Патент на изобретение №2207180
|
||||||||||||||||||||||||||
(54) СПОСОБ СОЗДАНИЯ УПРУГОЙ СВЯЗИ МЕЖДУ ДВУМЯ ТЕЛАМИ И МАГНИТНАЯ ИГРУШКА
(57) Реферат: Способ создания упругой связи между двумя телами и магнитная игрушка относятся к области производства игр и игрушек с магнитами. Согласно способу между телами создают магнитное поле за счет размещения на них постоянных магнитов. Перемещение игрового элемента осуществляют посредством механического перемещения магнитов. Не связанные механически между собой тела размещают на гладкой поверхности. Магнитное поле создают с одной стороны двумя протяженными, одинаково ориентированными, параллельными между собой и основанием магнитами, неподвижно связанными с первым телом, а с другой стороны противоположно ориентированным магнитом, неподвижно закрепленным на втором теле. Тела сближаются до момента уравновешивания сил притяжения и отталкивания магнитов первого и второго тел и попадания в магнитную потенциальную яму. Затем перемещают одно из тел при синхронном автоматическом перемещении второго тела на постоянном расстоянии от первого. Магнитная игрушка содержит два немагнитных тела. На первом из них размещены два магнита. Между магнитами на втором теле размещен с возможностью перемещения третий магнит. Игрушка содержит гладкое основание. Тела установлены на поверхности основания с возможностью скольжения или качения по нему. На первом теле магниты выполнены плоскими протяженными с полюсами вдоль длинных сторон и установлены параллельно основанию друг над другом. Оси намагничивания одинаково ориентированы, параллельны между собой и основанием. На втором теле на высоте, равной половине расстояния между магнитами первого тела, параллельно основанию неподвижно закреплен, по крайней мере, один магнит с противоположной ориентацией полюсов. Данные способ и устройство обеспечивают расширение игровых возможностей и повышение занимательности. 2 с. и 1 з.п.ф-лы, 6 ил. Изобретение относится к способам и устройствам для перемещения, в частности к способам и устройствам для перемещения элементов посредством упругой связи без физического контакта между ними, и может быть использовано в играх и игрушках. Постоянные магниты обычно используют для создания магнитного поля в воздушных зазорах. При помощи постоянных магнитов с соответствующей геометрической формой и коэрцитивной силой можно сконструировать устройство, использующее магнитные поля. При этом один из элементов устройства поддерживается исключительно магнитными полями, т.е. его можно заставить “плавать” в магнитном поле. Известен принцип минимума. Если функция (x, y, z) удовлетворяет уравнению Лапласа![]() в некоторой области G, то внутри этой области G функция (x, y, z) не может иметь ни максимума, ни минимума, т.е. максимум и минимум достижимы лишь на границе области G (B.C. Владимиров “Уравнения математической физики”. М., Наука, 1975 г.).
Факт неустойчивости равновесия диполя является прямым следствием того, что постоянное магнитное поле в отсутствие токов является потенциальным. Для таких полей, как известно, существует теорема, утверждающая, что минимальное и максимальное значение для них не может быть достигнуто нигде внутри области, в которой эти поля потенциальны. Этот факт означает, что одними лишь силами со стороны магнитного поля неподвижный диполь не может быть уравновешен. Для уравновешивания следует применить в дополнение к магнитному полю иные силы, например силы тяжести, силы реакции каких-либо стенок и т.п.Так, например, в устройстве, заявленном в патенте ЕР 0627248 А2, уравновешиваемый элемент, на который воздействует магнитное поле от двух разнесенных постоянных магнитов, помещается в жидкую среду, заключенную в корпус из немагнитного материала.
Известен выбранный в качестве прототипа способ создания упругой связи между телами с игровыми элементами без непосредственного механического контакта между ними, по которому создают магнитное поле между двумя постоянными магнитами, изменяют параметры этого поля путем вращения одного или обоих постоянных магнитов, при этом обеспечивают возвратно-поступательное перемещение игрового элемента, связанного с третьим постоянным магнитом, размещенным между двумя первыми, то в сторону одного, то в сторону другого (патент РФ 2124379).
Указанный способ осуществляется с помощью специального устройства – магнитной игрушки, содержащей два немагнитных тела, на первом из которых (корпусе) на некотором расстоянии друг от друга с возможностью независимого вращения размещены два постоянных магнита, выполненных в виде шаров. Второе тело представляет собой жестко связанные с первым телом направляющие, на которых между магнитами первого тела установлен третий постоянный магнит. Два магнита на первом теле за счет вращения имеют возможность менять направление полярности. Третий магнит имеет постоянную полярность и может осуществлять возвратно-поступательное перемещение между магнитами первого тела, т.е. имеется упругая связь между телами. На первом теле и на магните второго тела расположены игровые элементы. Вращение магнитов первого тела изменяет параметры магнитного поля, что приводит к перемещению игровых элементов, установленных на магните второго тела.
В данных способе и устройстве используется традиционный эффект взаимодействия постоянных магнитов: одноименные полюса магнитов отталкиваются, а разноименные полюса притягиваются. Если не предусмотреть какие-то специальные предохранительные устройства, то может произойти смыкание промежуточного магнита второго тела с одним из магнитов первого тела.
Кроме того, недостатком известного способа являются ограниченность применения и низкая игровая занимательность. Игровые элементы перемещаются только возвратно-поступательно на небольшое расстояние, ограниченное габаритами устройства.
Задачей предлагаемого изобретения является расширение игровых возможностей и увеличение занимательности.
Как показали исследования, в результате комплексного использования силы тяжести, магнитного поля и имеющегося ограничения по перемещению в вертикальной плоскости образуется так называемая “магнитная подушка” или магнитная “яма” с необычным эффектом уравновешивания диполя.
Для решения указанной задачи в способе создания упругой связи между двумя телами с игровыми элементами без непосредственного механического контакта между ними, по которому между телами создают магнитное поле за счет размещения на них постоянных магнитов, а перемещение игрового элемента осуществляют посредством механического перемещения магнитов, согласно изобретению, механически не связанные между собой тела размещают на гладкой поверхности, при этом магнитное поле создается с одной стороны двумя протяженными, одинаково ориентированными, параллельными между собой и основанием магнитами, неподвижно связанными с первым телом, а с другой стороны противоположно ориентированным, по крайней мере, одним магнитом, неподвижно закрепленным параллельно основанию и магнитам первого тела на втором теле, при этом тела постепенно сближают друг с другом до момента уравновешивания сил притяжения и сил отталкивания магнитов первого тела и второго тела и попадания в магнитную потенциальную яму, а затем плавно перемещают одно из тел по траектории, приближенной к прямой, при синхронном автоматическом перемещении другого (второго) тела на постоянном расстоянии от первого.
При расположении магнитов первого тела на расстоянии 2h по высоте друг от друга возникновение магнитной потенциальной ямы происходит на расстоянии между телами ![]() Указанная задача решается также за счет того, что магнитная игрушка, содержащая два немагнитных тела, на первом из которых на некотором расстоянии друг от друга размещены два постоянных магнита, а между этими магнитами на втором теле размещен с возможностью перемещения третий постоянный магнит, согласно изобретению, дополнительно содержит гладкое горизонтальное основание, тела установлены на основании с возможностью скольжения или качения по нему, при этом все магниты жестко связаны с телами, магниты первого тела выполнены плоскими протяженными с ориентацией полюсов вдоль длинных сторон и установлены параллельно основанию друг над другом, их оси намагничивания одинаково ориентированы, параллельны между собой и основанием, магнит второго тела размещен на высоте, соответствующей половине расстояния между магнитами первого тела, параллельно основанию и имеет противоположную ориентацию полюсов. Заявляемые способ и устройство обеспечивают создание упругой связи двух тел без механического контакта. При плавном перемещении одного из тел по гладкой горизонтальной или наклонной поверхности по любой траектории происходит аналогичное перемещение другого тела. При этом тела продолжают оставаться на одном и том же расстоянии друг от друга, не смыкаясь и не отдаляясь. Магниты на первом теле располагают таким образом, что ориентация полюсов двух магнитов одинакова N-N или S-S и ось намагничивания параллельна горизонтальной плоскости, а ориентация третьего магнита на втором (другом) теле соответственно S или N. В этом случае наблюдается традиционный эффект при взаимодействии разноименных полюсов магнитов – происходит притяжение. Однако по достижении определенного расстояния между телами сила притяжения уменьшается до 0. При дальнейшем уменьшении расстояния между телами появляется сила отталкивания, которая возрастает с уменьшением расстояния между телами, т. е. происходит отталкивание магнитов. В определенной точке силы притяжения и силы отталкивания уравновешивают друг друга и два тела стремятся поддерживать это оптимальное расстояние. Если два магнита на первом теле располагают на расстоянии 2h друг от друга по высоте, а магнит на втором теле размещают симметрично по высоте между ними, то устойчивое равновесие между телами соответствует расстоянию между ними В создании устойчивого равновесия на поверхности помимо магнитных сил участвуют силы гравитации и ограничение вертикального перемещения (наличие опорной поверхности). В точках равновесия магнитные силы уравновешены, таким образом на определенном расстоянии между двумя телами возникает магнитная потенциальная “яма”, или, говоря другими словами, появляется зона “магнитной ямы”.
Устройство по предлагаемому способу работает как пружина: при увеличении расстояния между телами возникает сила притяжения, а при уменьшении расстояния возникает сила отталкивания.
Патентные исследования не выявили способа и устройства, характеризующихся заявленной совокупностью признаков, следовательно, можно предположить, что они соответствуют критерию “новизна”.
Заявляемые способ и устройство не следуют явным образом из изученного уровня техники, что говорит о соответствии критерию “изобретательский уровень”.
Заявляемый способ может быть осуществлен с помощью устройства, изготовленного с использованием стандартного оборудования, следовательно, он соответствует критерию “промышленная применимость”.
Сущность комплексного изобретения поясняется графическими материалами, где на фиг. 1 представлена схема устройства для осуществления заявляемого способа; на фиг. 2 – схематичное изображение поля стержня, намагниченного вдоль короткой стороны; на фиг.3 – схематичное изображение поля пары параллельных стержней; на фиг. 4 – график поперечной силы, действующей на магнитный диполь в поле двух стержней; на фиг.5 – график продольной силы, действующей на магнитный диполь в поле двух стержней; на фиг.6 – схематично изображены направления сил, действующих на магнитный диполь в поле двух стержней.
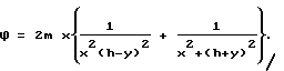
Заявляемый способ заключается в следующем:– создается постоянное магнитное поле определенного вида от двух постоянных магнитов, определенного вида и определенным образом неподвижно закрепленных на немагнитном теле (каждый магнит имеет форму прямоугольного в сечении стержня, полюса со стороны длинных боковых сторон, магниты разнесены по высоте, параллельны друг другу и параллельны основанию тела, ось намагниченности параллельна основанию тела, направление магнитного поля одинаково, намагниченность однородна, магнитные стержни примыкают к одной вертикальной плоскости); – вводится постоянное магнитное поле от третьего магнита, закрепленного на втором немагнитном теле (магнит находится на высоте, соответствующей уровню середины расстояния между магнитами первого тела, намагниченность однородна, ось намагниченности параллельна основанию второго тела и параллельна оси намагниченности магнитов первого тела); – производится установка обоих тел на гладкой горизонтальной или наклонной поверхности, то есть на основании, при этом второе тело располагают по отношению к первому телу таким образом, чтобы магнит находился на оси симметрии магнитов первого тела, его полярность была противоположна полярности магнитов первого тела; – производится постепенное сближение тел без изменения ориентации магнитных полей до попадания в магнитную потенциальную яму (обоснование места расположения магнитной ямы смотри ниже); – производится дальнейшее плавное перемещение одного из тел по траектории, приближенной к прямой, с одновременным автоматическим перемещением другого (второго) тела на расстоянии, соответствующем расстоянию от первого тела до магнитной ямы. На фиг.1 представлена схема заявляемого устройства. На гладкой горизонтальной или наклонной поверхности основания 1 устойчивым образом размещены два тела 2 (первое тело) и 3 (второе тело) из немагнитного материала. Тела 2 и 3 механически не связаны друг с другом. Оба тела 2 и 3 установлены с возможностью свободного скольжения или качения по поверхности основания 1. Сила трения скольжения и трения качения минимальна. На теле 2 на расстоянии 2h друг над другом установлены протяженные постоянные магниты 4 в виде плоских стержней, примыкающих боковой стороной к одной вертикальной плоскости, например к боковому торцу первого тела 2. Полюса магнитов находятся на длинных боковых сторонах стержней 4. Ось намагничивания стержней 4 параллельна горизонтальной плоскости. Ориентация полюсов стержней 4 одинакова – N-N или S-S. На втором теле 3 установлен, по крайней мере, один постоянный магнит 5, также выполненный в виде параллельного основанию стержня, перпендикулярного плоскости расположения магнитов первого тела. Он своим торцом также примыкает к боковому торцу тела 3, смежному с торцом тела 2 с магнитами 4. Ориентация полюсов магнита 5 противоположна ориентации магнитов 4, то есть соответственно S или N. По высоте магнит 5 расположен на половине расстояния между магнитами 4 первого тела 2. Для обоснования работоспособности заявляемого способа приведем некоторые выкладки. Во всех дальнейших расчетах будем исходить из следующих положений: – магнитное поле в области, где нет токов, является потенциальным, т.е. ![]() – потенциал магнитного диполя имеет вид ![]() здесь магнитный момент диполя, – радиус-вектор точки, в которой ищется поле;– намагниченность постоянного магнита однородна, т.е. одинакова во всех точках магнита; – магнит любой конфигурации – это совокупность магнитных диполей; – момент находящийся в магнитном поле обладает потенциальной энергией![]() – сила, действующая на диполь, определяется градиентом потенциальной энергии и направлена в сторону убыли потенциальной энергии: ![]() Рассмотрим следующие варианты: 1. Поле стержня, намагниченного вдоль короткой стороны (см. фиг.2). – намагниченность на единицу длины стержня, длина стержня,![]() ![]() В дальнейшем ограничимся случаем очень длинного стержня (l_ ), тогда![]() 2. Поле двух параллельных намагниченных стержней (см. фиг.3). Рассмотрим теперь пару параллельных стержней, намагниченных вдоль оси ОХ и расположенных на расстоянии 2h друг от друга. Начало координат располагаем посередине между стержнями, тогда координаты стержней +h и -h. ![]() Ограничимся рассмотрением поля вблизи оси, т.е. ![]() ![]() ![]() ![]() ![]() ![]() ![]() Если теперь в это поле поместить маленький магнит с моментом то он приобретет потенциальную энергию![]() x. На графиках (см. фиг.4 и 5) изображены силы, действующие на магнитный диполь в поле двух стержней. Расстояния измерены в единицах h. График “Поперечная сила…” изображает зависимость Fy/y от х/h. Точка осевого вдоль оси ОХ равновесия находится на расстоянии от начала координат.
На оси OY посередине между магнитами также находится точка равновесия по отношению к оси OY.
На фиг.6 стрелками изображены направления сил, действующих на магнитный диполь в поле двух стержней.
Как следует из обоснования, точка Pw, удаленная от начала координат на расстояние соответствует состоянию устойчивого равновесия, учитывая гравитацию и ограничение перемещения по вертикали. При нахождении тела 3 по отношению к телу 2 на расстоянии, большем, чем эта величина, между телами 2 и 3 начинают преобладать силы притяжения и они сближаются. Если же расстояние между ними становиться меньше указанной величины, то начинают преобладать силы отталкивания и тела 2 и 3 удаляются друг от друга. Указанный способ автоматического следования тела 3 за телом 2 на одном и том же расстоянии при перемещении последнего имеет огромные игровые возможности. Осуществление способа выглядит как необыкновенный трюк. Условием успешного осуществления способа является плавное, медленное перемещение в одной плоскости одного из тел желательно по траектории, приближенной к прямой линии. При резком перемещении или перемещении под углом по отношению ко второму телу равновесное состояние может нарушиться и тела сомкнутся или расцепятся.
Формула изобретения 1. Способ создания упругой связи между двумя телами с игровыми элементами без непосредственного механического контакта между ними, по которому между телами создают магнитное поле за счет размещения на них постоянных магнитов, а перемещение игрового элемента осуществляют посредством механического перемещения магнитов, отличающийся тем, что не связанные механически между собой тела размещают на гладкой поверхности, при этом магнитное поле создают с одной стороны двумя протяженными, одинаково ориентированными, параллельными между собой и основанием магнитами, неподвижно связанными с первым телом, а с другой стороны противоположно ориентированным магнитом, неподвижно закрепленным на втором теле, при этом тела постепенно сближаются друг с другом до момента уравновешивания сил притяжения и отталкивания магнитов первого тела и второго тела и попадания в магнитную потенциальную яму, а затем перемещают одно из тел при синхронном автоматическом перемещении второго тела на постоянном расстоянии от первого. 2. Способ по п.1, отличающийся тем, что при расположении магнитов первого тела на расстоянии 2h по высоте друг от друга возникновение магнитной потенциальной ямы происходит при расстоянии между телами ![]() 3. Магнитная игрушка, содержащая два немагнитных тела, на первом из которых на некотором расстоянии друг от друга размещено два постоянных магнита, а между этими магнитами на втором теле размещен с возможностью перемещения третий постоянный магнит, отличающаяся тем, что игрушка дополнительно содержит гладкое основание, тела установлены на поверхности основания с возможностью скольжения или качения по нему, при этом на первом теле магниты выполнены плоскими протяженными с полюсами вдоль длинных сторон и установлены параллельно основанию друг над другом, их оси намагничивания одинаково ориентированы, параллельны между собой и основанием, на втором теле на высоте, равной половине расстояния между магнитами первого тела, параллельно основанию неподвижно закреплен, по крайней мере, один магнит с противоположной ориентацией полюсов. РИСУНКИ
MM4A – Досрочное прекращение действия патента СССР или патента Российской Федерации на изобретение из-за неуплаты в установленный срок пошлины за поддержание патента в силе
Дата прекращения действия патента: 20.04.2008
Извещение опубликовано: 20.06.2010 БИ: 17/2010
|
||||||||||||||||||||||||||

(x, y, z) удовлетворяет уравнению Лапласа

В создании устойчивого равновесия на поверхности помимо магнитных сил участвуют силы гравитации и ограничение вертикального перемещения (наличие опорной поверхности). В точках равновесия магнитные силы уравновешены, таким образом на определенном расстоянии между двумя телами возникает магнитная потенциальная “яма”, или, говоря другими словами, появляется зона “магнитной ямы”.
Устройство по предлагаемому способу работает как пружина: при увеличении расстояния между телами возникает сила притяжения, а при уменьшении расстояния возникает сила отталкивания.
Патентные исследования не выявили способа и устройства, характеризующихся заявленной совокупностью признаков, следовательно, можно предположить, что они соответствуют критерию “новизна”.
Заявляемые способ и устройство не следуют явным образом из изученного уровня техники, что говорит о соответствии критерию “изобретательский уровень”.
Заявляемый способ может быть осуществлен с помощью устройства, изготовленного с использованием стандартного оборудования, следовательно, он соответствует критерию “промышленная применимость”.
Сущность комплексного изобретения поясняется графическими материалами, где на фиг. 1 представлена схема устройства для осуществления заявляемого способа; на фиг. 2 – схематичное изображение поля стержня, намагниченного вдоль короткой стороны; на фиг.3 – схематичное изображение поля пары параллельных стержней; на фиг. 4 – график поперечной силы, действующей на магнитный диполь в поле двух стержней; на фиг.5 – график продольной силы, действующей на магнитный диполь в поле двух стержней; на фиг.6 – схематично изображены направления сил, действующих на магнитный диполь в поле двух стержней.
Заявляемый способ заключается в следующем:

магнитный момент диполя,
– радиус-вектор точки, в которой ищется поле;
находящийся в магнитном поле
обладает потенциальной энергией

– намагниченность на единицу длины стержня,
длина стержня,

), тогда








то он приобретет потенциальную энергию
от начала координат.
На оси OY посередине между магнитами также находится точка равновесия по отношению к оси OY.
На фиг.6 стрелками изображены направления сил, действующих на магнитный диполь в поле двух стержней.
Как следует из обоснования, точка Pw, удаленная от начала координат на расстояние
соответствует состоянию устойчивого равновесия, учитывая гравитацию и ограничение перемещения по вертикали. При нахождении тела 3 по отношению к телу 2 на расстоянии, большем, чем эта величина, между телами 2 и 3 начинают преобладать силы притяжения и они сближаются. Если же расстояние между ними становиться меньше указанной величины, то начинают преобладать силы отталкивания и тела 2 и 3 удаляются друг от друга. Указанный способ автоматического следования тела 3 за телом 2 на одном и том же расстоянии при перемещении последнего имеет огромные игровые возможности. Осуществление способа выглядит как необыкновенный трюк. Условием успешного осуществления способа является плавное, медленное перемещение в одной плоскости одного из тел желательно по траектории, приближенной к прямой линии. При резком перемещении или перемещении под углом по отношению ко второму телу равновесное состояние может нарушиться и тела сомкнутся или расцепятся.
