Патент на изобретение №2206575
|
||||||||||||||||||||||||||
(54) КОМПОЗИЦИЯ ДЛЯ ИММОБИЛИЗАЦИИ БИОЛОГИЧЕСКИХ МАКРОМОЛЕКУЛ В ГИДРОГЕЛЯХ, СПОСОБ ПРИГОТОВЛЕНИЯ КОМПОЗИЦИИ, БИОЧИП, СПОСОБ ПРОВЕДЕНИЯ ПЦР НА БИОЧИПЕ
(57) Реферат: Изобретение относится к композициям (К) для полимеризационной иммобилизации биологических макромолекул в гидрогелях при формировании биочипов К= аА+bВ+сС+dD+еE, включающим А – мономер на основе производных акриловой и метакриловой кислот; В – водорастворимый сшивающий агент; С – модифицированную биологическую макромолекулу, содержащую ненасыщенную группу, D – водорастворимое соединение как компонент среды проведения сополимеризации; Е – воду, где а, b, с, d, е – процентное содержание (Х) каждого компонента в композиции (Х= m/v 100% для твердых веществ и Х=v/v 100% для жидких веществ), в которой общее содержание мономера и сшивающего агента лежит в интервале 3-40% (3 (а+b) (40), соотношение мономера и сшивающего агента находится в пределах 97: 3-60:40, а процентное содержание компонентов С, D и Е находится в пределах 0,0001% с 10%; 0% d 90%; 5% е 95%, способу их приготовления, к модифицированным биологически значимым соединениям ДНК и белкам, биочипу, в котором сформированный на подложке слой ила разделен пустыми промежутками на несколько ячеек, причем каждая из ячеек может содержать либо не содержать иммобилизованные макромолекулы, а макромолекулы, иммобилизованные в разных ячейках, могут различаться по своей природе и свойствам, и двум способам проведения полимеризационно-цепной реакции на биочипе. 11 с. и 23 з.п.ф-лы, 8 ил., 2 табл.
Изобретение относится к области молекулярной биологии и биоорганической химии и касается композиций для иммобилизации олигонуклеотидов, белков, нуклеиновых кислот или любых других биологически значимых молекул в гидрогеле при изготовлении биочипов методом фотоиндуцируемой сополимеризации. Изобретение также относится к технологии изготовления биочипов, находящих применение в молекулярной биологии при секвенировании и картировании ДНК, детектировании мутаций и целого ряда медицинских приложений. Уровень техники Известны композиции для иммобилизации олигонуклеотидов и белков в полиакриламидном геле при изготовлении биочипов методом сополимеризации [1, 2]. [1] F.N. Rehman, M. Audeh, E.S. Abrams, P.W. Hammond, M. Kenney and Т.С. Boles, Nucleic Acids Research, 1999, v. 27, 15, p. 649-655. [2] А.V. Vasiliskov, E.N. Timofeev, S.A. Surzhikov, A.L. Drobyshev, V.V. Shick and A.D. Mirzabekov, BioTechniques, 1999, v. 27, p. 592-606. В состав композиций, используемых для изготовления указанных биочипов, входят следующие компоненты: – мономеры, составляющие основу формируемого геля; – модифицированные олигонуклеотиды и белки, несущие непредельные группы; – среда проведения фотоиндуцируемой полимеризации. Известно, что в качестве гелеобразующего компонента используют акриламид, а в качестве сшивающего агента – N,N’-метиленбисакриламид с общим содержанием 10% [1] и 5% [2] и соотношением акриламид: N,N’-метиленбисакриламид, равным 29:1 (С=3,3%) [1] и 19:1 (С=5%) [2]. Известно, что модифицированные олигонуклеотиды и белки несут метакриламидную [1], акриламидную [2] и аллильную [2] группы, обеспечивающие их способность сополимеризоваться с гелеобразующими мономерами. Известно, что для формирования гидрогеля используют водно-глицериновые растворы с соотношениями вода : глицерин, равными 25:75 [1] и 60:40 [2]. Известны биочипы, в которых макромолекулы, играющие роль молекулярных зондов, иммобилизованы в ячейках гидрогеля, закрепленных на общей подложке и образующих регулярную структуру (матрицу) [1-5]. [3] Khrapko et al., US Patent 5552270; [4] Ershov et al., US Patent 5770721; [5] Guschin et al. , Manual manufacturing of Oligonucleotide, DNA and Protein Microchips, Analytical Biochemistry, 1997, v. 250, No. 2, p. 203-211 Известны способы изготовления биочипов на основе гидрогелей, в которых технологический цикл состоит из этапов: (1) подготовки подложки, (2) формирования на ней матрицы ячеек геля, (3) нанесения на ячейки растворов биологических макромолекул в соответствии с заранее составленной схемой биочипа, (4) химической обработки ячеек с целью иммобилизации молекул-зондов, (5) отмывки и просушки полученных биочипов. Для формирования матрицы ячеек геля известен метод лазерной абляции расположенного под сплошным слоем геля специального светопоглощающего слоя с геометрией, дополнительной по отношению к заданной геометрии массива ячеек [4], а также метод фотополимеризации через маску [5]. Известны также способы приготовления биочипов на основе геля, в котором стадии формирования массива ячеек и иммобилизации молекул-зондов объединены в одну за счет использования техники фото- или химически индуцируемой сополимеризации [1, 2]. Суть их состоит в использовании композиций, в состав которых наряду с мономером и сшивающим агентом входят иммобилизуемые макромолекулы, снабженные непредельной группой, обеспечивающей встраивание этих молекул в полимерную сетку гидрогеля. Известен способ приготовления биочипов [1], согласно которому ячейки биочипа получают полимеризацией композиций в каплях, нанесенных на подложку с помощью микропипетки. Известен способ приготовления биочипа [2], согласно которому используют специальную тонкослойную ( 5 мкм) камеру с реакционным объемом, ограниченным с одной стороны подложкой будущего биочипа, а с другой – окном, прозрачным в УФ-области. Ячейки биочипа формируют одну за другой путем циклического выполнения следующих операций: (1) заполнения камеры композицией с соответствующим зондом, (2) полимеризации композиции в месте нахождения будущей ячейки под действием УФ-излучения, сфокусированным в квадратное пятно необходимого размера, (3) промывки камеры перед заполнением ее очередным раствором.
Однако известные композиции для иммобилизации биологических макромолекул в гидрогелях при формировании биочипов, биочипы и способы их изготовления имеют ряд недостатков.
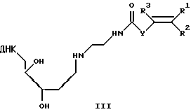
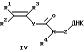
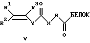
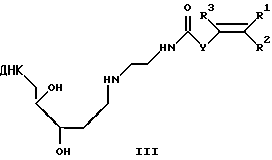
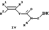
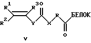
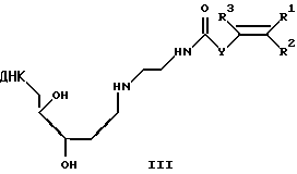
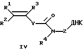
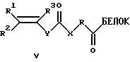
Недостатки1. Использование только акриламида как гелеобразующего компонента и N, N’-метиленбисакриламида как сшивающего агента при изготовлении гелей сильно ограничивает спектр получаемых гидрогелей по структуре и пористости. 2. Модифицированные олигонуклеотиды, используемые для изготовления биочипов, содержат только 5′-концевую метакриламидную группу, связанную с молекулой олигонуклеотида кислотолабильной фосфорамидной связью, или концевую аллильную группу, обладающую низким сродством к акриламиду и N,N’-метиленбисакриламиду в реакции сополимеризации. 3. Модификация белков для последующей иммобилизации осуществляется двустадийным методом, позволяющим вводить непредельную группу только по NH2-группам. 4. Известные биочипы отличаются низкой воспроизводимостью свойств гелевых ячеек и неоднородностью распределения в объеме ячейки иммобилизуемого соединения. 5. Известный способ проведения химической полимеризации компонентов композиции при изготовлении биочипа осуществляют в атмосфере влажного азота, что снижает эффективность полимеризации. 6. Известный способ фотоиндуцируемой полимеризации использует УФ-излучение с длиной волны 254 нм, что приводит к деструкции олигонуклеотидов. 7. Известные способы изготовления биочипов технически сложны и используют процедуры, не обеспечивающие необходимой однородности и воспроизводимости свойств гелевых ячеек и плохо поддающиеся автоматизации. В основу изобретения положена задача создания биочипа, обеспечивающего оптимальное функционирование иммобилизованных в нем биологически значимых макромолекул. Поставленная задача решается предлагаемым изобретением. Сущность изобретения Предлагается композиция (К) для полимеризационной иммобилизации биологически значимых соединений в гидрогелях при формировании биочипов, К=аА+bВ+сС+dD+еЕ, включающая А – мономер, составляющий основу формируемого геля, представляющий собой производное непредельной карбоновой кислоты; В – сшивающий агент, представляющий собой водорастворимое производное непредельной карбоновой кислоты; С – модифицированное биологически значимое соединение, содержащее непредельную группу акриламидного типа, обладающую высоким сродством к мономеру и сшивающему агенту, что позволяет проводить их эффективную сополимеризацию; D – компоненты среды проведения фотоиндуцируемой полимеризации; Е – воду, где a, b, c, d, e – процентное содержание (X) каждого компонента в композиции (X=m/v 100% для твердых веществ и X=v/v 100% для жидких веществ),включающая мономер (А), составляющий основу формируемого геля, представляющий собой производное непредельной карбоновой кислоты; сшивающий агент (В), представляющий собой водорастворимое производное непредельной карбоновой кислоты; модифицированное биологически значимое соединение (С), содержащее непредельную группу акриламидного типа, обладающую высоким сродством к мономеру и сшивающему агенту, что позволяет проводить их эффективную сополимеризацию; водную среду для проведения фотоиндуцируемой полимеризации (компоненты D и Е), причем в качестве мономеров (А) используют акриламид, метакриламид, N-[тpиc(гидpoкcимeтил)мeтил]aкpилaмид, 2-гидроксиэтилметакрилат по отдельности или в смеси; в качестве сшивающего агента (В) используют N,N’-метиленбисакриламид, N, N’-этиленбисметакриламид, N,N’-(1,2-дигидроксиэтилен)бисакриламид, полиэтиленгликольдиакрилат по отдельности или в смеси; общее содержание мономера и сшивающего агента в исходном составе композиции (а+b) лежит в интервале от 3 до 40%, а соотношение мономера и сшивающего агента (а/b) находится в пределах 97:3-60:40 (3<[b/(a+b)]<40%); использование вышеприведенных мономеров и сшивающих агентов в различных сочетаниях и указанных соотношениях позволяет получать гидрогели с величиной пор, оптимальной для функционирования иммобилизованных биологически значимых макромолекул; в качестве иммобилизуемого модифицированного биологически значимого соединения (С) с содержанием (с) от 0,0001 до 10% используют или производные олигонуклеотидов общей формулы I ![]() где ОЛИГО – олигонуклеотид; R1, R2, R3 – Н, алкил C1-C6, Ph, РhСН2-; Z – (СН2)nСН(СН2OН)СН2OХ, где n=1-6; или (СН2)п-ОХ, где n=2-6; Х – фосфодиэфирная группа, связывающая непредельный фрагмент с 5′- и/или 3′-концом олигонуклеотида; R4 – Н, (СН2)nОН, где n=2-6; Y – (p-С6Н4)n, где n=0-2; или новые производные ДНК общей формулы II 5′-X-O-ДНК-3′-O-Z (II), где ДНК – фрагмент ДНК, Х – Н или Н2РО3, Z – -CO-Y-CR1=CR2R3 или Х – -CO-Y-CR1=CR2R3, Z – Н или Н2РО3, R1, R2, R3 – Н, алкил C1-С6, Ph, PhCH2-; Y – (р-С6H4)п, где n=0-2, или общей формулы III ![]() где ДНК – фрагмент ДНК; R1, R2, R3 – Н, алкил C1-С6, Ph, PhCH2-; Y – (р-С6Н4)n, где n=0-2, или общей формулы IV ![]() где ДНК – фрагмент ДНК; R1, R2, R3 – Н, алкил C1-С6, Ph, РhСН2-; Y – (р-С6Н4)n, где n=0-2; R4 – Н, (СН2)nОН, где n=2-6; Z – -(СН2)nСН(СН2OН)СН2OХ, где n=1-6, или -(СH2)nОХ, где n=2-6; Х – фосфодиэфирная группа, связывающая непредельный фрагмент с 5′- и/или 3′-концом фрагмента ДНК, или новые производные белка общей формулы V ![]() где R1, R2, R3 – Н, алкил C1-С6, Ph, PhCH2-; X – NH, О, CH2, S; Y – (р-С6Н4)n, где n=0-2; R – (CH2)n, (СН2СН2O)n, n=1-20, или общей формулы VI ![]() где R1, R2, R3 – Н, алкил C1-С6, Ph, РhСН2-; Y – (р-С6Н4)n, где n=0-2; X – NH, O, S, CH2; R – (CH2)n, (CH2CH2O)n, n=1-20; W – NH, O, CH2; F – (CH2)n, n=1, 2; Z – NH, S, или общей формулы VII ![]() где R – (CH2)n, (CH2CH2O)n, n=1-20, в качестве компонентов (D) водной среды проведения фотоиндуиируемой полимеризации используют N,N-диметилформамид и диметилсульфоксид как водорастворимые высококипящие органические соединения или глицерин, сахарозу и поливиниловый спирт как водорастворимые полигидроксильные соединения с содержанием вышеуказанных компонентов от 0 до 90%. Изобретением предлагается носитель на основе пористого стекла (CPG) следующего строения: ![]() где R1, R2 – Н, алкил C1-С6, Ph, РhСН2-; R3 – алкил C1-С6; Y – (p-С6Н4)n, где n=0-2, способ получения указанного носителя путем ацилирования аминированного пористого стекла и способ получения модифицированных синтетических олигонуклеотидов формулы I путем введения остатка непредельной кислоты по 3′-концу олигонуклеотида в условиях автоматического твердофазного синтеза с использованием предлагаемого данным изобретением носителя. Изобретением предлагаются способы получения модифицированных фрагментов ДНК общей формулы II путем ацилирования фрагментов ДНК ангидридами непредельных кислот; общей формулы III путем восстановительного аминирования апуринизованной ДНК с последующим ацилированием аминопроизводного активированными эфирами непредельных кислот; общей формулы IV путем использования в ПЦР-амплификации синтетического праймера, несущего на 5′- или 3′-конце непредельную группу. Изобретением предлагаются способы получения модифицированных белков общей формулы V путем ацилирования свободных аминогрупп белка активированными эфирами непредельных кислот следующего строения: ![]() где R1, R2, R3 – Н, алкил C1-С6, Ph, PhCH2-; Y – (p-С6Н4)n, где n=0-2; Z – NH, O, CH2, S; R – (CH2)n, (CH2CH2O)n, где n=1-20; Х – сукцинимидоокси-, n-нитрофенокси-, пентафторфенокси- или любая другая акцепторная хорошая уходящая группа; общей формулы VI путем алкилирования сульфгидрильной или аминогруппы белка производными , -непредельных и -галогенкарбонильных соединений следующего строения:![]() где R1, R2, R3 – Н, алкил C1-С6, Ph, PhCH2-; Y – (p-С6Н4)n, где n=0-2; Z – NH, O, S, CH2; R – (CH2)n, (CH2CH2O)n, где n=1-20; W – NH, O, CH2; Z – галогенометил, винил или любой другой фрагмент, содержащий активную кратную связь, общей формулы VII путем обработки рекомбинантного белка, содержащего концевой His-6 участок, метакриламидными производными нитрилотриуксусной кислоты общей формулы CH2=C(Me)-CO-NH-R-CH(COOH)- N(CH2COOH)2, где R – (CH2)n, (CH2CH2O)n, n=1-20, в присутствии солей Ni(II). Изобретение предлагает биочип, включающий подложку, предварительно обработанную кремнийорганическим соединением для ковалентного связывания элементов биочипа с поверхностью, и дискретные гелевые элементы, образующиеся в результате фотоиндуцируемой сополимеризации компонентов композиции, предложенной данным изобретением, причем в качестве кремнийорганического соединения используют 3-триметоксисилилпропилметакрилат, N-(3-триметоксисилилпропил)метакриламид, N-(3-тpимeтoкcиcилилпpoпил)aкpилaмид, 3-глицидилoкcипpoпилтpимeтoкcиcилaн. Изобретение также предлагает способ изготовления биочипа, заключающийся в том, что предлагаемую данным изобретением композицию наносят в виде микрокапель на подложку, обработанную вышеуказанным кремнийорганическим соединением, выдерживают и полимеризуют в бескислородной инертной атмосфере под действием УФ-излучения ( ![]() 312 нм), полученный биочип отмывают от компонентов, не принявших участия в полимеризации.
Нанесение композиции на подложку осуществляется при помощи автоматического устройства (робота), снабженного одним или несколькими микродиспенсерами, образующими регулярную структуру.
Одну или несколько подложек с нанесенными на них каплями композиции перед полимеризацией и в процессе полимеризации размещают в герметичном контейнере в атмосфере одного из газов (N2, Аr или СО2) с контролируемой влажностью.
Изобретением также предлагается биочип для проведения полимеразной цепной реакции (ПЦР), в котором в качестве иммобилизованных биологически значимых макромолекул используют синтетические олигонуклеотиды (праймеры).
Изобретение предлагает способ проведения ПЦР на биочипе путем– инкубации биочипа при постоянной температуре с гибридизационным раствором, содержащим исследуемые образцы нуклеиновых кислот, для их гибридизации с иммобилизованными праймерами, – инкубации биочипа, содержащего гибридизованные с иммобилизованными праймерами нуклеиновые кислоты, с амплификационным раствором, содержащим прямой (F) и обратный (R) праймеры, при постоянной температуре, – замены амплификационного раствора вне гелевых элементов биочипа гидрофобной жидкостью (минеральным маслом), которая полностью изолирует ячейки чипа друг от друга, и – инкубации биочипа в условиях циклических изменений температуры, обеспечивающих осуществление ПЦР-амплификации. Раскрытие сущности изобретения Изготовление биочипов с использованием метода фотоиндуцируемой полимеризации на основе предлагаемых композиций включает следующие этапы: – подготовку композиций и подложек для изготовления микрочипа; – нанесение микрокапель композиций на подложку; – выдерживание нанесенных на подложку микрокапель композиции в атмосфере инертного газа; – полимеризацию в атмосфере инертного газа под действием УФ-излучения; – отмывку полученного биочипа. При подготовке композиций для изготовления биочипа все компоненты тщательно смешивают до образования гомогенного раствора, переносят в микротитровальные планшеты для использования далее в качестве источника растворов при нанесении на подложку (подложки) с помощью автоматического устройства (робота), снабженного одним или несколькими микродиспенсерами. В зависимости от содержания полигидроксильного (или высококипящего) водорастворимого компонента D получают композиции различной вязкости, позволяющие варьировать размер гелевых элементов биочипа при фиксированном диаметре пина робота. Кроме того, соотношение компонентов D композиции может оказывать влияние на сохранение активности иммобилизуемого биологически значимого соединения. Приготовленные композиции хранятся при -21oС не менее 1 года. В качестве подложек могут быть использованы стандартные препаратные стекла, а также подложки иных типов, например кварцевые, из оксидированного кремния и т.д. Подготовка стекла для нанесения композиции для полимеризации включает стадию очистки последовательной обработкой концентрированной щелочью, кислотой и стадию химической модификации с помощью растворов одного из нижеперечисленных кремнийорганических соединений (3-триметоксисилилпропилметакрилата, 3-триметоксисилилпропилметакриламида, 3-триметоксисилилпропилакриламида, 3-глицидилоксипропилтриметоксисилана) в органических растворителях. Модификация поверхности стекла кремнийорганическими соединениями позволяет получать биочипы, которые можно использовать в интервале рН от 2 до 12 и интервале температур от -10 до +100oС. Формирование структуры массива ячеек биочипа осуществляют путем нанесения на подготовленную подложку регулярного массива микрокапель полимеризационной композиции. При этом в общем случае каждая микрокапля содержит макромолекулы одного типа. В зависимости от вязкости и других свойств полимеризационных композиций, а также от желаемого размера ячеек биочипа для нанесения используют роботы с микродиспенсерами разных типов. В частности, в случае вязких растворов с содержанием глицерина свыше 40% для этих целей используют робот, снабженный микродиспенсерами стержневого (игольчатого) типа. В зависимости от диаметра стержня диспенсера получают капли (и, следовательно, гелевые ячейки) разного размера. Затем подложки с нанесенными микрокаллями композиций помещают в герметичный контейнер на срок не менее 2 ч, который затем насыщают осушенным инертным газом (азотом, аргоном, углекислым газом). Инициирование процесса полимеризации осуществляют УФ-облучением с ![]() 312 нм в атмосфере инертного газа. Использование указанной длины волны для проведения полимеризации устраняет деструкцию биологически значимых макромолекул.
Полученные биочипы отмывают сначала в буферных растворах, затем в дистиллированной воде и высушивают на воздухе при 25oС.
Различные сочетания компонентов композиций позволяют получать биочипы, пористость элементов которых может варьироваться в широких пределах и позволяет использовать их для многих приложений, в частности для проведения полимеразной цепной реакции (ПЦР), эффективность осуществления которой на биочипе определяется такими факторами, как пористость геля, обеспечивающая быстроту диффузии фрагментов ДНК и ферментов, стабильность гелевых ячеек в широком диапазоне быстро меняющихся температур, доступность и эффективность участия иммобилизованного олигонуклеотида в гибридизации и аллелеспецифичной полимеразной реакции его удлинения, а также для исследования взаимодействия в системах олигонуклеотид-олигонуклеотид, ДНК-олигонуклеотид, белок-белок, белок-ДНК и др.
Предлагаемый биочип для проведения полимеразной цепной реакции и способ ее реализации позволяют осуществлять ПЦР внутри дискретных гелевых элементов, разделенных гидрофобной жидкостью (минеральным маслом), так что каждый гелевый элемент выступает в роли микропробирки.
Предлагаемое изобретение иллюстрируется следующими примерами и чертежами.
Фиг.1 изображает процесс изготовления биочипа (пример 1).
Фиг. 2 представляет результаты гибридизации на биочипе олигонуклеотида, меченного флуоресцентным красителем Texas Red, с иммобилизованными олигонуклеотидами: полностью комплементарным и содержащим две замены, полученными твердофазным синтезом с использованием в качестве носителя модифицированного стекла, приготовленного по методике, приведенной в примере 2. Олигонуклеотиды А и В в составе композиций 1, 2 и 3 нанесены на стекло (по две ячейки каждая) и далее подвергнуты полимеризации. Флуоресценция (светлые пятна) после гибридизации наблюдается в тех ячейках биочипа, которые содержат иммобилизованный олигонуклеотид А, полностью комплементарный флуоресцентно меченному.
Фиг. 3 показывает результаты электрофоретического анализа ДНК (фрагмент гена ABL человека, 334 пары оснований) после ацилирования метакриловым ангидридом (пример 3) и сополимеризации с акриламидом и N,N’-метиленбисакриламидом (композиция 9) (1) и исходной ДНК (2).
Флуоресцентная картина электрофореза получена при облучении флуоресцирующей подложки с полиакриламидным гелем при 254 нм.
Фиг. 4 показывает результаты гибридизации на биочипе флуоресцентно меченного зонда с фрагментами ДНК, модифицированными по методикам, приведенным в примерах 3-5, и иммобилизованными в геле путем сополимеризации. Ряд 1 служит контролем, ячейки этого ряда не содержат иммобилизованной ДНК, т.к. в состав композиции входит немодифицированный фрагмент ДНК. Ячейки в рядах 2-4 (в каждом ряду по 6 одинаковых ячеек) получены нанесением композиций с модифицированными фрагментами ДНК.
Фиг. 5 иллюстрирует зависимость активности иммобилизованного на биочипе белка Barnase от степени его модификации (пример 6).
Фиг.6 иллюстрирует влияние соотношения компонентов композиции на сохранение ферментативной активности иммобилизуемого белка.
Фиг. 7 иллюстрирует использование ПЦР на биочипе, в котором амплификация происходит как над, так и внутри множества гелевых ячеек микрочипа (пример 10).
Фиг. 8 иллюстрирует использование ПЦР на биочипе, в котором амплификация происходит внутри множества окруженных гидрофобной жидкостью гелевых ячеек (пример 10).
Таблица 1 (а и б) содержит данные о различных по составу композициях.
Примеры1. Изготовление биочипов (пример 1). I. Приготовление композиции для гелевых биочипов. II. Нанесение композиции на подложку и полимеризация. 2. Синтез носителя метакриламидо-CPG (пример 2). 3. Получение ДНК общей формулы II- IV (примеры 3-5). 4. Получение белка общей формулы V-VII (примеры 6-9). 5. Проведение ПЦР на биочипе (пример 10). Пример 1. Изготовление биочипов. I. Приготовление композиции для гелевых биочипов. Для приготовления биочипов используют различные по составу композиции в зависимости от целей эксперимента (таблица 1). В качестве примера приведено приготовление одной из них. К раствору метакриламида (А) и N,N’-метиленбисакриламида (В) в 0,2 М фосфатном буфере, содержащем 0.15 М NaCl (PBS), рН 7,2 (1.25 мкл, содержание компонентов А и В (а+b)=40% (m/v), соотношение а:b=19:1), прибавляют раствор модифицированного олигонуклеотида или фрагмента ДНК (1-200 пмоль/мкл в PBS, рН 7.2) или модифицированного белка (0.1-10 мг/мл в PBS, рН 7.2) и глицерин (6.45 мкл). Смесь тщательно перемешивают и переносят в микротитровальные планшеты. II. Нанесение композиции на подложку и полимеризация. Предметные стекла (Corning 2947 Micro Slides, Corning Glass Works, Corning, NY), используемые для изготовления биочипов, обрабатывают последовательно раствором щелочи, водой, серной кислотой, водой, высушивают, обрабатывают 3-триметоксисилилпропилметакрилатом (Bind Silane), затем отмывают от избытка реагента этанолом, водой и высушивают на воздухе. Композицию наносят с помощью шприца или пина робота Affymetrix 417 Arrayer (Affymetrix, Santa Clara, CA) (фиг.1). Полученный массив капель полимеризуют под действием ультрафиолетового света ( =312 нм, 40 мин, Т=37oС) в герметичном контейнере в бескислородной, инертной атмосфере с контролируемой влажностью. Затем биочипы отмывают в фосфатном солевом буфере (0.01М, рН 7.0), содержащем 0.1% Tween 20, и в воде и используют для проведения различных типов анализа.
Пример 2. Синтез носителя метакриламидо-CPG.
К раствору N-(2-гидроксиэтил)-N-{2-[ди(4-метоксифенил)фенилметокси]этил} метакриламида (0.143 г, 0.3 ммоль) в сухом пиридине (3 мл) добавляют янтарный ангидрид (0.060 г, 0.3 ммоль) и 4-(N,N-диметиламино)пиридин (DMAP, 0.037 г, 0.3 ммоль). Смесь оставляют на 12 ч при комнатной температуре. К раствору добавляют насыщенный раствор NaHCO3 (2 мл). Растворитель упаривают в вакууме. Осадок растворяют в этилацетате (5 мл) и органический слой последовательно промывают насыщенным раствором NаНСО3, несколько раз водой, сушат безводным Na2SO4 и фильтруют. Растворитель упаривают и остаток (бесцветный сироп) растворяют в сухом пиридине (30 мл). К раствору добавляют 2,2′-дипиридилдисульфид (0.060 г, 0.3 ммоль), трифенилфосфин (0.079 г, 0.3 ммоль) и аминированное пористое стекло LCA CPG (1.00 г). Суспензию концентрируют в вакууме до объема 15 мл и выдерживают 24 ч при комнатной температуре с периодическим встряхиванием. Суспензию фильтруют через стеклянный фильтр и осадок последовательно промывают несколько раз сухим пиридином. К промытому осадку добавляют “кэпирующий” раствор (уксусный ангидрид/DМАР/2,6-лутидин/ацетонитрил) (10 мл) и оставляют на 5 мин. Осадок последовательно промывают несколько раз сухим пиридином, ацетоном и диэтиловым эфиром. Получают модифицированный носитель (метакриламидо-CPG) с концентрацией ненасыщенных групп 33.7 мкмоль/г (тест на тритильную группу).
На фиг. 2 представлены результаты гибридизация на биочипе олигонуклеотида, меченного флуоресцентным красителем Texas Red, с иммобилизованными олигонуклеотидами: полностью комплементарным и содержащим две замены, полученными твердофазным синтезом с использованием в качестве носителя модифицированного стекла, приготовленного по приведенной выше методике.
Пример 3. O-Ацилирование фрагментов ДНК ангидридами непредельных кислот.
Фрагмент ДНК (10 пмоль) растворяют в H2O (50 мкл), охлаждают до 5oС и приливают раствор ангидрида метакриловой кислоты (15 мкл) в N,N-диметилформамиде (DMF, 100 мкл), а затем небольшими порциями добавляют раствор гидроксида натрия, поддерживая рН 7. После 15 мин к реакционной смеси добавляют Н2О (500 мкл) и последовательным добавлением нескольких порций безводного бутанола объем реакционной среды доводят до 50 мкл. Модифицированный фрагмент ДНК высаживают раствором перхлората лития в ацетоне (2%, 1000 мкл) при -21oС, центрифугируют и отмывают ацетоном.
На фиг. 3 представлен результат проведенной сополимеризационной иммобилизации с последующим электрофорезом фрагмента ДНК, полученного по приведенной выше методике. В качестве контроля использован аналогичный неацилированный фрагмент ДНК.
Фрагменты ДНК были иммобилизованы методом сополимеризации в акриламидном геле (композиция 9, таблица 1) в виде прямоугольных блоков. Далее гель с образцами подвергали электрофорезу для удаления неиммобилизованных олигонуклеотидов из гелевых блоков. Из флуоресцентной картины, полученной после проведения электрофореза, видно, что содержащий непредельную группу фрагмент ДНК (1) полностью подвергается сополимеризации, в то время как фрагмент (2) в ней не участвует.
Пример 4. Восстановительное аминирование апуринизованной ДНК с последующим ацилированием активированным эфиром непредельной кислоты.
К раствору олигонуклеотида или фрагмента ДНК (39.3 нмоль) в Н2О (15 мкл) прибавляют муравьиную кислоту (80%, 20 мкл) и выдерживают при комнатной температуре 1 ч. Затем олигонуклеотидный материал высаживают раствором перхлората лития в ацетоне (2%, 1000 мкл), отмывают ацетоном и высушивают. К апуринизованной ДНК приливают раствор 0.5 М гидрохлорида этилендиамина (50 мкл, рН 7.4) и выдерживают 3 ч при 37oС. Затем добавляют свежеприготовленный раствор борогидрида натрия в воде (15 мкл, 0.1 М) и через 30 мин – раствор 20% гидрохлорида этилендиамина (14.75 мкл). Олигонуклеотидный материал высаживают раствором перхлората лития в ацетоне (2%, 1000 мкл), отмывают ацетоном и высушивают. Осадок растворяют в боратном буфере (50 мкл, рН 9.3) и приливают раствор n-нитрофенилового эфира метакриловой кислоты (0.001 г) в DMF (100 мкл). Раствор выдерживают 12 ч при 35oС. Модифицированный фрагмент ДНК очищают гель-фильтрацией.
Пример 5. Получение модифицированных фрагментов ДНК с использованием в ПЦР-амплификации синтетического праймера, несущего на 5′- или 3′-конце ненасыщенную группу.
Фрагмент ДНК (334 пары оснований), содержащий метакриламидную группу (МАА), получают при ПЦР-амплификации кДНК гена ABL человека, клонированного в вектор pGEM-T Easy Vector (Promega, Madison, WI). ПЦР реакцию проводят с использованием Taq ДНК-полимеразы и праймеров 5′-МАА-Аb15 (прямой, F) и А113 (обратный, R). Цикл ПЦР: денатурация (45 сек, 94oС), отжиг (60 сек, 57oС) и удлинение цепи (45 сек, 72oС). Через 35 ПЦР циклов продукты очищают электрофорезом в геле и растворяют в воде.
На фиг. 4 приведены результаты гибридизации на биочипе с иммобилизованными модифицированными фрагментами ДНК, полученными по методикам, приведенным в примерах 3-5. Модифицированные фрагменты ДНК в составе композиции 9 (таблица 1) используют для изготовления биочипа и проводят гибридизацию иммобилизованной ДНК с флуоресцентно меченным олигонуклеотидным зондом. Флуоресценция (светлые пятна) после гибридизации наблюдается в тех ячейках биочипа, которые содержат иммобилизованную ДНК (ряды 2, 3, 4). Ряд 1 содержит служащие контролем гелевые элементы, образовавшиеся в результате полимеризации композиции 9, содержащей тот же фрагмент ДНК, полученный при ПЦР-амплификации с использованием немодифицированных праймеров.
Пример 6. Ацилирование белков по аминогруппам.
В качестве примера приведена методика модификации белка Barnase.
К 100 мкл раствора Bamase (С=1 мг/мл) в 0.01 М боратном буфере (рН 8,3) добавляют 20 мкл раствора эфира 6-метакрилоиламиногексановой кислоты и N-гидроксисукцинимида (С=0,1 мг/мл) в DMF. Реакционную смесь перемешивают 30 мин при комнатной температуре. Затем проводят очистку полученного модифицированного белка от низкомолекулярных продуктов реакции и DMF на микроконцентраторах Nanosep 3K Omega, вымывая белок боратным буфером, рН 8,3. Конечная концентрация очищенного белка в 100 мкл буферного раствора, определенная спектрофотометрически, составляла 0,9 мг/мл. Полученный модифицированный белок по данным MALDI-MS содержал одну введенную 6-метакрилоиламиногексаноильную группу.
Изменение соотношения белок : модифицирующий агент позволяет получать белок различной степени модификации. Фиг.5 иллюстрирует зависимость активности иммобилизованной на биочипе Barnase от степени модификации белка.
Пример 7. Алкилирование белков по SH группам.
В качестве примера приведена методика алкилирования аспартатаминотрансферазы из цитозоля печени кур 2-акрилоилоксиэтилметакрилатом.
К раствору аспартатаминотрансферазы (9 мкл, 3.33 мг/мл) в буфере (25 мМ HEPES, рН 8.0, 30 мМ КСl, 2 мМ MgCl2), охлажденному до 5oС, приливают раствор 2-акрилоилоксиэтилметакрилата (0.012 г, 65.2 мкмоль) в DMF (3 мкл). Гомогенный раствор выдерживают 1 ч, а затем модифицированный белок очищают на мембранных фильтрах. Эффективность модификации белка контролировали электрофоретическим методом (аналогично приведенному на фиг.3). Модифицированный белок используют для изготовления белковых биочипов.
Пример 8. Синтез 2-акрилоилоксиэтилметакрилатаК раствору 2-гидроксиэтилметакрилата (1.070 г, 8.22 ммоль) и триэтиламина (0.832 г, 8.22 ммоль) в тетрагидрофуране (25 мл) добавляют при интенсивном перемешивании акрилоилхлорид (0.744 г, 8.22 ммоль). Смесь перемешивают при комнатной температуре 1 ч, выпавший осадок отфильтровывают и фильтрат концентрируют. К полученному остатку (масло) приливают воду (30 мл) и интенсивно встряхивают. Водный слой отделяют, приливают этилацетат (15 мл), органический слой высушивают сульфатом натрия и растворитель упаривают в вакууме. Выход 81%, масло. 1Н ЯМР (DMSO-d6), : 1.87 (с, 3Н, СН3), 3.34 (м, 2Н, O-СН2), 3.37 (м, 2Н, -СН2-O), 5.68 (псевдо-с, 1Н, СН2=); 6.02 (псевдо-с, 1Н, СН2=); 5.96 (дд, J1= 10.26 Гц, J2=1.87 Гц, 1Н, СН2′=); 6.33 (дд, J1=17.13 Гц, J2=1.55 Гц, 1Н, СН2′=); 6.19 (дд, J1=17.13 Гц, J2=10.28 Гц, 1Н, =СН-).
Рассчитано для C9H12O4: С 58.70%; Н 6.52%. Найдено: С 58.63%; Н 6.64%.
Пример 9. Синтез N-(5-метакрилоиламино-1-карбоксипентил)иминодиуксусной кислоты.
К раствору N-(5-амино-1-карбоксипентил)иминодиуксусной кислоты (1.353 г, 5.16 ммоля) в воде (10 мл) добавляют гидрокарбонат натрия (0.563 г, 6.71 ммоля) и раствор 4-нитрофенилметакрилата (1.069 г, 5.16 ммоля) в диметилфорамиде (15 мл). Смесь перемешивают 12 ч при комнатной температуре. К раствору добавляют соляную кислоту небольшими порциями до рН 3, охлаждают до 5oС и выдерживают 1 ч. Выпавший осадок отфильтровывают на холоду, фильтрат упаривают в вакууме. Остаток промывают диэтиловым эфиром (3 x 20 мл) и перекристаллизовывают из этанола. Выход 1.210 г (71%), Тразл~170oС.
1Н ЯМР (ДМСО-d6), : 1.40-1.45 (м, 2Н, СН2), 1.54-1.59 (м, 2Н, CH2), 1.84 (с, 3Н, СН3), 1.86-1.90 (м, 2Н, СН2), 3,19 (т, J= 6.40 Гц, 2Н, СН2), 3.73 (с, 4Н, 2СН2), 3.80 (т, J=6.20 Гц, 1Н, СН), 4.84 (с, 4Н, NH, 3ОН), 5.29 (с, 1Н, -СН=); 5.61 (с, 1Н, -СН=).
Рассчитано для C14H22N2O7: С 50.90%; Н 6.71%; N, 8.48%. Найдено: С 50.93%; Н 6.80%; N 9,00%.
Полученное соединение используют для получения модифицированного белка формулы VII путем обработки рекомбинантного белка, содержащего концевой His-6 участок, в присутствии солей Ni(II).
Пример 10. Полимеразная цепная реакция (ПЦР) на биочипе.
Типичный in situ ПЦР-эксперимент проводят на биочипе в микрокамере.
На биочипе методом сополимеризации иммобилизуют в разных ячейках олигонуклеотиды, полностью соответствующие последовательности дикого типа, или олигонуклеотиды, содержащие на 3′-конце нуклеотидную замену. Стандартный ПЦР-раствор (67 мМ Tris-HCl, рН 8.6; 2.5 мМ MgCl2; 16.6 мМ (NH4)2SO4; 0.001% Triton X-100; 1 мг/мл BSA; 0.24 мМ each of dATP, dCTP, dGTP и dTTP; 2.5 U Taq ДНК-полимеразы на 30 мкл) содержит также около 105 копий геномной ДНК Mycobacterium tuberculosis, a также прямой (F) (около 1 пмоль) и меченный Texas Red no 5′-концу обратный (R) (около 10 пмоль) праймеры. Обычно проводят 35 ПЦР-циклов: 40 сек – 95oС, 60 сек – 64oС, 40 сек – 72oС. После окончания ПЦР биочип промывают раствором 0.1-0.3 М NaCl при 80oС, в результате чего только дуплексы с удлиненным в результате реакции праймером сохраняются на чипе и могут быть обнаружены под флуоресцентным микроскопом.
Результат одного из таких экспериментов показан на фиг.7.
ПЦР внутри гелевых элементов под минеральным масломФрагментированную (200-300 нуклеотидов) денатурированную геномную ДНК М. tuberculosis исходно используют для гибридизации с соответствующими олигонуклеотидами на биочипе, описанном выше. Затем, после отмывки ДНК, не вступившей в гибридизацию, биочип инкубируют со стандартным ПЦР-раствором (см. выше) в течение 30 мин при 55oС. Водный раствор вне гелевых элементов замещают минеральным маслом и проводят ПЦР (30 циклов): 40 сек – 72oС, 40 сек – 95oС, 60 сек – 64oС. Вслед за завершающей стадией элонгации (10 мин – 72oС) биочип тщательно отмывают сначала хлороформом, затем раствором 0.1-0.3 М NaCl при 80oС и затем анализируют под флуоресцентным микроскопом. На фиг.8 показан результат такого эксперимента. Можно видеть, что аллелеспецифическая ПЦР идет и в этом случае достаточно эффективно в ячейках с праймером, полностью комплементарным используемой ДНК (дикого типа, wt, см. ячейки с С4 праймером). Заметно слабее эта реакция прошла в ячейках с праймером, содержащим однонуклеотидную замену на 3′-конце (mut, C5 праймер). Формула изобретения
К=аА+bВ+сС+dD+еE, включающая А – мономер на основе производных акриловой и метакриловой кислот; В – водорастворимый сшивающий агент; С – модифицированная биологическая макромолекула, содержащая ненасыщенную группу; D – водорастворимое соединение как компонент среды проведения сополимеризации; Е – воду, где a, b, c, d, e – процентное содержание (X) каждого компонента в композиции (X=m/v l00% для твердых веществ и X=v/v l00% для жидких веществ),в которой общее содержание мономера и сшивающего агента лежит в интервале 3-40% (3 (а+b)(40), соотношение мономера и сшивающего агента находится в пределах 97:3-60:40, а процентное содержание компонентов С, D и Е находится в пределах 0,0001% с 10%; 0% d 90%; 5% е 95%, используемая для изготовления биочипов.
2. Композиция по п.1, содержащая в качестве мономеров (А) акриламид, метакриламид, N-[трис(гидроксиметил)метил]акриламид, 2-гидроксиэтилметакрилат.
3. Композиция по п.1, в которой мономеры используют по отдельности или в смеси.
4. Композиция по п. 1, содержащая в качестве сшивающего агента (В) N, N’-метиленбисакриламид, N, N’-этиленбисметакриламид, N,N’-(1,2-дигидроксиэтилен)бисакриламид, полиэтиленгликольдиакрилат.
5. Композиция по п.1, в которой сшивающие агенты используют по отдельности или в смеси.
6. Композиция по п.1, в которой в качестве иммобилизуемой модифицированной биологической макромолекулы (С) используют олигонуклеотид общей формулы I![]() где ОЛИГО – олигонуклеотид; R1, R2, R3=Н, алкил С1-С6, Ph, PhCН2-; Z=(СН2)nСН(СН2ОН)СН2ОХ, где n=1-6; или (СН2)n-ОХ, где n=2-6; Х = фосфодиэфирная группа, связывающая непредельный фрагмент с 5′- и/или 3′-концом олигонуклеотида; R4=Н, (СН2)nОН, где n=2-6; Y=(р-С6Н4)n, где n=0-2. 7. Композиция по п.1, в которой в качестве иммобилизуемой модифицированной биологической макромолекулы (С) используют ДНК общей формулы II 5′-X-O-ДНК-3′-O-Z II где ДНК = фрагмент ДНК; Х= Н или Н2РО3, Z=-СО-Y-СR1=СR2R3 или Х=-СО-Y-СR1=СR2R3, Z=Н или Н2РО3, R1, R2, R3=Н, алкил С1-С6, Ph, PhCН2-; Y=(р-С6Н4)n, где n=0-2. 8. Композиция по п.1, в которой в качестве иммобилизуемой модифицированной макромолекулы (С) используют ДНК общей формулы III ![]() где ДНК = фрагмент ДНК; R1, R2, R3=Н, алкил С1-С6, Ph, PhCН2-; Y=(р-С6Н4)n, где n=0-2. 9. Композиция по п.1, в которой в качестве иммобилизуемой модифицированной макромолекулы (С) используют ДНК общей формулы IV ![]() где ДНК = фрагмент ДНК; R1, R2, R3-Н, алкил С1-С6, Ph, PhCН2-; Y=(р-С6Н4)n, где n=0-2; R4=Н, (СН2)nОН, где n=2-6; Z=-(СН2)nСН(СН2ОН)СН2ОХ, где n=1-6, или -(СН2)nОХ, где n=2-6; Х – фосфодиэфирная группа, связывающая непредельный фрагмент с 5′- и/или 3′-концом фрагмента ДНК. 10. Композиция по п.1, в которой в качестве иммобилизуемой модифицированной биологической макромолекулы (С) используют белок общей формулы V ![]() где R1, R2, R3=Н, алкил С1-С6, Ph, PhCН2-; Х=NH, О, СН2, S; Y=(р-С6Н4)n, где n=0-2; R=(СН2)n, (СН2СН2О)n, где n=1-20. 11. Композиция по п.1, в которой в качестве иммобилизуемой модифицированной биологической макромолекулы (С) используют белок общей формулы VI ![]() где R1, R2, R3=Н, алкил С1-С6, Ph, PhCН2-; Y=(р-С6Н4)n, где n=0-2; Х=NH, О, S, СН2; R=(СН2)n, (СН2СН2О)n, где n=1-20; W=NH, О, СН2; F=(СН2)n, где n=1, 2; Z=NH, S. 12. Композиция по п.1, в которой в качестве иммобилизуемой модифицированной биологической макромолекулы (С) используют белок общей формулы VII ![]() где R=(СН2)n, (СН2СН2О)n, n=1-20. 13. Композиция по п.1, где в качестве компонента среды проведения сополимеризации (Д) используют водорастворимое высококипящее органическое соединение. 14. Композиция по п.13, где в качестве водорастворимого высококипящего органического соединения используют N,N-диметилформамид и диметилсульфоксид. 15. Композиция по п.1, отличающаяся тем, что в качестве компонентов среды проведения фотоиндуцируемой полимеризации используют водорастворимое полигидроксильное соединение. 16. Композиция по п.15, отличающаяся тем, что в качестве водорастворимого полигидроксильного соединения используют глицерин, сахарозу и поливиниловый спирт. 17. Способ приготовления композиции (К) по п.1 для иммобилизации биологических макромолекул в гидрогелях методом сополимеризации в смеси следующего состава: К=аА+bВ+сС+dD+еE, включающая А – мономер на основе производных акриловой и метакриловой кислот; В – водорастворимый сшивающий агент; С – модифицированная биологическая макромолекула, содержащая ненасыщенную группу; D – водорастворимое соединение как компонент среды проведения сополимеризации; Е – воду, где a, b, c, d, e – процентное содержание (X) каждого компонента в композиции (X=m/v l00% для твердых веществ и X=v/v l00% для жидких веществ),в которой общее содержание мономера и сшивающего агента лежит в интервале 3-40% (3 (а+b) 40), соотношение мономера и сшивающего агента находится в пределах 97:3-60:40, а процентное содержание компонентов С, D и Е находится в пределах 0,0001% с 10%; 0% d 90%; 5% е 95%, используемая для изготовления биочипов.
18. Модифицированные фрагменты ДНК следующего строения:5′-X-O-ДНК-3′-O-Z, II где ДНК = фрагмент ДНК; Х= Н или Н2РО3, Z=-СО-Y-СR1=СR2R3, где R1, R2, R3=Н, алкил С1-С6, Ph, PhCH2-; или Х=-СО-Y-СR1=СR2R3, Z=Н или Н2РО3, где R1, R2, R3=Н, алкил С1-С6, Ph, PhCН2-; Y=(р-С6Н4)n, где n=0-2, получаемые путем прямого ацилирования фрагментов ДНК ангидридами непредельных кислот, или ![]() где ДНК = фрагмент ДНК; R1, R2, R3=Н, алкил С1-С6, Ph, PhCH2-; Y=(р-С6Н4)n, где n=0-2, получаемые путем восстановительного аминирования апуринизованной ДНК с последующим ацилированием аминопроизводного активированными эфирами ненасыщенных кислот, или ![]() где ДНК = фрагмент ДНК; R1, R2, R3=Н, алкил С1-С6, Ph, PhCH2-; Y=(р-С6Н4)n, где n=0-2; R4=Н, (СН2)nОН, где n=2-6; Z=-(СН2)nСН(СН2ОН)СН2ОХ, где n=1-6, или (СН2)n-ОХ, где n=2-6; Х – фосфодиэфирная группа, связывающая непредельный фрагмент с 5′- и/или 3′-концом фрагмента ДНК, получаемые путем ПЦР-амплификации с использованием синтетического праймера, несущего на 5′- или 3′-конце ненасыщенную группу. 19. Модифицированные белки следующего строения: ![]() где R1, R2, R3=Н, алкил С1-С6, Ph, PhCH2-; Х=NH, О, СН2, S; Y=(р-С6Н4)n, где n=0-2; R=(СН2)n, (СН2СН2О)n, где n=1-20, получаемые путем ацилирования свободных аминогрупп белка активированными эфирами непредельных кислот, или ![]() где R1, R2, R3=Н, алкил С1-С6, Ph, PhCH2-; Y=(р-С6Н4)n, где n=0-2; Х=NH, O, S, СН2; R=(СН2)n, (СН2СН2О)n, где n=1-20; W=NH, О, СН2; F=(СН2)n, где n=1, 2; Z=NH, S, получаемые путем алкилирования сульфгидрильной или аминогруппы белка производными , -непредельных и -галогенкарбонильных соединений,или ![]() где R=(СН2)n, (СН2СН2О)n, где n=1-20, путем обработки рекомбинантного белка, содержащего концевой His-6 участок, метакриламидными производными нитрилотриуксусной кислоты в присутствии солей Ni(II). 20. Модифицированное пористое стекло (CPG) следующего строения: ![]() где R1, R2=Н, алкил С1-С6, Ph, PhCH2-; R3 = алкил С1-С6; Y=(р-С6Н4)n, где n=0-2, в качестве носителя для введения остатка непредельной кислоты по 3′-концу олигонуклеотидов формулы I по п.6 в условиях автоматического твердофазного синтеза. 21. Активированные эфиры следующего строения: ![]() где R1, R2, R3=Н, алкил С1-С6, Ph, PhCH2-; Y=(р-С6Н4)n, где n=0-2; Z=NH, О, СН2, S; R=(СН2)n, (СН2СН2О)n, где n=1-20; Х = сукцинимидоокси-, п-нитрофенокси-, пентафторфенокси- или любая другая акцепторная хорошая уходящая группа в качестве модифицирующего агента для получения белка формулы V. 22. Карбонильные соединения следующего строения: ![]() где R1, R2, R3=Н, алкил С1-С6, Ph, PhCH2-; Y=(р-С6Н4)n, где n=0-2; Х=NH, О, S, СН2; R=(СН2)n, (СН2СН2О)n, где n=1-20; W=NH, О, СН2; Z = галогенометил, винил или любой другой фрагмент, содержащий активную кратную связь, в качестве модифицирующего агента для получения белка формулы VI. 23. Метакриламидные производные нитрилотриуксусной кислоты общей формулы СН2=С(Ме)-СО-NH-R-СН(СООН)-N(СН2СООН)2, где R=(СН2)n, (СН2СН2О)n, где n=1-20, в качестве модифицирующего агента для получения белка формулы VII. 24. Биочип, выполненный на основе композиции по п.1, в котором сформированный на подложке слой геля разделен пустыми промежутками на несколько ячеек, причем каждая из ячеек может содержать либо не содержать иммобилизованные макромолекулы, а макромолекулы, иммобилизованные в разных ячейках, могут различаться по своей природе и свойствам. 25. Биочип по п.24, в котором указанные ячейки образуют регулярную одномерную или двумерную структуру (массив). 26. Биочип по п.24, при изготовлении которого нанесение полимеризационной смеси на подложку осуществляется при помощи автоматического устройства (робота), снабженного одним или несколькими микродиспенсерами. 27. Биочип по п.26, при изготовлении которого используются микродиспенсеры стержневого типа. 28. Биочип по п.26, при изготовлении которого используются бесконтактные микродиспенсеры струйного типа. 29. Биочип по п. 26, при изготовлении которого используются несколько микродиспенсеров, образующих регулярную структуру. 30. Биочип по п.24, при изготовлении которого одна или несколько подложек с нанесенными на них каплями полимеризационной смеси при полимеризации размещаются в герметичном контейнере в бескислородной инертной атмосфере с контролируемой влажностью. 31. Биочип по п.24, при изготовлении которого контейнер заполняется одним из следующих газов: N2, Аr, СО2. 32. Биочип по п.24, при изготовлении которого газовая среда в контейнере с подложками непрерывно или периодически обновляется. 33. Способ проведения ПЦР на биочипе по п.24 путем добавления амплификационного раствора, прямого (F) и обратного (R) праймеров и исследуемых образцов нуклеиновых кислот и инкубации биочипа в условиях циклических изменений температуры, обеспечивающих осуществление ПЦР-амплификации. 34. Способ проведения ПЦР на биочипе по п.24 путем инкубации биочипа при постоянной температуре с гибридизационным раствором, содержащим исследуемые образцы нуклеиновых кислот, для их гибридизации с иммобилизованными праймерами (синтетическими олигонуклеотидами), инкубации биочипа, содержащего гибридизованные с иммобилизованными праймерами нуклеиновые кислоты, с амплификационным раствором, содержащим прямой (F) и обратный (R) праймеры, при постоянной температуре, замены амплификационного раствора вне гелевых элементов биочипа гидрофобной жидкостью (минеральным маслом), которая полностью изолирует ячейки биочипа друг от друга, и инкубации биочипа в условиях циклических изменений температуры, обеспечивающих осуществление ПЦР-амплификации. РИСУНКИ
QB4A Регистрация лицензионного договора на использование изобретения
Лицензиар(ы): Учреждение Российской академии наук Институт молекулярной биологии им.В.А.Энгельгардта РАН
Вид лицензии*: НИЛ
Лицензиат(ы): Общество с ограниченной ответственностью “БИОЧИП-ИМБ”
Договор № РД0060400 зарегистрирован 12.02.2010
Извещение опубликовано: 27.03.2010 БИ: 09/2010
* ИЛ – исключительная лицензия НИЛ – неисключительная лицензия
|
||||||||||||||||||||||||||

100% для твердых веществ и Х=v/v
(а+b)
5 мкм) камеру с реакционным объемом, ограниченным с одной стороны подложкой будущего биочипа, а с другой – окном, прозрачным в УФ-области. Ячейки биочипа формируют одну за другой путем циклического выполнения следующих операций: (1) заполнения камеры композицией с соответствующим зондом, (2) полимеризации композиции в месте нахождения будущей ячейки под действием УФ-излучения, сфокусированным в квадратное пятно необходимого размера, (3) промывки камеры перед заполнением ее очередным раствором.
Однако известные композиции для иммобилизации биологических макромолекул в гидрогелях при формировании биочипов, биочипы и способы их изготовления имеют ряд недостатков.
Недостатки







,
-непредельных и 

312 нм), полученный биочип отмывают от компонентов, не принявших участия в полимеризации.
Нанесение композиции на подложку осуществляется при помощи автоматического устройства (робота), снабженного одним или несколькими микродиспенсерами, образующими регулярную структуру.
Одну или несколько подложек с нанесенными на них каплями композиции перед полимеризацией и в процессе полимеризации размещают в герметичном контейнере в атмосфере одного из газов (N2, Аr или СО2) с контролируемой влажностью.
Изобретением также предлагается биочип для проведения полимеразной цепной реакции (ПЦР), в котором в качестве иммобилизованных биологически значимых макромолекул используют синтетические олигонуклеотиды (праймеры).
Изобретение предлагает способ проведения ПЦР на биочипе путем
: 1.87 (с, 3Н, СН3), 3.34 (м, 2Н, O-СН2), 3.37 (м, 2Н, -СН2-O), 5.68 (псевдо-с, 1Н, СН2=); 6.02 (псевдо-с, 1Н, СН2=); 5.96 (дд, J1= 10.26 Гц, J2=1.87 Гц, 1Н, СН2′=); 6.33 (дд, J1=17.13 Гц, J2=1.55 Гц, 1Н, СН2′=); 6.19 (дд, J1=17.13 Гц, J2=10.28 Гц, 1Н, =СН-).
Рассчитано для C9H12O4: С 58.70%; Н 6.52%. Найдено: С 58.63%; Н 6.64%.
Пример 9. Синтез N-(5-метакрилоиламино-1-карбоксипентил)иминодиуксусной кислоты.
К раствору N-(5-амино-1-карбоксипентил)иминодиуксусной кислоты (1.353 г, 5.16 ммоля) в воде (10 мл) добавляют гидрокарбонат натрия (0.563 г, 6.71 ммоля) и раствор 4-нитрофенилметакрилата (1.069 г, 5.16 ммоля) в диметилфорамиде (15 мл). Смесь перемешивают 12 ч при комнатной температуре. К раствору добавляют соляную кислоту небольшими порциями до рН 3, охлаждают до 5oС и выдерживают 1 ч. Выпавший осадок отфильтровывают на холоду, фильтрат упаривают в вакууме. Остаток промывают диэтиловым эфиром (3 x 20 мл) и перекристаллизовывают из этанола. Выход 1.210 г (71%), Тразл~170oС.
1Н ЯМР (ДМСО-d6), 












