Патент на изобретение №2209814
|
||||||||||||||||||||||||||
(54) КРИСТАЛЛИЧЕСКАЯ МОДИФИКАЦИЯ D ДИЦИКЛАНИЛА, СПОСОБ ЕЕ ПОЛУЧЕНИЯ И ВЕТЕРИНАРНАЯ КОМПОЗИЦИЯ, ОБЛАДАЮЩАЯ ИНСЕКТИЦИДНОЙ АКТИВНОСТЬЮ
(57) Реферат: Изобретение относится к новой кристаллической модификации D дицикланила (2-циклопропиламино-4,6-диаминопиримидин-5-карбонитрила) формулы I. Дицикланил обладает инсектицидной активностью и проявляет рострегулирующую активность в отношении насекомых. Кристаллическая модификация D дицикланила используется для приготовления ветеринарного лекарственного средства, предназначенного для борьбы с эктопаразитами домашних и сельскохозяйственных животных. Указанная модификация D дицикланила имеет характеристики, полученные с помощью дифференциальной сканирующей калориметрии (ДСК), обладает способностью к трансформации в диапазоне температур 150 – 166oС при скорости нагревания 10oС/мин и характеризуется следующими характерными расстояниями между плоскостями кристаллической решетки определенными рентгенодифракционным анализом, с использованием в качестве источника рентгеновского излучения меди-K 11,4 0,2; 8,7 0,2; 7,1 0,2; 5,92 0,05; 5,75 0,05; 5,70 0,05; 4,45 0,05; 4,40 0,05; 4,15 0,05; 3,96 0,05; 3,94 0,05; 3,80 0,05;3,78 0,05; 3,72 0,05; 3,53 0,05; 3,41 0,05; 3,32 0,05; 2,96 0,05; 2,92 0,05; 2,84 0,05 и 2,83 0,05. Способ получения кристаллической модификации заключается по крайней мере в одной стадии процесса, при которой суспензию соединения формулы I известного, или неизвестного, либо неспецифичного морфологического строения с размером зерен 0,4 – 6 мкм выдерживают при температуре от приблизительно 30 до 60oС, предпочтительно примерно от 35 до 50oС, в 1-октаноле, или 1,2-пропандиоле, или их смеси с водой. Ветеринарная композиция, обладающая инсектицидной активностью, пригодной для борьбы с эктопаразитами домашних и сельскохозяйственных животных, содержит кристаллическую модификацию D дицикланила в твердой форме. 3 c. и 4 з.п. ф-лы, 8 табл.
Настоящее изобретение относится к нескольким новым полиморфным кристаллическим формам дицикланила, их гидратам и сольватам, а также к их получению.
Дицикланил используется в качестве ветеринарного лекарственного средства для борьбы с эктопаразитами домашних и сельскохозяйственных животных.
Морфология и полиморфизм органических химических действующих веществ имеют большое значение для химических и фармацевтических целей. Известны вещества, которые существуют только в одной кристаллической форме; однако также известны вещества, которые могут иметь две, три и даже большее количество полиморфных кристаллических модификаций. Обычно трудно рассчитать или предсказать возможное морфологическое и структурное разнообразие и соответствующие физико-химические характеристики, особенно термодинамическую стабильность, на научной математический основе, равно как и рассчитать или предсказать их различное поведение при введении в живой организм. Рассматриваемый полиморфизм химических органических соединений всегда является непредсказуемым в отношении количества кристаллических модификаций, их стабильности и их поведения в живом организме.
Если известны две, три или большее количество кристаллических модификаций соединения, то, как правило, в целом могут быть определены их абсолютная и относительная физико-химическая стабильность. Существование нестабильной кристаллической модификации или нестабильных кристаллических модификаций обычно приводит к возникновению технологических проблем в общем процессе получения химического и фармацевтического препарата, поскольку на каждой стадии процесса или на каждой стадии промежуточного хранения может иметь место частичное или полное превращение в более стабильную модификацию. Вследствие их метастабильности (неустойчивости) многие нестабильные кристаллические модификации могут сохраняться в течение длительных периодов времени. Однако они также могут спонтанно трансформироваться в более стабильную модификацию в промежуточный момент времени. Такие процессы трансформации нельзя заранее предсказать, и каждое соединение в этом отношении ведет себя по-разному. Различные кристаллические модификации одного и того же соединения могут в значительной степени различаться друг от друга во многих отношениях. Эти различия в морфологии и наличие полиморфизма могут оказывать существенные воздействия на создание, стабильность при транспортировке и стабильность при хранении отдельных предназначенных для введения форм, на возможность изготавливать различные предназначенные для введения формы, на их применение, на растворимость в полярных или неполярных, протонных или апротонных растворителях, на растворимость в сыворотке крови и, наконец, на биологическую доступность.
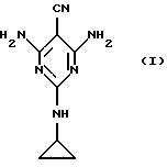
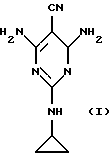
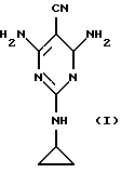
Это также относится и к физическим и химическим свойствам дицикланила, соединения формулы![]() (2-циклопропиламино-4,6-диаминопиримидин-5-карбонитрил) который, как известно из литературы, имеет tпл 249-251oС, и это соединение описано в заявке на европейский патент ЕР-0244360 В1 как в качестве нового соединения, так и в качестве агента для борьбы с насекомыми-паразитами и эктопаразитами на теплокровных животных. Дицикланил обладает эффективностью в качестве регулятора роста насекомых и обладает специфичной активностью в отношении представителей отряда Diptera (Двукрылых). Дицикланил обеспечивает длительную защиту овец от широко распространенных вызывающих миаз мух, таких как Lucilia sericata, Lucilia cuprina и т.п. Обработку предпочтительно осуществляют “обливанием”, когда композицию равномерно распределяют по спине овцы либо непосредственно, либо с помощью приспособления для опрыскивания. Этот тип обработки обладает значительными преимуществами, поскольку опрыскиванию подвергается только обрабатываемые участки, а воздействия на окружающую среду, таким образом, минимальны. Для композиций, в которых суспендировано действующее вещество, таких как композиции, применяемые для процессов “обливания”, точно установлено, что различные свойства кристаллических модификаций играют решающую роль. Одна кристаллическая модификация дицикланила уже известна. Такая кристаллическая форма, описанная в вышеуказанной публикации, в контексте настоящего описания обозначена как модификация А. При создании изобретения неожиданно было установлено, что дицикланил может существовать по меньшей мере в семи дополнительных различных кристаллических модификациях, обозначенных в настоящем описании как модификации В, С, D, Е, F, G и Н, причем доказано, что модификация С представляет собой гидрат кристаллического дицикланила, а модификация Н представляет собой сольват дицикланил-пропандиола, который обладает неожиданными ценными свойствами по сравнению с ранее известной кристаллической формой. Все восемь форм в значительной степени отличаются друг от друга в отношении физико-химических свойств, их стабильности и, в частности, их биологических характеристик. Настоящее изобретение прежде всего относится к кристаллической модификации D дицикланила, которая является стабильной в неполярных и в смесях неполярных и полярных диспергирующих агентов и мало растворима в этих диспергирующих агентах, а также относится к способу получения этой модификации. С помощью метода дифференциальной сканирующей калориметрии (ДСК) было подтверждено, что эта новая кристаллическая модификация D дицикланила трансформируется в диапазоне температур от 150oС до 166oС при скорости нагревания 10oС/мин. Температурный диапазон и кинетика этого превращения зависят как от внешних контролируемых условий, так и от различных свойств соответствующего образца дицикланила. Предпочтительно для изучения свойств кристаллической модификации D дицикланила используют следующие расстояния d между плоскостями кристаллической решетки на рентгенограмме, полученной по дифракции рентгеновских лучей: d в 11,4 0,2, 8,7 0,2, 7,1 0,2, 5,92 0,05, 5,75 0,05, 5,70 0,05, 4,45 0,05, 4,40 0,05, 4,15 0,05, 3,96 0,05, 3,94 0,05, 3,80 0,05, 3,78 0,05, 3,72 0,05, 3,53 0,05, 3,41 0,05, 3,32 0,05, 2,96 0,05, 2,92 0,05, 2,84 0,05 и 2,83 0,05.
Наиболее интенсивные отражения на рентгенограмме соответствуют следующим расстояниям между плоскостями кристаллической решетки:d в 11,4 0,2, 8,7 0,2, 5,92 0,05, 5,75 0,05, 5,70 0,05, 4,15 0,05, 3,96 0,05, 3,80 0,05, 3,78 0,05 и 3,53 0,05.
Точное объяснение причины изменения энтальпии, которое для дицикланила, как правило, при использовании ДСК получают в диапазоне температур от 150oС до 166oС, может быть получено с помощью нагреваемого порошкового дифрактометра с использованием в качестве источника рентгеновского излучения меди-K . Кристаллическая модификация D, для которой характерны вышеуказанные расстояния между плоскостями кристаллической решетки, превращается в диапазоне температур от 100oС до 200oС в другое твердое состояние, для которого характерен другой набор расстояний между плоскостями кристаллической решетки.
Эта новая конкретная кристаллическая форма D обладает улучшенными характеристиками по сравнению со всеми другими известными кристаллическими модификациями дицикланила и их известными гидратами. В частности, в обычном температурном диапазоне кристаллическая модификация D, если она представляет собой суспензию в неполярных или в смесях неполярных и полярных диспергирующих агентов, особенно в смесях неполярных диспергирующих агентов с водой, является более стабильной с точки зрения физико-химических и термодинамических характеристик, чем другие известные модификации, включая гидраты. Вследствие этого кристаллическая модификация D является более пригодной как для разработки и получения химического вещества в твердой форме, так и разработки и приготовления инсектицидных композиций или их предварительных композиций (премиксов), а также для их применения в полевых условиях. Если все другие известные модификации дицикланила суспендируют в неполярных или в смесях неполярных и полярных диспергирующих агентов, может иметь место медленная трансформация модификации или гидрата либо сольвата, а также возможна спонтанная трансформация, но, как правило, происходит непредсказуемая с точки зрения времени и места трансформация, что приводит к образованию более стабильной кристаллической модификации. Трансформации твердых веществ этого типа обычно связывают с изменением кристаллического строения и с изменением размера кристаллов. Эти изменения приводят к различным значительным дефектам, которые в результате седиментации и/или разделения суспензии приводят в конечном итоге к тому, что композиции технически становятся непригодными для применения. В целом же такая композиция теряет свою инсектицидную активность.
Кристаллическая модификация D является термодинамически стабильной, но, как указано выше, при скорости нагрева 10oС/мин в диапазоне температур от 150oС до 166oС трансформируется в кристаллическую модификацию, температура плавления которой находится в диапазоне от 235 до 255oС. Температура плавления образововавшейся кристаллической модификации близка к 247oС, что согласуется с tпл 249-251oС кристаллической модификации А, уже описанной в заявке на патент ЕР 0244360 В1. Эта кристаллическая форма А в чистом виде имеет tпл 247-255oС.
Как уже отмечалось, кроме этих двух кристаллических модификаций А и D, также существуют и другие кристаллические модификации, а также гидрат и пропандиолат дицикланила.
Кристаллические модификации, гидраты и сольваты могут быть идентифицированы по их рентгенограммам, полученным методом дифракции рентгеновских лучей на порошке. Рентгенограммы порошков, полученные с помощью камеры Guiner в трансмиссионной геометрии и с использованием в качестве источника радиации предпочтительно применяют для определения характеристик твердых форм органических веществ. В частности, рентгенограммы успешно и с высоким уровнем надежности используют для определения различных кристаллических модификаций вещества. В случае гидратов и сольватов следует использовать другие методы, такие как термогравиметрия или термогравиметрия в сочетании с ИК-спектроскопией с преобразованием Фурье (ТГ-ИКПФ) и других специфичных в отношении соединения методов.
Для получения характеристик кристаллической модификации D дицикланила по настоящему изобретению проводили измерения с помощью камеры Guiner с использованием образцов вещества, которые выдерживали при комнатной температуре.
Рентгенограммы, полученные на рентгеновской пленке, обрабатывали количественно с использованием строчного сканера и рассчитывали расстояния между плоскостями кристаллической решетки, соответствующие наиболее важным линиям.
Таблица 1 (см. в конце текста описания).
Для сравнения в приведенных далее таблицах 2, 3, 4, 5, 6, 7 и 8 приведены полученные по рентгенограммам характеристики описанной ранее кристаллической модификации А дицикланила, а также характеристики новых кристаллических модификаций В, Е, F, G, С и Н. С целью их получения в соответствующую кристаллическую модификацию, представляющую собой модификацию А, полученную в основном в соответствии с методом, описанным в ЕР-В1 0244360, или представляющую собой смесь модификаций А и В, вводят в качестве затравки требуемое количество затравочного кристалла соответствующей модификации. Для каждой из кристаллических модификаций помимо соответствующего растворителя требуются также определенные температурные условия и продолжительность трансформации.
Кроме того, настоящее изобретение относится к способу получения кристаллической модификации D дицикланила по изобретению. Этот способ отличается тем, что по крайней мере на одной стадии процесса суспензию дицикланила известного или неизвестного либо неспецифичного морфологического строения с размером зерен от 0,4 до 6 мкм выдерживают при повышенной температуре в растворителе или в смеси растворителей требуемой полярности.
Полярные растворители представляют собой, например, полярные органические соединения, такие как низшие спирты, низшие кетоны, низшие нитрилы и низшие циклические простые эфиры или воду, или их смеси. Понятие “низший” включает органические соединения, которые содержат 1-8 атомов углерода и один или два гетероатома, таких как кислород, азот и/или сера. Предпочтительными полярными органическими растворителями являются смешивающиеся с водой органические растворители, такие как метанол, этанол, н-пропанол, изопропанол, н-бутанол, трет-бутанол, октанол, 1,2-пропандиол, ацетон, этилметилкетон, ацетонитрил, тетрагидрофуран или диоксан. Особенно предпочтительными для получения кристаллической модификации D дицикланила по изобретению являются низшие спирты или их смеси с водой, особенно 1-октанол и 1,2-пропандиол или их смеси с водой. Наиболее предпочтительными являются 1-октанол и 1,2-пропандиол.
Повышенная температура включает диапазон температур от комнатной температуры до температуры кипения растворителя или смеси растворителей, причем предпочтительными являются температуры в диапазоне примерно от 30oС до 60oС, особенно предпочтительно примерно от 35oС до 50oС.
В предпочтительном варианте осуществления способа добавляют по меньшей мере один затравочный кристалл кристаллической модификации D дицикланила. Приемлемые затравочные кристаллы кристаллической модификации D дицикланила могут быть получены, например, in situ из менее стабильного твердого вещества, например из менее стабильной кристаллической модификации или из смеси менее стабильных кристаллических модификаций, путем выдержки суспензии при повышенной температуре в течение соответствующего промежутка времени.
В еще одном варианте осуществления кристаллическую модификацию D получают во время процесса приготовления композиции. В этом случае в соответствующих условиях получают несколько объемных частей различного состава и затем их последовательно объединяют на определенных стадиях таким образом, чтобы получить водную суспензию-эмульсию. Первая из этих объемных частей состоит в основном из эмульгатора, гомогенно диспергированного в воде, вторая – из органического растворителя, третья – из масляной фазы, которая содержит стабилизатор, четвертая – из дицикланила, суспендированного в воде, представляющего собой одну из менее стабильных кристаллических модификаций или смесь менее стабильных кристаллических модификаций. В эту четвертую объемную часть добавляют поверхностно-активное вещество для того, чтобы повысить смачиваемость кристаллов. К первой объемной части последовательно добавляют другие объемные части при интенсивном перемешивании до гомогенного состояния. И в завершение значение рН композиции доводят до нейтрального с помощью щелока и разбавляют до требуемого объема водой. Эта композиция вследствие того, что она содержит дицикланил, суспендированный в форме кристаллической модификации D, обладает значительными преимуществами, такими как высокая концентрация дицикланила, низкая вязкость, что обусловливает ее хорошие характеристики в отношении диспергирования и разбрызгивания, хорошая галеновая, химическая и физико-химическая стабильность, особенно термодинамическая стабильность.
В зависимости от типа действующего вещества, которое необходимо ввести в композицию, поверхностно-активные вещества могут представлять собой неионогенные, катионогенные и/или анионогенные поверхностно-активные вещества или смеси поверхностно-активных веществ, обладающие хорошими эмульгирующми, диспергирующими и смачивающими свойствами. Приведенные ниже поверхностно-активные вещества должны рассматриваться только в качестве примера; помимо указанных, в литературе описан еще целый ряд других поверхностно-активных веществ, которые обычно применяют при приготовлении композиций и которые пригодны для применения согласно изобретению.
Неионогенные поверхностно-активные вещества представляют собой прежде всего производные полигликолевого эфира и алифатических или циклоалифатических спиртов, насыщенных или ненасыщенных жирных кислот и алкилфенолов, которые могут содержать 3-30 гликольэфирных групп и 8-20 атомов углерода в (алифатическом) углеводородном фрагменте и 6-18 атомов углерода в алкильном фрагменте алкилфенолов. Другими пригодными веществами являются водорастворимые продукты присоединения (аддукты) полиэтиленоксида к пропиленгликолю, этилендиаминпропиленгликолю и алкилпропиленгликолю, содержащие 20-250 групп этиленгликолевого эфира и 10-100 групп пропиленгликолевого эфира и 1-10 атомов углерода в алкильной цепи. Указанные соединения обычно содержат 1-5 фрагментов этиленгликоля на фрагмент пропиленгликоля. Их примерами, которые следует упомянуть, являются нонилфенолполиэтоксилаты, полиэтоксилированное касторовое масло, аддукты полипропилена и полиэтиленоксида, трибутилфенолполиэтоксилат, полиэтоксилат полиэтиленгликоля и октилфенола. Также могут рассматриваться эфиры жирных кислот и полиоксиэтиленсорбитана, такие как триолеат полиоксиэтиленсорбитана.
Катионогенными поверхностно-активными веществами являются, в частности, соли четвертичного аммония, содержащие в качестве заместителей по крайней мере один алкильный радикал, имеющий 8-22 атома углерода, и в качестве дополнительных заместителей – радикалы низшего необязательно галогенированного алкила, бензила или (низш.)гидроксиалкила. Предпочтительно соли находятся в форме галогенидов, метилсульфатов или этилсульфатов.
Примерами являются хлорид стеарилтриметиламмония и бромид бензилди(2-хлорэтил)этиламмония.
Пригодными анионогенными поверхностно-активными веществами могут являться либо водорастворимые мыла, либо водорастворимые синтетические поверхностно-активные вещества. Пригодными мылами являются соли щелочных металлов, щелочно-земельных металлов и необязательно замещенные аммонийные соли высших жирных кислот (С10-С22), такие как натриевые или калиевые соли олеиновой или стеариновой кислоты, или смесей природных жирных кислот, которые могут быть получены, например, из кокосового или таллового масла, а также следует упомянуть метилтауриновые соли жирных кислот. Более часто, однако, применяют так называемые синтетические поверхностно-активные вещества, в частности жирные сульфонаты, жирные сульфаты, сульфированные производные бензимидазола или алкиларилсульфонаты. Как правило, сульфонаты жирных спиртов или сульфаты жирных спиртов применяют в виде солей щелочных металлов, солей щелочно-земельных металлов или необязательно замещенных аммонийных солей, и они обычно содержат алкильный радикал с 8-22 атомами углерода, который также включает алкильный фрагмент ацильных радикалов; их примерами, которые следует упомянуть, являются натриевая или кальциевая соль лигносульфоновой кислоты, додецилсульфата или смеси сульфатов жирных спиртов, полученных из природных жирных кислот. Эта группа также включает соли сульфатированных и сульфированных аддуктов жирного спирта-этиленоксида. Сульфированные производные бензимидазола предпочтительно содержат 2 группы сульфоновой кислоты и один радикал жирной кислоты, содержащий приблизительно от 8 до 22 атомов углерода. Алкиларилсульфонаты, например, представляют собой натриевые, кальциевые или триэтаноламиновые соли додецилбензолсульфоновой кислоты или дибутилнафталинсульфоновой кислоты или продукта конденсации нафталинсульфоновой кислоты и формальдегида. Также могут рассматриваться соответствующие фосфаты, такие как соли эфира фосфорной кислоты и аддукта пара-нонилфенола с 4-14 молями этиленоксидных звеньев или фосфолипиды.
Пригодными стабилизаторами являются, например, бензоат натрия, метил-пара-гидроксибензоат, бромид цетилтриметиламмония, лимонная кислота, винная кислота, сорбиновая кислота, фенолы, алкилфенолы, хлорированные фенолы или необязательно эпоксидированные растительные масла, такие как эпоксидированное кокосовое масло, рапсовое масло или соевое масло.
Ниже изобретение проиллюстрировано на примерах, которые не ограничивают его объем. Температуры указаны в градусах Цельсия.
Пример 1: Получение затравочных кристаллов кристаллической модификации DДля получения in situ затравочных кристаллов 910 мг дицикланила, состоящего из кристаллической модификации А, суспендиованной в 4,93 г 1-октанола, помещают в водяную баню с температурой 50oС и перемешивают в течение примерно 24 ч. Затем суспензию фильтруют путем вакуумной фильтрации. Твердый остаток, образовавшийся на фильтре, сушат при комнатной температуре в струе защитного газа, предпочтительно азота. Полученные затравочные кристаллы тестируют в отношении их химической чистоты и морфологической однородности и, если не присутствует чистая форма кристаллической модификации D, то процесс повторяют. Пример 2: Получение кристаллической модификации D 980 мг кристаллической модификации А дицикланила суспендируют в 5,14 г 1-октанола, а затем вводят в качестве затравки 100 мг кристаллической модификации D дицикланила. Суспензию выдерживают в изотермических условиях в водяной бане с температурой 50oС при перемешивании. Примерно через 24 ч суспензию фильтруют путем вакуумной фильтрации. Твердый остаток, образовавшийся на фильтре, сушат при комнатной температуре в струе азота. Пример 3: Получение и состав композиции на основе кристаллической модификации D Прежде всего готовят следующие пять растворов, представляющих собой части общей композиции: Раствор, представляющий собой часть 1: 12,0 г Pemulen TR-2 (сополимер акриловой кислоты с небольшими включениями сомономеров алкилакриала с длинной цепью, сшитый с аллилпентаэритритолом) вводят при интенсивном перемешивании в 1188 г деминерализованной воды при комнатной температуре. Раствор, представляющий собой часть 2: 22,5 г метилового эфира 4-гидроксибензойной кислоты и 45,0 г пропилового эфира 4-гидроксибензойной кислоты растворяют при перемешивании в 3000 г 1,2-пропандиола при комнатной температуре. Раствор, представляющий собой часть 3: 7,5 г 2,6-ди(трет-бутил)-4-метилфенола растворяют при перемешивании в 1500 г триглицерида со средней длиной цепи (Miglyol 812) при комнатной температуре. После полного растворения добавляют 300 г дистиллированного монолинолеата глицерина (Myverol 18-92), уже предварительно расплавленного при 40oС, и перемешивают до гомогенного состояния. Раствор, представляющий собой часть 4: 759,1 г дицикланила (технический, 98,8%) суспендируют при перемешивании при комнатной температуре в 2203 г деминерализованной воды, к которой предварительно с целью улучшения смачивания добавляют 37,5 г полиоксиэтиленсорбитанмонолаурата (Твин 20). Раствор, представляющий собой часть 5: 7,5 г дигидрата динатриевой соли этилендиаминтетрауксусной кислоты (ЭДТК) и 0,3 г пищевого красителя Е 124 (тринатриевая соль 7-гидрокси-8-(4-сульфонат-1-нафтилазо)нафталин-1,3-дисульфоновой кислоты) растворяют при перемешивании в 599,7 г деминерализованной воды при комнатной температуре. Для приготовления композиции получают раствор, представляющий собой часть 1, и смешивают с 4000 г воды. При интенсивном перемешивании до гомогенного состояния последовательно добавляют растворы, представляющие собой части 2, 3, 4 и 5. После этого значение рН доводят до 7,0 с помощью 1 н. NaOH и с помощью воды объем композиции доводят до 15 л, а затем перемешивают в течение примерно 30 мин. Пример 4: Получение и состав композиции на основе кристаллической модификации D Прежде всего готовят следующие три раствора, представляющие собой части общей композиции: Раствор, представляющий собой часть 1: Растворяют при перемешивании при комнатной температуре 0,78 кг метилового эфира гидроксибензойной кислоты в 83,2 кг 1,2-пропандиола. После этого добавляют 20,8 кг деминерализованной воды и 0,42 кг Pemulen TR-2 диспергируют в образовавшейся смеси при интенсивном перемешивании. Раствор, представляющий собой часть 2: 0,26 кг 2,6-ди(трет-бутил)-4-метилфенола и 1,56 кг пропилового эфира гидроксибензойной кислоты растворяют при комнатной температуре при перемешивании в 52,0 кг триглицерида со средней длиной цепи (Miglyol 812). После полного растворения добавляют 10,4 кг дистиллированного монолинолеата глицерина (Myverol 18-92), уже предварительно расплавленного при 40oС, и перемешивают до гомогенного состояния. Раствор, представляющий собой часть 3: 20,8 кг 1,2-пропандиола и 1,3 кг полиоксиэтиленсорбитанмонолаурата (Твин 20) добавляют при перемешивании к 57,2 кг деминерализованной воды. В этой смеси суспендируют при перемешивании 26,5 кг дицикланила (технический, 99,2%) и также растворяют в ней 0,26 кг дигидрата динатриевой соли ЭДТК и 0,026 кг пищевого красителя Е 124. Для приготовления композиции 130 кг деминерализованной воды помещают в реактор с мешалкой и последовательно при интенсивном перемешивании добавляют растворы, представляющие собой части 1, 2 и 3. Значение рН образовавшейся смеси доводят до 7,0 с помощью 4,35 кг 1 н. NaOH и с помощью воды объем композиции доводят до 520 л. Пример 5: Получение кристаллической формы С (дигидрат дицикланила) 890 мг кристаллической модификации А дицикланила суспендируют в 4,6 г дистиллированной воды и перемешивают при 40oС в течение 24 ч, а затем фильтруют. Содержание воды в гидрате, измеренное с помощью термогравиметрии и ДСК, составляет 15,3%, что соответствует дигидрату, имеющему кристаллическую форму С, охарактеризованную с помощью рентгенодифракционного анализа. Пример 6: Получение кристаллической модификации В В струе безводного азота при 25oС сушат в течение 6 ч 720 мг кристаллической модификации С дицикланила. По данным, полученным рентгенодифракционным анализом, безводный конечный продукт относится к кристаллической модификации В дицикланила. Пример 7: Получение кристаллической модификации F К раствору, содержащему 1330 мг воды и 23 мг полиоксиэтиленсорбитанмонолаурата (Твин 20) добавляют при перемешивании и при комнатной температуре 456 мг дицикланила. Самопроизвольно образовавшуюся суспензию перемешивают в течение 24 ч при 35oС и в завершение центрифугируют. Твердый остаток сушат при комнатной температуре в струе азота. По данным, полученным рентгенодифракционным анализом, образовавшийся безводный продукт относится к кристаллической модификации F дицикланила. Пример 8: Получение кристаллической модификации G В 6,2 г воды суспендируют 605 мг кристаллической модификации А дицикланила и перемешивают при 80oС в течение 16 ч. После фильтрации и сушки при 22oС в течение 7 ч по данным, полученным рентгенодифракционным анализом, продукт относится к кристаллической модификации G дицикланила с содержанием воды менее чем 0,5%, что подтверждено термогравиметрией. Формула изобретения 1. Кристаллическая модификация D дицикланила (2-циклопропиламино-4,6-диаминопиримидин-5-карбонитрила) формулы I ![]() которая согласно характеристикам, полученным с помощью дифференциальной сканирующей калориметрии (ДСК), обладает способностью к трансформации в диапазоне температур 150-166oС при скорости нагревания 10oС/мин и имеет следующие характерные расстояния между плоскостями кристаллической решетки определенные рентгенодифракционным анализом, с использованием в качестве источника рентгеновского излучения меди-K 11,4 0,2; 8,7 0,2; 7,1 0,2; 5,92 0,05; 5,75 0,05; 5,70 0,05; 4,45 0,05; 4,40 0,05; 4,15 0,05; 3,96 0,05; 3,94 0,05; 3,80 0,05; 3,78 0,05; 3,72 0,05; 3,53 0,05; 3,41 0,05; 3,32 0,05; 2,96 0,05; 2,92 0,05; 2,84 0,05 и 2,83 0,05.
2. Способ получения кристаллической модификации по п.1, отличающийся тем, что по крайней мере на одной стадии процесса суспензию соединения формулы I известного, или неизвестного, либо неспецифичного морфологического строения с размером зерен 0,4-6,0 мкм выдерживают при температуре от приблизительно 30 до 60oС в 1-октаноле или 1,2-пропандиоле или их смеси с водой.
3. Способ по п.2, отличающийся тем, что температуру поддерживают в диапазоне примерно от 35 до 50oС.
4. Способ по п.2, отличающийся тем, что добавляют по крайней мере один затравочный кристалл кристаллической модификации по п.1.
5. Способ по п. 2, отличающийся тем, что известную кристаллическую модификацию соединения формулы I по п.1 суспендируют в 1-октаноле, добавляют в необходимом количестве затравочные кристаллы кристаллической модификации по п.1, температуру в водяной бане поддерживают на уровне примерно 50,0oС и перемешивание при этой температуре продолжают примерно в течение 24 ч.
6. Кристаллическая модификация D соединения формулы I по п.1 для приготовления ветеринарного лекарственного средства, предназначенного для борьбы с эктопаразитами домашних и сельскохозяйственных животных.
7. Ветеринарная композиция, обладающая инсектицидной активностью, пригодной для борьбы с эктопаразитами домашних и сельскохозяйственных животных, отличающаяся тем, что она содержит кристаллическую модификацию D дицикланила, охарактеризованную в п.1, в твердой форме.
РИСУНКИ
|
||||||||||||||||||||||||||

определенными рентгенодифракционным анализом, с использованием в качестве источника рентгеновского излучения меди-K
11,4
0,2; 8,7
Настоящее изобретение относится к нескольким новым полиморфным кристаллическим формам дицикланила, их гидратам и сольватам, а также к их получению.
Дицикланил используется в качестве ветеринарного лекарственного средства для борьбы с эктопаразитами домашних и сельскохозяйственных животных.
Морфология и полиморфизм органических химических действующих веществ имеют большое значение для химических и фармацевтических целей. Известны вещества, которые существуют только в одной кристаллической форме; однако также известны вещества, которые могут иметь две, три и даже большее количество полиморфных кристаллических модификаций. Обычно трудно рассчитать или предсказать возможное морфологическое и структурное разнообразие и соответствующие физико-химические характеристики, особенно термодинамическую стабильность, на научной математический основе, равно как и рассчитать или предсказать их различное поведение при введении в живой организм. Рассматриваемый полиморфизм химических органических соединений всегда является непредсказуемым в отношении количества кристаллических модификаций, их стабильности и их поведения в живом организме.
Если известны две, три или большее количество кристаллических модификаций соединения, то, как правило, в целом могут быть определены их абсолютная и относительная физико-химическая стабильность. Существование нестабильной кристаллической модификации или нестабильных кристаллических модификаций обычно приводит к возникновению технологических проблем в общем процессе получения химического и фармацевтического препарата, поскольку на каждой стадии процесса или на каждой стадии промежуточного хранения может иметь место частичное или полное превращение в более стабильную модификацию. Вследствие их метастабильности (неустойчивости) многие нестабильные кристаллические модификации могут сохраняться в течение длительных периодов времени. Однако они также могут спонтанно трансформироваться в более стабильную модификацию в промежуточный момент времени. Такие процессы трансформации нельзя заранее предсказать, и каждое соединение в этом отношении ведет себя по-разному. Различные кристаллические модификации одного и того же соединения могут в значительной степени различаться друг от друга во многих отношениях. Эти различия в морфологии и наличие полиморфизма могут оказывать существенные воздействия на создание, стабильность при транспортировке и стабильность при хранении отдельных предназначенных для введения форм, на возможность изготавливать различные предназначенные для введения формы, на их применение, на растворимость в полярных или неполярных, протонных или апротонных растворителях, на растворимость в сыворотке крови и, наконец, на биологическую доступность.
Это также относится и к физическим и химическим свойствам дицикланила, соединения формулы
11,4
11,4
предпочтительно применяют для определения характеристик твердых форм органических веществ. В частности, рентгенограммы успешно и с высоким уровнем надежности используют для определения различных кристаллических модификаций вещества. В случае гидратов и сольватов следует использовать другие методы, такие как термогравиметрия или термогравиметрия в сочетании с ИК-спектроскопией с преобразованием Фурье (ТГ-ИКПФ) и других специфичных в отношении соединения методов.
Для получения характеристик кристаллической модификации D дицикланила по настоящему изобретению проводили измерения с помощью камеры Guiner с использованием образцов вещества, которые выдерживали при комнатной температуре.
Рентгенограммы, полученные на рентгеновской пленке, обрабатывали количественно с использованием строчного сканера и рассчитывали расстояния между плоскостями кристаллической решетки, соответствующие наиболее важным линиям.
Таблица 1 (см. в конце текста описания).
Для сравнения в приведенных далее таблицах 2, 3, 4, 5, 6, 7 и 8 приведены полученные по рентгенограммам характеристики описанной ранее кристаллической модификации А дицикланила, а также характеристики новых кристаллических модификаций В, Е, F, G, С и Н. С целью их получения в соответствующую кристаллическую модификацию, представляющую собой модификацию А, полученную в основном в соответствии с методом, описанным в ЕР-В1 0244360, или представляющую собой смесь модификаций А и В, вводят в качестве затравки требуемое количество затравочного кристалла соответствующей модификации. Для каждой из кристаллических модификаций помимо соответствующего растворителя требуются также определенные температурные условия и продолжительность трансформации.
Кроме того, настоящее изобретение относится к способу получения кристаллической модификации D дицикланила по изобретению. Этот способ отличается тем, что по крайней мере на одной стадии процесса суспензию дицикланила известного или неизвестного либо неспецифичного морфологического строения с размером зерен от 0,4 до 6 мкм выдерживают при повышенной температуре в растворителе или в смеси растворителей требуемой полярности.
Полярные растворители представляют собой, например, полярные органические соединения, такие как низшие спирты, низшие кетоны, низшие нитрилы и низшие циклические простые эфиры или воду, или их смеси. Понятие “низший” включает органические соединения, которые содержат 1-8 атомов углерода и один или два гетероатома, таких как кислород, азот и/или сера. Предпочтительными полярными органическими растворителями являются смешивающиеся с водой органические растворители, такие как метанол, этанол, н-пропанол, изопропанол, н-бутанол, трет-бутанол, октанол, 1,2-пропандиол, ацетон, этилметилкетон, ацетонитрил, тетрагидрофуран или диоксан. Особенно предпочтительными для получения кристаллической модификации D дицикланила по изобретению являются низшие спирты или их смеси с водой, особенно 1-октанол и 1,2-пропандиол или их смеси с водой. Наиболее предпочтительными являются 1-октанол и 1,2-пропандиол.
Повышенная температура включает диапазон температур от комнатной температуры до температуры кипения растворителя или смеси растворителей, причем предпочтительными являются температуры в диапазоне примерно от 30oС до 60oС, особенно предпочтительно примерно от 35oС до 50oС.
В предпочтительном варианте осуществления способа добавляют по меньшей мере один затравочный кристалл кристаллической модификации D дицикланила. Приемлемые затравочные кристаллы кристаллической модификации D дицикланила могут быть получены, например, in situ из менее стабильного твердого вещества, например из менее стабильной кристаллической модификации или из смеси менее стабильных кристаллических модификаций, путем выдержки суспензии при повышенной температуре в течение соответствующего промежутка времени.
В еще одном варианте осуществления кристаллическую модификацию D получают во время процесса приготовления композиции. В этом случае в соответствующих условиях получают несколько объемных частей различного состава и затем их последовательно объединяют на определенных стадиях таким образом, чтобы получить водную суспензию-эмульсию. Первая из этих объемных частей состоит в основном из эмульгатора, гомогенно диспергированного в воде, вторая – из органического растворителя, третья – из масляной фазы, которая содержит стабилизатор, четвертая – из дицикланила, суспендированного в воде, представляющего собой одну из менее стабильных кристаллических модификаций или смесь менее стабильных кристаллических модификаций. В эту четвертую объемную часть добавляют поверхностно-активное вещество для того, чтобы повысить смачиваемость кристаллов. К первой объемной части последовательно добавляют другие объемные части при интенсивном перемешивании до гомогенного состояния. И в завершение значение рН композиции доводят до нейтрального с помощью щелока и разбавляют до требуемого объема водой. Эта композиция вследствие того, что она содержит дицикланил, суспендированный в форме кристаллической модификации D, обладает значительными преимуществами, такими как высокая концентрация дицикланила, низкая вязкость, что обусловливает ее хорошие характеристики в отношении диспергирования и разбрызгивания, хорошая галеновая, химическая и физико-химическая стабильность, особенно термодинамическая стабильность.
В зависимости от типа действующего вещества, которое необходимо ввести в композицию, поверхностно-активные вещества могут представлять собой неионогенные, катионогенные и/или анионогенные поверхностно-активные вещества или смеси поверхностно-активных веществ, обладающие хорошими эмульгирующми, диспергирующими и смачивающими свойствами. Приведенные ниже поверхностно-активные вещества должны рассматриваться только в качестве примера; помимо указанных, в литературе описан еще целый ряд других поверхностно-активных веществ, которые обычно применяют при приготовлении композиций и которые пригодны для применения согласно изобретению.
Неионогенные поверхностно-активные вещества представляют собой прежде всего производные полигликолевого эфира и алифатических или циклоалифатических спиртов, насыщенных или ненасыщенных жирных кислот и алкилфенолов, которые могут содержать 3-30 гликольэфирных групп и 8-20 атомов углерода в (алифатическом) углеводородном фрагменте и 6-18 атомов углерода в алкильном фрагменте алкилфенолов. Другими пригодными веществами являются водорастворимые продукты присоединения (аддукты) полиэтиленоксида к пропиленгликолю, этилендиаминпропиленгликолю и алкилпропиленгликолю, содержащие 20-250 групп этиленгликолевого эфира и 10-100 групп пропиленгликолевого эфира и 1-10 атомов углерода в алкильной цепи. Указанные соединения обычно содержат 1-5 фрагментов этиленгликоля на фрагмент пропиленгликоля. Их примерами, которые следует упомянуть, являются нонилфенолполиэтоксилаты, полиэтоксилированное касторовое масло, аддукты полипропилена и полиэтиленоксида, трибутилфенолполиэтоксилат, полиэтоксилат полиэтиленгликоля и октилфенола. Также могут рассматриваться эфиры жирных кислот и полиоксиэтиленсорбитана, такие как триолеат полиоксиэтиленсорбитана.
Катионогенными поверхностно-активными веществами являются, в частности, соли четвертичного аммония, содержащие в качестве заместителей по крайней мере один алкильный радикал, имеющий 8-22 атома углерода, и в качестве дополнительных заместителей – радикалы низшего необязательно галогенированного алкила, бензила или (низш.)гидроксиалкила. Предпочтительно соли находятся в форме галогенидов, метилсульфатов или этилсульфатов.
Примерами являются хлорид стеарилтриметиламмония и бромид бензилди(2-хлорэтил)этиламмония.
Пригодными анионогенными поверхностно-активными веществами могут являться либо водорастворимые мыла, либо водорастворимые синтетические поверхностно-активные вещества. Пригодными мылами являются соли щелочных металлов, щелочно-земельных металлов и необязательно замещенные аммонийные соли высших жирных кислот (С10-С22), такие как натриевые или калиевые соли олеиновой или стеариновой кислоты, или смесей природных жирных кислот, которые могут быть получены, например, из кокосового или таллового масла, а также следует упомянуть метилтауриновые соли жирных кислот. Более часто, однако, применяют так называемые синтетические поверхностно-активные вещества, в частности жирные сульфонаты, жирные сульфаты, сульфированные производные бензимидазола или алкиларилсульфонаты. Как правило, сульфонаты жирных спиртов или сульфаты жирных спиртов применяют в виде солей щелочных металлов, солей щелочно-земельных металлов или необязательно замещенных аммонийных солей, и они обычно содержат алкильный радикал с 8-22 атомами углерода, который также включает алкильный фрагмент ацильных радикалов; их примерами, которые следует упомянуть, являются натриевая или кальциевая соль лигносульфоновой кислоты, додецилсульфата или смеси сульфатов жирных спиртов, полученных из природных жирных кислот. Эта группа также включает соли сульфатированных и сульфированных аддуктов жирного спирта-этиленоксида. Сульфированные производные бензимидазола предпочтительно содержат 2 группы сульфоновой кислоты и один радикал жирной кислоты, содержащий приблизительно от 8 до 22 атомов углерода. Алкиларилсульфонаты, например, представляют собой натриевые, кальциевые или триэтаноламиновые соли додецилбензолсульфоновой кислоты или дибутилнафталинсульфоновой кислоты или продукта конденсации нафталинсульфоновой кислоты и формальдегида. Также могут рассматриваться соответствующие фосфаты, такие как соли эфира фосфорной кислоты и аддукта пара-нонилфенола с 4-14 молями этиленоксидных звеньев или фосфолипиды.
Пригодными стабилизаторами являются, например, бензоат натрия, метил-пара-гидроксибензоат, бромид цетилтриметиламмония, лимонная кислота, винная кислота, сорбиновая кислота, фенолы, алкилфенолы, хлорированные фенолы или необязательно эпоксидированные растительные масла, такие как эпоксидированное кокосовое масло, рапсовое масло или соевое масло.
Ниже изобретение проиллюстрировано на примерах, которые не ограничивают его объем. Температуры указаны в градусах Цельсия.
Пример 1: Получение затравочных кристаллов кристаллической модификации D
определенные рентгенодифракционным анализом, с использованием в качестве источника рентгеновского излучения меди-K