Патент на изобретение №2209813
|
||||||||||||||||||||||||||
(54) ПРОИЗВОДНЫЕ ПИРИДАЗИНА, ЛЕКАРСТВЕННЫЕ СРЕДСТВА НА ИХ ОСНОВЕ И СПОСОБ ЛЕЧЕНИЯ АРТРИТА
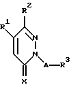
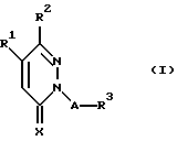
(57) Реферат: Изобретение относится к производным пиридазина общей формулы I, в которой R1 представляет фенильную или пиридильную группу, которая может быть замещена 1-3 заместителями, выбранными из галогена и низших алкоксигрупп; R2 представляет фенильную группу, которая может быть замещена в 4-м положении низшей алкоксигруппой, низшей алкилтиогруппой, низшей алкилсульфинильной или низшей алкилсульфонильной группой и в других положениях 1 или 2 заместителями, выбранными из атомов галогена, низших алкоксильных групп, низших алкилтиогрупп, низших алкилсульфинильных групп и низших алкилсульфонильных групп; 3 представляет атом водорода; низшую алкоксильную группу; галогенированную низшую алкильную группу; низшую циклоалкильную группу; фенильную, пиридильную или фенилоксигруппу, которая может быть замещена 1-3 заместителями, выбранными из атомов галогена, низших алкильных групп, низших алкоксильных групп, карбоксильной группы, низших алкоксикарбонильных групп, нитрогруппы, аминогруппы, низших алкиламиногрупп и низших алкилтиогрупп; незамещенную или замещенную низшей алкильной группой пиперидино, пиперидинильную, пиперазино или морфолиногруппу; незамещенную или замещенную бензильной группой аминокарбонильную группу; низшую алкилкарбонильную группу или незамещенную или замещенную низшей алкилильной группой пиперазинокарбонильную группу; А представляет линейную или разветвленную низшую алкиленовую или низшую алкениленовую группу, имеющую 1-6 атомов углерода; или А может означать одинарную связь, когда R3 представляет низшую циклоалкильную или галогенированную низшую алкильную группу; Х представляет атом кислорода или атом серы; при условии, что исключаются следующие комбинации: R1 и R2 представляют 4-метоксифенильную, Х представляет атом кислорода, А представляет одинарную связь и R3 представляет атом водорода или 2-хлорэтильную группу; или их соли. Указанные соединения являются ингибиторами продуцирования интерлейкина-1- . Кроме того, объектами изобретения являются лекарственное средство, которое является ингибитором продуцирования интерлейкина-1- , лекарственное средство для профилактики и лечения артрита и способ лечения артрита. 4 с. и 4 з.п. ф-лы, 4 табл.
Таблицы Т Т Тв
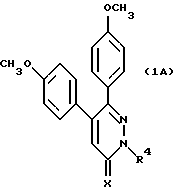
Формула изобретения 1. Производные пиридазина общей формулы I ![]() в которой R1 представляет фенильную или пиридильную группу, которая может быть замещена 1-3 заместителями, выбранными из атомов галогена и низших алкоксигрупп; R2 представляет фенильную группу, которая может быть замещена в 4-м положении низшей алкоксигруппой, низшей алкилтиогруппой, низшей алкилсульфинильной группой или низшей алкилсульфонильной группой и в других положениях 1 или 2 заместителями, выбранными из атомов галогена, низших алкоксильных групп, низших алкилтиогрупп, низших алкилсульфинильных групп и низших алкилсульфонильных групп; R3 представляет атом водорода; низшую алкоксильную группу; галогенированную низшую алкильную группу; низшую циклоалкильную группу; фенильную, пиридильную или фенилоксигруппу, которая может быть замещена 1-3 заместителями, выбранными из атомов галогена, низших алкильных групп, низших алкоксильных групп, карбоксильной группы, низших алкоксикарбонильных групп, нитрогруппы, аминогруппы, низших алкиламиногрупп и низших алкилтиогрупп; незамещенную или замещенную низшей алкильной группой пиперидино, пиперидинильную, пиперазино или морфолиногруппу; незамещенную или замещенную бензильной группой аминокарбонильную группу; низшую алкилкарбонильную группу или незамещенную или замещенную низшей алкильной группой пиперазинокарбонильную группу; А представляет линейную или разветвленную низшую алкиленовую группу, имеющую от 1 до 6 атомов углерода, или линейную или разветвленную низшую алкениленовую группу, имеющую от 1 до б атомов углерода; или А может также означать одинарную связь, когда R3 представляет низшую циклоалкильную группу или галогенированную низшую алкильную группу; Х – атом кислорода или атом серы; при условии, что исключаются следующие комбинации: R1 и R2 представляют 4-метоксифенильную группу, Х представляет атом кислорода, А представляет одинарную связь и R3 представляет атом водорода или 2-хлорэтильную группу, или их соли. 2. Производные пиридазина по п.1, которые являются соединениями, представленными следующей формулой (IA) ![]() где R4 представляет линейную или разветвленную низшую алкильную или низшую алкенильную группу, низшую циклоалкильную группу или низшую циклоалкилметильную группу; Х – атом кислорода или атом серы, или их соли. 3. Производное пиридазина или его соль по п.1, которое представляет собой 5,6-бис(4-метоксифенил)-2-этил-2Н-пиридазин-3-он, 5,6-бис(4-метоксифенил)-2-метил-2Н-пиридазин-3-он, 5,б-бис(4-метоксифенил)-2-изопропил-2Н-пиридазин-3-он, 5,6-бис(4-метоксифенил)-2-изобутил-2Н-пиридазин-3-он, 2-аллил-5,6-бис(4-метоксифенил)-2Н-пиридазин-3-он, 5,6-бис(4-метоксифенил)-2-циклопропил-2Н-пиридазин-3-он, 5,6-бис(4-метоксифенил)-2-циклопропил-метил-2Н-пиридазин-3-он, 5,6-бис(4-метоксифенил)-2-циклопропилметил-2Н-пиридазин-3-тион, 5,6-бис(4-метоксифенил)-2-циклопентил-2Н-пиридазин-3-он, 5,6-бис(4-метоксифенил)-2-циклопентилметил-2Н-пиридазин-3 -он, 5,6- бис(4-метоксифенил)-2-(4-хлорциннамил)-2Н-пиридазин-3-он, 5-(4-хлорфенил)-6-(4-метилтиофенил)-2-бензил-2Н-пиридазин-3-он, 5,6-бис(4-метоксифенил)-2-бензил-2Н-пиридазин-3-тион или 5,6-бис(3-фтор-4-метоксифенил)-2-этил-2Н-пиридазин-3-он, или его соль. 4. Лекарственное средство, которое является ингибитором продуцирования интерлейкина-1- , содержащее в качестве активного ингредиента производное пиридазина или его соль по любому из пп.1-3.
5. Лекарственное средство для профилактики или лечения артрита, содержащее в качестве активного ингредиента производное пиридазина или его соль по любому из пп.1-3.
6. Производное пиридазина или его соль по любому из пп.1-3, предназначенное для производства лекарственного средства, представляющего собой ингибитор продуцирования интерлейкина-1 .
7. Производное пиридазина или его соль по любому из пп.1-3, предназначенное для производства лекарственного средства для профилактики или лечения артрита.
8. Способ лечения артрита, который включает введение пациенту, нуждающемуся в таком лечении, производного пиридазина или его соли по любому из пп. 1-3.
РИСУНКИ
|
||||||||||||||||||||||||||

. Кроме того, объектами изобретения являются лекарственное средство, которое является ингибитором продуцирования интерлейкина-1-
Таблицы Т Т Тв

