Патент на изобретение №2209624
|
||||||||||||||||||||||||||
(54) СПОСОБ И КОМПОЗИЦИИ ДЛЯ ЛЕЧЕНИЯ АЛЛЕРГИЧЕСКИХ РЕАКЦИЙ НА ПОЗДНЕЙ СТАДИИ И ВОСПАЛИТЕЛЬНЫХ ЗАБОЛЕВАНИЙ
(57) Реферат: Изобретение относится к медицине и может быть использовано для лечения аллергических реакций на поздней стадии и воспалительных заболеваний. Способ представляет собой введение пациенту фармацевтической композиции, содержащей от около 0,005 до около 1,0 мг гепаринов с ультранизким молекулярным весом (ГУНМВ) на 1 кг веса тела пациента в каждой дозе, где указанные ГУНМВ имеют средний молекулярный вес от около 1000 до около 3000 дальтон. Предложенный способ позволяет повысить эффективность лечения. 6 с. и 57 з.п.ф-лы, 1 табл. , 28 ил. Область техники Данное изобретение относится к способам и композициям для профилактики и реверсии симптомов и проявления аллергических реакций на поздней стадии и воспалительных заболеваний. Уровень техники Хроническая астма может считаться преимущественно воспалительным заболеванием с ассоциированным бронхоспазмом. Степень реактивности и сужения бронхов в ответ на раздражитель у астматиков более значительна, чем у обычных индивидуумов. Стойкое воспаление ответственно за повышенную реактивность бронхов или повышенную восприимчивость дыхательных путей (ПВДП). Может присутствовать отек слизистой оболочки, слизистая пробка или повышенное выделение секреции; обычной является легочная паренхима. Сужение дыхательных путей может дать обратный ход спонтанно или с помощью терапии. Иммунные реакции первого типа (немедленные) могут играть важную роль в развитии астмы у детей и основной части взрослых; однако, если наступление болезни имеет место в зрелом возрасте, аллергические факторы могут определяться с большим трудом. Пребывание под воздействием холодного сухого воздуха, упражнения и другие усугубляющие факторы также могут спровоцировать астму. Основными целями медикаментозной терапии астмы являются предотвращение бронхоспазма и долгосрочный контроль повышенной реактивности бронхов. Так как обычно либо пациент, либо терапевт не имеют возможности предсказать появление бронхоспазма, пациентам почти со всеми эпизодическими и/или полностью сезонными приступами может потребоваться непрерывная терапия. Бета-агонисты используют в качестве бронходилататоров; они стимулируют бета2-адренергические рецепторы, повышают внутриклеточный цАМФ и могут ингибировать выделение медиаторов мастоцитов. Другие полезные лекарственные средства включают теофиллин и родственные ксантину лекарственные средства, которые дают эффект бронходилатации посредством неизвестных механизмов; бискромон, кромолин, которые предотвращают выделение вещества медиатора и блокируют респираторные нейронные рефлексы; и кортикостероиды, которые, в первую очередь, снижают воспаление и отек. Антихолинергические лекарственные средства могут облегчать бронхоспазм посредством блокирования парасимпатетических холинергических импульсов на уровне рецепторов. Антигистамины изредка предотвращают или купируют аллергические астматические приступы, особенно у детей, но они могут давать только частичный эффект при астме, так как гистамин является только одним из многих медиаторов. Современные медикаментозные способы воздействия, используемые для лечения вызванных аллергией астматических реакций, имеют множество недостатков. В общем, обычные агенты имеют относительно короткий период продолжительности действия и могут быть частично или полностью неэффективными при введении после введения антигенов. Более того, из-за серьезных побочных эффектов, появляющихся при использовании агентов, таких как бета2-адренергические агонисты и кортикостероиды, терапевтический запас прочности таких агентов относительно мал и пациенты, принимающие их, должны быть подвергнуты тщательному наблюдению. Повышенная реактивность бронхов (или ПВДП) является отличительной чертой астмы и тесно связана с воспалением нижних дыхательных путей. Ухудшение астмы и воспаления дыхательных путей связано с усилением повышенной реактивности бронхов, которая может быть вызвана как антигенными, так и неантигенными стимуляторами. Бета2-адренергические агонисты являются потенциальными агентами для лечения бронхоспазма, но не действуют на воспаление дыхательных путей или повышенной реактивности бронхов. Фактически, постоянное использование только бета2-адренергических агентов, являясь причиной падения регуляции бета2-рецепторов, может ухудшать повышенную реактивность бронхов. В настоящее время кортикостероиды являются единственными доступными эффективными агентами, которые снижают повышенную реактивность бронхов. Хотя вдыхаемые кортикостероиды являются относительно безопасными для взрослых пациентов, страдающих астмой, эти агенты являются чрезвычайно токсичными для детей, приводя к угнетению надпочечников и снижению плотности костей и задержке роста. Таким образом, поиск безопасных и эффективных агентов, которые могут снижать повышенную реактивность бронхов, продолжается. Пациенты, страдающие аллергической астмой, которые вдыхают определенные антигены, демонстрируют по крайней мере два основных типа бронхиальной реакции. У основной части пациентов развивается только острый бронхостеноз, который устраняется спонтанно в течение 1-3 ч; эта группа пациентов получила название “пациенты с острой реакцией”. Меньшее количество пациентов, однако, имеют как ранние, так и поздние реакции. Эта группа пациентов получила название “пациенты с двойной реакцией”. У пациентов с двойной реакцией острая реакция, которая устраняется спонтанно, сопровождается возникающим через 4-12 ч вторичным повышением сопротивляемости воздушных путей (“реакция на поздней стадии”). Поздние реакции и, следовательно, пациенты с двойной реакцией, имеют большую клиническую важность, так как они связаны с пролонгированной повышенной реактивностью дыхательных путей или повышенной восприимчивостью (ПВДП), имеют ухудшенные симптомы и обычно имеют более тяжелую форму клинической астмы, что требует инвазивных методов лечения. Фармакологические исследования животных, имеющих аллергические реакции, показали, что не только бронхостеноз, но также воспалительный приток клеток и характер выделения медиаторов у пациентов с двойной реакцией значительно отличается от пациентов с острой реакцией. В то время как гистамин является вероятным медиатором бронхостеноза во время острой стадии, активированные продукты метаболического пути липоксигенаэы (например, лейкотриены) могут быть основным медиатором, вовлеченным в реакции поздней фазы. Мастоциты, однако, играют центральную роль в IgE-медиированных аллергических реакциях дыхательных путей, и натрий хромолин (стабилизатор мембраны мастоцитов) теоретически должен предотвращать бронхоспазм как у пациентов с “острой” реакцией, так и у пациентов с “двойной” реакцией. Гетерогенность подтипов мастоцитов может играть значительную роль в дивергентных реакциях и это может зависеть от различий в сигнальной трансдукции (вторичного мессенждера). В последние несколько лет было обнаружено, что гепарин, вводимый внутрибронхиально, может быть эффективным ингибитором бронхоспаэма и бронхостеноза и, следовательно, представляет ценность при профилактике астмы (см., например, Ahmed et al.. New Eng.J.Med., 329:90-95, 1993; Ahmed, Resp.Drug Deliv., IV: 55-63, 1994). Далее было обнаружено, что гепарины с низким молекулярным весом, например гепарины со средним молекулярным весом 4000-5000 дальтон, эффективно предотвращают индуцированный антигеном бронхостеноз; такие гепарины с низким молекулярным весом также демонстрируют значительно более слабую антикоагулянтную активность, чем коммерческий гепарин, что является желательным свойством при использовании этих агентов при лечении астмы (см. Ashkin et al., Am. Rev.Resp.Dis., 1993 Intl. Conf. Abstracts, р.А660). Однако, как коммерческие гепарины, так и гепарины с низким молекулярным весом являются неэффективными при подавлении ПВДП при введении после введения пациенту антигена. В предшествующей заявке Serial No. 08/516786 было описано, что гепарины с ультранизким молекулярным весом (ГУНМВ), имеющие средний молекулярный вес менее 3000 дальтон, являются эффективными при подавлении ПВДП у пациентов, страдающих острыми формами астмы, даже при введении после введения пациенту антигена. Однако экспериментальные и клинические исследования показали, что хотя коммерческий гепарин также может ослаблять индуцированный антигеном бронхостеноз на ранней стадии у пациентов с острой реакцией (хотя не после введения антигена), он является неэффективным при лечении пациентов с двойной реакцией. Следовательно, после ранних исследований оставались значительные сомнения в отношении ГУНМВ, будут ли эти вещества эффективны при лечении пациентов с двойной или поздней реакцией в такой же степени, в которой они эффективны у пациентов с острой реакцией. Современные, обычные терапевтические способы воздействия на пациентов, страдающих астмой, которые демонстрируют двойную реакцию, обычно являются более инвазивными и долговременными по сравнению с теми, которым подвергаются пациенты с острой реакцией, описанной выше. Однако, эти методы лечения не особенно эффективны при лечении ПВДП, как отмечено ранее, и из-за обычно непродолжительного периода действия не могут предотвращать реакции на поздней стадии и ПВДП, наблюдаемые у пациентов с двойной реакцией. Необходимо отметить, что дыхательные пути являются только прототипом органов или тканей, пораженных реакциями на поздней стадии (РПС). В медицинской литературе было отмечено, что бронхостеноз на поздней стадии и ПВДП, наблюдаемые у пациентов с двойной реакцией, страдающих астмой, не являются отдельным явлением, существующим только при астматических или даже легочных состояниях. Кроме легочных, также существуют кожные, назальные, глазные и системные проявления РПС. Эти аллергические явления РПС считаются тесно взаимосвязанными с точки зрения иммунологических механизмов. См. Lemanske and Kaliner, “Late Phase Allergic Reactions”, опубликованную в Allergies, Principles and Practice (Mosby Yearbook, Inc., 4th ed., 1997). Согласно последнему пониманию механизмов РПС, похоже, что клинические заболевания (неважно, кожи, легких, носа, глаз или других органов), которые включают аллергические механизмы, имеют гистологический воспалительный компонент, который приводит к немедленной аллергической реакции или повышенной чувствительности, которые имеют место при введении антигена. Эта последовательность реакций считается связанной с медиаторами мастоцитов и распространяемой другими клетками-резидентами внутри поражаемых органов или клетками, введенными в местоположение мастоцитов, или базофильной дегрануляцией. Кортикостероиды, которые были признаны ценными при контроле различных аллергических заболеваний и астмы, могут быть полезными, так как обладают способностью ослаблять эти воспалительные процессы. Более того, существуют нелегочные заболевания, при которых воспалительные реакции играют главную роль, например воспаление кишечника, ревматоидный артрит, гломерулонефрит и воспаления кожи. Эти состояния также часто лечат противовоспалительными агентами, которые имеют короткий период действия или которые, подобно стероидным и нестероидным противовоспалительным лекарственным средствам, могут часто вызывать побочные системные и желудочно-кишечные реакции. Существует необходимость в улучшенных фармацевтических способах лечения аллергических реакций на поздней стадии и воспалительных заболеваний. Описание изобретения Объектом данного изобретения являются более эффективные и более безопасные способы и композиции для лечения состояний, характеризующихся аллергическими реакциями на поздней стадии и воспалительными реакциями. Другим объектом данного изобретения является способ и композиции для лечения индуцированной антигеном астмы на поздней стадии и повышенной реактивности бронхов, который не имеет недостатков известного уровня техники. Еще одним объектом данного изобретения является способ и композиции для лечения пациентов с двойной реакцией, страдающих астмой, который является эффективным при предотвращении и реверсии проявлений астмы на поздней стадии. Еще одним объектом данного изобретения является способ и композиции, описанные выше, которые являются высоко эффективными при уменьшении специфической и неспецифической повышенной реактивности бронхов, даже при введении после введения пациенту антигена. В соответствии с этими и другими объектами, которые будут понятны из дальнейшего описания, данное изобретение представляет способ лечения млекопитающих пациентов, страдающих состояниями, которые характеризуются аллергическими реакциями на поздней стадии (РПС), включая, например, легочные, носовые, кожные, глазные или системные РПС, или которые характеризуются воспалительными реакциями, отличающийся внутрибронхиальным, пероральным, местным, парентеральным, интраназальным или внутриглазным введением пациенту фармацевтической композиции, содержащей от около 0,005 до около 1,0 мг гепаринов с ультранизким молекулярным весом (ГУНМВ) на килограмм веса тела пациента в каждой дозе. Введение таких гепаринов может проводиться при острых состояниях, таких как вызванные введением антигена или при хронических состояниях, для подавления воспалительных реакций, таких как повышенная реактивность бронхов у пациентов, страдающих астмой. ГУНМВ, действующие в способе данного изобретения, имеют средние молекулярные веса от около 1000 до около 3000 дальтон и могут демонстрировать низкий уровень антикоагулянтной активности или практически полное отсутствие такой активности. Также представлены новые фармацевтические композиции, включая, например, вдыхаемые (внутрибронхиальные) композиции в виде жидкого или порошкового распылителя, или аэрозольные композиции, содержащие подходящие концентрации ГУНМВ. Краткое описание чертежей. На фиг. 1 представлен график, иллюстрирующий действие введения антигена на две группы овец, страдающих аллергией, одна из которых представляет овец с острой реакцией и другая представляет овец с двойной реакцией. Данные для каждой группы в виде индуцированной антигеном средней SЕ% (средняя квадратичная ошибка) изменений в SRL (специфической сопротивляемости легкого) представлены до (исходный уровень), немедленно после (Р.А.) и вплоть до 8 ч после введения антигена.
+ = значительно отличается от исходного (Р<0,05),* = значительно отличается от группы с двойной реакцией (Р<0,05). На фиг.2А и 2В представлены два графика, иллюстрирующие дифференциальные действия вдыхаемого коммерческого гепарина на индуцированный антигеном бронхостеноз у двух групп овец, страдающих аллергией, одна из которых представляет овец с острой реакцией (n=8) и другая представляет овец с двойной реакцией (n=13). + = значительно отличается от исходного (Р<0,05),* = значительно отличается от контроля (Р<0,05). На фиг. 3 представлен график, иллюстрирующий действие предварительного лечения вдыхаемым фрагминомTM (FragminTM, ср. мол. вес 5030 дальтон) в дозе 5 мг/кг на индуцированный антигеном бронхостеноз у овец с двойной реакцией, страдающих аллергией. Данные представлены в виде средней SRL, (в см Н2О/л/с) для группы животных, которым введен антиген, сначала при отсутствии медикаментозного лечения и затем через несколько дней после предварительного лечения фрагмином. На фиг. 4 представлена диаграмма, иллюстрирующая действие предварительного лечения вдыхаемым фрагминомTM в дозе 5,0 мг/кг на ПВДП у овец, страдающих аллергией. Данные показаны в виде средней SE РD400 в единицах дыхания на исходном уровне и через 24 ч после введения антигена для группы животных, которым ввели антиген, сначала при отсутствии медикаментозного лечения и затем через несколько дней после предварительного лечения фрагмином.
PD400 = суммарная индуцирующая доза карбахола, повышающая SRL до 400% выше исходного,+ = значительно отличается от исходного (Р<0,05). На фиг. 5 представлен график, иллюстрирующий действие предварительного лечения вдыхаемым CY-216 (ср. мол. вес 4270 дальтон) в дозе 1,25 мг/кг на индуцированный антигеном бронхостеноз у овец с двойной реакцией, страдающих аллергией. Данные представлены в виде индуцированной антигеном средней SE PD400 в единицах дыхания на исходном уровне и через 24 ч после введения антигена для группы животных, которым ввели антиген, сначала при отсутствии медикаментозного лечения и затем через несколько дней после предварительного лечения CY-216.
+ = значительно отличается от исходного (Р<0,05).
На фиг. 7 представлен график, иллюстрирующий действие предварительного лечения вдыхаемым ГУНМВ CY-222 (ср. мол. вес 2355 дальтон) в дозе 1,0 мг/кг на индуцированный антигеном бронхостеноз у овец с двойной реакцией, страдающих аллергией. Данные представлены в виде индуцированной антигеном средней На фиг. 8 представлена диаграмма, иллюстрирующая действие предварительного лечения вдыхаемым CY-222 в дозе 1,00 мг/кг на ПВДП у овец, страдающих аллергией. Данные показаны в виде средней На фиг.9 представлен график, иллюстрирующий действие лечения, проводимого после введения антигена, вдыхаемым CY-222 в дозе 1,0 мг/кг, на индуцированный антигеном бронхостеноз у овец с двойной реакцией, страдающих аллергией. Данные в виде индуцированной антигеном средней На фиг.10 представлена диаграмма, иллюстрирующая действие лечения, проводимого после введения антигена (стрелка на фиг.9), вдыхаемым CY-222 в дозе 1,00 мг/кг, на ПВДП у овец, страдающих аллергией. Данные показаны в виде средней На фиг. 11 представлен график, иллюстрирующий действие предварительного лечения вдыхаемым ГУНМВ FRU-70 (ср. мол. вес 2500 дальтон) в дозе 1,0 мг/кг, на индуцированный антигеном бронхостеноз у овец с двойной реакцией, страдающих аллергией. Данные представлены в виде индуцированной антигеном средней На фиг. 12 представлена диаграмма, иллюстрирующая действие предварительного лечения вдыхаемым FRU-70 в дозе 1,00 мг/кг на ПВДП у овец, страдающих аллергией. Данные показаны в виде средней SE% изменений в SRL представлены до, немедленно после (время ноль) и вплоть до 8 ч после введения антигена для группы животных, которым введен антиген, сначала при отсутствии медикаментозного лечения и затем через несколько дней после немедленного введения FRU-70 после измерения уровня SRL после введения антигена (стрелка).
* = значительно отличается от контроля (Р<0,05).
На фиг.14 представлена диаграмма, иллюстрирующая действие лечения, проводимого после введения антигена (стрелка на фиг.13) вдыхаемым FRU-70 в дозе 0,5 мг/кг, на ПВДП у овец, страдающих аллергией. Данные показаны в виде средней На фиг.15 представлен график, иллюстрирующий действие лечения, проводимого после введения антигена вдыхаемой смесью гексасахарида (ср. мол. вес 1930 дальтон) в дозе 0,5 мг/кг, на индуцированный антигеном бронхостеноз у овец с двойной реакцией, страдающих аллергией. Данные в виде индуцированной антигеном средней На фиг.16 представлена диаграмма, иллюстрирующая действие лечения, проводимого после введения антигена (стрелка на фиг.15), вдыхаемой смесью гексасахарида в дозе 0,5 мг/кг на ПВДП у овец, страдающих аллергией. Данные показаны в виде средней На фиг.17 представлен график, иллюстрирующий действие лечения, проводимого после введения антигена, вдыхаемым очищенным гексасахаридом (ср. мол. вес 1998 дальтон) в дозе 0,062 мг/кг на индуцированный антигеном бронхостеноз у овец с двойной реакцией, страдающих аллергией. Данные в виде индуцированной антигеном средней На фиг. 18 представлена диаграмма, иллюстрирующая действие лечения, проводимого после введения антигена (стрелка на фиг.17), вдыхаемым очищенным гексасахаридом в дозе 0,062 мг/кг на ПВДП у овец, страдающих аллергией. Данные показаны в виде средней На фиг. 19 представлен график, иллюстрирующий действие лечения, проводимого после введения антигена, вдыхаемым очищенным тетрасахаридом (ср. мол. вес 1290 дальтон) в дозе 0,062 мг/кг на индуцированный антигеном бронхостеноз у овец с двойной реакцией, страдающих аллергией. Данные в виде индуцированной антигеном средней На фиг.20 представлена диаграмма, иллюстрирующая действие лечения, проводимого после введения антигена (стрелка на фиг.19), вдыхаемым очищенным тетрасахаридом в дозе 0,062 мг/кг на ПВДП у овец, страдающих аллергией. Данные показаны в виде средней На фиг. 21 представлен график, иллюстрирующий действие лечения, проводимого после введения антигена, вдыхаемым октасахаридом (ср. мол. вес 2480 дальтон) в дозе 0,25 мг/кг на индуцированный антигеном бронхостеноз у овец с двойной реакцией, страдающих аллергией. Данные в виде индуцированной антигеном средней На фиг.22 представлена диаграмма, иллюстрирующая действие лечения, проводимого после введения антигена (стрелка на фиг.21), вдыхаемым очищенным октасахаридом в дозе 0,25 мг/кг на ПВДП у овец, страдающих аллергией. Данные показаны в виде средней На фиг. 23 представлен график, иллюстрирующий действие предварительного лечения вдыхаемым дисахаридом (ср. мол. вес 660 дальтон) в дозе 1,0 мг/кг на индуцированный антигеном бронхостеноз у овец с двойной реакцией, страдающих аллергией. Данные в виде индуцированной антигеном средней SE% изменений в SRL для отдельных овец, которым введен антиген, сначала при отсутствии медикаментозного лечения и затем через несколько дней после предварительного лечения гексасахаридом.
На фиг. 25 представлена диаграмма, иллюстрирующая действие предварительного лечения перорально вводимым очищенным гексасахаридом в дозе 2,0 мг/кг на ПВДП у овец, страдающих аллергией. Данные показаны в виде средней SE PD400 в единицах дыхания на исходном уровне и через 24 ч после введения антигена для отдельных овец, которым ввели антиген, сначала при отсутствии медикаментозного лечения и затем через несколько дней после предварительного лечения гексасахаридом.
На фиг. 26 представлен график, иллюстрирующий действие предварительного лечения внутривенно вводимым очищенным гексасахаридом (ср. мол. вес 1998 дальтон) в дозе 0,25 мг/кг на индуцированный антигеном бронхостеноз у овец с двойной реакцией, страдающих аллергией. Данные представлены в виде индуцированной антигеном средней +SЕ% изменений в SRL для отдельных овец, которым введен антиген, сначала при отсутствии медикаментозного лечения и затем через несколько дней после предварительного лечения гексасахаридом.
На фиг. 27 представлена диаграмма, иллюстрирующая действие предварительного лечения внутривенно вводимым очищенным гексасахаридом в дозе 0,25 мг/кг на ПВДП у овец, страдающих аллергией. Данные показаны в виде средней SE PD400 в единицах дыхания на исходном уровне и через 24 ч после введения антигена для отдельных овец, которым ввели антиген, сначала при отсутствии медикаментозного лечения и затем через несколько дней после предварительного лечения гексасахаридом.
На фиг. 28 представлен график, иллюстрирующий сравнительную активность при предотвращении индуцированного антигеном притока эозинофилов в бронхоальвеолярной промывной жидкости для трех групп мышей, которым ввели, соответственно, ингалированием, пероральным и внутрибрюшинным способом очищенный гексасахарид.
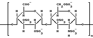
Подробное описание изобретенияДанное изобретение относится к способу лечения млекопитающих пациентов, страдающих от или склонных к развитию болезненных состояний, характеризуемых аллергическими реакциями на поздней стадии и/или воспалительными реакциями, а также к новым фармацевтическим композициям, содержащим гепарины с ультранизким молекулярным весом, которые могут быть использованы при применении способа данного изобретения. Гепарин, сульфированный мукополисахарид, синтезируется в мастоцитах в виде протеогликана и особенно изобилен в легких различных животных. Гепарин не является определенным соединением с фиксированным молекулярным весом, а фактически является гетерогенной смесью цепей сульфированных в разной степени полисахаридов, составленных в повторяющиеся единицы D-глюкозамина и либо L-идуроновой, либо D-глюкуроновой кислот. Средний молекулярный вес гепарина, выделенного из тканей животных, варьируется от около 6000 до около 30000 дальтон. Фармакологически гепарин известен в первую очередь как антикоагулянт. Такое действие достигается благодаря способности гепарина связываться с некоторыми остатками антитромбина III (AT-III), ускоряя нейтрализацию активированных факторов свертывающей системы крови с помощью AT-III и предотвращая превращение протромбина в тромбин. Большие количества гепарина могут инактивировать тромбин и ранние факторы свертывающей системы крови, предотвращая превращение фибриногена в фибрин. Геморрагическая активность гепарина связана с молекулярным весом составляющих его полисахаридов; компоненты или фрагменты с низким молекулярным весом (например, фрагменты, имеющие молекулярный вес менее чем 6000 дальтон) дают антитромбический и геморрагический эффект от среднего до низкого. Подобным образом, гепарины с низким молекулярным весом, выделенные из тканей животных, обычно имеют ослабленные геморрагические свойства по сравнению с коммерческим гепарином, но могут иметь значительную антикоагулянтную активность. Коммерческий гепарин, который обычно получают из легкого крупного рогатого скота или слизистой оболочки кишечного тракта свиньи, имеет средний молекулярный вес около 15000-17500 дальтон. Было продемонстрировано, что гепарин действует как специфический блокатор IР3 рецепторов и ингибирует медиированное IР3 выделение кальция. Предварительно было выдвинуто предположение, что гепарин может блокировать рецепторы IР3 в мастоцитах и, следовательно, препятствуя сигнальной трансдукции, может модулировать дегрануляцию мастоцитов и выделение медиатора. Исследования in vivo и in vitro подтвердили данное предположение и продемонстрировали, что вдыхаемый гепарин может ослаблять аллергический бронхостеноз у овец, предотвращать проявления индуцированной астмы, а также ингибировать индуцированное анти IgE выделение гистамина в мастоцитах. Было обнаружено, что вдыхаемый гепарин в дозах до 1000 ед./кг не оказывает действия на парциальное время тромбопластина (ПВТ), таким образом предполагая “неантикоагулирующее” действие. Также было описано, что гепарины с низким молекулярным весом (средний молекулярный вес около 4500 дальтон), которые проявляют АПВТ активность, при исследованиях на животных показали себя эффективными при предотвращении индуцированного антигеном бронхостеноза (ИАБ) и повышенной реактивности бронхов, также определяемой как повышенная восприимчивость дыхательных путей (ПВДП). Однако, как обсуждается и иллюстрируется более подробно далее, ни коммерческий гепарин, ни гепарины со средним или низким молекулярным весом, даже те, которые имеют крайне незначительное антикоагулянтное действие, не являются эффективными при улучшении ПВДП, вызванной введением антигена тестируемым животным. Эти гепарины, по всей видимости, дают только профилактический, превентивный эффект, но не представляют ценности при лечении вызванных антигеном приступов астмы. Было обнаружено и описано в заявке 08/516786, что фракции гепарина с ультранизким молекулярным весом (ГУНМВ) являются не только эффективными ингибиторами анафилаксии дыхательных путей, но также высоко эффективны при снижении ПВДП даже при введении после введения антигена. Постоянное регулярное использование ГУНМВ может также снижать ПВДП и поэтому ГУНМВ могут быть использованы для постоянной терапии астмы независимо от того, была ли она вызвана специфическим (например, антигенными) или неспецифическим факторами. Предшествующие заявки, включая демонстрационные данные тестирования, относятся только к эффективности ГУНМВ при лечении астмы на ранней стадии у пациентов с острой реакцией и не включают лечение “пациентов с двойной реакцией”, которые испытывают бронхостеноз как на ранней, так и на поздней стадии и пролонгированную ПВДП. Как обсуждалось ранее, основываясь на более ранних исследованиях, невозможно предположить, что ГУНМВ, введенные до или после введения антигена, будут эффективными при ингибировании бронхостеноза (на ранней или поздней стадиях) и ПВДП у пациентов с двойной реакцией. Это отсутствие предсказуемости доказывает тот факт, что коммерческий гепарин и гепарины со средним и низким молекулярным весом (мол. вес >3000) ингибируют ПВДП у пациентов с острой реакцией при введении до введения антигена, но не оказывают значительного эффекта при подавлении реакции на поздней стадии и ПВДП, наблюдаемые у пациентов с двойной реакцией. После проведения дальнейших контролируемых исследований ГУНМВ неожиданно было обнаружено, что фракции гепарина, имеющие средний молекулярный вес от около 1000 до около 3000, являются эффективными, при вдыхании пациентами с двойной реакцией до и после введения антигена, при подавлении бронхостеноза на ранней и поздней стадиях и ПВДП. Более неожиданно было обнаружено, что пероральное и внутривенное (или другое парентеральное) введение ГУНМВ до введения антигена эффективно ингибирует бронхостеноз и ПВДП у пациентов с двойной реакцией. Соответственно, данное изобретение представляет в одном аспекте способ лечения млекопитающих пациентов, которые являются пациентами с двойной реакцией, страдающих индуцированной антигеном астмой на поздней стадии, включающий внутрибронхиальное введение пациенту, до или после введения антигена, фармацевтической композиции, содержащей от около 0,005 до около 1,0 мг одной или более фракций ГУНМВ на килограмм веса тела пациента в каждой дозе указанной композиции, и предпочтительно от около 0,075 до около 0,75 мг/кг на дозу. В данном изобретении “эффективные ГУНМВ” могут быть определены как фракции гепарина, имеющие средний молекулярный вес около 1000-3000 дальтон. ГУНМВ, имеющие средний молекулярный вес 1000-2500 дальтон, являются особенно эффективными при использовании в способе данного изобретения. Каждая фракция ГУНМВ может содержать тетрасахариды, пентасахариды, гексасахариды, сентасахариды, октасахариды и декасахариды, а также молекулы с более длинными цепями. Фракции ГУНМВ, используемые в данном изобретении, представляют собой олигомеры единиц сульфированного сахарида, которые могут иметь, например, следующую общую структурную формулу: ![]() Несмотря на известное действие N-десульфированных гепаринов в других биологических системах, например в качестве ингибиторов роста клеток, было обнаружено, что единицы сахарида во фракциях ГУНМВ, которые являются эффективными в данном изобретении, все являются N-сульфированными; N-десульфированные фракции неэффективны. Хотя сульфированные полисахариды, используемые в способе и композициях данного изобретения, обычно определены как гепарины с ультранизким молекулярным весом, например фракции с ультранизким молекулярным весом, полученные из гепаринов, существующих в натуральном виде (или синтетических версий таких ГУНМВ), данное изобретение может также включать использование сульфированных полисахаридов, полученных из сульфата гепарана, сульфата дерматана, сульфата хондроитина, полисульфата пентозана и/или других глюкозаминогликанов и мукополисахаридов. Фракции сульфированного полисахарида, однако, должны иметь средний молекулярный вес около 1000-3000 дальтон. Могут быть использованы фармацевтически приемлемые соли эффективных ГУНМВ или любых других сульфированных полисахаридов, перечисленных выше, например соли натрия, кальция или калия. Согласно данному первому аспекту изобретения, человеку или другому млекопитающему пациенту, который является пациентом с двойной реакцией и который вдохнул, проглотил или получил каким-либо другим способом антиген (например, которому был “введен” антиген), который может провоцировать приступ астмы у данного пациента, или пациенту, которому позднее может быть введен антиген, вводят посредством ингаляции по крайней мере одну дозу фармацевтической композиции данного изобретения, содержащей один или более ГУНМВ, суммарно присутствующий в указанных ранее концентрациях. При необходимости, после введения антигена могут вводиться дополнительные дозы до тех пор, пока пациент не восстановит или не сможет поддерживать нормальные уровни сопротивляемости дыхательных путей. Изобретение также представляет во втором аспекте постоянное введение эффективных ГУНМВ пациентам с двойной реакцией, страдающих астмой, для снижения и подавления ПВДП на ранней и поздней стадиях. “Постоянное введение” в данном описании означает введение фармацевтической композиции, содержащей эффективные ГУНМВ, по крайней мере один раз в день в течение по крайней мере десяти дней подряд. Постоянное введение композиции, содержащей от около 0,005 до 1,0 мг/кг на дозу и предпочтительно около 0,0075-0,75 мг/кг на дозу, может продолжаться неопределенное время для обеспечения подавляющей ПВДП терапии, по крайней мере сравнимой с терапией кортикостероидами, но практически не дающей побочных эффектов. Вдыхаемые (внутрибронхиальные) композиции ГУНМВ, используемые в данном изобретении для лечения астмы на поздней стадии и других легочных состояний, могут включать жидкие или порошковые композиции, содержащие фракции эффективных ГУНМВ и подходящие для распыления и внутрибронхиального использования, или аэрозольные композиции, вводимые через аэрозоль для ингаляций с дозирующим устройством. Подходящие жидкие композиции включают, например, эффективные ГУНМВ в водном, фармацевтически приемлемом распыляемом растворителе, например изотоническом физиологическом растворе или бактериостатической воде. Растворы вводят с помощью помпового разбрызгивателя или распылителя, приводимого в действие сжатием или с помощью других обычных способов, способствующих вдыханию необходимого дозированного количества жидкой композиции в легкие млекопитающего пациента. Подходящие порошковые композиции включают, в качестве иллюстраций, порошковые препаративные формы гепарина, тщательно перемешанные с лактозой или другими инертными порошками, приемлемыми для внутрибронхиального введения. Порошковые композиции могут вводиться через аэрозоль или могут быть заключены в хрупкие капсулы, которые могут быть введены млекопитающему пациенту с помощью прибора, который прокалывает и выдувает порошок постоянным потоком, подходящим для вдыхания. Аэрозольные препаративные формы для использования в способе данного изобретения обычно могут включать фторированные алкановые пропелленты. Поверхностно-активные вещества и сорастворители могут быть помещены в алюминиевые или другие обычные аэрозольные баллоны, которые затем закрывают подходящим дозирующим клапаном и герметизируют с пропеллентом, получая аэрозоль для ингаляций с дозирующим устройством (ИДУ). Общая концентрация эффективных ГУНМВ в любом носителе пропелленте, подходящем для использования в герметизированных аэрозольных баллонах, таких как ИДУ, должна быть достаточно высокой, чтобы обеспечивать дозу около 0,005-0,1 мг (5-100 мкг) эффективных ГУНМВ на килограмм веса тела пациента на одно введение. Таким образом, например, если ИДУ выдает около 85 мкл содержащего лекарственное средство пропеллента на одно впрыскивание, концентрация эффективных ГУНМВ в носителе для млекопитающего пациента весом 75 кг должна быть приблизительно 0,0045-0,088 мг/мкл (4,5-88 мкг/мкл), доставляя 0,375-7,5 мг (375-7,500 мкг) ГУНМВ на одно впрыскивание, если желательно введение всей дозы за одно впрыскивание. Если желательно, чтобы доза была разделена на два впрыскивания, соответствующая концентрация будет приблизительно 0,0022-0,044 мг/мкл (2,2-44 мкг/мкл), доставляя 0,188-3,75 мг (188-3,750 мкг) ГУНМВ на одно впрыскивание. Общая концентрация ГУНМВ в любом жидком распыляемом растворе должна быть достаточно высокой, чтобы обеспечивать дозу 0,05-1,0 мг (50-1000 мкг) эффективных ГУНМВ на килограмм веса тела пациента на одно введение. Таким образом, например, если распылитель выдает 5 мл раствора за одно действие, концентрация эффективных ГУНМВ для млекопитающего пациента весом 75 кг должна быть приблизительно 0,75-15,0 мг/мл. В еще одном аспекте данного изобретения содержащие эффективные ГУНМВ композиции вводят перорально или парентерально (например, ВВ или ВМ) (внутривенно или внутримышечно) млекопитающим пациентам, страдающим от астмы на поздней стадии, вызванной антигеном, например пациентам с двойной реакцией, до введения пациенту антигена. Пероральные или парентеральные композиции содержат от около 0,005 до около 1,0 мг эффективных ГУНМВ на килограмм веса тела пациента в каждой дозе. Пероральные или парентеральные композиции могут вводиться за 8 ч (но предпочтительно не более чем за 4 ч) до введения антигена и являются эффективными при снижении бронхостеноза на ранней и поздней стадиях и при подавлении ПВДП. Специалистам в области фармацевтики очевидны многие обычные способы и аппараты, приемлемые для введения точно отмеренных доз внутрибронхиальных лекарственных средств и для регулирования желаемого дозированного количества в зависимости от веса тела пациента и тяжести состояния пациента. Более того, существует множество известных в данной области техники жидких, порошковых и аэрозольных носителей, подходящих для внутрибронхиальных композиций ГУНМВ данного изобретения, и многие фармацевтически приемлемые пероральные и парентеральные носители могут быть использованы для пероральных и парентеральных композиций ГУНМВ. Данное изобретение не ограничено определенными инертными носителями, растворителями, наполнителями или дозированными формами и не ограничено какими-либо определенными способами или аппаратами для внутрибронхиального введения. Фармацевтические композиции могут также представлять дозированные формы, которые содержат эффективные ГУНМВ в качестве активных ингредиентов в любом фармацевтически приемлемом пероральном, впрыскиваемом или ВВ дозированном носителе или в носителях для местного или внутриглазного введения. Каждая дозированная форма включает около 0,005-1,0 мг/кг веса тела пациента эффективных ГУНМВ (одного или композиции ГУНМВ) и фармацевтически приемлемые инертные ингредиенты, например обычные наполнители, носители, добавки, связывающие агенты, разрыхляющие агенты, растворители, солюбилизаторы, подсластители, красители и многие другие неактивные ингредиенты, которые обычно включаются в фармацевтические дозированные формы для перорального введения. Подходящие пероральные дозированные формы включают таблетки, капсулы, желатиновые капсулы, пилюли, жидкие растворы, суспензии или эликсиры, порошки, лепешки, микронизированные частицы и осмотические системы доставки. Впрыскиваемые и ВВ дозированные формы включают растворы в изотоническом физиологическом растворе или растворы в декстрозе, содержащие подходящие буферы и консерванты. Многие подходящие дозированные формы, носители и списки их неактивных ингредиентов хорошо известны в данной области техники и представлены в стандартных текстах, таких как Remington’s Pharmaceutical Sciences, 17th edition (1985). Композиции ГУНМВ, описанные в данном изобретении, позволяют осуществлять высокоэффективное лечение индуцированной антигеном астмы на ранней и поздней стадиях даже после введения антигена, а также лечение других состояний, характеризуемых аллергическими реакциями на поздней стадии. Для демонстрации неожиданного превосходства эффективных ГУНМВ над гепаринами с более высоким молекулярным весом при лечении пациентов с двойной реакцией, страдающих астмой, проводили эксперименты, в которых сравнивали действие различных типов гепарина на овец с двойной реакцией, страдающих аллергией, как до, так и после введения антигена. Подробное описание этих экспериментов и полученных результатов дано в следующих примерах, а также графиках, представленных на чертежах. Следующие примеры, иллюстрируя способы и композиции данного изобретения и демонстрируя их эффективность, не ограничивают область данного изобретения определенными композициями, материалами, методиками или дозированными формами, которые используются только для наглядного представления данного изобретения. Пример 1: Введение вдыхаемых ГУНМВ овцам с двойной реакцией, страдающим аллергией Методики Легочная сопротивляемость дыхательных путей: Для всех исследований используют овец, страдающих аллергией, с предварительно задокументированным двойным бронхостенозом в ответ на антиген Ascarls suum. Овцам интубируют интубационную назотрахеальную трубку с надувной манжетой и легочную сопротивляемость дыхательных путей (R1) измеряют с помощью плетизмографии тела. Данные выражают в виде специфической RL (SRL представляет собой RL, умноженную на грудной объем воздуха (Vtg)). Восприимчивость дыхательных путей: Для оценки восприимчивости дыхательных путей на основании измеряемых показателей SRL до и после вдыхания физиологического раствора, содержащего буфер, и после каждого введения в количестве 10 вдохов повышенных концентраций карбахола (0,25; 0,5; 1,0; 2,0 и 4,0% масс/объем раствора) строят кривые суммарных доз вдыхаемого карбахола. Восприимчивость дыхательных путей измеряют определением суммарной провоцирующей дозы (PD400) карбахола (в единицах дыхания), которая повышает SRL до 400% от исходного. Одна единица дыхания представляет собой один вдох 1% раствора карбахола. Фракции гепарина: В приведенных здесь исследованиях различные гепарины вводят овцам с двойной реакцией, страдающим аллергией, до и/или после введения антигена. Некоторые из этих гепаринов представляют собой фракции ГУНМВ со средним молекулярным весом от 1000 до 3000 дальтон, некоторые имеют более высокий средний вес и одна имеет низкий молекулярный вес. Тестируемые фракции гепарина представлены в таблице. Протокол эксперимента Исследование дыхательных путей: Определяют исходное значение восприимчивости дыхательных путей каждого животного и затем в разные дни эксперимента в нижние дыхательные пути овец вводят антиген Ascaris Suum. SRL измеряют до и немедленно после введения антигена и затем каждый час в течение 8 ч. Значение PD400 после введения антигена измеряют через 24 ч после введения антигена, когда проявляется ПВДП. Протокол повторяют по крайней мере через 14 дней, но при этом каждому животному вводят дозу одной из фракций тестируемых гепаринов либо приблизительно за 30 мин до введения антигена, либо немедленно после измерения SRL после введения антигена. Анализ данных Данные представлены как: ![]() б) PD400 (в единицах дыхания) Результаты На фиг.1 представлены дифференциальные реакции на введение антигена двух групп овец, страдающих аллергией, одна из которых состоит из животных с острой реакцией и другая состоит из животных с двойной реакцией. SRL животных с двойной реакцией возвращается к приблизительно исходному уровню через приблизительно 3 ч после введения антигена и остается на этом уровне. У животных с двойной реакцией, однако, имеется пик значения SRL на поздней стадии, приблизительно через 6 ч, и данный показатель остается на уровне, значительно превышающем исходный даже через 8 ч в момент прекращения эксперимента. Второй пик, возникающей на поздней стадии, характеризует животных с двойной реакцией. На фиг.2А и 2В изображено действие лечения, проводимого перед введением антигена вдыхаемым коммерческим гепарином, на SRL у животных с острой реакцией (фиг. 2А) и у животных с двойной реакцией (фиг.2В). В то время, как SRL животных с острой реакцией остается практически на исходном уровне даже после введения антигена, SRL на ранней и на поздней стадии у животных с двойной реакцией не облегчается гепариновой терапией, даже если животным с двойной реакцией вводят вплоть до 2000 единиц на килограмм. Фиг. 3-6 иллюстрируют недостаточную эффективность фракций гепарина с низким молекулярным весом, фрагмина и CY-216 при модификации как бронхостеноза, так и ПВДП у животных с двойной реакцией при введении до введения антигена. На фиг. 7-10 показано, что, как предварительное лечение, так и лечение после введения антигена вдыхаемым ГУНМВ CY-222 (ср. мол. вес 2355 дальтон, что позволяет считаться эффективным ГУНМВ согласно данному изобретению), значительно модифицировало индуцированный антигеном бронхостеноз на ранней и на поздней стадии и ПВДП у животных с двойной реакцией. Фиг.11-14 иллюстрируют эффективность как предварительного лечения, так и лечения после введения антигена, посредством введения ГУНМВ FRU-70 (ср. мол. вес 2500 дальтон) при лечении астмы на ранней и поздней стадии. Фиг. 15-22 демонстрируют эффективность различных эффективных фракций ГУНМВ, даже при введении после введения антигена, которая проявляется в значительном снижении бронхостеноза и ПВДП у животных с двойной реакцией. На фиг.23 показано, что фракция дисахарида, имеющая средний молекулярный вес только около 660 дальтон (значительно ниже веса, требуемого для эффективных фракций ГУНМВ), является неэффективной при изменении индуцированного антигеном бронхостеноза у овец с двойной реакцией, страдающих аллергией. В экспериментах, данные которых представлены на фиг.7-14 и 17-22, дозировка эффективных ГУНМВ, вводимых овцам, страдающим аллергией, представляет собой самую низкую эффективную дозу (определенную с помощью испытаний дозировок) для каждой фракции ГУНМВ. Наблюдается, что различные ГУНМВ имеют различные минимальные эффективные дозы при лечении пациентов с двойной реакцией. Минимальная эффективная доза составляет около 1,0 мг/кг для CY-222 и FRU-70, вводимых до введения антигена, но около 0,5 мг/кг для FRU-70, вводимого после введения антигена, и для вдыхаемой смеси гексасахарида. Очищенный тетрасахарид, имеющий самый низкий молекулярный вес среди тестируемых эффективных ГУНМВ, имеет минимальную эффективную дозу при введении после введения антигена, равную 0,062 мг/кг, как и очищенный гексасахарид. Эти данные позволяют сделать предположение, что очищенные фракции, имеющие средний молекулярный вес около нижнего предела 1000 дальтон, могут быть наиболее эффективными ГУНМВ, по крайней мере для лечения пациентов с двойной реакцией. Оптимальным структурным доменом и/или последовательностью с наблюдаемой антиаллергической и/или антивоспалительной активностью оказался тетрасахарид. Пример 2: Введение пероральной дозированной формы ГУНМВ овцам с двойной реакцией, страдающим аллергией. В данном эксперименте используют методику примера 1 в том, что касается тестируемых животных и оценки. Одной группе овец с двойной реакцией, страдающих аллергией, перорально вводят 2 мг/кг очищенного гексасахарида (ср. мол. вес 1998 дальтон) за 90 мин до введения антигена Ascarls Suum. Действие предварительного лечения гексасахаридом на SRL по сравнению с исходным уровнем (время введения гексасахарида) через 8 ч после введения антигена показано на фиг.24. Также на фиг. 24 для сравнения показано процентное изменение SRL у тех же овец с двойной реакцией (эксперимент проводят несколькими днями ранее), которым был введен антиген, но которые не получали терапии ГУНМВ. На фиг. 25 показаны соответствующие значения PD400, измеряемые на исходном уровне и после введения антигена у овец, которым вводили антиген с предварительным лечением гексасахаридом и без предварительного лечения (контроль). Пример 3: Введение внутривенной дозированной формы ГУНМВ овцам с двойной реакцией, страдающим аллергией. Повторяют методику примера 2 с другими овцами с двойной реакцией, страдающими аллергией, за исключением того, что 0,25 мг/кг очищенного гексасахарида вводят внутривенно за один час до введения антигена в одном эксперименте, а в другом эксперименте антиген вводят без предварительного лечения (контроль). Процентное изменение SRL для эксперимента с предварительным лечением и контроля показано на фиг.26 и значения PD400 для этих экспериментов на исходном уровне и после введения антигена показаны на фиг.27. Пример 4: Предотвращение индуцированного антигеном притока эозинофила у мышей. В четырех группах сенсибилизированных лабораторных мышей (n=3 в каждой группе) бронхоальвеолярный лаваж проводят через 24 ч после введения антигена для определения уровней притока эозинофила в каждой группе. Мышей лечат либо аэрозольным физиологическим раствором (плацебо), либо очищенным гексасахаридом, вводимым следующими способами и в следующей дозировке, соответственно: вдыхаемый аэрозоль8 (мышей (n=3) помещают в камеру, содержащую 10 мг гексасахарида в 9 мл бактериостатической воды для инъекций, который распыляют. Мышам дают вдыхать аэрозоль в течение 30 мин), перорально (100 мкг) и внутрибрюшинно (40 мкг). Процент ингибирования притока эозинофила, имеющийся в каждой лечимой группе, определяют сравнением уровней такого притока, измеряемых в жидкости от бронхоальвеолярного лаважа у групп, которым вводят гексасахарид, и у группы, которой вводят физиологический раствор. Средние значения процента ингибирования для трех групп мышей, получавших лечение, представлены на фиг.28. У мышей, получающих гексасахарид вдыханием и перорально, наблюдается 40-50% снижение притока эозинофила, в то время как у мышей, получающих гексасахарид внутривенно, наблюдается около 20% снижение притока. Различное действие коммерческого гепарина на пациентов с острой реакцией и двойной реакцией (показанное на фиг.2А и 2В) может означать вовлечение различных сигнальных путей во время анафилаксии дыхательных путей. Можно предположить, что во время иммунологически медиированной реакции мастоцитов в дыхательных путях IРз преимущественно активирует путь у “пациентов с острой реакцией”, в то время как не IРз пути (например, диацил-глицерин/протеинкиназа С или другие пути) могут быть задействованы у “пациентов с двойной реакцией”. Реакция на поздней стадии и ПВДП ассоциированы с заметным воспалением дыхательных путей. Исследования патологии слизистой оболочки дыхательных путей и бронхоальвеолярный лаваж (БАЛ) показали приток эозинофилов, нейтрофилов и активированных Т-лимфоцитов во время этой стадии. Повышенные уровни выделяемых эозинофилами медиаторов воспаления в плазме и БАЛ, включая эозинофильный катионный белок и основной базовый белок, наблюдаются на поздней стадии. На поздней стадии также наблюдается надрегулирование цитокинов типа ТН2 (IL4 и IL5), вызванное введением антигена. Таким образом, воспалительная реакция клеток в сочетании с выделением провоспалительных медиаторов (например, лейкотриенов, PAF, эозинофильных белков и т.д.) и местное образование цитокинов в слизистой оболочке бронхов играют центральную роль в аллергическом воспалении на поздней стадии и бронхостенозе. ПВДП и, следовательно, воспаление дыхательных путей могут быть модифицированы либо предотвращением выделения маст-медиаторов “антиаллергическими агентами” (например, натрий кромолином) или воздействием “противовоспалительных” агентов, таких как глюкокортикостероиды. “Антиаллергические” агенты являются эффективными только в качестве профилактических агентов и могут предотвращать выделение медиатора и ПВДП. Так как эти агенты не обладают противовоспалительной активностью, они обычно не эффективны при введении после введения антигена. В противоположность сказанному, “противовоспалительные” агенты могут ослаблять ПВДП и воспаление дыхательных путей после введения антигена, при введении как до, так и после введения антигена. Данные, представленные в этом изобретении, позволяют предположить, что действие ГУНМВ аналогично противовоспалительному действию глюкокортикостероидов. Так как эффективные ГУНМВ могут модифицировать ПВДП даже при введении после введения антигена, они также должны быть полезны при лечении неастматических состояний, связанных с ПВДП, например хронических бронхитов, эмфиземы и муко-висцидоза. Более того, основываясь на результатах, говорящих об эффективности определенных ГУНМВ при ингибировании астматической РПС, сходной с противовоспалительным эффектом кортикостероидов, эффективные ГУНМВ могут быть использованы при лечении следующих состояний при следующих способах введения: 1. Реакции на поздней стадии и воспалительная реакция в экстралегочных сайтах: (a) аллергический ринит, (b) аллергический дерматит, (c) аллергический конъюнктивит. 2. Экстралегочные заболевания, в которых основную роль играет воспалительная реакция: (i) воспалительное заболевание кишечника, (ii) ревматоидные артриты и другие диффузные болезни сосудов, (iii) гломерулонефриты, (iv) воспалительные заболевания кожи, (v) саркоидоз. 3. Способы введения: (i) внутрибронхиальный, (ii) интраназальный, (iii) внутриглазной, (iv) местный, (v) пероральный, (vi) парентеральный (ВМ или ВВ). Необходимо подчеркнуть, однако, что данное изобретение не ограничивается каким-либо образом какими-либо теоретическими или физиологическими, или биохимическими механизмами или путями, но включает способы лечения состояний, характеризуемых аллергическими реакциями на поздней стадии, или лечения млекопитающих пациентов с двойной реакцией, и композиции для использования в указанных способах, описанных выше, несмотря на использованные актуальные механизмы действий. Таким образом продемонстрировано, что в данном изобретении описаны способы и композиции, которые являются различными объектами данного изобретения и которые хорошо адаптированы для практического использования. Данное изобретение может иметь различные варианты и в данных вариантах могут быть сделаны различные изменения, поэтому должно быть понятно, что все описанные случаи являются иллюстративными и не ограничивают область данного изобретения. В формуле изобретения представлены пункты, которые являются новыми и должны быть защищены патентом. Формула изобретения 1. Способ лечения млекопитающих пациентов, страдающих или склонных к состояниям, характеризуемым аллергическими реакциями на поздней стадии и гиперреактивностью дыхательных путей, включающий введение пациенту фармацевтической композиции, содержащей от около 0,005 до около 1,0 мг гепаринов с ультранизким молекулярным весом (ГУНМВ) на 1 кг веса тела пациента в каждой дозе, где указанные ГУНМВ имеют средний молекулярный вес от около 1000 до около 3000 дальтон. 2. Способ лечения млекопитающих пациентов, страдающих или склонных к состояниям, характеризуемым воспалительными реакциями, включающий введение пациенту фармацевтической композиции, содержащей от около 0,005 до около 1,0 мг гепаринов с ультранизким молекулярным весом (ГУНМВ) на 1 кг веса тела пациента в каждой дозе, где указанные ГУНМВ имеют средний молекулярный вес от около 1000 до около 3000 дальтон. 3. Способ по п.1 или 2, в котором указанные ГУНМВ имеют средний молекулярный вес от около 1000 до около 2500 дальтон. 4. Способ по п.1 или 2, в котором указанные ГУНМВ включают фракции гепарина, выбранные из группы, состоящей из тетра-, пента-, гекса-, септа-, окта- и декасахаридов и их фармацевтически приемлемых солей. 5. Способ по п.1 или 2, в котором указанные ГУНМВ являются N-сульфатированными. 6. Способ по п.1 или 2, в котором указанная композиция содержит от около 0,075 до около 0,75 мг указанных ГУНМВ на килограмм на дозу. 7. Способ по п.1 или 2, в котором указанные ГУНМВ по существу не обладают антикоагулянтной активностью. 8. Способ по п.1 или 2, в котором указанную композицию вводят пероральным, парентеральным, местным, внутрибронхиальным, интраназальным и внутриглазным способами. 9. Способ по п.8, в котором указанное парентеральное введение осуществляют внутривенно или внутримышечно. 10. Способ по п.1, в котором указанное состояние отличается аллергическими реакциями на поздней стадии, выбранными из группы, состоящей из легочных реакций на поздней стадии, назальных реакций на поздней стадии, кожных реакций на поздней стадии, глазных реакций на поздней стадии и системных реакций на поздней стадии. 11. Способ по п.10, в котором указанные реакции на поздней стадии представляют собой легочные реакции на поздней стадии. 12. Способ по п. 11, в котором указанное состояние представляет собой астму на поздней стадии. 13. Способ по п.1, в котором указанное состояние представляет собой неастматическое состояние и характеризуется гиперреактивностью дыхательных путей. 14. Способ по п.13, в котором указанное состояние выбирают из группы, включающей хронический бронхит, эмфизему и муковисцидоз. 15. Способ по п.1, в котором указанное состояние выбирают из группы, состоящей из аллергического ринита, аллергического дерматита, аллергического конъюнктивита. 16. Способ по п.2, в котором указанное состояние выбирают из группы, состоящей из воспалительной болезни кишечника, ревматоидного артрита, диффузной болезни сосудов, гломерулонефрита, воспалительных заболеваний кожи и саркоидоза. 17. Способ по п.1 или 2, в котором указанная композиция включает раствор или суспензию указанных ГУНМВ в водном, фармацевтически приемлемом, жидком ингаляционном носителе. 18. Способ по п.17, в котором указанный носитель представляет изотонический физиологический раствор или бактериостатическую воду. 19. Способ по п. 17, в котором указанную композицию вводят при помощи помпового или сжимаемого ингалятора. 20. Способ по п. 17, в котором пациенту вводят достаточное количество указанной композиции для получения дозы около 0,05-1,0 мг/кг указанных ГУНМВ. 21. Способ по п. 17, в котором указанная композиция содержит около 0,75-15,0 мг/мл указанных ГУНМВ. 22. Способ по п. 1 или 2, в котором указанная композиция представляет собой аэрозольную композицию, содержащую аэрозольный пропеллент. 23. Способ по п.22, в котором указанную композицию вводят посредством ингалятора с дозирующим устройством. 24. Способ по п. 22, в котором пациенту вводят достаточное количество указанной композиции для получения дозы около 0,005-0,1 мг/кг указанных ГУНМВ. 25. Способ по п.22, в котором указанная композиция содержит около 2,2-88 мкг/мкл указанных ГУНМВ. 26. Способ по п. 1 или 2, в котором указанная композиция содержит порошковую препаративную форму указанных ГУНМВ, смешанных с инертным порошком, приемлемым для внутрибронхиального введения. 27. Способ по п.26, в котором указанный инертный порошок представляет собой лактозу. 28. Способ по п.26, в котором указанную композицию вводят посредством аэрозольного дозатора. 29. Способ по п.26, в котором указанную композицию вводят посредством разрушаемой капсулы. 30. Способ по п.1 или 2, в котором указанную композицию вводят пациенту до введения антигена, вызывающего аллергическую реакцию. 31. Способ по п.1 или 2, в котором указанную композицию вводят пациенту после введения антигена, вызывающего аллергическую реакцию. 32. Фармацевтическая композиция для лечения млекопитающего пациента, страдающего или склонного к состоянию, характеризуемому аллергическими реакциями на поздней стадии и гиперреактивностью дыхательных путей, включающая от около 0,005 до около 1,0 мг ГУНМВ на 1 кг веса тела пациента в каждой дозе в фармацевтически приемлемом вдыхаемом, пероральном, парентеральном, местном, интраназальном или внутриглазном носителе, где указанные ГУНМВ имеют средний молекулярный вес от около 1000 до около 3000 дальтон. 33. Фармацевтическая композиция для лечения млекопитающего пациента, страдающего или склонного к состоянию, характеризуемому воспалительными реакциями, включающая от около 0,005 до около 1,0 мг ГУНМВ на 1 кг веса тела пациента в каждой дозе в фармацевтически приемлемом вдыхаемом, пероральном, парентеральном, местном, интраназальном или внутриглазном носителе, где указанные ГУНМВ имеют средний молекулярный вес от около 1000 до около 3000 дальтон. 34. Композиция по п.32 или 33, в которой указанные ГУНМВ имеют средний молекулярный вес от около 1000 до около 2500 дальтон. 35. Композиция п.32 или 33, в которой указанные ГУНМВ включают фракции гепарина, выбранные из группы, состоящей из тетра-, пента-, гекса-, септа-, окта- и декасахаридов и их фармацевтически приемлемых солей. 36. Композиция по п.32 или 33, в которой указанные ГУНМВ являются N-сульфатированными. 37. Композиция по п.32 или 33, содержащая от около 0,075 до около 0,75 мг указанных ГУНМВ на килограмм на дозу. 38. Жидкая или текучая композиция по п.32 или 33, которая содержит от около 1,0 до около 20,0 мг указанных ГУНМВ на 1 мл композиции. 39. Композиция по п.32 или 33, в которой указанные ГУНМВ, по существу, не обладают антикоагулянтной активностью. 40. Композиция по п.32 или 33, которая содержит раствор указанных ГУНМВ в водном фармацевтически приемлемом ингалационном носителе. 41. Композиция по п.40, в которой указанный носитель представляет изотонический физиологический раствор или бактериостатическую воду. 42. Композиция по п.40, которая приемлема для введения посредством насосного или сжимаемого ингалятора. 43. Композиция по п.40, которая дополнительно содержит аэрозольный пропеллент и приемлема для введения посредством ингалятора с дозирующим устройством. 44. Композиция по п.32 или 33, которая содержит порошковую препаративную форму указанных ГУНМВ, смешанных с инертным порошком, приемлемым для внутрибронхиального введения. 45. Композиция по п.44, в которой указанный инертный порошок представляет собой лактозу. 46. Композиция по п.44, которую вводят посредством аэрозольного дозатора. 47. Композиция по п.44, которую вводят посредством разрушаемой капсулы. 48. Композиция по п.32 или 33, которая содержит фармацевтически приемлемый для перорального введения носитель. 49. Композиция по п.48, которая представляет собой пероральную лекарственную форму, выбранную из группы, состоящей из таблеток, капсул, каплет, желатиновых капсул, пилюль, жидких растворов, суспензий или эликсиров, порошков, лепешек, микронизированных частиц и осмотических систем доставки. 50. Композиция по п.49, которая дополнительно содержит наполнители, носители, добавки, связывающие агенты, дезинтегрирующие агенты, растворители, солюбилизаторы, подсластители или красители. 51. Композиция по п.32 и 33, которая включает фармацевтически приемлемые носители для парентерального введения. 52. Композиция по п.51, в которой указанные носители включают изотонический физиологический раствор или раствор декстрозы. 53. Композиция по п.51, подходящая для внутривенного введения. 54. Композиция по п.51, подходящая для внутримышечного введения. 55. Композиция по п. 32 или 33, включающая фармацевтически приемлемый носитель для местного введения. 56. Композиция по п. 32 или 33, включающая фармацевтически приемлемый носитель для интраназального введения. 57. Композиция по п. 32 или 33, включающая фармацевтически приемлемый носитель для внутриглазного введения. 58. Способ лечения млекопитающего пациента, страдающего или склонного к состоянию, характеризуемому аллергическими реакциями на поздней стадии и гиперреактивностью дыхательных путей, включающий введение пациенту фармацевтической композиции, содержащей от около 0,005 до около 1,0 мг сульфатированных полисахаридов на 1 кг веса тела пациента в каждой дозе, причем указанные сульфатированные полисахариды имеют средний молекулярный вес от около 1000 до около 3000 дальтон. 59. Способ лечения млекопитающего пациента, страдающего или склонного к состоянию, характеризуемому воспалительными реакциями, включающий введение пациенту фармацевтической композиции, содержащей от около 0,005 до около 1,0 мг сульфатированных полисахаридов на 1 кг веса тела пациента в каждой дозе, причем указанные сульфатированные полисахариды имеют средний молекулярный вес от около 1000 до около 3000 дальтон. 60. Способ по п.58 или 59, в котором указанные сульфатированные полисахариды получают из глюкозаминоглюканов или мукополисахаридов. 61. Способ по п.60, в котором сульфатированные полисахариды получают из гупарина, сульфата гепарана, сульфата дерматана, сульфата хондроитина или сульфата пентозана. 62. Способ по п.58 или 59, в котором указанные сульфатированные полисахариды включают тетра-, пента-, гекса-, септа-, окта- и декасахариды и их фармацевтически приемлемые соли. 63. Способ по п.62, в котором указанные сульфатированные полисахариды включают тетрасахариды. РИСУНКИ
|
||||||||||||||||||||||||||

SЕ% (средняя квадратичная ошибка) изменений в SRL (специфической сопротивляемости легкого) представлены до (исходный уровень), немедленно после (Р.А.) и вплоть до 8 ч после введения антигена.
+ = значительно отличается от исходного (Р<0,05),
