Патент на изобретение №2206566
|
||||||||||||||||||||||||||
(54) ЗАМЕЩЕННЫЕ 3,1-БЕНЗОКСАЗИНО (1,2-С)(1,3) БЕНЗОКСАЗИНЫ, ПРОЯВЛЯЮЩИЕ СВОЙСТВА АКТИВАТОРОВ ПРОРАСТАНИЯ СЕМЯН ПШЕНИЦЫ
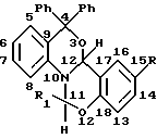
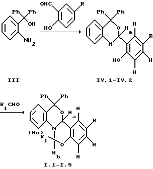
(57) Реферат: Описываются 3,1-бензоксазино(1,2-С)(1,3)бензоксазины общей формулы I, обладающие свойствами активаторов прорастания семян пшеницы ![]() где I.1. R, R1 – H; I.2 R – H, R1 – CH3; I.3. R – H, R1 – изоC4H9; I.4. R – NO2, R1 – H; I.5. R – NO2, R1 – CH3. Технический результат заключается в увеличении энергии прорастания, длины и сухой массы проростков и корней семян озимой пшеницы. 1 табл. Изобретение относится к новым химическим биологически активным соединениям – замещенным 3,1-бензоксазино (1,2-с)(1,3) бензоксазинам формулы I: 4,4-дифенил-3,1-бензоксазино (1,2-с)(1,3) бензоксазину формулы I.1; 4,4-дифенил-11-метил-3,1-бензоксазино (1,2-с)(1,3) бензоксазину формулы I.2; 4,4-дифенил-11-изобутил-3,1-бензоксазино (1,2-с)(1,3) бензоксазину формулы I.3; 4,4-дифенил-15-нитро-3,1-бензоксазино (1,2-с)(1,3) бензоксазину формулы I.4; 4,4-дифенил-11-метил-15-нитро-3,1-бензоксазино (1,2-с)(1,3) бензоксазину формулы I.5, активирующим прорастание семян пшеницы. ![]() I.1. R,R1 – H I.2. R – H, R1 – CH3 I.3. R – H, R1 – изоC2H9 I.4. R – NO2, R1 – H I.5. R – NO2, R1 – CH3 Указанные соединения, их химические и биологические свойства в литературе не известны. ![]() В качестве аналога по свойствам известен гиббереллин, широко используемый для активации прорастания семян. Однако гиббереллин – дорогостоящий продукт микробиологического синтеза и малодоступен. Его применение вызывает нерациональную трату пластических веществ [Муромцев Г.С. и др. Основы химической регуляции роста и продуктивности растений. – М.: Агропромиздат, 1987. – C. 33-80]. Задачей настоящего изобретения является получение новых соединений, перспективных для химии биологически активных веществ, расширяющих ассортимент веществ с рострегулирующими свойствами в ряду замещенных 3,1-бензоксазинов, позволяющих улучшить посевные качества семян. Это достигается синтезом новых неописанных ранее соединений – замещенных 3,1-бензоксазино (1,2-с)(1,3) бензоксазолинов, проявляющих свойства активаторов прорастания семян пшеницы. Исходным соединением для получения соединений I.1-I.5 является о-аминофенилдифинилкарбинол формулы III. Последний получают с выходом до 80% из производимого отечественной промышленностью метилантранилата по известной методике взаимодействия сложных эфиров с реактивом Гриньяра [Реакции карбонильных соединений. – В кн.: Практикум по органической химии, т. II /Под ред. Потапова В.П., Пономарева С.В. Пер. с немецкого – М, С. 195-199]. ![]() Физико-химические константы карбинола III соответствуют литературным данным [A. Baeyer, V. Villiger. Dibenzolactone and Triphenylmethane. – Chem. Ber. 1904, 37, S. 3191-3210]. Соединения I.1-I.5 получают путем последовательных конденсаций: вначале карбинола III салициловыми альдегидами, затем образовавшихся дигидробензолсазинов IV.1 и IV.2 с рядом алифатических альдегидов ![]() Полученные соединения IV.1-IV.2 и I.1-I.5 идентифицированы по совокупности данных элементного анализа, ИК и ПМР-спектроскопии. Изобретение иллюстрируется следующими примерами. Пример 1. Получение 4,4-дифенил-11алкил-3,1-бензоксазино (1,2-с)(1,3) бензоксазинов I.1-I.3. Процесс состоит из следующих стадий. 1 Стадия. Синтез 2-(2-гидроксифенил)-4,4-дифенил-1,2-дигидро-4Н-3,1-бензоксазина (IV.1). К раствору 2,75 г (0,01 моль) о-аминофенилдифенилкарбинола в 10 мл ледяной уксусной кислоты при охлаждении (ледяная баня) и перемешивании порциями прибавляют 1,22 г (0,01 моль) 2-гидроксибензальдегида. Затем смесь перемешивают при комнатной температуре в течение часа. Выпавший осадок отфильтровывают, промывают раствором спирта в воде (1:3), сушат, получают 2,85 г (75%) 2-(2-гидроксифенил)-4,4-дифенил-1,2-дигидро-4Н-3,1-бензоксазина (IV. 1). Температура плавления 168-170 C (из этанола).
Элементный анализ для С26Н21NO2: найдено, %: С 82,61; Н 5,32; N 3,73. Вычислено, %: С 82,32; Н 5,54; N 3,69. Спектр ПМР (DMSO d6): 4,40 (1Н, уш. с, NH); 5,60 (1Н, с, На); 6,90 (8Н, м, Нар), 7,20 и 7,35 [10Н, два с, (С6Н5)2] ; 8,40 (1Н, уш. с, ОН). ИК-спектр, , см-1: (N-C-O) 1020, 1070, 1100; (NH) 3300; (ОН) 3200-3070; (С=СНар) 3030, 1600, 1590.
2 Стадия.
Синтез 4,4-дифенил-3,1-бензоксазино (1,2-с)(1,3) бензоксазина (I.1).
Смесь 0,95 г (0,0025 моль) дигидробензоксазина (IV.1) и 0,2 мл формалина (содержащего 0,0025 моль формальдегида) в 10 мл уксусной кислоты перемешивают при комнатной температуре в течение часа. Наблюдают исчезновение осадка исходного дигидробензоксазина и выпадение нового осадка. Осадок отфильтровывают, промывают раствором спирта в воде (1:3), сушат, получают 0,69 г (70%) продукта I.1.
Температура плавления 215oС (из толуола).
Элементный анализ для C27H21NO2: найдено, %: С 82,42; Н 5,62; N 3,20. Вычислено, %: С 82,86; Н 5,37; N 3,58. Спектр ПМР (CDCl3); , м.д: 5,15 и 5,25 (2Н, два д, Нв+Нс); 5,35 (1Н, с, На); 7,20 (18Н, м. Нар), 2Iнвнс=8,0 Гц. ИК-спектр, , см-1: (N-C-O) 1050, 1070, 1100; (С=СНар) 3030, 1600, 1590.
Синтез 4,4-дифенил-11-метил-3,1-бензоксазино (1,2-с)(1,3) бензоксазина (I.2).
Смесь 0,95 г (0,0025 моль) дигидробензоксазина (IV.1) и 0,11 г (0,0025 моль) уксусного альдегида в 10 мл уксусной кислоты перемешивают при комнатной температуре в течение часа. Выпавший осадок отфильтровывают, промывают раствором спирта в воде (1:3), сушат, получают 0,66 г (65%) продукта I.2.
Температура плавления 203-205oС (из толуола).
Элементный анализ для C28H23NO2: найдено, %: С 82,51; Н 5,83; N 3,21. Вычислено, %: С 82,96; Н 5,68; N 3,46. Спектр ПМР (CDCl3; , м.д: 1,62 (3Н, д, СН3); 5,35 (1Н, кв, Нв); 5,50 (1Н, с, На); 7,25 (18Н, м, Нар), 2Iнвнс=6,0 Гц. ИК-спектр, , см-1: (N-C-O) 1020, 1080, 1110; (С=СНар) 3030, 1600, 1580.
Синтез 4,4-дифенил-11-изобутил-3,1-бензоксазино (1,2-с)(1,3) бензоксазина (1.3).
Смесь 0,95 г (0,0025 моль) дигидробензоксазина (IV.1) и 0,18 г (0,0025 моль) изомасляного альдегида в 10 мл уксусной кислоты перемешивают при комнатной температуре в течение часа. Выпавший осадок отфильтровывают, промывают раствором спирта в воде (1:3), сушат, получают 0,67 г (60%) продукта I.3.
Температура плавления 172-173oС (из толуола).
Элементный анализ для C31H29NO2: найдено, %: С 83,57; Н 6,72; N 3,28. Вычислено, %: С 83,22; Н 6,48; N 3,13. Спектр ПМР (CDCl3); , м.д: 1,10 [6Н, д, (СН3)2]; 1,57 (2Н, м, СН3); 2,55 (1Н, м, СН); 5,40 (1Н, с, На); 5,71 (1Н, т, Нв); 7,05 (18Н, м, Нар), 3Iснсн3=6,9 Гц; 3Icнсн2=5,0 Гц. ИК-спектр, , см-1: (N-C-O) 1010, 1070, 1100; (С=СНар) 3030, 1610, 1590.
Пример 2. Получение 4,4-дифенил-11-алкил-15-нитро-3,1-бензоксазино (1,2-с)(1,3) бензоксазинов I.4-I.5.
Процесс состоит из следующих стадий.
1 Стадия.
Синтез 2-(2-гидрокси-5-нитрофенил)-4,4-дифенил-1,2-дигидро-4Н-3,1-бензоксазина (IV.2).
К раствору 2,75 г (0,01 моль) о-аминофенилдифенилкарбинола (III) в 10 мл ледяной уксусной кислоты при охлаждении (ледяная баня) и перемешивании порциями прибавляют 1,66 г (0,01 моль) 2-гидрокси-5-нитробензальдегида. Затем смесь перемешивают при комнатной температуре в течение часа. Выпавший осадок отфильтровывают, промывают раствором спирта в воде (1:3), сушат, получают 3,04 г (72%) 2-(2-гидрокси-5-нитрофенил)-4,4-дифенил-1,2-дигидро-4Н-3,1-бензоксазина (IV.2).
Температура плавления 162-163oС (этанол).
Элементный анализ для C26H20N2O4: найдено, %: С 73,42; Н 4,58; N 6,75. Вычислено, %: С 73,58; Н 4,72; N 6,60. Спектр ПМР (DMSO d6) , м.д.: 4,45 (1Н, уш. с, NH); 5,60 (1Н, с, На); 6,80 (5Н, м, С6Н4+H ), 7,30 и 7,40 [10Н, два с, (C6H5)2]; 7,95 (1Н, м, H ); 8,15 (1Н, д, H / ); 9,50 (1Н, уш. с, ОН); 3IH H =3,0 Гц. ИК-спектр, , см-1: (N-C-O) 1030, 1085, 1100; (NH) 3350; (ОН) 3600-3100; (NO2) 1520, 1325; (C=CHap) 3030, 1610, 1590.
2 Стадия.
Синтез 4,4-дифенил-15-нитро-3,1-бензоксазино (1,2-с)(1,3) бензоксазина (I.4)Смесь 1,06 г (0,0025 моль) дигидробензоксазина (IV.2) и 0,2 мл формалина (0,0025 моль формальдегида) в 10 мл уксусной кислоты перемешивают при комнатной температуре в течение часа. Выпавший осадок отфильтровывают, промывают раствором спирта в воде (1:3), сушат, получают 0,76 г (70%) продукта I.4. Температура плавления 228-230oС (из бензола). Элементный анализ для C27H20N2O4: найдено, %: С 74,55; Н 4,31; N 6,15. Вычислено, %: С 74,31; Н 4,58; N 6,42. Спектр ПМР (DMSO-d6); , м.д: 5,35 и 5,45 (2Н, два д, Нв+Нс); 5,55 (1Н, с, На); 7,25 [15Н, м, С6Н4+(С6Н5)2+H ]; 7,90 (1Н, д, H ); 8,20 (1Н, м, H ). 3Iнвнс=7,5 Гц. ИК-спектр, , см-1: (N-C-О) 1020, 1070, 1100; (NO2) 1520, 1340; (C=CHap) 3030, 1600, 1580.
Синтез 4,4-дифенил-11-метил-15-нитро-3,1-бензоксазино (1,2-с)(1,3) бензоксазина (I.5).
Смесь 1,06 г (0,0025 моль) дигидробензоксазина (IV.2) и 0,11 г (0,0025 моль) уксусного альдегида в 10 мл уксусной кислоты перемешивают при комнатной температуре в течение часа. Выпавший осадок отфильтровывают, промывают раствором спирта в воде (1:3), сушат, получают 0,73 г (65%) продукта I. 5.
Температура плавления 218-220oС (из бензола).
Элементный анализ для C28H22N2O: найдено, %: С 74,42; Н 4,63; N 6,53. Вычислено, %: С 74,67; Н 4,89; N 6,22. Спектр ПМР (CDCl3); , м.д: 1,57 (3Н, д, СН3); 5,45 (1Н, кв, Нв); 5,75 (1Н, с. На); 7,15 [15Н, м, С6Н4+(С6Н5)2+H ] ; 8,00 (1Н, д, H ); 8,15 (1Н, м, H ); 3ICHCH3=6,0 Гц; 3IH H =1,8 Гц. ИК-спектр, ,, см-1: (N-C-О) 1010, 1075, 1100; (NО2) 1510, 1350; (C=CHap) 3030, 1610, 1590.
Пример 3. Изучение рострегулирующей активности замещенных 3,1-бензоксазино (1,2-с)(1,3) бензоксазинов.
Ростгенерирующую активность замещенных 3,1-бензоксазино (1,2-с)(1,3) бензоксазинов I. 1-I. 5, аналога по свойствам – гиббереллина и аналога по строению – соединения формулы II – изучали на семенах озимой пшеницы сорта Победа-50.
Соединения I. 2-I. 5 применяли в виде водных растворов с массовой долей 0,005-0,00005%, соединение I.1 – 0,008-0,00008%. Аналог по строению – соединение II – применяли в виде водного раствора с массовой долей 0,001% и аналог по свойствам – гиббереллин – в виде водного раствора с массовой долей 0,001%.
В качестве контроля использовали семена, обработанные водой. Обработку семян проводили путем предпосевного замачивания их в водных растворах препаратов в течение 18 ч. В каждом образце использовали по 50 шт. семян. Повторность опыта – трехкратная. Семена проращивали в рулонах фильтровальной бумаги в течение 7 дней.
Об оптимальной ростактивирующей дозе и об активности соединений судили по таким показателям, как энергия прорастания семян, высота проростков, длина корней и их массы, потенциальная продуктивность проростков.
Результаты воздействия на посевные качества семян приведены в таблице.
Проведенные исследования позволили установить, что соединения I.1-I.5 проявляют свойства активаторов прорастания семян пшеницы.
Соединения I. 1-I. 5 в оптимальных ростактивирующих концентрациях не оказывают существенного влияния на энергию прорастания семян.
Соединение I. 1 в оптимальной ростстимулирующей концентрации 0,00008% активирует рост проростков, при этом высота проростков увеличивается на 4,3% и их масса – на 12,5%, длина корней – на 8,1% и их масса не изменяется и потенциальную продуктивность проростков – на 6,5% в сравнении с контролем.
При этом соединение I.1 по своей эффективности не уступает аналогам по строению и свойствам.
Соединение 1.2 в оптимальной ростстимулирующей концентрации 0,00025% увеличивает высоту проростка на 6,0% и его массу – на 14,1%, массу корней – на 22,9% и потенциальную продуктивность проростков – на 15,1% в сравнении с контролем. По своей эффективности воздействия на посевные качества семян соединение I.2 не уступает аналогам по структуре и свойствам.
Соединение I. 3 в оптимальной ростстимулирующей концентрации 0,0025% активирует рост проростков, увеличивая длину побеговой системы на 19,8%, ее массу – на 40,6%, длину корней – на 11,7%, их массу – на 10,4%, потенциальную продуктивность проростков – на 10,8%, в сравнении с контролем и по своей эффективности превосходит аналоги по строению и свойствам.
Соединение I. 4 в оптимальной ростстимулирующей концентрации 0,0005% не увеличивает высоту проростка, но активирует рост корневой системы, увеличивая длину корней на 17,1%, их массу – на 22,9%, потенциальную продуктивность – на 11,8%, в сравнении с контролем и по своей эффективности не уступает аналогам по структуре и свойствам.
Соединение I.5 в оптимальной ростстимулирующей концентрации 0,00025% активирует рост проростков, увеличивая их высоту – на 4,3%, массу – на 20,3%, длину корней – на 10,8%, их массу – на 22,9%, потенциальную продуктивность – на 20,4% в сравнении с контролем. Соединение I.5 по своей эффективности не уступает аналогам по структуре и свойствам.
Соединения I.1-I.5 являются эффективными активаторами прорастания семян пшеницы и могут найти применение в практике сельского хозяйства в качестве средств, улучшающих посевные качества семян пшеницы.
Формула изобретения
![]() I.1. R, R1 – H; I.2. R – H, R1 – CH3; I.3. R – H, R1 – изоC4H9; I.4. R – NO2, R1 – H; I.5. R – NO2, R1 – CH3. РИСУНКИ
MM4A Досрочное прекращение действия патента Российской Федерации на изобретение из-за неуплаты в установленный срок пошлины за поддержание патента в силе
Дата прекращения действия патента: 01.06.2004
Извещение опубликовано: 10.03.2006 БИ: 07/2006
|
||||||||||||||||||||||||||






C (из этанола).
Элементный анализ для С26Н21NO2: найдено, %: С 82,61; Н 5,32; N 3,73. Вычислено, %: С 82,32; Н 5,54; N 3,69. Спектр ПМР (DMSO d6): 4,40 (1Н, уш. с, NH); 5,60 (1Н, с, На); 6,90 (8Н, м, Нар), 7,20 и 7,35 [10Н, два с, (С6Н5)2] ; 8,40 (1Н, уш. с, ОН). ИК-спектр,
, см-1: (N-C-O) 1020, 1070, 1100; (NH) 3300; (ОН) 3200-3070; (С=СНар) 3030, 1600, 1590.
2 Стадия.
Синтез 4,4-дифенил-3,1-бензоксазино (1,2-с)(1,3) бензоксазина (I.1).
Смесь 0,95 г (0,0025 моль) дигидробензоксазина (IV.1) и 0,2 мл формалина (содержащего 0,0025 моль формальдегида) в 10 мл уксусной кислоты перемешивают при комнатной температуре в течение часа. Наблюдают исчезновение осадка исходного дигидробензоксазина и выпадение нового осадка. Осадок отфильтровывают, промывают раствором спирта в воде (1:3), сушат, получают 0,69 г (70%) продукта I.1.
Температура плавления 215oС (из толуола).
Элементный анализ для C27H21NO2: найдено, %: С 82,42; Н 5,62; N 3,20. Вычислено, %: С 82,86; Н 5,37; N 3,58. Спектр ПМР (CDCl3);
, м.д: 5,15 и 5,25 (2Н, два д, Нв+Нс); 5,35 (1Н, с, На); 7,20 (18Н, м. Нар), 2Iнвнс=8,0 Гц. ИК-спектр,
, м.д: 1,62 (3Н, д, СН3); 5,35 (1Н, кв, Нв); 5,50 (1Н, с, На); 7,25 (18Н, м, Нар), 2Iнвнс=6,0 Гц. ИК-спектр,
), 7,30 и 7,40 [10Н, два с, (C6H5)2]; 7,95 (1Н, м, H
); 8,15 (1Н, д, H
/ ); 9,50 (1Н, уш. с, ОН); 3IH