Патент на изобретение №2210792
|
||||||||||||||||||||||||||
(54) УСТРОЙСТВО ДЛЯ ДОСТАВКИ ГЕОФИЗИЧЕСКИХ ПРИБОРОВ В НАКЛОННЫЕ И ГОРИЗОНТАЛЬНЫЕ СКВАЖИНЫ
(57) Реферат: Изобретение относится к геофизическим исследованиям скважин и может найти применение при проведении скважинного сейсмического профилирования в крутонаклонных и горизонтальных скважинах. Технический результат: расширение функциональных возможностей. Устройство содержит контейнеры с геофизическими датчиками и катками – центраторами, геофизический кабель связи и трубчатые элементы с пазами и эластичными муфтами. Контейнеры соединены между собой эластичными связями, образованными отрезками геофизического кабеля, несущими систему цилиндрических шайб, состоящих и упругих элементов и жестких обойм. Обоймы неподвижно закреплены на отрезках кабеля. Упругие элементы одним концом жестко вмонтированы в обоймы. Длина упругих элементов составляет не менее радиуса скважины в начале ее наклонного участка. 4 ил. Изобретение относится к геофизическим исследованиям скважин и может найти применение при проведении скважинного сейсмического профилирования в крутонаклоненных и горизонтальных скважинах. Известна система Simphor для проведения геофизических исследований в горизонтальных интервалах наклонно направленных скважин, осуществляющая доставку геофизических приборов проталкиванием, которая включает в себя: каротажный зонд в защитном кожухе, специальный переводник с боковым отверстием для каротажного кабеля, свечи бурильной колонны и погружной шток на конце каротажного кабеля, при этом зазор между бурильной колонной и штоком выбирается исходя из возможности продвижения штока в бурильной колонне сквозь буровой раствор. Каротаж производится по мере спуска бурильной колонны, из которой выдавливается шток [1]. Недостаток системы в ее функциональной ограниченности, поскольку жесткое сочленение геофизических приборов со штоком резко ограничивает частотную характеристику скважинных сейсмических датчиков и не пригодно для проведения скважинного сейсмического профилирования. Известно устройство для транспортировки геофизических приборов в глубокие наклонно направленные скважины, включающее: шток, каретку с ползуном и расклинивающимися опорами, установленную на штоке с возможностью перемещения вдоль него и соединенную с одним концом тягового троса, привод с барабаном, связанным с другим концом тягового троса, пружину, установленную на штоке между упором на нем и кареткой, ограничители перемещения каретки, дополнительную пружину и втулки, причем ограничители установлены в головной части штока и на каретке со стороны расположения пружины, при этом дополнительная пружина размещена на ползуне, который связан с тяговым тросом, втулки же размещены на рычагах опор и шарнирно закреплены на ползуне, а привод с барабаном снабжен муфтой сцепления, соединенной с ограничителями перемещения каретки, и размещен внутри штока [2]. Недостатком устройства является то, что оно требует дополнительных механизмов, систем питания и управления, что повышает вероятность сбоев и аварий в процессе транспортировки. Кроме того, скорость перемещения по горизонтальному участку скважины мала, что не дает возможности транспортировать приборы на требуемые расстояния за ограниченный промежуток времени. Известно устройство для проведения каротажа в наклонных и горизонтальных стволах скважин, включающее в себя: контейнеры с геофизическими датчиками, геофизический кабель связи, трубчатые элементы, механизмы подачи трубчатых элементов и геофизического кабеля, при этом контейнеры с геофизическими датчиками снабжены центрирующими катками и соединены между собой жесткими связями, а трубчатые элементы содержат пазы для закрепления в них геофизического кабеля и снабжены эластичными муфтами. Недостаток устройства в его функциональной ограниченности, так как жесткая связь контейнеров между собой изменяет амплитудно-частотные характеристики геофизических датчиков в области сейсмических частот, что не дает возможности использовать устройство для проведения скважинного сейсмического профилирования. Задачей изобретения является расширение функциональных возможностей устройства каротажа при проведении скважинного сейсмического профилирования. Задача изобретения решается тем, что в устройстве для доставки геофизических приборов в наклонные и горизонтальные скважины, содержащем контейнеры с геофизическими датчиками и центрирующими катками, геофизический кабель связи и трубчатые элементы с пазами и эластичными муфтами, контейнеры соединены между собой эластичными связями, образованными отрезками геофизического кабеля, несущими систему цилиндрических шайб, состоящих из упругих элементов и жестких обойм, при этом обоймы неподвижно закреплены на отрезках кабеля, а упругие элементы одним концом жестко вмонтированы в эти обоймы, причем длина упругих элементов составляет не менее радиуса скважины в начале ее наклонного участка. Соединение контейнеров, содержащих геофизические датчики, в том числе и сейсмоприемники, эластичными связями между собой в единую систему позволяет обеспечить соответствие амплитудно-частотных характеристик геофизических датчиков при вертикальном и горизонтальном положении контейнеров, их содержащих. Это происходит за счет снижения резонансных свойств жестких связей вследствие замены трубчатых элементов геофизическим кабелем, обладающим определенной эластичностью в поперечном направлении. Цилиндрические шайбы, представляющие собой цилиндрические “ерши”, закрепленные посредством обойм на геофизическом кабеле, обеспечивают упругость эластичного геофизического кабеля против поперечного изгиба, при проталкивании контейнеров с датчиками внутрь горизонтальной скважины. При этом удлиненные упругие элементы (ерши) опираются своими торчащими концами на стенки скважины в отдельных точках по периметру. Этим самым обеспечивается центровка кабеля по оси в любой точке наклонного и горизонтальною участка скважины и свободное обтекание этих элементов буровым раствором. Предлагаемое устройство поясняется чертежами, где: на фиг.1 изображена схема устройства доставки; на фиг.2 – вид по А-А фиг.1; на фиг.3 схема искривления кабеля; на фиг.4 – схема изгиба одиночного упругого элемента. Особенностью геофизического кабеля является его поперечная гибкость, которая не дает возможности непосредственно использовать его в качестве толкателя, то есть заменить им жесткие трубчатые элементы известного устройства [3] . Незначительное первоначальное отклонение кабеля от направления прямой линии быстро приводит к возрастанию амплитуды этого отклонения при наличии силы сопротивления, направленной вдоль оси кабеля. Однако бронированный кабель обладает элементами поперечной упругости, которая проявляется в том, что отрезок кабеля некоторой длины сохраняет горизонтальное положение под действием не только собственного веса, но и некоторой дополнительной силы, приложенной к концу этого отрезка. Поэтому для проталкивания гирлянды контейнеров в горизонтальную скважину, соединенных между собой отрезками геофизического кабеля, необходимо обеспечить параллельное положение кабеля оси скважины независимо от ее направления в пространстве, контролируя одновременно местное искривление ее ствола. Технически это оказывается возможным, если разместить на поверхности кабеля ряд цилиндрических шайб, состоящих из удлиненных упруго-эластичных элементов, например из отдельных тонких упругих стальных проволочек, одни из концов которых свободно опираются на поверхность скважины, а другие защемлены в цилиндрических обоймах. Эти обоймы, в свою очередь, неподвижно закреплены на кабеле с шагом, не превышающим длину упругости используемой марки кабеля “l”. Количество упруго-эластичных элементов в каждой цилиндрической шайбе можно определить из уравнения моментов относительно вертикальной оси одного изогнутого элемента под действием усилий, возникающих при местном изгибе участка кабеля. Из АВС (фиг.3) находим, что F2=F0 sin , ноsin = h/( h2+l2/4)1/2, поэтому F2=F0d/l (1)при d/l<1, поскольку h не может быть больше, чем d/2.
Здесь: F0 – сила сопротивления проталкиванию, d – диаметр скважины, h – отклонение кабеля от горизонтального положения, l длина упругости кабеля.
Известно, что при изгибных деформациях конструктивных элементов существует определенная критическая нагрузка, при которой этот конструктивный элемент восстанавливает свою первоначальную форму после снятия нагрузки [4]. Эта нагрузка связана с параметрами конструкции и материала следующим образом:Fкр = 2JE/( H)2 (2)где J – момент инерции сечения, Е – модуль Юнга материала, Н – длина конструкции, – коэффициент привидения.
Использовав это выражение, можно вычислить критическую нагрузку на один упругий элемент, а сравнив ее с силой из (1), найти количество этих упругих элементов:Fкр = 3(D4E/256H2) (3)В (2) подставлено выражение момента инерции кругового сечения Jкp= (D4/64) и =2. D – диаметр сечения одного упругого элемента.
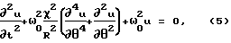
Из (1) и (3) находим, что количество упругих элементов в шайбе должно быть не менее n![]() где d – диаметр скважины, Н – длина упругого элемента (Н d/2), l – длина упругости кабеля, D – диаметр упругого элемента, Е – модуль Юнга материала упругого элемента, F0 – сила сопротивления проталкиванию (вычисляется отдельно и зависит от свойств скважины). Вместе с тем, кабель и упругие элементы, находящиеся в деформированном состоянии (изогнуты) при контакте со стенками скважины, образуют резонансную систему, способную передавать механические колебания регистрирующим датчикам и создавать таким образом дополнительные источники помех. Оценим собственные частоты деформированного упругого элемента, для чего используем уравнение колебаний кольца радиуса R в виде:![]() где и – поперечное отклонение от положения дуги окружности, R – радиус кольца, – радиус инерции поперечного сечения кольца относительно оси, проходящей через центр тяжести сечения, – переменная угловая координата.
![]() где , Е и R – плотность, модуль Юнга материала и начальный радиус изгиба (5).
Это уравнение можно использовать в полной мере, поскольку изгиб упругого элемента можно представить происходящим по дуге некоторой окружности соответствующего радиуса. На упругий элемент действует гармоническая вынуждающая сила, которая возбуждает смещения в поперечном направлении вида u = A( )sin t, с частотой Гц.
Концы упругого элемента (один на кабеле, другой на скважине) подчинены условиям жесткого защемления вида u=0, дu/д =0 при = ![]() 0, где 0 – угловой размер изогнутого упругого элемента.
Процедура нахождения решения уравнения (5) известна [5], поэтому запишем результат в виде трансцедентного уравнения, связывающего параметры скважины, амплитуду возмущения и радиус инерции сечения упругого элемента![]() Анализ (7) показывает, что физически непротиворечивое решение реализуется при ![]() Это дает соотношение ![]() где k= 0,1,2… Отсюда из (7) можно найти, что частоты механических колебаний упругого элемента подчиняются уравнению: ![]() Из этого уравнения находим, что ![]() или ![]() при стандартных величинах диаметра скважины (d=127 мм) и диаметра кабеля и его возможного отклонения от центра скважины. Отсюда найдем частоты механических колебаний, пропускаемых гибким элементом, с учетом величины 0 из (6) 0 = 1,6 кГц; 1 = 1,54 кГц; 2 = 1,4 кГц; 3 = 1 кГц; 4 = 224 Гц.В формулу для вычисления 0/ (6) входит радиус изгиба упругого элемента 6. Фиг. 4 показывает, что из геометрических соображений и принимая приближение малых изгибных деформаций, можно считать, что изгиб происходит по дуге некоторой окружности или близкой к ней, находим, что: R2=(d/4)2+(R- )2 или после преобразований и условии, что /R<<1, получаем: R d2/32 .
Анализируя последовательность частот из (8), удостоверимся, что гибкий элемент пропускает механические колебания вне сейсмического диапазона, поэтому они не являются помехами для проведения скважинного сейсмического профилирования.
Механические колебания с другими частотами поглощаются эластичными шайбами и не доходят до регистрирующих датчиков через кабель связи 2.
Таким образом, предлагаемое техническое решение фактически не изменяет амплитудно-частотные характеристики геофизических датчиков, находящихся в контейнерах 3.
Согласно изобретению, на скважине 1, содержащей наклонный или горизонтальный участок, производят сборку гирлянды контейнеров. Для этого из отрезков геофизического кабеля 2 образуют систему эластичных связей между контейнерами 3, путем закрепления на них цилиндрических шайб 4, состоящих из обойм 5 и упругих элементов 6.
При этом каждый отрезок геофизического кабеля 2 делят на целое количество частей, длина которых не больше, чем длина упругости данной марки кабеля. На концах этих участков жестко, например болтовыми соединениями, закрепляют цилиндрические обоймы 5, которые выполнены разъемными на две равные доли. Эти цилиндрические доли содержат жестко защемленные своими концами упругие элементы 6, выполненные, например, в виде тонких стальных проволочек, объединенных в щетки 7. Щетки 7 размещены на долях обойм 5 таким образом, чтобы сформировать равномерно торчащие во все стороны упругие элементы 6 наподобие “ежей”. При этом между щетками 7, расположенными вдоль окружности на одной обойме 5, оставляют пустые промежутки (фиг.4). Затем приступают к сборке гирлянды путем последовательного соединения контейнеров 3 эластичными связями. К самому верхнему контейнеру 3 присоединяют дополнительно посредством такой же эластичной связи груз-толкатель 8, который служит для присоединения первого трубчатого элемента 9.
После этого гирлянду контейнеров 3 с грузом толкателем 8 вывешивают подъемным механизмом и опускают в ствол скважины 1, производя последовательное наращивание трубчатых элементов 9. При входе в горизонтальный участок скважины 1 скорость движения системы падает. Если система гирлянд продолжает двигаться под действием веса вертикальной части трубчатых элементов 9, то опускание продолжают. В противном случае опускание прекращают, к трубчатым элементам 9 присоединяют механизм, осуществляющий дополнительное вертикальное давление, и процедуру спуска продолжают далее до достижения заданной длины размотки геофизического кабеля 2. После чего кабель 2 приспускают и прижимают контейнеры 3 к стенкам горизонтального участка скважины 1.
Предлагаемое техническое решение обладает простотой исполнения; используя традиционные механические средства при проведении скважинных исследований позволяет проводить сейсмические измерения не только с одним, но сразу с несколькими контейнерами, т.е. опускать в скважину гирлянду сейсмических датчиков. Кроме того, предлагаемое устройство дает возможность вести и сейсмическое профилирование как вертикального, так и горизонтального участков одной и той же скважины без извлечения трубчатых элементов на поверхность вследствие эластичных связей между отдельными контейнерами.
Источники информации:1. Blakley W. -B. -Ifpand Elf – Aguitain solve horizontal well logging prollem Petrollem Engineer International, 1983, y.55, 14. P. 22-24. 2. Авторское свидетельство СССР 1105625 за 1984 г. 3. Патент США 4415805 за 1983 г. (прототип). 4. Сопротивление материалов. – В.И. Феодосьев, 1979 г., М., Наука, Главная редакция физико-математической литературы. С. 120-143, 430-436. 5. Динамическая теория звука.-Г.Лэмб. 1960г., М., Государственное издательство физико-математической литературы. С. 174-181. Формула изобретения Устройство для доставки геофизических приборов в наклонные и горизонтальные скважины, содержащее контейнеры с геофизическими датчиками и катками – центраторами, геофизический кабель связи и трубчатые элементы с пазами и эластичными муфтами, отличающееся тем, что контейнеры соединены между собой эластичными связями, образованными отрезками геофизического кабеля, несущими систему цилиндрических шайб, состоящих из упругих элементов и жестких обойм, при этом обоймы неподвижно закреплены на отрезках кабеля, а упругие элементы одним концом жестко вмонтированы в эти обоймы, причем длина упругих элементов составляет не менее радиуса скважины в начале ее наклонного участка. РИСУНКИ
MM4A Досрочное прекращение действия патента Российской Федерации на изобретение из-за неуплаты в установленный срок пошлины за поддержание патента в силе
Дата прекращения действия патента: 31.12.2003
Извещение опубликовано: 20.04.2006 БИ: 11/2006
|
||||||||||||||||||||||||||

АВС (фиг.3) находим, что F2=F0 sin
, но
2JE/(
H)2 (2)
d/2), l – длина упругости кабеля, D – диаметр упругого элемента, Е – модуль Юнга материала упругого элемента, F0 – сила сопротивления проталкиванию (вычисляется отдельно и зависит от свойств скважины). Вместе с тем, кабель и упругие элементы, находящиеся в деформированном состоянии (изогнуты) при контакте со стенками скважины, образуют резонансную систему, способную передавать механические колебания регистрирующим датчикам и создавать таким образом дополнительные источники помех. Оценим собственные частоты деформированного упругого элемента, для чего используем уравнение колебаний кольца радиуса R в виде:
– радиус инерции поперечного сечения кольца относительно оси, проходящей через центр тяжести сечения,
– переменная угловая координата.

, Е и R – плотность, модуль Юнга материала и начальный радиус изгиба (5).
Это уравнение можно использовать в полной мере, поскольку изгиб упругого элемента можно представить происходящим по дуге некоторой окружности соответствующего радиуса. На упругий элемент действует гармоническая вынуждающая сила, которая возбуждает смещения в поперечном направлении вида u = A(
t, с частотой 





