Патент на изобретение №2206710
|
||||||||||||||||||||||||||
(54) ПАКЕР-ДОМКРАТ
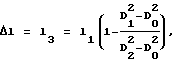
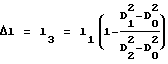
(57) Реферат: Изобретение относится к отрасли горной промышленности и предназначено для изоляции проявления пластовых флюидов при строительстве скважин. Технический результат – создание условий проведения технологического процесса по изоляции проявления пластового флюида независимо от веса бурильного инструмента. Пакер-домкрат состоит из корпуса, резинового элемента, помещенного на корпусе. Снабжен поршень-толкателем с плашками, входящими в пазы патрубка, установленного в колонне обсадных труб. Конструктивные размеры пакер-домкрата определяются формулами исходя из технологических факторов и конструкции скважины. 1 з.п. ф-лы, 1 ил. Изобретение относится к отрасли горной промышленности и предназначено для изоляции проявления пластовых флюидов при строительстве скважин. Известны пакеры с упором о стенки скважины [1, 2, 3], резиновый элемент которых деформируется от воздействия на него веса колонны бурильных труб, а выведение якорного устройства в рабочее положение производится при помощи груза, вращением инструмента или перепада давления, создаваемого в бурильных трубах нагнетанием бурового раствора. При продавливании тампонирующей смеси в проявляющие пласты создается давление от 100 до 200 кгс/см2. В зависимости от внутреннего диаметра обсадной колонны и применяемых бурильных труб усилие, выталкивающее бурильный инструмент из скважины (снизу вверх), достигает от 25 до 115 т. При этих значениях усилий, когда глубина скважины небольшая и вес бурильного инструмента составляет менее 25 т, производить технологические операции по изоляции проявления пластовых флюидов становится невозможным. Якорные устройства скользят по внутренней поверхности обсадных труб. Поэтому якорное устройство с упором на внутреннюю поверхность обсадных труб практически становится неработоспособным. Пакер-превентор [3] и устройства для регулирования забойного давления в процессе бурения [4] не могут быть использованы для создания условий проведения технологического процесса по изоляции проявляющих пластов, когда усилие, направленное снизу вверх, больше усилия веса бурильного инструмента, направленного сверху вниз. Целью изобретения является создание условий проведения технологического процесса по изоляции проявления пластового флюида независимо от веса бурильного инструмента. Пакер-домкрат, характеризующийся тем, что он содержит корпус, резиновый элемент, помещенный на корпусе, и поршень-толкатель с плашками, входящими в пазы патрубка, установленного в колонне обсадных труб. Конструктивные размеры пакер-домкрата определяются исходя из следующих технологических факторов: а) общая площадь среза плашек ,где S – общая площадь среза плашек; P – избыточное давление, создаваемое внутри колонны бурильных труб в процессе изоляции проявления пластового флюида;К – запас прочности; cp – допускаемое напряжение на срез;D2 – внутренний диаметр обсадных труб; D0 – наружный диаметр бурильных труб, б) уменьшение длины резинового элемента после деформации внутри обсадных труб ,где l – уменьшение длины резинового элемента после деформации;l1 – начальная длина резинового элемента; D1 – наружный диаметр резинового элемента до деформации; l3 – расстояние от верхнего паза патрубка, установленного в колонне обсадных труб, до верхней плашки до деформации резинового элемента, в) расстояние между пазами на патрубке, установленном в колонне обсадных труб L=l0+l4, где L – расстояние между пазами на патрубке, установленном в колонне обсадных труб; l0 – расстояние от нижнего паза патрубка, установленного в колонне обсадных труб, до нижнего конца резинового элемента с металлическими упорами; l4 – начальная длина резинового элемента с металлическими упорами. Сравнения заявляемого технического решения с существующими аналогами позволило установить его соответствие критерию “новизна”. В предлагаемом техническом решении после предварительной герметизации затрубного пространства между обсадной колонной и бурильными трубами, резиновым элементом, весом бурильной колонны трубпроисходит фиксирование бурильной колонны труб на обсадную колонну. Повышение давления в бурильной колонне увеличивает усилие, направленное снизу вверх, т.е. усилие, выталкивающее бурильный инструмент из скважины. Это усилие через плашки, находящиеся между полумуфтами и в пазах патрубка, установленного в колонне обсадных труб, будет передаваться на обсадную колонну. Объем резинового элемента до и после деформации остается постоянным, т. е. V1=V2, тогда ,откуда ,где l2 – длина резинового элемента после деформации; l1 – длина резинового элемента до деформации; D1 – наружный диаметр резинового элемента до деформации; D2 – внутренний диаметр обсадных труб; D0 – наружный диаметр бурильных труб. Например: наружный диаметр бурильных труб: Dо = 127 мм, D1=210 мм, D2= 230 мм, l1=280 мм. Уменьшение длины резинового элемента после деформации внутри обсадных труб под нагрузкой колонны бурильных труб ![]() Следовательно, герметизация затрубного пространства между обсадной и бурильной трубами происходит, когда резиновый элемент под действием веса бурильных труб деформируется на длину l, т.е. в данном случае на 6,7 см.
Площадь среза плашек определяется по формуле![]() где S – общая площадь среза плашек от усилия, направленного снизу вверх; P – избыточное давление, создаваемое внутри колонны бурильных труб в процессе изоляции проявления пластового флюида;K – запас прочности плашек; cp – допускаемое напряжение на срез.
Например: D0 = 127 мм, D2 = 230 мм, К=4, cp = 3800 кг/cм2![]() При P = 100 кг/см2 S = 30,38 cм P = 200 кг/см2 S = 60,76 cм P = 250 кг/см2 S = 75,95 смТолщина плашки определяется по формуле ![]() где – толщина плашки;а – зазор между плашками; n – количество плашек (верхний). При P = 100 кг/см2![]() При P = 200 кг/см2![]() При P = 250 кг/см2![]() Расстояние L между пазами на патрубке, установленном в колонне обсадных труб L=l0+l4, где l0 – расстояние от нижнего паза патрубка, установленного в колонне обсадных труб, до нижнего конца резинового элемента с металлическими упорами; l4 – начальная длина резинового элемента с металлическими упорами. Все вышесказанное позволяет сделать вывод о соответствии заявляемого технического решения критерию изобретения “изобретательский уровень”. На чертеже показана конструкция пакера-домкрата для изоляции проявления пластовых флюидов. Пакер-домкрат содержит корпус 1, для соединения с бурильной трубой имеется муфта с замковой резьбой 2, в нижней части корпуса навернута упорная втулка 3, поршень-толкатель с плашками (верхней 4 и нижней 5), резиновый элемент 6, направляющие полумуфты 7 и 8, патрубок 9 со специальными муфтами 10 и 11 с пазами и резьбой для соединения с обсадными трубами. Диафрагмы 12 предназначены для создания определенного давления внутри бурильных труб, пружины 13 и 14 – для возврата плашек в транспортное положение после окончания работ технологического процесса по изоляции проявления пластового флюида. В процессе спуска обсадной колонны в скважину на расчетной глубине устанавливается патрубок 9 со специальными муфтами, имеющими пазы. После вскрытия проявляющего пласта пакер-домкрат присоединяют к бурильным трубам и спускают в скважину. Герметизация затрубного пространства между обсадной и бурильной трубами и фиксирование момента передачи усилия веса бурильной колонны труб на обсадную колонну осуществляются следующим образом. Когда глубина спуска пакера-домкрата достигает нижнего паза патрубка со специальной муфтой, спуск бурильной колонны останавливается. Восстанавливается циркуляция бурового раствора, за счет повышения давления внутри колонны бурильных труб поршень-толкатель с плашками упирается от стенки обсадных труб. Производится замедленный спуск бурильной колонны, и нижние плашки заходят в паз на нижней специальной муфте 10, что фиксируется уменьшением веса бурильного инструмента по индикатору веса. Далее бурильный инструмент разгружается, резиновый элемент деформируется от воздействия на него веса бурильного инструмента. Поршень-толкатель с плашками спускается до глубины паза верхней специальной муфты 11, плашки 4 входят в паз и фиксируются на этой глубине. С повышением давления в бурильной колонне труб усилие, направленное снизу вверх, увеличивается, увеличивается также усилие прижатия плашек и передачи этого усилия на колонну обсадных труб. Усилие, направленное снизу вверх и выталкивающее колонну бурильных труб из скважины, полностью передается на обсадную колонну, которая зацементирована. Предлагаемый пакер-домкрат для изоляции проявления пластового флюида и поглощения бурового раствора обеспечивает проведение технологического процесса, когда вес колонны бурильных труб меньше, чем усилие, направленное снизу вверх, создаваемое внутренним избыточным давлением в бурильной колонне на герметизированное затрубное пространство резиновым элементом. Источники информации 1. “Пакеры, применяемые при изоляции зон поглощения промывочной жидкости на месторождениях Татарии”, стр.8-18, ВНИИОЭНГ, М., 1965г. 2. Крылов В.И. “Изоляция поглощающих пластов в глубоких скважинах”, М., 1980г., стр.244-251. 3. Гайворонский А.А. и др. “Крепление скважин и разобщение пластов”. М., 1981г., стр.128-136. 4. Шахмаев З.М. и др. Патенты 2105126, 2106435. Формула изобретения
![]() где S – общая площадь среза плашек; P – избыточное давление, создаваемое внутри колонны бурильных труб в процессе изоляции проявления пластового флюида;k – запас прочности; cp – допускаемое напряжение на срез;D2 – внутренний диаметр обсадных труб; D0 – наружный диаметр бурильных труб; уменьшение длины резинового элемента после деформации внутри обсадных труб ![]() где l – уменьшение длины резинового элемента после деформации;l1 – начальная длина резинового элемента; D1 – наружный диаметр резинового элемента до деформации; l3 – расстояние от верхнего паза патрубка, установленного в колонне обсадных труб, до верхней плашки до деформации резинового элемента; расстояние между пазами на патрубке, установленном в колонне обсадных труб: L = l0 + l4, где L – расстояние между пазами на патрубке, установленном в колонне обсадных труб; l0 – расстояние от нижнего паза патрубка, установленного в колонне обсадных труб, до нижнего конца резинового элемента с металлическими упорами; l4 – начальная длина резинового элемента с металлическими упорами. РИСУНКИ
MM4A Досрочное прекращение действия патента Российской Федерации на изобретение из-за неуплаты в установленный срок пошлины за поддержание патента в силе
Дата прекращения действия патента: 13.04.2004
Извещение опубликовано: 10.03.2006 БИ: 07/2006
|
||||||||||||||||||||||||||

,
P – избыточное давление, создаваемое внутри колонны бурильных труб в процессе изоляции проявления пластового флюида;
cp – допускаемое напряжение на срез;
,
,
,



– толщина плашки;



