Патент на изобретение №2206320
|
||||||||||||||||||||||||||
(54) ПРОИЗВОДНЫЕ ГИДРОКСИЛАМИНА, ПРИГОДНЫЕ ДЛЯ УСИЛЕНИЯ ОБРАЗОВАНИЯ МОЛЕКУЛЯРНОГО ШАПЕРОНА, И ИХ ПОЛУЧЕНИЕ
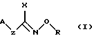
(57) Реферат: Изобретение относится к области медицины и касается способа повышения экспрессии молекулярного шаперона клеткой и/или повышения активности молекулярного шаперона в клетках путем обработки клетки эффективным количеством производного гидроксиламина формулы (I) или (II), а также к новым производным гидроксиламина и фармкомпозициям на их основе. Изобретение позволяет эффективно регулировать клеточные процессы. 13 с. и 132 з.п.ф-лы, 29 ил., 5 табл. ![]()
Текст описания в факсимильном виде (см. чертежи) Т Т Формула изобретения
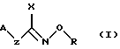
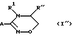
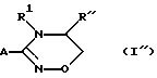
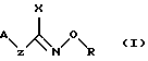
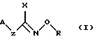
![]() или (II) ![]() или его соль, и/или любой его оптический активный стереоизомер, где А – алкил, замещенный алкил, аралкил, аралкил, замещенный в арильной и/или алкильной части, арил, замещенный арил, гетероарил или замещенный гетероарил; Z представляет собой ковалентную связь, кислород или =NR3, где R3 выбран из группы, включающей водород, алкил, замещенный алкил, арил, замещенный арил, арилалкил и арилалкил, замещенный в арильной и/или алкильной части; R – алкил или замещенный алкил; Х в формуле (I) – галоген, или замещенный гидроксил, или аминогруппа, монозамещенная амино или дизамещенная аминогруппа и Х в формуле (II) – кислород, имино или замещенная иминогруппа; R’ – водород, алкил, замещенный алкил, арил, замещенный арил, арилалкил, арилалкил, имеющий заместители в арильной или алкильной части, ацил или замещенная ацильная группа, и соединения формулы (I) необязательно содержат внутримолекулярные циклические структуры, образованные взаимодействием Х и реакционноспособного заместителя. 2. Способ по п.1, отличающийся тем, что клетку обрабатывают до физиологического стресса. 3. Способ по п.1, отличающийся тем, что клетку обрабатывают после физиологического стресса. 4. Способ по пп.1-3, отличающийся тем, что эукариотическая клетка в состоянии физиологического стресса является клеткой млекопитающего. 5. Способ по п.4, отличающийся тем, что клетка млекопитающего является человеческой. 6. Способ по п.4 или 5, отличающийся тем, что клетка представляет собой клетку живого организма. 7. Способ по пп.4-6, отличающийся тем, что клетка представляет собой нервную клетку, мышечную клетку, клетку стенки сосуда, особенно эндотелиальную, эпителиальную клетку или клетку иммунной системы. 8. Способ по пп.4 и 5, отличающийся тем, что эукариотическая клетка, подвергнутая стрессу, является растительной клеткой. 9. Способ по п. 8, отличающийся тем, что растительная клетка является клеткой живого растения. 10. Способ по пп.1-7, отличающийся тем, что физиологический стресс является метаболическим, окислительным или локальным механическим стрессом или стрессом, вызванным гипоксией, ишемией, сердечным приступом, радиационными или токсичными материалами. 11. Способ по п.10, отличающийся тем, что стресс вызван сахарным диабетом. 12. Способ по пп.1-7, отличающийся тем, что физиологический стресс приводит к повышению содержания активных свободных радикалов или цитокинов, присутствующих в области, окружающей клетку. 13. Способ по пп.1-7, отличающийся тем, что физиологический стресс приводит к появлению сердечно-сосудистых, сосудистых, церебральных, аллергических, иммунных, аутоиммуных заболеваний, заболеваний вирусного и бактериального происхождения, онкологических, кожных и/или слизистых оболочек или эпителиальных заболеваний почечных каналов. 14. Способ по п.13, отличающийся тем, что сердечно-сосудистые заболевания вызываются артеросклерозом, коронарными заболеваниями, гипертонией или легочной гипертонией, провоцируемой физиологическим стрессом. 15. Способ по п.13, отличающийся тем, что церебральные заболевания вызываются ишемией сосудов головного мозга, ударом, травматическим ранением головы, старческими нейродегенеративными заболеваниями, особенно старческим слабоумием, СПИД-слабоумием, алкогольным слабоумием, болезнью Альцеймера, болезнью Паркинсона или эпилепсией, провоцируемой физиологическим стрессом. 16. Способ по п. 13, отличающийся тем, что кожное и/или заболевание слизистых оболочек вызывается дерматозом или язвенным заболеванием гастроэнтерологической системы, провоцируемыми физиологическим стрессом. 17. Способ по пп.1-16, отличающийся тем, что молекулярный шаперон представляет собой белок теплового шока (hsp). 18. Способ по п.17, отличающийся тем, что hsp представляет собой hsp70 или hsp72. 19. Способ по п.1, отличающийся тем, что применяют гидроксиламины формулы (I), в которой r – алкил или замещенный алкил и (a) Z – ковалентная связь и Х – галоген, (b) Z – ковалентная связь и Х – замещенная гидроксигруппа OQ, где Q – углеводород, и необязательно соединение имеет внутри молекулярный цикл, образованный взаимодействием Х и реакционноспособного заместителя в R; (c) Z – ковалентная связь и X – NR1R2, где R1 и R2 независимо друг от друга – водород, линейный или разветвленный алкил, замещенный линейный или разветвленный алкил, циклоалкил или R1 и R2 вместе с атомом азота, присоединенным к ним, образуют насыщенное кольцо, содержащее от 3 до 7 атомов, и необязательно соединение имеет внутримолекулярный цикл, образованный взаимодействием Х и реакционноспособного заместителя в R; (d) Z – кислород и Х – замещенная гидроксильная группа OQ, где Q – углеводородный заместитель; (e) Z – кислород и X – NR1R2, где R1 и R2 независимо друг от друга – водород, линейный или разветвленный алкил, замещенный линейный или разветвленный алкил, циклоалкил или R1 и R2 вместе с атомом азота, присоединенным к ним, образуют насыщенное кольцо, содержащее от 3 до 7 атомов; (f) Z-= NR3, где R3 – водород, алкил, замещенный алкил, арил, замещенный арил, аралкил или аралкил, содержащий замещенную арильную или замещенную алкильную часть, и X – NR1R2, где R1 и R2 независимо друг от друга – водород, линейный или разветвленный алкил, замещенный линейный или разветвленный алкил, циклоалкил или R1 и R2 вместе с атомом азота, присоединенным к ним, образуют насыщенное кольцо, содержащее от 3 до 7 атомов. 20. Способ по п. 19, отличающийся тем, что R – w-аминоалкил, необязательно замещенный по амино и/или алкильной группе, при этом алкильная цепь содержит предпочтительно от 3 до 8 атомов углерода и является линейной или разветвленной и может быть замещена гидрокси- или ацилоксигруппой. 21. Способ по п.19 или 20, отличающийся тем, что R – w-аминоалкил, моно- или дизамещенный по амину и заместители амина независимо друг от друга представляют собой один или два линейных или разветвленных алкила или циклоалкил, или два заместителя амина вместе с атомом азота, присоединенным к ним, образуют 3 – 7-членный, предпочтительно 5 – 7-членный, насыщенный гетероцикл, который может содержать дополнительный гетероатом (гетероатомы). 22. Способ по любому из пп.19-21, отличающийся тем, что Z представляет собой химическую связь, Х – галоген, предпочтительно хлор или бром и А – арилалкил, аралкил, замещенный в арильной и/или алкильной части, арил, замещенный арил или гетероарил. 23. Способ по п.22, отличающийся тем, что А – незамещенный или замещенный фенилалкил, который может иметь один или более заместителей, предпочтительно алкокси, фенил, фенил, замещенный галогеном, алкилом, алкокси или галоидалкилом или нитрогруппой, нафтил или N-содержащий гетероарил, который может быть конденсирован с бензольным кольцом, предпочтительно пиридил, или S- или O-содержащий гетероарил. 24. Способ по любому из пп.19-21, отличающийся тем, что Z – химическая связь и Х – замещенный гидрокси формулы -OQ, где Q – незамещенный или замещенный линейный или разветвленный алкил, аралкил или аралкил, замещенный в арильной и/или в алкильной части, и А – гетероарил, предпочтительно N-содержащий гетероарил. 25. Способ по любому из пп.1-18, отличающийся тем, что производное гидроксиламина имеет формулу (I’) ![]() в которой R” – алкил или замещенный алкил; А – незамещенный или замещенный арил или гетероарил. 26. Способ по п.25, отличающийся тем, что R” – w-аминоалкил, который может быть замещен по аминогруппе и/или по алкильной цепи, и алкильная цепь предпочтительно содержит от 1 до 5 углеродных атомов. 27. Способ по п. 25 или 26, отличающийся тем, что R” – w-аминоалкил, моно или незамещенный по амину, и заместители амина независимо друг от друга представляют собой один или два линейных или разветвленных алкила или циклоалкила или два заместителя амина, вместе с атомом азота, присоединенным к ним, образуют 3 – 7-членный, предпочтительно 5 – 7-членный, насыщенный гетероцикл, который может содержать дополнительный гетероатом (гетероатомы). 28. Способ по любому из пп.19-21, отличающийся тем, что Z представляет собой химическую связь, Х – NR1R2, где R1 и R2 независимо друг от друга – водород, линейный или разветвленный алкил, замещенный линейный или разветвленный алкил, циклоалкил или R1 и R2 вместе с атомом азота, присоединенный к ним, образуют насыщенное кольцо, содержащее от 3 до 7 атомов, предпочтительно от 5 до 7 атомов, и А – аралкил, аралкил, замещенный в арильной и/или алкильной части, незамещенный или замещенный арил или гетероарил. 29. Способ по п.28, отличающийся тем, что А – фенилалкил, фенилалкил, который может иметь один или более заместителей, предпочтительно алкокси в фенильном кольце, фенил, фенил, замещенный одним или более алкилом, галогеном, алкокси, галоидалкильной, нитро- или ациламиногруппой, нафтил или N-содержащий гетероарил, который может быть конденсирован с бензольным кольцом, предпочтительно пиридин, или S- или O-содержащий гетероарил. 30. Способ по любому из пп.1-18, отличающийся тем, что производное гидроксиламина имеет формулу (I”) ![]() где R” – алкил или замещенный алкил; А – незамещенный или замещенный арил или гетероарил; R1 – водород, незамещенный или замещенный линейный или разветвленный алкил, циклоалкил, аралкил или аралкил, замещенный в алкильной и/или арильной части. 31. Способ по п.30, отличающийся тем, что R” – w-аминоалкил, который может быть замещен по амину и/или по алкилу, и алкильная цепь предпочтительно имеет от 1 до 5 углеродных атомов. 32. Способ по п.30 или 31, отличающийся тем, что R” – w-аминоалкил, моно или дизамещенный по амину, и заместители амина независимо друг от друга представляют собой или два линейных или разветвленных алкила, или циклоалкил или два заместителя амина, вместе с атомом азота, присоединенным к ним, образуют 3 – 7-членный, предпочтительно 5 – 7-членный, насыщенный гетероцикл, который может содержать дополнительный гетероатом (гетероатомы). 33. Способ по п.28, отличающийся тем, что А – фенил, фенил, замещенный одним или более алкилом, галогеном, алкокси, галоидалкильной, нитрогруппой, нафтил или N-содержащий гетероарил, который может быть конденсирован с бензольным кольцом, или S- или O-содержащий гетероарил. 34. Способ по любому из пп.19-21, отличающийся тем, что Z – кислород, X – OQ, где Q – ненасыщенный или насыщенный линейный или разветвленный алкил, предпочтительно С1-4алкил, аралкил, аралкил, замещенный в арильной и/или алкильной части; А – незамещенный или замещенный линейный или разветвленный алкил, аралкил, аралкил, замещенный в арильной и/или алкильной части. 35. Способ по любому из пп.19-21, отличающийся тем, что Z – кислород, Х – -NR1R2, где R1 и R2 независимо друг от друга – водород, незамещенный или замещенный линейный или разветвленный алкил, циклоалкил или замещенный или незамещенный арил, предпочтительно фенил, или R1 и R2 вместе с атомом азота, присоединенным к ним, образуют 3 – 7-членный, предпочтительно 5 – 7-членный, насыщенный цикл, и А – замещенный или незамещенный линейный или разветвленный алкил, незамещенный или замещенный арил, предпочтительно фенил, аралкил, аралкил, замещенный в арильной и/или алкильной части. 36. Способ по любому из пп.14-21, отличающийся тем, что Z – NR3, где R3 – водород, незамещенный или замещенный линейный или разветвленный алкил, незамещенный или замещенный арил или аралкил, замещенный в арильной и/или алкильной части, Х – NR1R2, где R1 и R2 независимо друг от друга – водород, незамещенный или замещенный линейный или разветвленный алкил, циклоалкил, незамещенный или замещенный арил, предпочтительно фенил, или R1 и R2 вместе с атомом азота, присоединенным к ним, образуют 3 – 7-членный, предпочтительно 5 – 7-членный насыщенный цикл, и А – замещенный или незамещенный линейный или разветвленный алкил, незамещенный или замещенный арил, аралкил, аралкил, замещенный в арильной и/или алкильной части. 37. Способ по любому из пп.1-18, отличающийся тем, что производное гидроксиламина имеет формулу (II), в которой R – алкил или замещенный алкил и a) Z представляет собой химическую связь и Х – кислород или b) Z представляет собой химическую связь и Х – NR4, где R4 – водород, или незамещенный или замещенный алкил или циклоалкил, c) Z – кислород и Х – кислород, d) Z – кислород и Х – NR4, где R4 – или незамещенный или замещенный алкил, аралкил, или арил, или гетероарил, e) Z – R3, где R3 – водород или незамещенный или замещенный алкил, арил или аралкил, и Х – кислород, f) Z – NR3, где R3 – водород или незамещенный или замещенный алкил, арил или арилалкил, и X – NR4, где R4 – водород или незамещенный или замещенный алкил, или арилалкил, или циклоалкил. 38. Способ по п.37, отличающийся тем, что R – w-аминоалкил, который необязательно замещен по амину и/или по алкилу, и алкильная цепь предпочтительно имеет от 3 до 8 углеродных атомов, является линейной или разветвленной и может быть замещена гидрокси- или ацилоксигруппой. 39. Способ по п.37 или 38, отличающийся тем, что R – w-аминоалкил, моно или дизамещенный по амину, и заместители амина независимо друг от друга представляют собой один или два линейных или разветвленных алкила или циклоалкила или два заместителя амина вместе с атомом азота, присоединенным к ним, образуют 3 – 7-членный, предпочтительно 5 – 7-членный, насыщенный гетероцикл, который может содержать дополнительный гетероатом (гетероатомы). 40. Способ по любому из пп.37-39, отличающийся тем, что Z – химическая связь, Х – кислород и R’ – Н, незамещенный или замещенный линейный или разветвленный алкил, незамещенный или замещенный арил, аралкил или аралкил, имеющий заместители в арильной и/или алкильной части, и А – незамещенный или замещенный арил, или аралкил, или гетероаркил. 41. Способ по п.40, отличающийся тем, что А – фенил, фенил, замещенный одним или более алкилами, галоидным алкилом или алкокси, аралкил, аралкил, имеющий заместители в арильной и/или алкильной части, или N- или S-содержащий гетероарил. 42. Способ по любому из пп.37-39, отличающийся тем, что Z – химическая связь, Х – NR4, где R4 – водород, незамещенный или замещенный линейный или разветвленный алкил, незамещенный или замещенный арил, предпочтительно фенил, аралкил, аралкил, имеющий заместители в арильной и/или алкильной части, или циклоалкил, и R’ – незамещенный или замещенный линейный или разветвленный алкил, незамещенный или замещенный арил, аралкил или аралкил, замещенный в арильной или алкильной части, и А – аралкил, аралкил, замещенный в арильной и/или алкильной части, незамещенный арил или гетероарил. 43. Способ по п.42, отличающийся тем, что А – фенилалкил, фенилалкил, замещенный одной или более алкоксигруппой в фенильной части, фенил, фенил, замещенный одним или более алкилом, галоидалкилом или нитро, нафтил или N-содержащий гетероарил, предпочтительно пиридил, или S-содержащий гетероарил. 44. Способ по любому из пп.37-39, отличающийся тем, что Z – кислород, Х – кислород и R’ – Н, незамещенный или замещенный линейный или разветвленный алкил, незамещенный или замещенный арил, аралкил или аралкил, замещенный в арильной и/или алкильной части, и А – незамещенный или замещенный линейный или разветвленный алкил, аралкил или аралкил, замещенный в арильной и/или алкильной части. 45. Способ по любому из пп.37-39, отличающийся тем, что Z – кислород и Х – NR4, где R4 – незамещенный или замещенный линейный или разветвленный алкил, аралкил, аралкил, замещенный в арильной и/или алкильной части, незамещенный или замещенный арил, предпочтительно фенил, или незамещенный или замещенный гетероарил и R – незамещенный или замещенный линейный или разветвленный алкил, незамещенный или замещенный арил, аралкил или аралкил, замещенный в арильной и/или алкильной части. 46. Способ по любому из пп.37-39, отличающийся тем, что Z – NR3, R3 – Н, незамещенный или замещенный линейный или разветвленный алкил, незамещенный или замещенный арил, аралкил, аралкил, замещенный в арильной и/или алкильной части, Х – кислород и R’ – Н, незамещенный или замещенный линейный или разветвленный алкил, незамещенный или замещенный арил, аралкил или аралкил, замещенный в арильной и/или алкильной части, или ацил и А – незамещенный или замещенный алкил, аралкил, арил, или гетероарил, или циклоалкил. 47. Способ по п.46, отличающийся тем, что А – незамещенный или замещенный линейный или разветвленный алкил, который содержит предпочтительно от 4 до 12 атомов углерода, циклоалкил, незамещенный или замещенный фенилалкил, фенил, фенил, замещенный одним или более галогеном, алкилом, галогеналкилом, алкокси или нитро или N-содержащая гетероциклическая группа. 48. Способ по любому из пп.37-39, отличающийся тем, что Z – NR3, где R3 – Н, незамещенный или замещенный линейный или разветвленный алкил, незамещенный или замещенный арил, аралкил или аралкил, замещенный в арильной и/или алкильной части, X – NR4, где R4 – Н, незамещенный или замещенный линейный или разветвленный алкил, незамещенный или замещенный арил, предпочтительно фенил, аралкил или аралкил, замещенный в арильной и/или алкильной части, или циклоалкил, предпочтительно Н или алкил, R’ – незамещенный или замещенный линейный или разветвленный алкил, незамещенный или замещенный арил, аралкил, или аралкил, замещенный в арильной и/или алкильной части, и А – незамещенный или замещенный линейный или разветвленный алкил или незамещенный или замещенный арил, предпочтительно фенил или замещенный фенил. 49. Способ повышения активности молекулярного шаперона в аукариотической клетке, которая подвергается физиологическому стрессу, включающий обработку клетки эффективным количеством химического соединения для повышения активности молекулярного шаперона в клетке сверх количества, индуцированного физиологическим стрессом, отличающийся тем, что химическим соединением является производное гидроксиламина формулы (I) или (II), или его соль, и/или его оптически активный стереоизомер, в которой А – алкил, замещенный алкил, аралкил, аралкил, замещенный в арильной и/или алкильной части, арил, замещенный арил, гетероарил или замещенный гетероарил, Z представляет собой ковалентную связь, кислород или =NR3, где R3 выбран из группы, включающей водород, алкил, замещенный алкил, арил, замещенный арил, аралкил и аралкил, замещенный в арильной и/или алкильной части, R – алкил или замещенный алкил, Х в формуле (I) – галоген, или замещенный гидроксил, или аминогруппа, монозамещенная амино или дизамещенная аминогруппа и Х в формуле (II) – кислород, амино или замещенная иминогруппа и R’ – водород, алкил, замещенный алкил, арил, замещенный арил, арилалкил, имеющий заместители в арильной или алкильной части, ацил или замещенная ацильная группа. 50. Способ по п. 49, отличающийся тем, что эукариотическая клетка в состоянии физиологического стресса является клеткой млекопитающего. 51. Способ по п.55, отличающийся тем, что клетка млекопитающего является человеческой. 52. Способ по п. 50 или 51, отличающийся тем, что клетка представляет собой клетку живого организма. 53. Способ по любому из пп.49-52, отличающийся тем, что клетка представляет собой нервную клетку, мышечную клетку, клетку стенки сосуда, особенно эндотелиальную, эпителиальную клетку или клетку иммунной системы. 54. Способ по п.49, отличающийся тем, что эукариотическая клетка, подвергнутая стрессу, является растительной клеткой. 55. Способ по п.54, отличающийся тем, что растительная клетка является клеткой живого растения. 56. Способ по любому из пп.49-53, отличающийся тем, что физиологический стресс является метаболическим, окислительным или локальным механическим стрессом или стрессом, вызванным гипоксией, ишемией, сердечным приступом, радиационными или токсичными материалами. 57. Способ по п.56, отличающийся тем, что стресс вызван сахарным диабетом. 58. Способ по любому из пп.49-53, отличающийся тем, что физиологический стресс приводит к повышению содержания активных свободных радикалов или цитокинов, присутствующих в области окружающей клетку. 59. Способ по любому из пп.49-53, отличающийся тем, что физиологический стресс приводит к появлению сердечно-сосудистых, сосудистых, церебральных, аллергических, иммунных, аутоиммунных заболеваний, заболеваний вирусного и бактериального происхождения, онкологических, кожных и/или слизистых оболочек или эпителиальных заболеваний почечных каналов или состоянию, которое может быть вылечено при косметическом вмешательстве. 60. Способ по п.59, отличающийся тем, что сердечно-сосудистые заболевания вызываются артеросклерозом, коронарными заболеваниями, гипертонией или легочной гипертонией, провоцируемой физиологическим стрессом. 61. Способ по п.59, отличающийся тем, что церебральные заболевания вызываются ишемией сосудов головного мозга, ударом, травматическим ранением головы, старческими нейродегенеративными заболеваниями, особенно старческим слабоумием, СПИД-слабоумием, алкогольным слабоумием, болезнью Алцеймера, болезнью Паркинсона или эпилепсией, провоцируемой физиологическим стрессом. 62. Способ по п.59, отличающийся тем, что кожное и/или заболевание слизистых оболочек вызывается дерматозом или язвенным заболеванием гастроэнтерологической системы, провоцируемыми физиологическим стрессом. 63. Способ по пп.49-62, отличающийся тем, что молекулярный шаперон представляет собой белок теплового шока (hsp). 64. Способ по п.63, отличающийся тем, что hsp представляет собой hsp70 или hsp72. 65. Способ по любому из пп.49-64, отличающийся тем, что производное гидроксиламина имеет формулу (I’) ![]() в которой R” – алкил или замещенный алкил; А – незамещенный или замещенный арил или гетероарил. 66. Способ по п.65, отличающийся тем, что R” – w-аминоалкил, который может быть замещен по аминогруппе и/или по алкильной цепи, и алкильная цепь предпочтительно содержит от 1 до 5 углеродных атомов. 67. Способ по п. 65 или 66, отличающийся тем, что R” – w-аминоалкил, моно или дизамещенный по амину, и заместители амина независимо друг от друга представляют собой один или два линейных или разветвленных алкила или циклоалкил или два заместителя амина вместе с атомом азота, присоединенным к ним, образуют 3 – 7-членный, предпочтительно 5 – 7-членный, насыщенный гетероцикл, который может содержать дополнительный гетероатом (гетероатомы). 68. Способ по любому из пп.49-64, отличающийся тем, что производное гидроксиламина имеет формулу (I”) ![]() в которой R” – алкил или замещенный алкил; А – незамещенный или замещенный арил или гетероарил; R1 – водород, незамещенный или замещенный линейный или разветвленный алкил, циклоалкил, аралкил или аралкил, замещенный в алкильной и/или арильной части. 69. Способ по п.68, отличающийся тем, что R” – w-аминоалкил, который может быть замещен по амину и/или по алкилу, и алкильная цепь предпочтительно имеет от 1 до 5 углеродных атомов. 70. Способ по пп.68-69, отличающийся тем, что R” – w-аминоалкил, моно или дизамещенный по амину, и заместители амина независимо друг от друга представляют собой один иди два линейных или разветвленных алкила или циклоалкил или два заместителя амина вместе с атомом азота, присоединенным к ним, образуют 3 – 7-членный, предпочтительно 5 – 7-членный, насыщенный гетероцикл, который может содержать дополнительный гетероатом (гетероатомы). 71. Способ по любому из пп.49-64, отличающийся тем, что производное гидроксиламина имеет формулу (II), в которой R – алкил или замещенный алкил и a) Z представляет собой химическую связь и Х – кислород или b) Z представляет собой химическую связь и Х – NR4, где R4 – водород, или незамещенный или замещенный алкил, или циклоалкил; c) Z – кислород и Х – кислород; d) Z – кислород и X – NR4, где R4 – или незамещенный или замещенный алкил, аралкил, или арил, или гетероарил; e) Z – R3, где R3 – водород или незамещенный или замещенный алкил, арил или аралкил, и Х – кислород; f) Z – NR3, где R3 – водород или незамещенный или замещенный алкил, арил или арилалкил, и Х – NR4, где R4 – водород или незамещенный или замещенный алкил, или арилалкил, или циклоалкил. 72. Способ по п.71, отличающийся тем, что R – w-аминоалкил, который необязательно замещен по амину и/или по алкилу, и алкильная цепь предпочтительно имеет от 3 до 8 углеродных атомов, является линейной или разветвленной и может быть замещена гидрокси- или ацилоксигруппой. 73. Способ по п.71 или 72, отличающийся тем, что R – w-аминоалкил, моно или дизамещенный по амину, и заместители амина независимо друг от друга представляют собой один или два линейных или разветвленных алкила или циклоалкил или два заместителя амина вместе с атомом азота, присоединенным к ним, образуют 3 – 7-членный, предпочтительно 5 – 7-членный, насыщенный гетероцикл, который может содержать дополнительный гетероатом (гетероатомы). 74. Способ по любому из пп.71-73, отличающийся тем, что Z – химическая связь, Х – кислород и R’ – H, незамещенный или замещенный линейный или разветвленный алкил, незамещенный или замещенный арил, арилкил или аралкил, имеющий заместители в арильной и/или алкильной части, и А – незамещенный или замещенный арил, или аралкил, или гетероаркил. 75. Способ по п.74, отличающийся тем, что А – фенил, фенил, замещенный одним или более алкилами, галоидным алкилом или алкокси, аралкил, аралкил, имеющий заместители в арильной и/или алкильной части, или N- или S-содержащий гетероарил. 76. Способ по любому из пп.71-73, отличающийся тем, что Z – химическая связь, Х – NR4, где R4 – водород, незамещенный или замещенный линейный или разветвленный алкил, незамещенный или замещенный арил, предпочтительно фенил, аралкил, аралкил, имеющий заместители в арильной и/или алкильной части, или циклоалкил, и R’ – незамещенный или замещенный линейный или разветвленный алкил, незамещенный или замещенный арил, аралкил или аралкил, замещенный в арильной или алкильной части, и А – аралкил, аралкил, замещенный в арильной и/или алкильной части, незамещенный или замещенный арил или гетероарил. 77. Способ по п.76, отличающийся тем, что А – фенилалкил, фенилалкил, замещенный одной или более алкоксигруппой в фенильной части, фенил, фенил, замещенный одним или более алкилом, галоидалкилом или нитро, нафтил или N-содержащий гетероарил, предпочтительно пиридил, или S-содержащий гетероарил. 78. Способ по любому из пп.71-73, отличающийся тем, что Z – кислород, Х – кислород и R’ – Н, незамещенный или замещенный линейный или разветвленный алкил, незамещенный или замещенный арил, аралкил или аралкил, замещенный в арильной и/или алкильной части, и А – незамещенный или замещенный линейный или разветвленный алкил, аралкил или аралкил, замещенный в арильной и/или алкильной части. 79. Способ по любому из пп.71-73, отличающийся тем, что Z – кислород и Х – NR4, где R4 – незамещенный или замещенный линейный или разветвленный алкил, аралкил, аралкил, замещенный в арильной и/или алкильной части, незамещенный или замещенный арил, предпочтительно фенил, или незамещенный или замещенный гетероарил, и R’ – незамещенный или замещенный линейный или разветвленный алкил, незамещенный или замещенный арил, аралкил или аралкил, замещенный в арильной и/или алкильной части. 80. Способ по любому из пп.71-73, отличающийся тем, что Z – NR3, где R3 – Н, незамещенный или замещенный линейный или разветвленный алкил, незамещенный или замещенный арил, аралкил, аралкил, замещенный в арильной и/или алкильной части, Х – кислород и R’ – Н, незамещенный или замещенный линейный или разветвленный алкил, незамещенный или замещенный арил, аралкил или аралкил, замещенный в арильной и/или алкильной части, или ацил, А – незамещенный или замещенный алкил, аралкил, арил, или гетероарил, или циклоалкил. 81. Способ по п.80, отличающийся тем, что А – незамещенный или замещенный линейный или разветвленный алкил, который содержит предпочтительно от 4 до 12 атомов углерода, циклоалкил, незамещенный или замещенный фенилалкил, фенил, фенил, замещенный одним или более галогеном, алкилом, галогеналкилом, алкокси, или нитро, или N-содержащая гетероциклическая группа. 82. Способ по любому из пп.71-73, отличающийся тем, что Z – NR3, где R3 – Н, незамещенный или замещенный линейный или разветвленный алкил, незамещенный арил, аралкил или аралкил, замещенный в арильной и/или алкильной части, X – NR4, где R4 – Н, незамещенный или замещенный линейный или разветвленный алкил, незамещенный или замещенный арил, предпочтительно фенил, аралкил или аралкил, замещенный в арильной и/или алкильной части, или циклоалкил, предпочтительно Н, или алкил, R’ – незамещенный или замещенный линейный или разветвленный алкил, незамещенный или замещенный арил, аралкил или аралкил, замещенный в арильной и/или алкильной части, и А – незамещенный или замещенный линейный или разветвленный алкил или незамещенный или замещенный арил, предпочтительно фенил или замещенный фенил. 83. Способ лечения заболеваний, связанных с функцией шаперонной системы, или ассоциируемых с нарушением мембраны клетки или клеточной органеллы, или необязательно предупреждающий их, который заключается в том, что в организм вводят эффективное количество производного гидроксиламина формулы (I) или (II), или его соль, и/или любой их оптически активный стереоизомер, в которой А – алкил, замещенный алкил, аралкил, аралкил, замещенный в арильной и/или алкильной части, арил, замещенный арил, гетероарил или замещенный гетероарил, Z – ковалентная связь, кислород или =NR3, где R3 выбран из группы, включающей водород, алкил, замещенный алкил, арил, замещенный арил, аралкил и аралкил, замещенный в арильной и/или алкильной части, R – алкил или замещенный алкил; Х в формуле (I) – галоген, или замещенный гидроксил, или аминогруппа, монозамещенная амино или дизамемещенная аминогруппа, Х в формуле (II) – кислород, имино или замещенная иминогруппа и R’ – водород, алкил, замещенный алкил, арил, замещенный арил, аралкил, аралкил, имеющий заместители в арильной или алкильной части, ацил или замещенная ацильная группа, и соединения формулы (I) необязательно содержат внутримолекулярные циклические структуры, образованные взаимодействием Х и реакционноспособного заместителя. 84. Способ по п.83, отличающийся тем, что патологическое состояние выбрано из группы, включающей ишемию, новообразования, инфекцию, вызванную патогенными микроорганизмами, аутоиммунные заболевания и дерматозы. 85. Способ по п.83, предназначенный для защиты миокарда, тканей мозга и почек от разрушения ткани и/или некроза, вызванного ишемией. 86. Способ по любому из пп.83-85, отличающийся тем, что организм представляет собой организм человека. 87. Способ по п. 83, отличающийся тем, что производное гидроксиламина имеет формулу (I’) ![]() в которой R” – алкил или замещенный алкил; А – незамещенный или замещенный арил или гетероарил. 88. Способ по п.87, отличающийся тем, что R” – w-аминоалкил, который может быть замещен по аминогруппе и/или по алкильной цепи, и алкильная цепь предпочтительно содержит от 1 до 5 углеродных атомов. 89. Способ по п. 87 или 88, отличающийся тем, что R” – w-аминоалкил, моно или дизамещенный по амину, и заместители амина независимо друг от друга представляют собой один или два линейных или разветвленных алкила или циклоалкил или два заместителя амина вместе с атомом азота, присоединенным к ним, образуют 3 – 7-членный, предпочтительно 5 – 7-членный, насыщенный гетероцикл, который может содержать дополнительный гетероатом (гетероатомы). 90. Способ по п.83, отличающийся тем, что производное гидроксиламина имеет формулу (I”) ![]() в которой R” – алкил или замещенный алкил; А – незамещенный или замещенный арил или гетероарил; R1 – водород, незамещенный или замещенный линейный или разветвленный алкил, циклоалкил, аралкил или аралкил, замещенный в алкильной и/или арильной части. 91. Способ по п.90, отличающийся тем, что R” – w-аминоалкил, который может быть замещен по амину и/или по алкилу, и алкильная цепь предпочтительно имеет от 1 до 5 углеродных атомов. 92. Способ по п.90 или 91, отличающийся тем, что R” – w-аминоалкил, моно или дизамещенный по амину, и заместители амина независимо друг от друга представляют собой один или два линейных или разветвленных алкила или циклоалкил или два заместителя амина вместе с атомом азота, присоединенным к ним, образуют 3 – 7-членный, предпочтительно 5 – 7-членный, насыщенный гетероцикл, который может содержать дополнительный гетероатом (гетероатомы). 93. Способ по п.83, отличающийся тем, что производное гидроксиламина имеет формулу (II), в которой R – алкил или замещенный алкил и a) Z – химическая связь и Х – кислород, или b) Z – химическая связь и Х – NR4, где R4 – водород; или незамещенный или замещенный алкил или циклоалкил, c) Z – кислород и Х – кислород, d) Z – кислород и Х – NR4, где R4 – или незамещенный или замещенный алкил, аралкил, или арил, или гетероарил; e) Z – R3, где R3 – водород или незамещенный или замещенный алкил, арил или аралкил, и Х – кислород, f) Z – NR3, где R3 – водород или незамещенный или замещенный алкил, арил или арилалкил, и Х – NR4, где R4 – водород или незамещенный или замещенный алкил, или арилалкил, или циклоалкил. 94. Способ по п. 93, отличающийся тем, что R – w-аминоалкил, который необязательно замещен по амину и/или по алкилу, и алкильная цепь предпочтительно имеет от 3 до 8 углеродных атомов, является линейной или разветвленной и может быть замещена гидрокси- или ацилоксигруппой. 95. Способ по п.93 или 94, отличающийся тем, что R – w-аминоалкил, моно или дизамещенный по амину, и заместители амина независимо друг от друга представляют собой один или два линейных или разветвленных алкила или циклоалкил или два заместителя амина вместе с атомом азота, присоединенным к ним, образуют 3 – 7-членный, предпочтительно 5 – 7-членный, насыщенный гетероцикл, который может содержать дополнительный гетероатом (гетероатомы). 96. Способ по любому из пп.93-95, отличающийся тем, что Z – химическая связь, Х – кислород и R’ – H, незамещенный или замещенный линейный или разветвленный алкил, незамещенный или замещенный арил, аралкил или аралкил, имеющий заместители в арильной и/или алкильной части, и А – незамещенный или замещенный арил, или аралкил, или гетероаркил. 97. Способ по п.96, отличающийся тем, что А – фенил, фенил, замещенный одним или более алкилами, галоидным алкилом или алкокси, аралкил, аралкил, имеющий заместители в арильной и/или алкильной части, или N- или S-содержащий гетероарил. 98. Способ согласно любому из пп.93-95, отличающийся тем, что Z – химическая связь, Х – NR4, где R4 – водород, незамещенный или замещенный линейный или разветвленный алкил, незамещенный или замещенный арил, предпочтительно фенил, аралкил, аралкил, имеющий заместители в арильной и/или алкильной части, или циклоалкил, R’ – незамещенный или замещенный линейный или разветвленный алкил, незамещенный или замещенный арил, аралкил или аралкил, замещенный в арильной или алкильной части, и А – арилкил, арилкил, замещенный в арильной и/или алкильной части, незамещенный или замещенный арил или гетероарил. 99. Способ по п.98, отличающийся тем, что А – фенилалкил, фенилалкил, замещенный одной или более алкоксигруппой в фенильной части, фенил, фенил, замещенный одним или более алкилом, галоидалкилом или нитро, нафтил, или N-содержащий гетероарил, предпочтительно пиридил, или S-содержащий гетероарил. 100. Способ по любому из пп.93-95, отличающийся тем, что Z – кислород, Х – кислород и R’ – Н, незамещенный или замещенный линейный или разветвленный алкил, незамещенный или замещенный арил, аралкил или арил, замещенный в арильной и/или алкильной части, и А – незамещенный или замещенный линейный или разветвленный алкил, аралкил или аралкил, замещенный в арильной и/или алкильной части. 101. Способ по любому из пп.93-95, отличающийся тем, что Z – кислород и X – NR4, где R4 – незамещенный или замещенный линейный или разветвленный алкил, аралкил, аралкил, замещенный в арильной и/или алкильной части, незамещенный или замещенный арил, предпочтительно фенил, или незамещенный или замещенный гетероарил, и R – незамещенный или замещенный линейный или разветвленный алкил, незамещенный или замещенный арил, аралкил или аралкил, замещенный в арильной и/или алкильной части. 102. Способ по любому из пп.93-95, отличающийся тем, что Z – NR3, R3 – Н, незамещенный или замещенный линейный или разветвленный алкил, незамещенный или замещенный арил, аралкил, или аралкил, замещенный в арильной и/или алкильной части; Х – кислород, R’ – Н, незамещенный или замещенный линейный или разветвленный алкил, незамещенный или замещенный арил, аралкил или аралкил, замещенный в арильной и/или алкильной части, или ацил и А – незамещенный или замещенный алкил, аралкил, арил, или гетероарил, или циклоалкил. 103. Способ по п.102, отличающийся тем, что А – незамещенный или замещенный линейный или разветвленный алкил, который содержит предпочтительно от 4 до 12 атомов углерода, циклоалкил, незамещенный или замещенный фенилалкил, фенил, фенил, замещенный одним или более галогеном, алкилом, галогеналкилом, алкокси или нитро или N-содержащая гетероциклическая группа. 104. Способ по любому из пп.93-95, отличающийся тем, что Z – NR3, где R3 – Н, незамещенный или замещенный линейный или разветвленный алкил, незамещенный или замещенный арил, аралкил или аралкил, замещенный в арильной и/или алкильной части, X – NR4, R4 – Н, незамещенный или замещенный линейный или разветвленный алкил, незамещенный или замещенный арил, предпочтительно фенил, аралкил, или аралкил, замещенный в арильной и/или алкильной части, или циклоалкил, предпочтительно Н или алкил, R’ – незамещенный или замещенный линейный или разветвленный алкил, незамещенный или замещенный арил, аралкил или аралкил, замещенный в арильной и/или алкильной части; А – незамещенный или замещенный линейный или разветвленный алкил или незамещенный или замещенный арил, предпочтительно фенил или замещенный фенил. 105. Способ приготовления фармацевтических композиций для лечения мозговых, аллергических, иммунных, аутоиммунных заболеваний, заболеваний, вызванных вирусной или бактериальной инфекцией, кожных и/или заболеваний слизистых оболочек, а также эпителиальных заболеваний почечных каналов, заключающийся в том, что в состав композиции вводят производное гидроксиламина формулы (I) или (II), или его соль, и/или его оптически активный стереоизомер, где А – алкил, замещенный алкил, аралкил, аралкил, замещенный в арильной и/или алкильной части, арил, замещенный арил, гетероарил или замещенный гетероарил, Z представляет собой ковалентную связь, кислород или =NR3, где R3 выбран из группы, включающей водород, алкил, замещенный алкил, арил, замещенный арил, арилалкил и арилалкил, замещенный в арильной и/или алкильной части, R – алкил или замещенный алкил; Х в формуле (I) – галоген, или замещенный гидроксил, или аминогруппа, монозамещенная амино или дизамещенная аминогруппа, Х в формуле (II) – кислород, имино или замещенная иминогруппа, R’ – водород, алкил, замещенный алкил, арил, замещенный арил, аралкил, аралкил, имеющий заместители в арильной или алкильной части, ацил или замещенная ацильная группа, и соединения формулы (I) необязательно содержит внутримолекулярные циклические структуры, образованные взаимодействием Х и реакционноспособного заместителя. 106. Способ по п.105, отличающийся тем, что применяют гидроксиламины формулы (I), в которой R – алкил или замещенный алкил и (a) Z – ковалентная связь и Х – галоген, (b) Z – ковалентная связь и Х – замещенная гидроксигруппа OQ, где Q – углеводород, и необязательно соединение имеет внутримолекулярный цикл, образованный взаимодействие Х и реакционноспособного заместителя в R, (c) Z – ковалентная связь и X – NR1R2, где R1 и R2 независимо друг от друга – водород, линейный или разветвленный алкил, замещенный линейный или разветвленный алкил, циклоалкил или R1 и R2 вместе с атомом азота, присоединенным к ним, образуют насыщенное кольцо, содержащее от 3 до 7 атомов, и необязательно соединение имеет внутримолекулярный цикл, образованный взаимодействием Х и реакционноспособного заместителя в R, (d) Z – кислород и Х – замещенная гидроксильная группа OQ, где Q – углеводородный заместитель, (e) Z – кислород и X – NR1R2, где R1 и R2 независимо друг от друга – водород, линейный или разветвленный алкил, замещенный линейный или разветвленный алкил, циклоалкил или R1 и R2 вместе с атомом азота, присоединенным к ним, образуют насыщенное кольцо, содержащее от 3 до 7 атомов, (f) Z – NR3, где R3 – водород, алкил, замещенный алкил, арил, замещенный арил, аралкил или аралкил, содержащий замещенную арильную или замещенную алкильную часть, и X – NR1R2, где R1 и R2 независимо друг от друга – водород, линейный или разветвленный алкил, замещенный линейный или разветвленный алкил, циклоалкил или R1 и R2 вместе с атомом азота, присоединенным к ним, образуют насыщенное кольцо, содержащее от 3 до 7 атомов. 107. Способ по п.106, отличающийся тем, что R – w-аминоалкил, необязательно замещенный по амино и/или алкильной группе, при этом алкильная цепь содержит предпочтительно от 3 до 8 атомов углерода, является линейной или разветвленной и может быть замещена гидрокси- или ацилоксигруппой. 108. Способ по п.106 или 107, отличающийся тем, что R – w-аминоалкил, моно- или дизамещенный по амину, и заместитель амина независимо друг от друга представляет собой один или два линейных или разветвленных алкила или циклоалкил или два заместителя амина вместе с атомом азота, присоединенным к ним, образуют 3 – 7-членный, предпочтительно 5 – 7-членный, насыщенный гетероцикл, который может содержать дополнительный гетероатом (гетероатомы). 109. Способ по любому из пп.106-108, отличающийся тем, что Z представляет собой химическую связь, Х – галоген, предпочтительно хлор или бром, и А – аралкил, аралкил, замещенный в арильной и/или алкильной части, арил, замещенный арил или гетероарил. 110. Способ по п.109, отличающийся тем, что А – незамещенный или замещенный фенилалкил, который может иметь один или более заместителей, предпочтительно алкокси, фенил, фенил, замещенный галогеном, алкилом, алкокси, или галоидалкилом, или нитрогруппой, нафтил или N-содержащий гетероарил, который может быть конденсирован с бензольным кольцом, предпочтительно пиридил, или S- или O-содержащий гетероарил. 111. Способ по любому из пп.106-108, отличающийся тем, что Z – химическая связь и Х – замещенный гидрокси формулы -OQ, где Q – незамещенный или замещенный линейный или разветвленный алкил, аралкил или аралкил, замещенный в арильной и/или в алкильной части, и А является гетероарилом, предпочтительно N-содержащим гетероарилом. 112. Способ по п.105, отличающийся тем, что производное гидроксиламина имеет формулу (I’) ![]() в которой R” – алкил или замещенный алкил; А – незамещенный или замещенный арил или гетероарил. 113. Способ по п.112, отличающийся тем, что R” – w-аминоалкил, который может быть замещен по аминогруппе и/или по алкильной цепи, и алкильная цепь предпочтительно содержит от 1 до 5 углеродных атомов. 114. Способ по п.112 или 113, отличающийся тем, что R” – w-аминоалкил, моно- или дизамещенный по амину, и заместители амина независимо друг от друга представляют собой один или два линейных или разветвленных алкила или циклоалкил или два заместителя амина вместе с атомом азота, присоединенным к ним, образуют 3 – 7-членный, предпочтительно 5 – 7-членный, насыщенный гетероцикл, который может содержать дополнительный гетероатом (гетероатомы). 115. Способ по любому из пп.106-108, отличающийся тем, что Z представляет собой химическую связь, X – NR1R2, где R1 и R2 независимо друг от друга – водород, линейный или разветвленный алкил, замещенный линейный или разветвленный алкил, циклоалкил или R1 и R2 вместе с атомом азота, присоединенным к ним, образуют насыщенное кольцо, содержащее от 3 до 7 атомов, предпочтительно от 5 до 7 атомов, и А – аралкил, аралкил, замещенный в арильной и/или алкильной части, незамещенный или замещенный арил или гетероарил. 116. Способ по п.115, отличающийся тем, что А – фенилалкил, фенилалкил, который может иметь один или более заместителей, предпочтительно алкокси в фенильном кольце, фенил, фенил, замещенный одним или более алкилом, галогеном, алкокси, галоидальной, нитро- или ациламиногруппой, нафтил или N-содержащий гетероарил, который может быть конденсирован с бензольным кольцом, предпочтительно пиридин, или O-содержащий гетероарил. 117. Способ по п.105, отличающийся тем, что производное гидроксиламина имеет формулу (I”) ![]() в которой R” – алкил или замещенный алкил; А – незамещенный или замещенный арил или гетероарил; R1 – водород, незамещенный или замещенный линейный или разветвленный алкил, циклоалкил, аралкил или аралкил, замещенный в алкильной и/или арильной части. 118. Способ по п.117, отличающийся тем, что R” – w-аминоалкил, который может быть замещен по амину и/или по алкилу, и алкильная цепь предпочтительно имеет от 1 до 5 углеродных атомов. 119. Способ по п.117 или 118, отличающийся тем, что R” – w-аминоалкил, моно- или дизамещенный по амину, и заместители амина независимо друг от друга представляют собой один или два линейных или разветвленных алкила или циклоалкил или два заместителя амина вместе с атомом азота, присоединенным к ним образуют 3 – 7-членный, предпочтительно 5 – 7-членный, насыщенный гетероцикл, который может содержать дополнительный гетероатом (гетероатомы). 120. Способ по п.115, отличающийся тем, что А – фенил, фенил, замещенный одним или более алкилом, галогеном, алкокси, галоидалкильной, нитрогруппой, нафтил или N-содержащий гетероарил, который может быть конденсирован с бензольным кольцом, или S- или O-содержащий гетероарил. 121. Способ по любому из пп.106-108, отличающийся тем, что Z – кислород, Х – OQ, где Q – ненасыщенный или насыщенный линейный или разветвленный алкил, предпочтительно С1-4алкил, аралкил, аралкил, замещенный в арильной и/или алкильной части, А – незамещенный или замещенный линейный или разветвленный алкил, аралкил, аралкил замещенный в арильной и/или алкильной части. 122. Способ по любому из пп.106-108, отличающийся тем, что Z – кислород, Х – -NR2R2, где R1 и R2 независимо друг от друга – водород, незамещенный или замещенный линейный или разветвленный алкил, циклоалкил или замещенный или незамещенный арил, предпочтительно фенил, R1 и R2 вместе с атомом, присоединенным к ним, образуют 3 – 7-членный, предпочтительно 5 – 7-членный, насыщенный цикл, А – замещенный или незамещенный линейный или разветвленный алкил, незамещенный или замещенный арил, предпочтительно фенил, аралкил, аралкил, замещенный в арильной и/или алкильной части. 123. Способ по любому из пп.106-108, отличающийся тем, что Z – NR3, где R3 – водород, незамещенный или замещенный линейный или разветвленный алкил, незамещенный или замещенный арил или аралкил, замещенный в арильной и/или алкильной части, X – NR1R2, где R1 и R2 независимо друг от друга – водород, незамещенный или замещенный линейный или разветвленный алкил, циклоалкил, незамещенный или замещенный арил, предпочтительно фенил, или R1 и R2 вместе с атомом азота присоединенным к ним, образуют 3 – 7-членный, предпочтительно 5 – 7-членный, насыщенный цикл, и А – замещенный или незамещенный линейный или разветвленный алкил, незамещенный или замещенный арил, аралкил, аралкил, замещенный в арильной и/или алкильной части. 124. Способ по п.105, отличающийся тем, что производное гидроксиламина имеет формулу (II), в которой R – алкил или замещенный алкил, a) Z представляет собой химическую связь и Х – кислород или b) Z представляет собой химическую связь и Х – NR4, где R4 – водород, или незамещенный или замещенный алкил, или циклоалкил, c) Z – кислород и Х – кислород, d) Z – кислород и Х – NR4, где R4 – или незамещенный или замещенный алкил, аралкил, или арил, или гетероарил, e) Z – R3, где R3 – водород или незамещенный или замещенный алкил, арил или аралкил, и Х – кислород, f) Z – NR3, где R3 – водород или незамещенный или замещенный алкил, арил или арилалкил, и Х – NR4, где R4 – водород или незамещенный или замещенный алкил, или арилалкил, или циклоалкил. 125. Способ по п.124, отличающийся тем, что R – w-аминоалкил, который необязательно замещен по амину и/или по алкилу, и алкильная цепь предпочтительно имеет 3 – 8 углеродных атомов, является линейной или разветвленной и может быть замещена гидрокси- или ацилоксигруппой. 126. Способ по п.123 или 124, отличающийся тем, что R – w-аминоалкил, моно- или дизамещенный по амину, и заместители амина независимо друг от друга представляют собой один или два линейных или разветвленных алкила или циклоалкил или два заместителя амина вместе с атомом азота, присоединенным к ним, образуют 3 – 7-членный, предпочтительно 5 – 7-членный, насыщенный гетероцикл, который может содержать дополнительный гетероатом (гетероатомы). 127. Способ по любому из пп.124-126, отличающийся тем, что Z – химическая связь, Х – кислород и R’ – H, незамещенный или замещенный линейный или разветвленный алкил, незамещенный или замещенный арил, аралкил или аралкил, имеющий заместители в арильной и/или алкильной части, и А – незамещенный или замещенный арил, или аралкил, или гетероаркил. 128. Способ по п.127, отличающийся тем, что А – фенил, фенил, замещенный одним или более алкилами, галоидным алкилом или алкокси, аралкил, аралкил, имеющий заместители в арильной и/или алкильной части, или N- или S-содержащий гетероарил. 129. Способ по любому из пп.124-126, отличающийся тем, что Z – химическая связь, Х – NR4, где R4 – водород, незамещенный или замещенный линейный или разветвленный алкил, незамещенный или замещенный арил, предпочтительно фенил, аралкил, аралкил, имеющий заместители в арильной и/или алкильной части, или циклоалкил, R’ – незамещенный или замещенный линейный или разветвленный алкил, незамещенный или замещенный арил, аралкил или аралкил, замещенный в арильной или алкильной части, и А – представляет собой аралкил, аралкил, замещенный в арильной и/или алкильной части, незамещенный или замещенный арил или гетероарил. 130. Способ по п.129, отличающийся тем, что А – фенилалкил, фенилалкил, замещенный одной или более алкоксигруппой в фенильной части, фенил, фенил, замещенный одним или более алкилом, галоидалкилом или нитро, нафтил или N-содержащий гетероарил, предпочтительно пиридил, или S-содержащий гетероарил. 131. Способ по любому из пп.124-126, отличающийся тем, что Z – кислород, Х – кислород, R – Н, незамещенный или замещенный линейный или разветвленный алкил, незамещенный или замещенный арил, аралкил или аралкил, замещенный в арильной и/или алкильной части, и А – незамещенный или замещенный линейный или разветвленный алкил, аралкил или аралкил, замещенный в арильной и/или алкильной части. 132. Способ по любому из пп.124-126, отличающийся тем, что Z – кислород и X – NR4, где R4 – незамещенный или замещенный линейный или разветвленный алкил, аралкил, аралкил, замещенный в арильной и/или алкильной части, незамещенный или замещенный арил, предпочтительно фенил, или незамещенный или замещенный гетероарил, и R – незамещенный или замещенный линейный или разветвленный алкил, незамещенный или замещенный арил, аралкил или аралкил, замещенный в арильной и/или алкильной части. 133. Способ по любому из пп.124-126, отличающийся тем, что Z – NR3, R3 – Н, незамещенный или замещенный линейный или разветвленный алкил, незамещенный или замещенный арил, аралкил, аралкил, замещенный в арильной и/или алкильной части; Х – кислород, R – Н, незамещенный или замещенный линейный или разветвленный алкил, незамещенный или замещенный арил, аралкил или аралкил, замещенный в арильной и/или алкильной части, или ацил и А – незамещенный или замещенный алкил, аралкил, арил, или гетероарил, или циклоалкил. 134. Способ по п.133, отличающийся тем, что А – незамещенный или замещенный линейный или разветвленный алкил, который содержит предпочтительно от 4 до 12 атомов углерода, циклоалкил, незамещенный или замещенный фенилалкил, фенил, фенил, замещенный одним или более галогеном, алкилом, галогеналкилом, алкокси или нитро или N-содержащая гетероциклическая группа. 135. Способ по любому из пп.124-126, отличающийся тем, что Z – NR3, где R3 – Н, незамещенный или замещенный линейный или разветвленный алкил, незамещенный или замещенный арил, аралкил или аралкил, замещенный в арильной и/или алкильной части, Х – NR4, R4 – Н, незамещенный или замещенный линейный или разветвленный алкил, незамещенный или замещенный арил, предпочтительно фенил, аралкил или аралкил, замещенный в арильной и/или алкильной части, или циклоалкил, предпочтительно Н или алкил, R’ – незамещенный или замещенный линейный или разветвленный алкил, незамещенный или замещенный арил, аралкил, или аралкил, замещенный в арильной и/или алкильной части, и А – незамещенный или замещенный линейный или разветвленный алкил или незамещенный или замещенный арил, предпочтительно фенил или замещенный фенил. 136. Производное гидроксиламина формулы (I) ![]() в которой а) X – галоген, предпочтительно хлор или бром, Z – химическая связь; a1) А группа формулы ![]() где Y’ – галоген, алкокси, галогеналкил или нитро и n = 1, 2, или 3, или О-содержащий гетероарил, предпочтительно фурил, S-содержащий гетероарил, предпочтительно тиенил, или N-содержащая гетероароматическая группа, которая может быть конденсирована с бензольным кольцом, или NС1-4 алкильное четвертичное производное или его N-оксид, предпочтительно пиридил, хинолил или изохинолил; R – группа формулы ![]() где R5 и R6 независимо друг от друга являются Н, линейным или разветвленным алкилом, предпочтительно С1-4 алкилом или циклоалкилом, или R5 и R6, взятые вместе с атомом азота, присоединенным к ним, образуют 3 – 7-членное, предпочтительно 5 – 7-членное, насыщенное гетероциклическое кольцо; Y6 – OR7, где R7 – Н, или ацил, предпочтительно незамещенный или замещенный алкилкарбонил, арилкарбонил или аминоацил, k = 1, 2 или 3; m = 1, 2 или 3, или NC1-4 алкильное четвертичное производное или его N-оксид при условии, что когда А – пиридил или нафтил, или группа формулы (а) ![]() где Y1 – галоген или алкокси, R7 не является водородом, или а2) А является группой формулы ![]() R – группой формулы ![]() и необязательные заместители Y2 и Y3, один из которых должен присутствовать в молекуле, являются кислородом или С1-4 алкилом, k = 1, 2 или 3, m = 1, 2 или 3, и когда соединение является моно- или бивалентным катионом, анион представляет собой один или два иона галогена, предпочтительно иодид, или b) X – NR1R2, где R1 и R2 независимо друг от друга являются Н, незамещенным или замещенным линейным или разветвленным алкилом, незамещенным или замещенным арилом, предпочтительно фенилом, незамещенным или замещенным, или R1 и R2, взятые вместе с атомом азота, присоединенным к ним, образуют 3 – 7-членное, предпочтительно 5 – 7-членное, насыщенное гетероциклическое кольцо, которое может иметь один или более дополнительный гетероатом (гетероатомы), А – незамещенный или замещенный алкил, незамещенный или замещенный арил, предпочтительно фенил, или незамещенный или замещенный аралкил, Z – кислород или =NR3, где R3 – Н или незамещенный или замещенный алкил, и R является группой формулы ![]() где R5 и R6 независимо друг от друга являются Н, линейным или разветвленным алкилом, предпочтительно С1-4 алкилом или циклоалкилом, или R5 и R6, взятые вместе с атомом азота, присоединенным к ним, образуют 3 – 7-членное, предпочтительно, 5 – 7-членое, насыщенное гетероциклическое кольцо; Y6 – водород или OR7, где R7 – водород или ацил, предпочтительно незамещенный или замещенный алкилкарбонил или арилкарбонил; k = 1, 2 или 3; m = 1, 2 или 3, или с) X – OQ, где Q – незамещенный или замещенный алкил или аралкил, А – незамещенный или замещенный алкил или аралкил, Z – кислород и R – группа формулы ![]() где R5 и R6 независимо друг от друга – Н, линейный или разветвленный алкил, предпочтительно С1-4 алкил или циклоалкил, или R5 и R6, взятые вместе с атомом азота, присоединенным к ним, образуют 3 – 7-членное, предпочтительно 5 – 7-членное, насыщенное гетероциклическое кольцо; Y6 – водород или OR7, где R7 – Н или ацил, предпочтительно незамещенный или замещенный алкилкарбонил или арилкарбонил; k = 1, 2 или 3, m = 1, 2 или 3, или d) А – незамещенный или замещенный арил, предпочтительно фенил, или N-содержащая гетероароматическая группа, предпочтительно пиридил, или S-содержащая гетероароматическая группа; Z – химическая связь; X – ОQ, где Q – С1-4 алкил, и R является группой формулы ![]() где R5 и R6 независимо друг от друга являются Н, линейным или разветвленным алкилом, предпочтительно С1-4 алкилом или циклоалкилом, или R5 и R6, взятые вместе с атомом азота, присоединенным к ним, образуют 3 – 7-членное, предпочтительно 5 – 7-членное, насыщенное гетероциклическое кольцо; Y6 – Н; k = 1, 2 или 3; m = 1, 2 или 3. 137. Производное гидроксиламина по п.136, где А – группа формулы ![]() где Y1 является С1-4 галоидалкилом, предпочтительно трифторметилом. 138. Оптически активный стереоизомер производного гидроксиламина по п. 136, где Х – галоген, Z – химическая связь, и R – группа формулы ![]() в которой R5 и R6 независимо друг от друга являются Н, линейным или разветвленным алкилом, предпочтительно С1-4 алкилом или циклоалкилом, или R5 и R6, взятые вместе с атомом азота, присоединенным к ним, образуют 3 – 7-членное, предпочтительно 5 – 7-членное, насыщенное гетероциклическое кольцо; Y6 – OR7, где R7 является аминоацилом; k = 1, 2 или 3; m = 1, 2 или 3. 139. Производное гидроксиламина формулы (I) ![]() в которой Х – NR1R2, где R1 и R2 независимо друг от друга – Н, незамещенный или замещенный линейный или разветвленный алкил, предпочтительно С1-6 алкил или циклоалкил, или R1 и R2, взятые вместе с атомом азота, присоединенным к ним, образуют 3 – 7-членное гетерокольцо; А – незамещенный или замещенный аралкил, предпочтительно фенилалкил, замещенный одним или более предпочтительно С1-4 алкокси, фенил, фенил, замещенный одним или более галогеном, алкилом или галоидалкилом, предпочтительно С1-4 алкил или галоидалкил, или ациламино, или нитро, или незамещенная или замещенная N-содержащая гетероароматическая группа, которая может быть конденсирована с бензольным кольцом, предпочтительно пирролил, пиридил, изохинолил или хинолил, или S-содержащая гетероарильная группа, предпочтительно тиенил, в которой гетероатом может иметь один или более алкильных заместителей (заместитель), предпочтительно С1-4 алкил; Z является химической связью; R является группой формулы ![]() в которой R5 и R6 независимо друг от друга являются Н, линейным или разветвленным алкилом, предпочтительно С1-4 алкилом или циклоалкилом, или R5 и R6, взятые вместе с атомом азота, присоединенным к ним, образуют 3 – 7-членное, предпочтительно 5 – 7-членное, насыщенное гетероциклическое кольцо, которое может иметь дополнительный гетероатом или гетероатомы и необязательно заместитель или заместители, предпочтительно С1-4 алкил; Y4 – Н, незамещенный или замещенный С1-4 алкил; Y5 – Н, незамещенный или замещенный С1-4 алкил или OR7, где R7 – Н или ацил; k = 1, 2 или 3; m = 1, 2 или 3, при условии, что когда А является фенилом, фенилом, замещенным галогеном, или алкокси, или фенилалкилом, замещенным алкокси или пиридильной группой и R7 – Н, по крайней мере один из R1 и R2 не является Н, и когда А является фенилом, фенилом, замещенным галогеном, или алкокси или фенилалкилом, замещенным алкокси, или пиридильной группой и R1 и R2 каждый является Н, R7 не является Н. 140. Производные гидроксиламина формулы (II) ![]() в которой а) X – кислород; А – С1-20 линейный или разветвленный алкил, незамещенный или замещенный арил, предпочтительно фенил или галоидфенил, незамещенный или замещенный аралкил, нафтил или N-cодержащая гетероароматическая группа, предпочтительно пиридил; Z – химическая связь; R’ является Н, С1-4 алкилом или аралкилом, предпочтительно фенилалакилом; R – группа формулы ![]() в которой R5 и R6 независимо друг от друга являются Н, линейным или разветвленным алкилом, предпочтительно С1-4 алкилом или циклоалкилом, или R5 и R6, взятые вместе с атомом азота, присоединенным к ним, образуют 3 – 7-членное, предпочтительно 5 – 7-членное, насыщенное гетероциклическое кольцо; Y6 – Н или OR7, где R7 – Н; k = 1, 2 или 3; m = 1, 2 или 3, при условии, что когда А не является алкилом и R’ – Н, Y6 – H, или b) X – NR4, где R4 является Н, незамещенным или замещенным алкилом, незамещенным или замещенным арилом, предпочтительно фенилом, или незамещенным или замещенным аралкилом, предпочтительно фенилалкилом, А – незамещенный или замещенный арил, предпочтительно фенил или замещенный фенил, или незамещенный или замещенный аралкил, предпочтительно фенилалкил, или циклоалкил, Z является химической связью, кислородом или =NR3, где R3 – Н или незамещенный или замещенный алкил, R’ является незамещенным или замещенным алкилом или незамещенным или замещенным арилом, предпочтительно фенилом, или незамещенным или замещенным аралкилом, предпочтительно фенилалкилом, и R является группой формулы ![]() в которой R5 и R6 независимо друг от друга являются Н, линейным или разветвленным алкилом, предпочтительно С1-4 алкилом или циклоалкилом, или R5 и R6, взятые вместе с атомом азота, присоединенным к ним, образуют 3 – 7-членное, предпочтительно 5 – 7-членное, насыщенное гетероциклическое кольцо; Y6 – Н или OR7, где R7 – Н или ацил, предпочтительно незамещенный или замещенный алкилкарбонил или арилкарбонил, k = 1, 2 или 3, m = 1, 2 или 3, или с) X – кислород, А – незамещенный или замещенный алкил, незамещенный или замещенный аралкил, предпочтительно фенилалкил; Z – кислород; R’ – алкил или аралкил, предпочтительно фенилалкил; R – группа формулы ![]() в которой R5 и R6 независимо друг от друга – Н, линейный или разветвленный алкил, предпочтительно С1-4 алкил или циклоалкил, или R5 и R6, взятые вместе с атомом азота, присоединенным к ним, образуют 3 – 7-членное, предпочтительно 5 – 7-членное насыщенное гетероциклическое кольцо; Y6 – Н или OR7, где R7 – Н или ацил, предпочтительно незамещенный или замещенный алкилкарбонил или арилкарбонил, k = 1, 2 или 3, m = 1, 2 или 3, или d) X – кислород, Z – NH; d1) А – незамещенный или замещенный алкил, циклоалкил, незамещенный или замещенный аралкил, предпочтительно фенилалкил, фенил или фенил, замещенный галогеном, алкилом, галоид алкилом, алкокси или нитро, R’ – алкил или аралкил, предпочтительно фенилалкил и R – группа формулы ![]() в которой R5 и R6 независимо друг от друга являются Н, линейным или разветвленным алкилом, предпочтительно С1-4 алкилом или циклоалкилом, или R5 и R6, взятые вместе с атомом азота, присоединенным к ним, образуют 3 – 7-членное, предпочтительно 5 – 7-членное, насыщенное гетероциклическое кольцо; Y6 – Н или ОН; k = 1, 2 или 3; m = 1, 2 или 3. 141. Производное гидроксиламина формулы (I”) ![]() в которой А – фенил или фенил, замещенный галогеном или нитро, или N-содержащая гетероарильная группа, предпочтительно пиридил; R1 – Н; R” – w-аминоалкил, который необязательно моно- или дизамещен по аминогруппе, при этом алкильная цепочка предпочтительно содержит от 1 до 5 атомов углерода и заместители аминогруппы независимо друг от друга могут быть одним или двумя линейными или разветвленными алкилами или циклоалкилами или два заместителя аминогруппы, взятые вместе с атомом азота, присоединенным к ним, образуют 3 – 7-членное, предпочтительно 5 – 7-членное гетероциклическое кольцо, или N-C1-4 алкильное четвертичное производное, или его N-оксид, при условии, что когда А – 3-пиридил, R” не является 1-пиперидинилметилом. 142. Фармацевтическая композиция для лечения сердечно-сосудистых, сосудистых, церебральных, аллергических, иммунных, аутоиммунных заболеваний, заболеваний вирусного и бактериального происхождения, онкологических, кожных и заболеваний слизистых оболочек, содержащая 0,5 – 99,5 вес.% производного гидроксиламина по п.136 и фармацевтически приемлемые носители и добавки. 143. Фармацевтическая композиция для лечения сердечно-сосудистых, сосудистых, церебральных, аллергических, иммунных, аутоиммунных заболеваний, заболеваний вирусного и бактериального происхождения, онкологических, кожных и заболеваний слизистых оболочек, содержащая 0,5 – 99,5 вес.% производного гидроксиламина по п. 139 и фармацевтически приемлемые носители и добавки. 144. Фармацевтическая композиция для лечения сердечно-сосудистых, сосудистых, церебральных, аллергических, иммунных, аутоиммунных заболеваний, заболеваний вирусного и бактериального происхождения, онкологических, кожных и заболеваний слизистых оболочек, содержащая 0,5 – 99,5 вес.% производного гидроксиламина по п.140 и фармацевтически приемлемые носители и добавки. 145. Фармацевтическая композиция для лечения сердечно-сосудистых, сосудистых, церебральных, аллергических, иммунных, аутоиммунных заболеваний, заболеваний вирусного и бактериального происхождения, онкологических, кожных и заболеваний слизистых оболочек, содержащая 0,5 – 99,5 вес.% производного гидроксиламина по п.141 и фармацевтически приемлемые носители и добавки. Приоритет по пунктам: 02.11.1995 по пп.1, 4-6, 12, 17-52, 58, 63-104, 137 и 138; 04.10.1996 по пп.3, 7-11, 13-16, 53-37, 59-62, 105-136, 139-145. РИСУНКИ
PD4A – Изменение наименования обладателя патента СССР или патента Российской Федерации на изобретение
(73) Новое наименование патентообладателя:
Адрес для переписки:
Извещение опубликовано: 27.10.2007 БИ: 30/2007
|
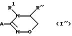
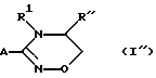
||||||||||||||||||||||||||






























