[1,1′-бифенил] -4-илциклопропил] карбонил] амино] -N-(2-хлор-6-метилфенил)-6-бензотиазолкарбоксамид; транс-2-[[[2-(1,3-бензодиоксол-4-ил)циклопропил] карбонил] амино] -N-(2-хлор-6-метилфенил)-6-бензотиазолкарбоксамид; транс-N-(2-хлор-6-метилфенил)-2-[[[2-(3-хлорфенил)циклопропил] карбонил] амино] -6-бензотиазолкарбоксамид; транс-N-(2-хлор-6-метилфенил)-2-[[[2-(3-цианфенил)циклопропил] карбонил] амино] -6-бензотиазолкарбоксамид; и транс-N-(2-хлор-6-метилфенил)-2-[[[2-(3-нитрофенил)циклопропил] карбонил] амино] -6-бензотиазолкарбоксамид. 10. Соединение по п. 9, при этом данное соединение формулы I или его соль выбирают из группы, в которую входят: 1,1-диметилэтиловый эфир [6-[[(2,4,6-триметилфенил)амино] карбонил] -2-бензотиазолил] карбаминовой кислоты; 2-амино-N-(2,4,6-триметилфенил)-6-бензотиазолкарбоксамид, трифторацетат (1: 1); 2-(ацетиламино)-N-(2,4,6-триметилфенил)-6-бензотиазолкарбоксамид; 2-(бензоиламино)-N-(2,4,6-триметилфенил)-6-бензотиазолкарбоксамид; 2-[(1-оксопропил)амино] -N-(2,4,6-триметилфенил)-6-бензотиазолкарбоксамид; 2-[(1-оксобутил)амино] -N-(2,4,6-триметилфенил)-6-бензотиазолкарбоксамид; 2-[[[(1,1-диметилэтил)амино] карбонил] амино] -N-(2,4,6-триметилфенил)-6-бензотиазолкарбоксамид; 2-[[[бис(1-метилэтил)амино] карбонил] амино] -N-(2,4,6-триметилфенил)-6-бензотиазолкарбоксамид; 1,1-диметилэтиловый эфир [6-бром-4-[[(2,4,6-триметилфенил)амино] карбонил] -2-бензотиазолил] карбаминовой кислоты; 1,1-диметилэтиловый эфир [4-[[(2,4,6-триметилфенил)амино] карбонил] -2-бензотиазолил] карбаминовой кислоты; 1,1-диметилэтиловый эфир [6-бром-7-[[(2,4,6-триметилфенил)амино] карбонил] -2-бензотиазолил] карбаминовой кислоты; 1,1-диметилэтиловый эфир [7-[[(2,4,6-триметилфенил)амино] карбонил] -2-бензотиазолил] карбаминовой кислоты; 1,1-диметилэтиловый эфир [6-бром-5-[[(2,4,6-триметилфенил)амино] карбонил] -2-бензотиазолил] карбаминовой кислоты; 1,1-диметилэтиловый эфир [5-[[(2,4,6-триметилфенил)амино] карбонил] -2-бензотиазолил] карбаминовой кислоты; 2-[[[фениламино] карбонил] амино] -N-(2,4,6-триметилфенил)-6-бензотиазолкарбоксамид; 2-[[[(фенилметил)амино] карбонил] амино] -N-(2,4,6-триметилфенил)-6-бензотиазолкарбоксамид; 2-[[[этиламино] карбонил] амино] -N-(2,4,6-триметилфенил)-6-бензотиазолкарбоксамид; 2-[[(бутиламино)карбонил] амино] -N-(2,4,6-триметилфенил)-6-бензотиазолкарбоксамид; 2-[[(циклопропиламино)карбонил] амино] -N-(2,4,6-триметилфенил)-6-бензотиазолкарбоксамид; (R)-2-[[[[(3,3-диметилциклогексил)метил] амино] карбонил] амино] -N-(2,4,6-триметилфенил)-6-бензотиазолкарбоксамид; 2-[[[(4-метилциклогексил)амино] карбонил] амино] -N-(2,4,6-триметилфенил)-6-бензотиазолкарбоксамид; 2-[[[(циклогексилметил)амино] карбонил] амино] -N-(2,4,6-триметилфенил)-6-бензотиазолкарбоксамид; 2-[[[(2,3-дигидро-1H-инден-1-ил)амино] карбонил] амино] -N-(2,4,6-триметилфенил)-6-бензотиазолкарбоксамид; 2-[[[(1-нафталинилметил)амино] карбонил] амино] -N-(2,4,6-триметилфенил)-6-бензотиазолкарбоксамид; 2-[[[[2-(1-Н-имидазол-4-ил)этил] амино] карбонил] амино] -N-(2,4,6-триметилфенил)-6-бензотиазолкарбоксамид; 2-[[[[(тетрагидро-2-фуранил)метил] амино] карбонил] амино] -N-(2,4,6-триметилфенил)-6-бензотиазолкарбоксамид; 2-[[[[2-(5-метокси-1Н-индол-3-ил)этил] амино] карбонил] амино] -N-(2,4,6-триметилфенил)-6-бензотиазолкарбоксамид; 2-[[[[2-(4-морфолинил)этил] амино] карбонил] амино] -N-(2,4,6-триметилфенил)-6-бензотиазолкарбоксамид; 2-[[[[2-(2-пиридинил)этил] амино] карбонил] амино] -N-(2,4,6-триметилфенил)-6-бензотиазолкарбоксамид; 2-[[[(1,1,3,3-тетраметилбутил)амино] карбонил] амино] -N-(2,4,6-триметилфенил)-6-бензотиазолкарбоксамид; 2-[[[(1,1-диметил-пропил)амино] карбонил] амино] -N-(2,4,6-триметилфенил)-6-бензотиазолкарбоксамид; 2-[[[(1,5-диметилгексил)амино] карбонил] амино] -N-(2,4,6-триметилфенил)-6-бензотиазолкарбоксамид; 2-[[(циклопентиламино)карбонил] амино] -N-(2,4,6-триметилфенил)-6-бензотиазолкарбоксамид; 2-[[[(1,1-диметил-2-гидроксиэтил)амино] карбонил] амино] -N-(2,4,6-триметилфенил)-6-бензотиазолкарбоксамид; 2-[[[[(3-метоксифенил)метил] амино] карбонил] амино] -N-(2,4,6-триметилфенил)-6-бензотиазолкарбоксамид; 2-[[[[(3-метилфенил)метил] амино] карбонил] амино] -N-(2,4,6-триметилфенил)-6-бензотиазолкарбоксамид; 2-[[[[(4-хлорфенил)метил] амино] карбонил] амино] -N-(2,4,6-триметилфенил)-6-бензотиазолкарбоксамид; 2-[[[[2-(4-метоксифенил)этил] амино] карбонил] амино] -N-(2,4,6-триметилфенил)-6-бензотиазолкарбоксамид; 2-[[(2-пропиниламино)карбонил] амино] -N-(2,4,6-триметилфенил)-6-бензотиазолкарбоксамид; 2-[[(2-пропениламино)карбонил] амино] -N-(2,4,6-триметилфенил)-6-бензотиазолкарбоксамид; 2-[[[(3-фенилпропил)амино] карбонил] амино] -N-(2,4,6-триметилфенил)-6-бензотиазолкарбоксамид; 2-[[[[1-(гидроксиметил)циклопентил] амино] карбонил] амино] -N-(2,4,6-триметилфенил)-6-бензотиазолкарбоксамид; 2-[[[[4-(1,1-диметилэтил)циклогексил] амино] карбонил] амино] -N-(2,4,6-триметилфенил)-6-бензотиазолкарбоксамид; 2-[[[(1-пропилбутил)амино] карбонил] амино] -N-(2,4,6-триметилфенил)-6-бензотиазолкарбоксамид; 2-[[[(1,3-диметилпентил)амино] карбонил] амино] -N-(2,4,6-триметилфенил)-6-бензотиазолкарбоксамид; 2-[[[[3-(метилтио)пропил] амино] карбонил] амино] -N-(2,4,6-триметилфенил)-6-бензотиазолкарбоксамид; 2-[[[[1-(метоксиметил)пропил] амино] карбонил] амино] -N-(2,4,6-триметилфенил)-6-бензотиазолкарбоксамид; 2-[[[[2-(2-тиенил)этил] амино] карбонил] амино] -N-(2,4,6-триметилфенил)-6-бензотиазолкарбоксамид; 2-[[[[(2,6-диметоксифенил)метил] амино] карбонил] амино] -N-(2,4,6-триметилфенил)-6-бензотиазолкарбоксамид; (R)-2-[[[[1-(гидроксиметил)-2-фенилэтил] амино] карбонил] амино] -N-(2,4,6-триметилфенил)-6-бензотиазолкарбоксамид; (R)-2-[[[(1-фенилэтил)амино] карбонил] амино] -N-(2,4,6-триметилфенил)-6-бензотиазолкарбоксамид; 2-[[(1-адамантиламино)карбонил] амино] -N-(2,4,6-триметилфенил)-6-бензотиазолкарбоксамид; 2-[[[[2-(4-фторфенил)-1,1-диметилэтил] амино] карбонил] амино] -N-(2,4,6-триметилфенил)-6-бензотиазолкарбоксамид; 2-[[[[2-(2-придинилокси)этил] амино] карбонил] амино] -N-(2,4,6-триметилфенил)-6-бензотиазолкарбоксамид; 2-[[[(1-метил-1-фенилэтил)амино] карбонил] амино] -N-(2,4,6-триметилфенил)-6-бензотиазолкарбоксамид; (R)-2-[[[[1-(4-метилфенил)этил] амино] карбонил] амино] -N-(2,4,6-триметилфенил)-6-бензотиазолкарбоксамид; 2-[[[(1-метилгептил)амино] карбонил] амино] -N-(2,4,6-триметилфенил)-6-бензотиазолкарбоксамид; 2-[[[[(4-метоксифенил)метил] амино] карбонил] амино] -N-(2,4,6-триметилфенил)-6-бензотиазолкарбоксамид; 2-[[[(4-циклогексилфенил)амино] карбонил] амино] -N-(2,4,6-триметилфенил)-6-бензотиазолкарбоксамид; 2-[[[(5,6,7,8-тетрагидро-1-нафталенил)амино] карбонил] амино] -N-(2,4,6-триметилфенил)-6-бензотиазолкарбоксамид; 2-[[[(2,3-дигидро-1Н-инден-5-ил)амино] карбонил] амино] -N-(2,4,6-триметилфенил)-6-бензотиазолкарбоксамид; 2-[[(1,3-бензодиоксол-5илмино)карбонил] амино] -N-(2,4,6-триметилфенил)-6-бензотиазолкарбоксамид; 2-[[(2-пиридиниламино)карбонил] амино] -N-(2,4,6-триметилфенил)-6-бензотиазолкарбоксамид; 2-[[[(3-метил-2-пиридинил)амино] карбонил] амино] -N-(2,4,6-триметилфенил)-6-бензотиазолкарбоксамид; 2-[[[(4-метил-2-пиридинил)амино] карбонил] амино] -N-(2,4,6-триметилфенил)-6-бензотиазолкарбоксамид; 2-[[[(2-хлор-5-метилфенил)амино] карбонил] амино] -N-(2,4,6-триметилфенил)-6-бензотиазолкарбоксамид; 2-[[[(2,6-дихлорфенил)амино] карбонил] амино] -N-(2,4,6-триметилфенил)-6-бензотиазолкарбоксамид; 2-[[[(2-метоксифенил)амино] карбонил] амино] -N-(2,4,6-триметилфенил)-6-бензотиазолкарбоксамид; 2-[[[(1,1′-бифенил)-2-иламино] карбонил] амино] -N-(2,4,6-триметилфенил)-6-бензотиазолкарбоксамид; 2-[[[(2-бензоилфенил)амино] карбонил] амино] -N-(2,4,6-триметилфенил)-6-бензотиазолкарбоксамид; 2-[[[(2-метилфенил)амино] карбонил] амино] -N-(2,4,6-триметилфенил)-6-бензотиазолкарбоксамид; N-(2,4,6-тpимeтилфeнил)-2-[[[(2,4,6-тpимeтилфeнил)aминo] кapбoнил] aминo] -6-бензотиазолкарбоксамид; 2-[[[[2-метил-6-(1-метилэтил)фенил] амино] карбонил] амино] -N-(2,4,6-триметилфенил)-6-бензотиазолкарбоксамид; 2-[[[(3,5-дифторфенил)амино] карбонил] амино] -N-(2,4,6-триметилфенил)-6-бензотиазолкарбоксамид; 2-[[[(3-метоксифенил)амино] карбонил] амино] -N-(2,4,6-триметилфенил)-6-бензотиазолкарбоксамид; 2-[[[(3-метилфенил)амино] карбонил] амино] -N-(2,4,6-триметилфенил)-6-бензотиазолкарбоксамид; 2-[[[(4-цианофенил)амино] карбонил] амино] -N-(2,4,6-триметилфенил)-6-бензотиазолкарбоксамид; 2-[[[(4-фторфенил)амино] карбонил] амино] -N-(2,4,6-триметилфенил)-6-бензотиазолкарбоксамид; 2-[[[(4-хлорфенил)амино] карбонил] амино] -N-(2,4,6-триметилфенил)-6-бензотиазолкарбоксамид; этиловый эфир 4-[[[[6-[[(2,4,6-триметилфенил)амино] карбонил] -2-бензотиазолил] амино] карбонил] амино] бензойной кислоты; 2-[[[(3,4,5-триметоксифенил)амино] карбонил] амино] -N-(2,4,6-триметилфенил)-6-бензотиазолкарбоксамид; 2-[[[(3,4-диметоксифенил)амино] карбонил] амино] -N-(2,4,6-триметилфенил)-6-бензотиазолкарбоксамид; 2-[[[[2,6-бис-(1-метилэтил)фенил] амино] карбонил] амино] -N-(2,4,6-триметилфенил)-6-бензотиазолкарбоксамид; 2-[[[(2-пропилфенил)амино] карбонил] амино] -N-(2,4,6-триметилфенил)-6-бензотиазолкарбоксамид; 2-[[[(3-бром-2,4,6-триметилфенил)амино] карбонил] амино] -N-(2,4,6-триметилфенил)-6-бензотиазолкарбоксамид; 2-[[[[2-(4-морфолинил)фенил] амино] карбонил] амино] -N-(2,4,6-триметилфенил)-6-бензотиазолкарбоксамид; 2-[[[(3-бром-2-метилфенил)амино] карбонил] амино] -N-(2,4,6-триметилфенил)-6-бензотиазолкарбоксамид; 2-[[[(2,6-диметоксифенил)амино] карбонил] амино] -N-(2,4,6-триметилфенил)-6-бензотиазолкарбоксамид; 2-[[[(2-бром-5-метоксифенил)амино] карбонил] амино] -N-(2,4,6-триметилфенил)-6-бензотиазолкарбоксамид; 2-[[[(2-метокси-6-метилфенил)амино] карбонил] амино] -N-(2,4,6-триметилфенил)-6-бензотиазолкарбоксамид; 2-[[[(2,3-диметил-1Н-индол-5-ил)амино] карбонил] амино] -N-(2,4,6-триметилфенил)-6-бензотиазолкарбоксамид; 2-[[[[3-(1,3,4-оксадиазол-2-ил)фенил] амино] карбонил] амино] -N-(2,4,6-триметилфенил)-6-бензотиазолкарбоксамид; 2-[[[(2-хлор-6-метилфенил)амино] карбонил] амино] -N-(2,4,6-триметилфенил)-6-бензотиазолкарбоксамид; 2-[[[[3-(метилтио)фенил] амино] карбонил] амино] -N-(2,4,6-триметилфенил)-6-бензотиазолкарбоксамид; 2-[[[(4-метокси-2-метилфенил)амино] карбонил] амино] -N-(2,4,6-триметилфенил)-6-бензотиазолкарбоксамид; 2-[[(4-метоксициклогексил)карбонил] амино] -N-(2,4,6-триметилфенил)-6-бензотиазолкарбоксамид; 2-[(2,2-диметил-1-оксопропил)амино] -N-(2,4,6-триметилфенил)-6-бензотиазолкарбоксамид; 2-[(2-тиенилацетил)амино] -N-(2,4,6-триметилфенил)-6-бензотиазолкарбоксамид; 2-[(циклопропилкарбонил)амино] -N-(2,4,6-триметилфенил)-6-бензотиазолкарбоксамид; 2-[(циклобутилкарбонил)амино] -N-(2,4,6-триметилфенил)-6-бензотиазолкарбоксамид; 2-[(циклопентилкарбонил)амино] -N-(2,4,6-триметилфенил)-6-бензотиазолкарбоксамид; 2-[(3-циклопентил-1-оксопропил)амино] -N-(2,4,6-триметилфенил)-6-бензотиазолкарбоксамид; 2-[(циклопентен-1-илкарбонил)амино] -N-(2,4,6-триметилфенил)-6-бензотиазолкарбоксамид; 2-[(циклогексилацетил)амино] -N-(2,4,6-триметилфенил)-6-бензотиазолкарбоксамид; 2-[(1-оксо-2-фенилпропил)амино] -N-(2,4,6-триметилфенил)-6-бензотиазолкарбоксамид; 2-[(2-метил-1-оксопропил)амино] -N-(2,4,6-триметилфенил)-6-бензотиазолкарбоксамид; 2-[(1-оксо-3-феноксипропил)амино] -N-(2,4,6-триметилфенил)-6-бензотиазолкарбоксамид; 2-[(1-оксо-3-фенилпропил)амино] -N-(2,4,6-триметилфенил)-6-бензотиазолкарбоксамид; 2-[[3-(2-метксифенил)-1-оксопропил] амино] -N-(2,4,6-триметилфенил)-6-бензотиазолкарбоксамид; 2-[[3-(2,3,4-триметксифенил)-1-оксопропил] амино] -N-(2,4,6-триметилфенил)-6-бензотиазолкарбоксамид; 2-[(1,4-диоксопентил)амино] -N-(2,4,6-триметилфенил)-6-бензотиазолкарбоксамид; 2-[(2-нафталенилацетил)амино] -N-(2,4,6-триметилфенил)-6-бензотиазолкарбоксамид; 2-[[(2-хлор-6-фторфенил)ацетил] амино] -N-(2,4,6-триметилфенил)-6-бензотиазолкарбоксамид; 2-[[(2-метилфенил)ацетил] амино] -N-(2,4,6-триметилфенил)-6-бензотиазолкарбоксамид; 2-[[(3-метоксифенил)ацетил] амино] -N-(2,4,6-триметилфенил)-6-бензотиазолкарбоксамид; 2-[[(4-хлорфенил)ацетил] амино] -N-(2,4,6-триметилфенил)-6-бензотиазолкарбоксамид; 2-[(1-оксо-4-пентинил)амино] -N-(2,4,6-триметилфенил)-6-бензотиазолкарбоксамид; метиловый эфир 5-оксо-5 [[6-[[(2,4,6-триметилфенил)амино] карбонил] -2-бензотиазолил] амин] пентановой кислоты; 2-[(1-оксогексил)амино] -N-(2,4,6-триметилфенил)-6-бензотиазолкарбоксамид; 2-[(1-оксогептнл)амино] -N-(2,4,6-триметилфенил)-6-бензотиазолкарбоксамид; 2-[[(1-оксо-4-(2-тиенил)бутил] амино] -N-(2,4,6-триметилфенил)-6-бензотиазолкарбоксамид; 2-[(3-тиенилкарбонил)амино] -N-(2,4,6-триметилфенил)-6-бензотиазолкарбоксамид; 2[[(4-нитрофенил)ацетил] амино] -N-(2,4,6-триметилфенил)-6-бензотиазолкарбоксамид; 2-[[3,5-бис(трифторметил)фенил] ацетил] амино] -N-(2,4,6-триметилфенил)-6-бензотиазолкарбоксамид; 2-[[2-[4-(2-метилпропил)фенил] -1-оксопропил] амино] -N-(2,4,6-триметилфенил)-6-бензотиазолкарбоксамид; 2-[[3-(3-метоксифенил)-1-оксопропил] амино] -N-(2,4,6-триметилфенил)-6-бензотиазолкарбоксамид; 2-[[(2,3,6-трихлорфенил)ацетил] амино] -N-(2,4,6-триметилфенил)-6-бензотиазолкарбоксамид; 2-[[(1,3-бензодиоксол-5-ил)ацетил] амино] -N-(2,4,6-триметилфенил)-6-бензотиазолкарбоксамид; 2-[[[2-(фенилметокси)фенил] ацетил] амино] -N-(2,4,6-триметилфенил)-6-бензотиазолкарбоксамид; 2-[[(3,5-диметоксифенил)ацетил] амино] -N-(2,4,6-триметилфенил)-6-бензотиазолкарбоксамид; 2-[[3-(1,3-бензодиоксол-5-ил)-1-оксопропил] амино] -N-(2,4,6-триметилфенил)-6-бензотиазолкарбоксамид; 2-[[(тетрагидро-2-фуранил)карбонил] амино] -N-(2,4,6-триметилфенил)-6-бензотиазолкарбоксамид; 2-[[2-(ацетиламино)-1-оксопропил] амино] -N-(2,4,6-триметилфенил)-6-бензотиазолкарбоксамид; 2-[[2-(ацетиламино)-1-оксогесил] амино] -N-(2,4,6-триметилфенил)-6-бензотиазолкарбоксамид; 2-[(циклопропилацетил)амино] -N-(2,4,6-триметилфенил)-6-бензотиазолкарбоксамид; N, N-диметил-N’-[6-[[(2,4,6-триметилфенил)амино] карбонил] -2-бензотиазолил] бутандиамид; 2-[(1-адамантилкарбонил)амино] -N-(2,4,6-триметилфенил)-6-бензотиазолкарбоксамид; 2-[[(4-метилциклогексил)карбонил] амино] -N-(2,4,6-триметилфенил)-6-бензотиазолкарбоксамид; 2-[(3-метокси-1-оксопропил)амино] -N-(2,4,6-триметилфенил)-6-бензотиазолкарбоксамид; 1,1-диметилэтиловый эфир[6-[[(2,3-дигидро-1Н-инден-5-ил)амино] карбонил] -2-бензотиазолил] карбаминовой кислоты; 1,1-диметилэтиловый эфир [6-[(2-нафталиниламино)карбонил] -2-бензотиазолил] карбаминовой кислоты; 1,1-диметилэтиловый эфир [6-[[(3-гидрокси-2-нафталенил)амино] карбонил] -2-бензотиазолил] карбаминовой кислоты; 1,1-диметилэтиловый эфир [6-[[(2-фтор-5-метилфенил)амино] карбонил] -2-бензотиазолил] карбаминовой кислоты; 1,1-диметилэтиловый эфир [6-[[(2-хлор-6-метилфенил)амино] карбонил] -2-бензотиазолил] карбаминовой кислоты; 1,1-диметилэтиловый эфир [6-[[(2,6-диметилфенил)амино] карбонил] -2-бензотиазолил] карбаминовой кислоты; 1,1-диметилэтиловый эфир [6-[[(4-бром-2-метилфенил)амино] карбонил] -2-бензотиазолил] карбаминовой кислоты; 1,1-диметилэтиловый эфир [6-[[(3-бром-2,4,6-триметилфенил)амино] карбонил] -2-бензотиазолил] карбаминовой кислоты; 1,1-диметилэтиловый эфир [6-[[[2,6-диметил-3-(1-метилэтил)фенил)амино] карбонил] -2-бензотиазолил] карбаминовой кислоты; 1,1-диметилэтиловый эфир [6-[[(2-бром-4,6-диметилфенил)амино] карбонил] -2-бензотиазолил] карбаминовой кислоты; 1,1-диметилэтиловый эфир [6-[[(2-метил-6-хинолинил)амино] карбонил] -2-бензотиазолил] карбаминовой кислоты; 1,1-диметилэтиловый эфир [6-[[(4-метокси-2-нафталенил)амино] карбонил] -2-бензотиазолил] карбаминовой кислоты; 1,1-диметилэтиловый эфир [6-[[(6-метил-5-хинолинил)амино] карбонил] -2-бензотиазолил] карбаминовой кислоты; 1,1-диметилэтнловый эфир [6-[[[2-(2-гидроксиэтил)-6-метилфенил] амино] карбонил] -2-бензотиазолил] карбаминовой кислоты; 1,1-диметилэтиловый эфир [6-[[(2,6-диметил-3-нитрофенил)амино] карбонил] -2-бензотиазолил] карбаминовой кислоты; 1,1-диметилэтиловый эфир [6-[[(2-бром-3,4,6-триметилфенил)амино] карбонил] -2-бензотиазолил] карбаминовой кислоты; 1,1-диметилэтиловый эфир [6-[[(2-ацетил-6-гидроксифенил)амино] карбонил] -2-бензотиазолил] карбаминовой кислоты; 1,1-диметилэтиловый эфир [6-[[[4-[[(1,1-диметилэтокси)карбонил] амино] -2,3,5,6-тетраметилфенил] амино] карбонил] -2-бензотиазолил] карбаминовой кислоты; 1,1-диметилэтиловый эфир [6-[[(4-бром-2,6-диметилфенил)амино] карбонил] -2-бензотиазолил] карбаминовой кислоты; 1,1-диметилэтиловый эфир [6-[[[3-ацетиламино] -4,6-диметилфенил] амино] карбонил] -2-бензотиазолил] карбаминовой кислоты; 1,1-диметилэтиловый эфир [6-[[(2,6-диметоксифенил)амино] карбонил] -2-бензотиазолил] карбаминовой кислоты; 1,1-диметилэтиловый эфир [6-[[(2-метил-1-нафталенил)амино] карбонил] -2-бензотиазолил] карбаминовой кислоты; метиловый эфир 3-[[[2-[[(1,1-диметилэтокси)карбонил] амино] -6-бензотиазолил] карбонил] амино] -4-метил-2-тиофенкарбоновой кислоты; метиловый эфир [6-[[(2,4,6-триметилфенил)амино] карбонил] -2-бензотиазолил] карбаминовой кислоты; 2-[[(ацетиламино)ацетил] амино] -N-(2,4,6-триметилфенил)-6-бензотиазолкарбоксамид; N-(2-хлор-6-метилфенил)-2-[[[(1,1-диметилэтил)амино] карбонил] амино] -6-бензотиазолкарбоксамид; N-(2,6-дихлорфенил)-2-[[[(1,1-диметилэтил)амино] карбонил] амино] -6-бензотиазолкарбоксамид; N-(4-бром-2,6-диметилфенил)-2-[[[(1,1-диметилэтил)амино] карбонил] амино] -6-бензотиазолкарбоксамид; N-(4-карбометокси-2,6-диметилфенил)-2-[[[(1,1-диметилэтил)амино] карбонил] амино] -6-бензотиазолкарбоксамид; N-(4-гидроксиметил-2,6-диметилфенил)-2-[[[(1,1-диметилэтил)амино] карбонил] амино] -6-бензотиазолкарбоксамид; 1,1-диметилэтиловый эфир [4-метил-6-[[(2,4,6-триметилфенил)амино] карбонил] -2-бензотиазолил] карбаминовой кислоты; трифторацетат(1: 1)2-амино-4-метил-N-(2,4,6-триметилфенил)-6-бензотиазолкарбоксамида; 1,1-диметилэтиловый эфир 4-метокси-[6-[[(2,4,6-триметилфенил)амино] карбонил] -2-бензотиазолил] карбаминовой кислоты; трифторацетат (1: 1) 2-амино-4-метокси-N-(2,4,6-триметилфенил)-6-бензотиазолкарбоксамида; 2-[[(метиламино)карбонил] амино] -N-(2,4,6-триметилфенил)-6-бензотиазолкарбоксамид; 2-[[[метиламино] карбонил] амино] -4-метокси-N-(2,4,6-триметилфенил)-6-бензотиазолкарбоксамид; 1,1-диметилэтиловый эфир 5-метокси-[6-[[(2,4,6-триметилфенил)амино] карбонил] -2-бензотиазолил] карбаминовой кислоты; трифторацетат (1: 1) 2-амино-N-(4-N, N-диметиламино-2,3,5,6-тетраметилфенил)-6-бензотиазолкарбоксамида; 1,1-диметилэтиловый эфир 5-хлор-[6-[[(2,4,6-триметилфенил)амино] карбонил] -2-бензотиазолил] карбаминовой кислоты; 1,1-диметилэтиловый эфир 7-хлор-[6-[[(2,4,6-триметилфенил)амино] карбонил] -2-бензотиазолил] карбаминовой кислоты; 2-амино-5-гидрокси-N-(2,4,6-триметилфенил)-6-бензотиазолкарбоксамид; 1,1-диметилэтнловый эфир 5-трет. -бутоксикарбонил-[6-[[(2,4,6-триметилфенил)амино] карбонил] -2-бензотиазолил] карбаминовой кислоты; 2-[[[(1,1-диметилэтил)амино] карбонил] амино] -N-(2,6-диметилфенил)-6-бензотиазолкарбоксамид; 2-[[(циклопропиламино)карбонил] амино] -N-(2,6-диметилфенил)-6-бензотиазолкарбоксамид; 2-[[(циклопентиламино)карбонил] амино] -N-(2,6-диметилфенил)-6-бензотиазолкарбоксамид; 2-[[[[1-(этинил)циклогексил] амино] карбонил] амино] -N-(2,6-диметилфенил)-6-бензотиазолкарбоксамид; 2-[[[(4-метил-циклогексил)амино] карбонил] амино] -N-(2,6-диметилфенил)-6-бензотиазолкарбоксамид; 2-[[[(2,3-дигидро-1Н-инден-1-ил)амино] карбонил] амино] -N-(2,6-диметилфенил)-6-бензотиазолкарбоксамид; 2-[[[[2-(1Н-имидазол-4-ил)этил] амино] карбонил] амино] -N-(2,6-диметилфенил)-6-бензотиазолкарбоксамид; 2-[[[[(тетрагидро-2-фуранил)метил] амино] карбонил] амино] -N-(2,6-диметилфенил)-6-бензотиазолкарбоксамид; 2-[[[[2-(5-метокси-1Н-индол-3-ил)этил] амино] карбонил] амино] -N-(2,6-диметилфенил)-6-бензотиазолкарбоксамид; 2-[[[(1,1-диметил-2-гидроксиэтил)амино] карбонил] амино] -N-(2,6-диметилфенил)-6-бензотиазолкарбоксамид; 2-[[[(1,1-диметил-пропил)амино] карбонил] амино] -N-(2,6-диметилфенил)-6-бензотиазолкарбоксамид; 2-[[[[(3-метоксифенил)метил] амино] карбонил] амино] -N-(2,6-диметилфенил)-6-бензотиазолкарбоксамид; 2-[[[[(4-метоксифенил)метил] амино] карбонил] амино] -N-(2,6-диметилфенил)-6-бензотиазолкарбоксамид; 2-[[(2-пропиниламино)карбонил] амино] -N-(2,6-диметилфенил)-6-бензотиазолкарбоксамид; 2-[[(2-пропениламино)карбонил] амино] -N-(2,6-диметилфенил)-6-бензотиазолкарбоксамид; 2-[[[(3-фенилпропил)амино] карбонил] амино] -N-(2,6-диметилфенил)-6-бензотиазолкарбоксамид; 2-[[[[1-(гидроксиметил)циклопентил] амино] карбонил] амино] -N-(2,6-диметилфенил)-6-бензотиазолкарбоксамид; 2-[[[[1-(метоксиметил)пропил] амино] карбонил] амино] -N-(2,6-диметилфенил)-6-бензотиазолкарбоксамид; (R)-2-[[[(1-фенилэтил)амино] карбонил] амино] -N-(2,6-диметилфенил)-6-бензотиазолкарбоксамид; 2-[[[(3,4,5-триметоксифенил)амино] карбонил] амино] -N-(2,6-диметилфенил)-6-бензотиазолкарбоксамид; 2-[[(1,3-бензодиоксол-5-иламино)карбонил] амино] -N-(2,6-диметилфенил)-6-бензотиазолкарбоксамид; 2-[[[(4-фторфенил)амино] карбонил] амино] -N-(2,6-диметилфенил)-6-бензотиазолкарбоксамид; 2-[[(циклопропиламино)карбонил] амино] -N-(2-хлор-6-метилфенил)-6-бензотиазолкарбоксамид; 2-[[(циклопентиламино)карбонил] амино] -N-(2-хлор-6-метилфенил)-6-бензотиазолкарбоксамид; 2-[[[[1-(этинил)циклогексил] амино] карбонил] амино] -N-(2-хлор-6-метилфенил)-6-бензотиазолкарбоксамид; 2-[[[(4-метил-циклогексил)амино] карбонил] амино] -N-(2-хлор-6-метилфенил)-6-бензотиазолкарбоксамид; 2-[[[(2,3-дигидро-1Н-инден-1-ил)амино] карбонил] амино] -N-(2-хлор-6-метилфенил)-6-бензотиазолкарбоксамид; 2-[[[[2-(1Н-имндазол-4-ил)этил] амино] карбонил] амино] -N-(2-хлор-6-метилфенил)-6-бензотиазолкарбоксамид; 2-[[[[(тетрагидро-2-фуранил)метил] амино] карбонил] амино] -N-(2-хлор-6-метилфенил)-6-бензотиазолкарбоксамид; 2-[[[[2-(5-метокси-1Н-индол-3-ил)этил] амино] карбонил] амино] -N-(2-хлор-6-метилфенил)-6-бензотиазолкарбоксамид; 2-[[[(1,1-диметил-2-гидроксиэтил)амино] карбонил] амино] -N-(2-хлор-6-метилфенил)-6-бензотиазолкарбоксамид; 2-[[[(1,1-диметил-пропил)амино] карбонил] амино] -N-(2-хлор-6-метилфенил)-6-бензотиазолкарбоксамид; 2-[[[[(3-метоксифенил)метил] амино] карбонил] амино] -N-(2-хлор-6-метилфенил)-6-бензотиазолкарбоксамид; 2-[[[[(4-метоксифенил)метил] амино] карбонил] амино] -N-(2-хлор-6-метилфенил)-6-бензотиазолкарбоксамид; 2-[[(2-пропиниламино)карбонил] амино] -N-(2-хлор-6-метилфенил)-6-бензотиазолкарбоксамид; 2-[[(2-пропениламино)карбонил] амино] -N-(2-хлор-6-метилфенил)-6-бензотиазолкарбоксамид; 2-[[[(3-фенилпропил)амино] карбонил] амино] -N-(2-хлор-6-метилфенил)-6-бензотиазолкарбоксамид; 2-[[[[1-(гидроксиметил)циклопентил] амино] карбонил] амино] -N-(2-хлор-6-метилфенил)-6-бензотиазолкарбоксамид; 2-[[[[1-(метоксиметил)пропил] амино] карбонил] амино] -N-(2-хлор-6-метилфенил)-6-бензотиазолкарбоксамид; (R)-2-[[[(1-фенилэтил)амино] карбонил] амино] -N-(2-хлор-6-метилфенил)-6-бензотиазолкарбоксамид; 2-[[[(2,3-диметил-1Н-индол-5-ил)этил] амино] карбонил] амино] -N-(2-хлор-6-метилфенил)-6-бензотиазолкарбоксамид; 2-[[[(3,4,5-триметоксифенил)амино] карбонил] амино] -N-(2-хлор-6-метилфенил)-6-бензотиазолкарбоксамид; 2-[[(1,3-бензодиоксол-5-иламино)карбонил] амино] -N-(2-хлор-6-метилфенил)-6-бензотиазолкарбоксамид; 2-[[[(4-фторфенил)амино] карбонил] амино] -N-(2-хлор-6-метилфенил)-6-бензотиазолкарбоксамид; 2-[[[[(1-метоксикарбонил)циклопропил] амино] карбонил] амино] -N-(2,4,6-триметилфенил)-6-бензотиазолкарбоксамид; 1,1-диметилэтиловый эфир [6-[[[(2,6-диметил-4-фенил)фенил] амино] карбонил] -2-бензотиазолил] карбаминовой кислоты; 1,1-диметилэтиловый эфир [6-[[[(2,6-диметил-4-(2-N, N-диметилэтокси)феннл] амино] карбонил] -2-бензотиазолил] карбаминовой кислоты; 1,1-диметилэтиловый эфир [6-[[[(2,6-диметил-(2-морфолинэтокси)фенил] амино] карбонил] -2-бензотиазолил] карбаминовой кислоты; 2-[(циклопропилкарбонил)амино] -N-(2-хлор-6-метилфенил)-6-бензотиазолкарбоксамид; 2-[(2-метил-циклопропилкарбонил)амино] -N-(2-хлор-6-метилфенил)-6-бензотиазолкарбоксамид; 2-[(2,2-дихлор-1-метил-циклопропилкарбонил)амино] -N-(2-хлор-6-метилфенил)-6-бензотиазолкарбоксамид; и 2-[(1-гидрокси-циклопропилкарбонил)амино] -N-(2-хлор-6-метилфенил)-6-бензотиазолкарбоксамид. РИСУНКИ
MM4A Досрочное прекращение действия патента Российской Федерации на изобретение из-за неуплаты в установленный срок пошлины за поддержание патента в силе
Дата прекращения действия патента: 03.11.2003
Извещение опубликовано: 27.08.2005 БИ: 24/2005
|
||||||||||||||||||||||||||

Текст описания в факсимильном виде (см. графическую часть)а

