Патент на изобретение №2209626
|
||||||||||||||||||||||||||
(54) ПРОИЗВОДНЫЕ АДАМАНТИЛА, ВЫЗЫВАЮЩИЕ АПОПТОЗ, И ИХ ИСПОЛЬЗОВАНИЕ В КАЧЕСТВЕ ПРОТИВОРАКОВЫХ АГЕНТОВ
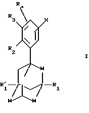
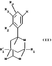
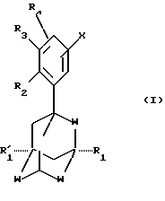
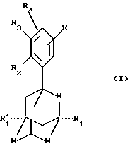
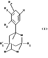
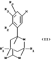
(57) Реферат: Изобретение относится к медицине, а именно к использованию ретиноидных соединений, содержащих адамантил или адамантильные производные. Эти адамантилретиноидные производные пригодны для лечения многих видов рака и твердых опухолей, в основном андрогеннезависимого рака простаты, рака кожи, карциномы поджелудочной железы, рака ободочной кишки, меланомы, рака яичника, рака печени, мелкоклеточной карциномы легких, немелкоклеточной карциномы легких, цервикальной карциномы, рака мозга, рака мочевого пузыря, рака груди, нейробластомы/глиобластомы и лейкемии. Изобретение также относится к новым соединениям производным адамантила или адамантильных групп, которые могут использоваться в качестве активных агентов для лечения или предупреждения нарушений кератинизации, кожных заболеваний и других заболеваний. Задачей изобретения является создание конкретных ретиноидов или ретиноидных соединений, обладающих усиленными свойствами, в частности противораковой активностью, предпочтительно характеризующихся способностью вызывать апоптоз раковых клеток. 12 с. и 85 з.п.ф-лы, 7 ил. Текст описания в факсимильном виде (см. чертежи) Тз Формула изобретения 1. Способ лечения рака или предракового состояния у пациентов, нуждающихся в таком лечении, вызывающем апоптоз раковых клеток, который включает введение терапевтически эффективного количества адамантильного ретиноидоподобного соединения, имеющего одну из следующих общих формул, приведенных ниже, или его фармацевтически приемлемой соли, оптического и/или геометрического изомера; соединение общей формулы I ![]() при условии, что указанное соединение формулы I не является агонистическим лигандом в отношении рецепторно-специфических рецепторов RАR- ,в котором W представляет независимо -CH2-, -О-, -S-, -SO- или -SO2-; Х представляет радикал, выбранный из тех, которые определены следующими формулами (i)-(iii): ![]() ![]() ![]() где Y представляет радикал -СО-V-, -СН=СН-, ![]() ![]()
V представляет атом кислорода (-О-), азарадикал (-NH-), радикал ![]() в которой W, R1, R1‘, R2, R3 и R4 такие, как определено в п.1, или включают фармацевтически приемлемые соли или их оптические или геометрические изомеры и при условии, что указанное соединение не является агонистическим лигандом в отношении специфических рецепторов RAR- .
3. Способ по п.1, отличающийся тем, что адамантилретиноидное соединение формулы I и по крайней мере два из R2, R3 и R4 не являются водородом.
4. Способ по п.2, отличающийся тем, что по крайней мере два из R2, R3 и R4 не являются водородом.
5. Способ по п.1, отличающийся тем, что по крайней мере два из W радикалов являются -СН2-.
6. Способ по п.5, отличающийся тем, что все три W радикала представляют -СН2-.
7. Способ по п.6, отличающийся тем, что как R1‘ так и R1 являются водородом.
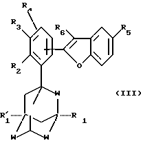
8. Способ по п.1, отличающийся тем, что соединение адамантила имеет формулу III.
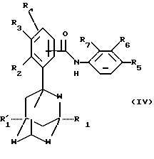
9. Способ по п.1, отличающийся тем, что соединение адамантила имеет формулу IV.
10. Способ по п.1, отличающийся тем, что раковое заболевание, подвергающееся лечению, выбрано из группы, состоящей из рака простаты, рака кожи, рака поджелудочной железы, рака ободочной кишки, меланомы, рака яичника, рака печени, мелкоклеточной карциномы легких, немелкоклеточной карциномы легких, цервикального рака, рака груди, рака мочевого пузыря, рака мозга, нейробластомы/глиобластомы, лейкемии, рака головы и шеи, рака почки, лимфомы и миеломы.
11. Способ по п.1, отличающийся тем, что раковое заболевание представляет собой цервикальный рак.
12. Способ по п.1, отличающийся тем, что он включает введение 6-[3-(1-адамантил)-4-метоксифенил]-2-нафтойной кислоты.
13. Способ по п.1, отличающийся тем, что указанный способ включает соединение, выбранное из группы, состоящей из 6-[3-(1-адамантил)-4-метоксифенил] -2-нафтойной кислоты, 2-[3-(1-адамантил)-4-метоксифенил]-5-бензимидазол карбоновой кислоты; 6-[3-(1-адамантил)-4-гидроксиметил-фенил]-2-нафтойной кислоты; 6-[3-(1-адамантил)-4-гидрокси-5-метоксифенил]-2-нафтойной кислоты; 6-[3-(1-адамантил)-4-ацетоксиметилфенил] -2-нафтойной кислоты; 6-[3-(1-адамантил)-4,5-метилендиоксифенил] -2-нафтойной кислоты; N-{6-[3-(1-адамантил)-4-метоксифенил] -2-нафталинкарбоксоил} -пиперизида; 4-{3-оксо-3-[3-(1-адамантил)-4-метоксифенил] -1-пропинил}бензойной кислоты; 4-[N-(3-(1-адамантил)-4-метоксибензоил)амидо] -2-метоксибензойной кислоты; 2-[3-(1-адамантил)-4-метоксифенил] -5-метил бензимидазол; 6-[3-(1-адамантил-4-(1,2-дигидроксиэтил)фенил] -2-нафтойной кислоты; 6-[3-(1-адаматил)-4-гидрокси-6-метилфенил] -2-нафтойной кислоты; 6-[3-(1-адамантил)-4-метокси-6-метилфенил]-2-нафтойной кислоты; 6-[3-(1-адамантил)-4-гидроксифенил]-2-гидроксиметилнафталина; 4-[3-(1-адамантил)-4-метоксибензилокси]бензойной кислоты; 2-[3-(1-адамантил)-4-метоксифенил] -5-бензофуранкарбоновой кислоты; метилового эфира 6-[3-(1-адамантил)-4-гидроксифенил] -2-нафтойной кислоты; метилового эфира 1-метил-4-гидрокси-6-[3-(1-адамантил)-4-метоксифенил] -2-нафтойной кислоты; N-{ 4-[N-3-(1-адамантил)-4-метоксибензоил)амидо]бензоил}морфолида; 4-[3-(1-адамантил)-4-метоксибензоил-окси] -2-фторбензойной кислоты; 4-гидроксикарбонил-2-фторфенилового эфира 3-(1-адамантил)-4-метоксибензойной кислоты; 6-[3-(1-адамантил)-4-этилфенил] -2-нафтойной кислоты; 6-[3-(1-адамантил)-4-(3-гидроксипропокси)-фенил]-2-нафтойной кислоты; 6-[3-(1-адамантил)-4-аминокарбонилфенил] -2-нафтойной кислоты; N-(4-карбоксифенил)-3-(1-адамантил)-3-оксопропионамида; 2-гидрокси-4-12-{ 3-(1-адамантил)-4-метоксифенил] -2-гидроксиэтокси}бензойной кислоты; (S)-6-[3-(1-адамантил)-4-(2S,3-дигидроксипропокси)фенил] -2-нафтойной кислоты; (Е) 4-{3-оксо-3-[3-метокси-4-(1-адамантил)фенил] проп-1-енил}бензойной кислоты; (Е) 4-(3-оксо-3-[4-(2-метоксиэтоксиметокси)-3-(1-адамантил)фенил] проп-1-енил} бензойной кислоты; (Е) 4-{2-[4-(6-аминокарбонилпентилокси)-3-(1-адамантил)фенил]этенил}-бензойной кислоты; 3-(1-адамантил)-4-метокси-N-(4-карбоксифенил)бензамидина; 4″-Эритромициновый А эфир 6-[3-(1-адамантил)-4-метоксифенил]-2-нафтойной кислоты; 4-карбоксифениловый эфир 3-(1-адамантил)-4-(2,3-дигидроксипропрокси)бензойной кислоты; 6-[3-(1-адамантил)-4-(2,3-дигидроксипропокси)фенил]-2-нафтойной кислоты; N-4-карбоксифенил 3-(1-адамантил)-4-метоксикарбонил)бензамида; 6-[3-(1-адамантил)-4,5-дигидрокси-фенил]-2-нафтойной кислоты; 6-[3-(3-метил-1-адамантил)-4,5-метилендиоксифенил] -2-нафтойной кислоты; 6-[3-(2-окса-1-адамантил)-4,5-метилендиоксифенил] -2-нафтойной кислоты; 6-[3-(2-окса-1-адамантил)-4-метоксифенил] -2-нафтойной кислоты; 6-[3-(2-окса-3-метил-1-адамантил)-4-метоксифенил] -2-нафтойной кислоты; 6-[3-(3-метил-1-адамантил)-4-метоксифенил] -2-нафтойной кислоты; 6-[3-(3,5-диметил-1-адамантил)-4-метоксифенил] -2-нафтойной кислоты; 6-[3-(3,5-диметил-1-адамантил)-4,5-метилендиоксифенил] -2-нафтойной кислоты; N-{ 6-[3-(1-адамантил)-4-метоксифенил]-2-нафталинкарбоксоил)гомопиперазида; N-(2-аминоэтил)-{6-[3-(1-адамантил)-4-метоксифенил] -2-нафталинкарбоксамида} ; N-16-[3-(1-адамантил)-4,5-метилендиокси] -2-нафталинкарбоксоил)пиперазида; N-{6-[3-(1-адамантил)-4,5-метилендиокси] -2-нафталинкарбоксоил)гомопиперазида; N-(2-аминоэтил)-{ 6-[3-(1-адамантил)-4,5-метилендиоксифенил] -2-нафталинкарбоксамида} и 6-[3-(3-метил-1-адамантил)-4-гидроксифенил]-2-нафтойной кислоты.
14. Способ по п.1, отличающийся тем, что способ включает введение соединения, выбранного из группы, состоящей из 6-[3-(1-адамантил)-4-метоксифенил]-2-нафтойной кислоты, 2[3-(1-адамантил)-4-метоксифенил]-5-бензимидазол карбоновой кислоты; 6-[3-(1-адамантил)-4-гидроксиметилфенил] -2-нафтойной кислоты; 6-[3-(1-адамантил)-4-гидрокси-5-метоксифенил]-2-нафтойной кислоты; 6-[3-(1-адамантил)-4-ацетокси-метилфенил]-2-нафтойной кислоты и 6-[3-(1-адамантил)-4,5-метилендиоксифенил]-2-нафтойной кислоты.
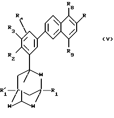
15. Способ по п.1, отличающийся тем, что в нем соединение имеет формулу V, представленную ниже:![]() или включающее его фармацевтически приемлемую соль или геометрический и/или оптический изомер, при условии, что указанное соединение не является агонистическим лигандом специфического рецептора RAR- .
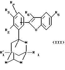
16. Способ по п.15, отличающийся тем, что в нем в соединении формулы V R5 представляет гидроксикарбонильный радикал, и/или R2 представляет гидроксильный радикал, алкоксирадикал, или R2 и R3 вместе образуют -О-СН2-О радикал.
17. Способ по п.1, отличающийся тем, что в нем ретиноидное соединение применяют системно, внутрь, парентерально, местно или в глаза.
18. Способ по п. 17, отличающийся тем, что в нем терапевтическая доза находится в диапазоне 0,01 – 100 мг/кг веса тела.
19. Адамантилретиноидное соединение, общей формулы или их фармацевтически приемлемая соль, их геометрический и/или оптический изомер; соединение общей формулы I![]() в которой W представляет независимо -СН2-, -О-, -S-, -SO- или SO2-; Х представляет радикал, выбранный из тех, которые определены следующими формулами (i)-(iii): ![]() ![]() ![]() где Y представляет радикал -СО-V-, -СН=СН-, ![]() ![]() ![]() ![]() V представляет атом кислорода (-О-), азарадикал (-NH-), радикал -СН=СН- или ;Z представляет радикал -СН- и Z’ представляет атом кислорода или Z представляет атом азота (N) и Z’ представляет азарадикал (-NH-); R1 представляет атом водорода, галоген или низший алкильный радикал; R1‘ представляет атом водорода, галоген или низший алкильный радикал; R2 представляет гидроксильный радикал, алкильный радикал, необязательно замещенный одной или более гидроксильной или ацильной группами, алкоксирадикал, необязательно замещенный одной или более гидроксильной, алкокси или аминокарбонильной группами, и/или необязательно прерванные одним или более количеством атомов кислорода ацильный радикал, аминокарбонильный радикал или галоген; R3 представляет атом водорода, галоген или гидроксильный радикал, алкильный радикал или алкоксирадикал; R2 и R3 могут вместе образовывать радикал -O-СН2-O-; R4 представляет атом водорода, алкильный радикал, алкоксильный радикал или галоген; R5 представляет радикал -СО-R10, алкильный радикал, необязательно замещенный одной или более гидроксильной группой, или галоген; R6 представляет атом водорода, галоген, алкоксильный радикал или гидроксильную группу; R7 представляет атом водорода или галоген; R8 представляет атом водорода, галоген или алкильный радикал; R9 представляет атом водорода, гидроксильный радикал или атом галогена; R10 представляет гидроксильный радикал, алкокси радикал, радикал формулы Nr’r”, где r’ и r” представляют атом водорода, необязательно замещенный аминоалкильный радикал, моно- или полигидроксиалкильный радикал, необязательно замещенный арильный радикал, или аминокислота, или остаток сахара, или же в альтернативном случае r’ и r”, взятые вместе, образуют гетероцикл, при условии, что по крайней мере два из R2, R3 и R4 не могут быть водородом, и при дополнительном условии, что 2 и R3 не могут вместе образовать -O-СН2-O-; или является соединением общей формулы III ![]() где V, W, Х, Z, Z’, R’1, R1, R2, R3, R4, R5, R6 такие, как определено для соединений формулы I, или соединение общей формулы I ![]() где V, W, Х, Y, Z, Z’, R’1, R1 – R10 такие, как определено выше, при условии, что по крайней мере один из W представляет -O-, -S-, -SO- или -SO2-, и/или по крайней мере один из R’1 и R1 является галогеном или низшим алкильным радикалом, или является соединением общей формулы I ![]() где V, W, Х, Y, Z, Z’, R’1, R1 – R10 такие, как определено выше при условии, что R5 представляет -СО-R10 и R10 представляет радикал формулы Nr’r’, где один из r’ и r” представляют водород, а другой представляет необязательно замещенный аминоалкильный радикал, или же, в альтернативном случае, r’ и r” взятые вместе образуют гетероцикл. 20. Адамантилретиноидное соединение по п.19, которое представляет формулу I, где по крайней мере два из R2, R3 и R4 не могут быть водородом и R2 и R3 не могут вместе образовать -О-СН2-О-, или его фармакологически приемлемая соль, или геометрический и/или оптический изомер. 21. Адамантилретиноидное соединение по п.19, которое представляет формулу III, или его фармакологически приемлемая соль, или геометрический и/или оптический изомер. 22. Адамантилретиноидное соединение формулы I по п.19, где 5 представляет -СО-R10 и R10 представляет радикал формулы Nr’r”, где один из r’ и r” представляет водород, а другой представляет необязательно замещенный аминоалкильный радикал, или же, в альтернативном случае, r’ и r” взятые вместе образуют гетероцикл. 23. Соединение по п. 22, отличающееся тем, что r’ и r”, взятые вместе образуют пиперазиногруппу или ее гомолог. 24. Соединение по п.22, которое выбрано из группы, состоящей из N-(2-диметиламиноэтил)-{ 6-[3-(1-адамантил)-4,5-метилендиоксифенил] -2-нафталинкарбоксамида} ; N-{6-[3-(1-адамантил)-4-метоксифенил]-2-нафталинкарбоксоил} гомопиперазида; N-(2-аминоэтил)-{6-[3-(1-адамантил)-4-метоксифенил]-2-нафталинкарбоксамида} ; N-{6-[3-(1-адамантил)-4,5-метилендиокси]-2-нафталинкарбоксоил} пиперазида; N-{6-[3-(1-адамантил)-4,5-метилендиоксил]-2-нафталинкарбоксоил} гомопиперазида; N-(2-аминоэтил)-{6-[3-(1-адамантил)-4,5-метилендиоксифенил]-2-нафталинкарбоксамида}. 25. Адамантилретиноидное соединение формулы I по п.19, в котором по крайней мере один из W представляет -О-, -S-, -SO- или -SO2-, и/или по крайней мере один из R’1 и R1 является галогеном или низшим алкильным радикалом. 26. Адамантилретиноидное соединение по п.25, которое выбирают из группы, состоящей из метилового сложного эфира 6-[3-(3-метил-1-адамантил)-4-метоксифенил] -2-нафтойной кислоты, метилового сложного эфира 6-[3-(2-окса-1-адамантил)-4-метоксифенил] -2-нафтойной кислоты; метилового сложного эфира 6-[3-(2-окса-3-метил-1-адамантил)-4-метоксифенил] -2-нафтойной кислоты; метилового сложного эфира 6-[3-(3,5-диметил-1-адамантил)-4,5-метилендиоксифенил] -2-нафтойной кислоты; метилового сложного эфира 6-[3-(3-метил-1-адамантил)-4,5-метилендиоксифенил] -2-нафтойной кислоты; метилового эфира 6-[3-(2-окса-1-адамантил)-4,5-метилен-диоксифенил] -2-нафтойной кислоты; 6-[3-(3-метил-1-адамантил)-4-метоксифенил] -2-нафтойной кислоты; 6-[3-(3,5-диметил-1-адамантил)-4-метоксифенил] -2-нафтойной кислоты; 6-[3-(2-окса-1-адамантил)-4-метоксифенил] -2-нафтойной кислоты; 6-[3-(2-окса-3-метил-1-адамантил)-4-метоксифенил] -2-нафтойной кислоты; 6-[3-(3,5-диметил-1-адамантил)-4,5-метилендиоксифенил] -2-нафтойной кислоты; 6-[3-(3-метил-1-адамантил)-4,5-метилендиоксифенил] -2-нафтойной кислоты; 6-[3-[(2-окса-1-адамантил)-4,5-метилендиоксифенил] -2-нафтойной кислоты; 6-[3-(3-метил-1-адамантил)-4,5-метилендиоксифенил] -2-нафтойной кислоты; 6-[3-(2-окса-1-адамантил)-4,5-метилендиоксифенил] -2-нафтойной кислоты; 6-[3-(2-окса-1-адамантил)-4-метоксифенил] -2-нафтойной кислоты; 6-[3-(2-окса-3-метил-1-адамантил)-4-метоксифенил] -2-нафтойной кислоты; 6[3-(3-метил-1-адамантил)-4-метоксифенил] -2-нафтойной кислоты; 6-[3-(3-метил-1-адамантил)-4-метоксифенил] -2-нафтойной кислоты; 6-[3-(3,5-диметил-1-адамантил)-4-метоксифенил]-2-нафтойной кислоты; 6-[3-(3,5-диметил-1-адамантил)-4,5-метилен-диоксифенил]-2-нафтойной кислоты; 6-[3-(3-метил-1-адамантил)-4-гидроксифенил]-2-нафтойной кислоты. 27. Адамантилретиноидное соединение по п.25, в котором по крайней мере один W представляет -O-, и/или R1 представляет низший алкильный радикал, и/или R’1 представляет низший алкильный радикал. 28. Соединение по п.27, отличающееся тем, что Х включает формулу (ii). 29. Соединение по п.28, отличающееся тем, что R8 представляет водород, и/или R9 представляет водород, и/или R5 представляет -СО-R10. 30. Адамантилретиноидное соединение формулы I по п.19, отличающееся тем, что R2 представляет алкоксирадикал или гидроксильную группу, и/или R3 представляет водород, и/или R4 представляет водород, и/или R2 и R3 вместе образуют -O-CH2-O-. 31. Адамантилретиноидное соединение по п. 21, отличающееся тем, что указанное соединение представляет 2-[3-(1-адамантил)-4-метоксифенил]-5-бензофуранкарбоновую кислоту. 32. Адамантилретиноидное соединение по п.19, имеющее общую формулу II ![]() где V, W, Х, Y, Z и Z’, R’1, R1 – R10 такие, как определено выше, при условии, что по крайней мере два из R2, R3 и R4 не являются водородом, и R2 и R3 вместе не образуют -O-СН2-O-, или соединение формулы II, где V, W, Х, Y, Z и Z’, R’1, R1 – R10 такие как, определено выше, при условии, что по крайней мере один W представляет -O-, -S-, -SO- или -SO2-, и/или по крайней мере один из R’1 и R1 является галогеном или низшим алкильным радикалом; или является соединением формулы II, где R5 представляет -СО-R10 и R10 представляет радикал формулы Nr’r”, где r’ и r” представляют водород, и другие представляют необязательно замещенный аминоалкильный радикал, или, в альтернативном случае, r’ и r” взятые вместе образуют гетероцикл, или его фармацевтически приемлемая соль или геометрический или оптический изомер. 33. Адамантилретиноидное соединение по п.31, отличающееся тем, что по крайней мере один из W представляет -O-, -S-, -SO- или -SO2– и/или по крайней мере один из R’1 и R1 является галогеном или низшим алкильным радикалом. 34. Соединение по п. 33, отличающееся тем, что по крайней мере один W представляет -O-, и/или R1 представляет низший радикал, и/или R’1 представляет собой низший алкильный радикал. 35. Адамантилретиноидное соединение по п.32, отличающееся тем, что Х включает формулу (ii). 36. Соединение по п.35, отличающееся тем, что R8 представляет водород, и/или R9 представляет водород, и/или R5 представляет -С-R10. 37. Адамантильное соединение по п.32, отличающееся тем, что R5 представляет -СО-R10 и R10 представляет радикал формулы Nr’r”, где один из r’ и r” представляет водород, а другой представляет необязательно замещенный аминоалкильный радикал, или, в альтернативном случае, r’ и r”, взятые вместе, образуют гетероцикл. 38. Соединение по п.37, отличающееся тем, что r’ и r”, взятые вместе, образуют пиперазиногруппу или ее гомолог. 39. Соединение адамантила общей формулы II по п.37, отличающееся тем, что R2 представляет алкоксирадикал или гидроксильную группу, и/или R3 представляет водород, и/или R4 представляет водород, и/или R2 и R3 вместе образуют O-СН2-O-. 40. Соединение по п.32, отличающееся тем, что его выбирают из группы, состоящей из 6-[3-(1-адамантил)-4-гидрокси-5-метоксифенил]-2-нафтойной кислоты; 6-[3-(1-адамантил)-4-гидрокси-6-метилфенил] -2-нафтойной кислоты; 6-[3-(1-адамантил)-4-метокси-6-метилфенил] -2-нафтойной кислоты; 6-[3-(1-адамантил)-4,5-дигидроксифенил]-2-нафтойной кислоты. 41. Адамантилретиноидное соединение по пункту 32, отличающееся тем, что соединение имеет общую формулу V ![]() где W, R’1 и R1 – R9 такие, как определено выше, при условии, что по крайней мере два из R2, R3 и R4 не являются водородом и R2 – R3 вместе не могут образовать -O-СН2-O-, и/или его фармацевтически приемлемая соль или геометрический или оптический изомер. 42. Соединение по п.41, отличающееся тем, что по крайней мере два из W фрагмента представляют -СН2-. 43. Соединение по п.42, в котором как R’1, так и R1 оба являются водородом. 44. Соединение по п. 41, отличающееся тем, что по крайней мере один W представляет -O-, -S-, -SO- или -SO2– и/или по крайней мере один из R’1 и R1 является галогеном или низшим алкильным радикалом. 45. Фармацевтическая или косметическая композиция, содержащая терапевтически или косметически эффективное количество адамантилретиноидного соединения общей формулы I по п.19. 46. Фармацевтическая или косметическая композиция по п.45, отличающаяся тем, что в качестве адамантилретиноидного соединения общей формулы I используют соединение по п.20. 47. Фармацевтическая или косметическая композиция по п.45, отличающаяся тем, что в качестве адамантилретиноидного соединения общей формулы I используют соединение по п.21. 48. Фармацевтическая или косметическая композиция по п.45, отличающаяся тем, что в качестве адамантилретиноидного соединения общей формулы I используют соединение по п.22. 49. Фармацевтическая или косметическая композиция по п.45, отличающаяся тем, что в качестве адамантилретиноидного соединения общей формулы I используют соединение по п.23. 50. Фармацевтическая или косметическая композиция по п.45, отличающаяся тем, что в качестве адамантилретиноидного соединения общей формулы I используют соединение по п.24. 51. Фармацевтическая или косметическая композиция по п.45, отличающаяся тем, что в качестве адамантилретиноидного соединения общей формулы I используют соединение по п.25. 52. Фармацевтическая или косметическая композиция по п.45, отличающаяся тем, что в качестве адамантилретиноидного соединения общей формулы I используют соединение по п.26. 53. Фармацевтическая или косметическая композиция по п.45, отличающаяся тем, что в качестве адамантилретиноидного соединения общей формулы I используют соединение по п.27. 54. Фармацевтическая или косметическая композиция по п.45, отличающаяся тем, что в качестве адамантилретиноидного соединения общей формулы I используют соединение по п.28. 55. Фармацевтическая или косметическая композиция по п.45, отличающаяся тем, что в качестве адамантилретиноидного соединения общей формулы I используют соединение по п.29. 56. Фармацевтическая или косметическая композиция по п.45, отличающаяся тем, что в качестве адамантилретиноидного соединения общей формулы I используют соединение по п.30. 57. Фармацевтическая или косметическая композиция по п.45, отличающаяся тем, что в качестве адамантилретиноидного соединения общей формулы I используют соединение по п.31. 58. Фармацевтическая или косметическая композиция по п.45, отличающаяся тем, что в качестве адамантилретиноидного соединения общей формулы I используют соединение по п.32. 59. Фармацевтическая или косметическая композиция по п.45, отличающаяся тем, что в качестве адамантилретиноидного соединения общей формулы I используют соединение по п.33. 60. Фармацевтическая или косметическая композиция по п.45, отличающаяся тем, что в качестве адамантилретиноидного соединения общей формулы I используют соединение по п.34. 61. Фармацевтическая или косметическая композиция по п.45, отличающаяся тем, что в качестве адамантилретиноидного соединения общей формулы I используют соединение по п.35. 62. Фармацевтическая или косметическая композиция по п.45, отличающаяся тем, что в качестве адамантилретиноидного соединения общей формулы I используют соединение по п.36. 63. Фармацевтическая или косметическая композиция по п.45, отличающаяся тем, что в качестве адамантилретиноидного соединения общей формулы I используют соединение по п.37. 64. Фармацевтическая или косметическая композиция по п.45, отличающаяся тем, что в качестве адамантилретиноидного соединения общей формулы I используют соединение по п.38. 65. Фармацевтическая или косметическая композиция по п.45, отличающаяся тем, что в качестве адамантилретиноидного соединения общей формулы I используют соединение по п.39. 66. Фармацевтическая или косметическая композиция по п.45, отличающаяся тем, что в качестве адамантилретиноидного соединения общей формулы I используют соединение по п.40. 67. Фармацевтическая или косметическая композиция по п.45, отличающаяся тем, что в качестве адамантилретиноидного соединения общей формулы I используют соединение по п.41. 68. Фармацевтическая или косметическая композиция по п.45, отличающаяся тем, что в качестве адамантилретиноидного соединения общей формулы I используют соединение по п.42. 69. Фармацевтическая или косметическая композиция по п.45, отличающаяся тем, что в качестве адамантилретиноидного соединения общей формулы I используют соединение по п.43. 70. Фармацевтическая или косметическая композиция по п.45, отличающаяся тем, что в качестве адамантилретиноидного соединения общей формулы I используют соединение по п.44. 71. Фармацевтическая или косметическая композиция по п.45 для местного, системного, внутреннего, парентерального или глазного применения. 72. Фармацевтическая или косметическая композиция по п.45 в форме таблетки, капсулы, сиропа, драже, суспензии, эликсира, раствора, порошка, гранулы, эмульсии, микросфер, наносфер, липидных везикул, полимерных везикул или для инъекций. 73. Фармацевтическая или косметическая композиция по п.45 в форме мази, крема, молочка, бальзама, оританной гигиенической подушечки, геля, спрея или лосьона. 74. Фармацевтическая или косметическая композиция по п.45, дополнительно содержащая другое ретиноидное соединение, витамин D или его производное, кортикостероид, агент против свободных радикалов, -гидрокси и -кетокислоту, или их производное, или их сочетание.
75. Способ лечения или предупреждения дерматологических состояний, включающий введение терапевтически и профилактически эффективного количества ретиноидного соединения по п. 19.
76. Способ по п.75, отличающийся тем, что дерматологические состояния связаны с нарушением кератинизации, относящийся к дифференциации и/или пролиферации.
77. Способ по п.76, отличающийся тем, что указанное заболевание выбирают из группы, включающей угри обыкновенные, камедонные (черные) или полиморфные, угри розовые, угри узелковые, угри шаровидные, сенильные угри и вторичные угри.
78. Способ по п. 76, отличающийся тем, что нарушения кератинизации включают ихтиоз, ихтиозоподобные состояния, болезнь Дарьера, ладонно-подошвенную кератодермию, лейкоплакию, лейкоплакиоподобные состояния, кожный лихен или лихен слизистой оболочки.
79. Способ по п.76, отличающийся тем, что нарушение кератинизации связано с проявлением воспаления и/или иммуноаллергического компонента.
80. Способ по п.79, отличающийся тем, что нарушение кератинизации включает все формы псориаза, кожной атопии и гипертрофии десен.
81. Способ по п.75, отличающийся тем, что дерматологическое состояние включает пролиферацию дермы или эпидермы, которая может быть доброкачественной или злокачественной и необязательно вирусного происхождения.
82. Способ по п.81, отличающийся тем, что указанная пролиферация дермы или эпидермы включает бородавку обычную, бородавку плоскую, бородавчатую эпидермодисплазию, цветущий папилломатоз ротовой полости и пролиферацию, вызванную ультрафиолетовой радиацией.
83. Способ по п.75, отличающийся тем, что дерматологическое состояние включает буллезный дерматоз и/или коллагеновое заболевание.
84. Способ по п.75, отличающийся тем, что дерматологическое состояние включает состояние, выбранное из группы, состоящей из исправления или контролирования процесса старения кожи, как фотоиндуцированного, так и естественного, актинического кератоза и пигментации и других патологий, связанных с временным или актиническим старением.
85. Способ по п.75, отличающийся тем, что дерматологическое состояние включает стигму эпидермальной и/или дермальной атрофии, вызванной местным или системным применением кортикостероидов, или других форм кожной атрофии.
86. Способ по п.75, отличающийся тем, что дерматологическое состояние включает нарушение процесса заживления, или предупреждения, и/или исправления пятен от растяжек.
87. Способ контролирования нарушений функционирования сальных желез, включающий введение эффективного количества ретиноидного соединения по п.19.
88. Способ предупреждения раковых или предраковых состояний, включающий введение профилактически эффективного количества ретиноидного соединения по п.19.
89. Способ лечения состояний, связанных с воспалением, включающий введение терапевтически эффективного количества ретиноидного соединения по п. 19.
90. Способ по п.89, отличающийся тем, что воспалительным состоянием является артрит.
91. Способ лечения заболеваний вирусного происхождения, включающий введение терапевтически эффективного количества ретиноидного соединения по п. 19.
92. Способ предупреждения или лечения алопеции, включающий введение профилактически или терапевтически эффективного количества ретиноидного соединения по п.19.
93. Способ лечения дерматологических или общих заболеваний, включая иммунологический компонент, включающий введение терапевтически эффективного количества ретиноидного соединения по п. 19.
94. Способ лечения заболеваний сердечно-сосудистой системы, включающий введение терапевтически эффективного количества ретиноидного соединения по п.19.
95. Способ по п. 94, отличающийся тем, что заболевание является атеросклерозом или инфарктом миокарда.
96. Способ лечения или предупреждения остеопороза, включающий введение профилактически или терапевтически эффективного количества ретиноидного соединения по п.19.
97. Способ по п. 1, отличающийся тем, что он используется для лечения раковых заболеваний, не связанных с кожей.
РИСУНКИ
|
||||||||||||||||||||||||||


,




;











;




-гидрокси и