Патент на изобретение №2206588
|
||||||||||||||||||||||||||
(54) КОМПОЗИЦИЯ ДЛЯ ПОКРЫТИЙ
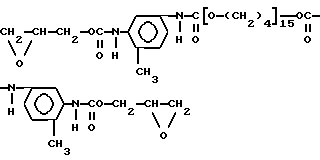
(57) Реферат: Изобретение относится к лакокрасочной промышленности и предназначено для защиты бетонных, металлических и асфальтоцементных поверхностей от химического и атмосферного воздействия и разрушения. Композиция включает эпоксидиановую смолу, уретановый модификатор, растворитель, полиэтилсилоксановую жидкость и аминный отвердитель, в качестве уретанового модификатора содержит олигомер формулы ![]() средней молекулярной массы 1900, содержащий 6-7% активных эпоксидных групп. Определенное соотношение компонентов позволяет увеличить водостойкость покрытия в 1,5 раза и снизить в 1,5 раза содержание остатка в композиции. 2 табл. Изобретение относится к лакокрасочной промышленности и предназначено для защиты бетонных, металлических и асфальтоцементных поверхностей от химического и атмосферного воздействия и разрушения. Известна полимерная композиция для покрытий, включающая полипропиленгликольдиуретандиэпоксид, эпоксидиановую смолу и смесь метафенилдиамина и анилина, в качестве отвердителя, взятых в весовом соотношении 0,9:1,0-1:1, при следующем соотношении компонентов, вес.ч.: Полипропиленгликольдиуретандиэпоксид – 100 Эпоксидиановая смола – 10-50 Смесь метафенилдиамина и анилина – 13,0-21,0 [патент SU 899599, МПК C 08 L 63/00, C 08 D 3/58, 1982]. Однако покрытие на основе этой композиции обладает недостаточной химической стойкостью. Наиболее близким к изобретению по технической сущности является композиция для покрытий, содержащая эпоксидиановую смолу, уретановый модификатор, растворитель, полиэтилсилоксановую жидкость ПЭС-5 и аминный отвердитель при следующем соотношении компонентов, мас.%: Эпоксидиановая смола – 18-25 Уретановый модификатор – 8-15 Растворитель – 63,9-65,4 Полиэтилсилоксановая жидкость – 0,05-0,10 Аминный отвердитель – 2-3 Недостатком покрытия, получаемого на основе такой композиции, является его невысокая водостойкость. Технической задачей изобретения является повышение водостойкости покрытия и содержания сухого остатка в композиции. Техническая задача решается тем, что композиция, включающая эпоксидиановую смолу, уретановый модификатор, растворитель, полиметилсилоксановую жидкость и аминный отвердитель, в качестве уретанового модификатора содержит олигомер формулы ![]() средней молекулярной массы 1900, содержащий 6-7% активных эпоксидных групп, при следующем соотношении компонентов, мас.ч.: Эпоксидиановая смола – 100 Олигомер указанной формулы – 5,3-100 Растворитель – 70,2-133,3 Полиэтилсилоксановая жидкость – 1,75-3,33 Аминный отвердитель – 10,2-12,7 Решение технической задачи позволяет увеличить водостойкость покрытия в 1,5 раза и снизить в 1,5 раза содержание сухого остатка в композиции. В качестве эпоксидной диановой смолы используют олигомеры ЭД-20, ЭД-16, ЭД-22 (ГОСТ 10587-84). В качестве уретанового модификатора используют олигомер, полученный на основе простого полиэфира полифурита, 2,4-толуилендиизоцианата и глицидола [Синтез и некоторые свойства эпоксиуретановых смол./ С.М.Дивгун, Г.Т.Боронина, В. Н.Убойцева и др. – в кн.: Химическая технология, свойства и применение пластмасс. – Л.: Ленингр. технол. ин-т, 1977, с. 96-100]. В качестве растворителя используют смесь толуола, этилцеллозольва и бутилцеллозольва при соотношении 2:1:1 – 1:2:2 соответственно, но также возможно использование 1,3-диоксалана и других растворителей, используемых в эпоксидных композициях, на основе олигомеров ЭД-20, ЭД-16, ЭД-22. В качестве кремнийорганической жидкости используют ПЭС-5, которая является агентом против вспенивания композиции в процессе ее нанесения на рабочую поверхность. В качестве аминного отвердителя используют полиэтиленполиамин или диэтилентриамин. Технологический процесс приготовления композиции состоит из следующих стадий: 1. Приготовление раствора уретанового олигомера. 2. Смешение полученного раствора с эпоксидной смолой и кремнийорганической жидкостью. 3. Введение отвердителя. Композицию получают в реакторе, снабженном мешалкой. В реактор загружают растворитель и при постоянном перемешивании добавляют предварительно прогретый уретановый модификатор, затем в полученный раствор добавляют эпоксидную смолу и кремнийорганическую жидкость. После выгрузки смеси из реактора в нее добавляют аминный отвердитель. Изобретение иллюстрируется следующими примерами конкретного исполнения. Пример 1. 5,3 мас.ч. уретанового модификатора растворяют в 70,2 мас.ч. растворителя. Затем в полученный раствор добавляют 100 мас.ч. эпоксидиановой смолы, 1,75 мас.ч. полиэтилсилоксановой жидкости и тщательно перемешивают, после чего вводят 10,2 мас.ч. аминного отвердителя. Полученную композицию наносят на рабочую поверхность. Примеры 2-10 аналогичны примеру 1, компоненты и их количество указаны в таблице 1. Для проведения испытаний покрытий композицию с вязкостью 18-34 с по ВЗ-4 при (20 0,5)oС можно наносить на образцы кистью, распылителем или наливом. Физико-механические показатели определяют через 168 ч формирования покрытия.
В таблице 2 представлены физико-механические показатели покрытий по прототипу и заявляемому объекту.
Как видно из примеров конкретного выполнения, заявляемая композиция обладает большей водостойкостью по сравнению с прототипом. Высокое содержание в композиции сухого остатка позволяет формировать из нее защитные покрытия необходимой толщины при минимальном количестве наносимых слоев, а также способствует уменьшению загрязнения окружающей среды органическими растворителями.
Формула изобретения
![]() средней молекулярной массы 1900, содержащий 6-7% активных эпоксидных групп, при следующем соотношении компонентов, мас.ч.: Эпоксидиановая смола – 100 Олигомер указанной формулы – 5,3-100 Растворитель – 70,2-133,3 Полиэтилсилоксановая жидкость – 1,75-3,33 Аминный отвердитель – 10,2-12,7 РИСУНКИ
MM4A Досрочное прекращение действия патента Российской Федерации на изобретение из-за неуплаты в установленный срок пошлины за поддержание патента в силе
Дата прекращения действия патента: 29.11.2005
Извещение опубликовано: 20.11.2006 БИ: 32/2006
|
||||||||||||||||||||||||||



0,5)oС можно наносить на образцы кистью, распылителем или наливом. Физико-механические показатели определяют через 168 ч формирования покрытия.
В таблице 2 представлены физико-механические показатели покрытий по прототипу и заявляемому объекту.
Как видно из примеров конкретного выполнения, заявляемая композиция обладает большей водостойкостью по сравнению с прототипом. Высокое содержание в композиции сухого остатка позволяет формировать из нее защитные покрытия необходимой толщины при минимальном количестве наносимых слоев, а также способствует уменьшению загрязнения окружающей среды органическими растворителями.
