Патент на изобретение №2205831
|
||||||||||||||||||||||||||
(54) ХИНАЗОЛИНОНЫ, ИНГИБИРУЮЩИЕ ФАРНЕЗИЛТРАНСФЕРАЗУ
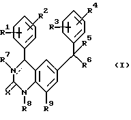
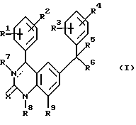
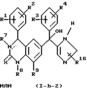
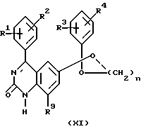
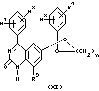
(57) Реферат: Предложены производные хиназолинона общей формулы (I) и их фармацевтически приемлемые кислотно-аддитивные соли и стереохимические изомерные формы, где пунктирная линия является необязательной связью; Х является кислородом; R1 и R2 каждый независимо являются водородом или галогеном; R3 и R4 каждый независимо являются водородом или галогеном; R5 является водородом, галогеном или радикалом формулы -O-R10 (а-1) или -N-R11R12 (а-3), где R10, R11 и R12 являются водородом; R6 является радикалом формулы (b-1) или (b-2), где R16 является водородом или фенилом; R17 является водородом или C1-6алкилом; R7 является водородом или C1-6алкилом, при условии что пунктирная линия не является связью; R8 является водородом, C1-6алкилом или Het1CH2; R9 является водородом; Het1 является пиридинилом. Соединения общей формулы (I) обладают ингибирующей фарнезилтрансферазу активностью и могут быть использованы для получения лекарственных средств, ингибирующих пролиферативные заболевания. Объектами изобретения также являются фармацевтическая композиция, обладающая ингибирующей фарнезилтрансферазу активностью, на основе соединений общей формулы (I); способ получения этой композиции; промежуточные производные хиназолинона общей формулы (IX) и их кислотно-аддитивные соли или стереохимические изомерные формы, в которой n равно 2 или 3 и R1, R2, R3, R4 и R9 имеют значения, определенные выше; способ получения представителей соединений общей формулы (I), где R6 является радикалом формулы (b-2), и способ получения промежуточных производных хиназолинона общей формулы (XI) и их кислотно-аддитивных солей или стереохимических изомерных форм. 6 с. и 4 з.п.ф-лы, 4 табл. ![]() ![]() ![]()
Текст описания в факсимильном виде (см. графическую часть). Та Формула изобретения
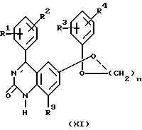
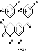
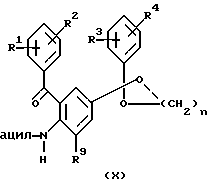
![]() и их фармацевтически приемлемые кислотно-аддитивные соли и стереохимические изомерные формы, где пунктирная линия является необязательной связью; Х является кислородом; R1 и R2 каждый независимо является водородом или галогеном; R3 и R4 каждый независимо является водородом или галогеном; R5 является водородом, галогеном или радикалом формулы -O-R10 (а-1); -N-R11R12 (а-3), где R10, R11 и R12 являются водородом; R6 является радикалом формулы ![]() ![]() где R16 является водородом или фенилом; R17 является водородом или C1-С6алкилом; R7 является водородом или C1-С6алкилом, при условии, что пунктирная линия не является связью; R8 является водородом, C1-С6алкилом или Het1CH2; R9 является водородом; Het1 является пиридинилом. 2. Соединение по п.1, в котором R1 и R2 каждый независимо выбирают из водорода, галогена; R3 и R4 каждый независимо выбирают из водорода, галогена; R5 является водородом, гидрокси, галогеном или амино; R6 является радикалом формулы (b-1) или (b-2), где R16 является водородом и R17 является С1-С4алкилом; R7 является водородом или С1-С4алкилом, если пунктирная линия не является связью; R является водородом, С1-С4алкилом или Het1СН2; R9 является водородом. 3. Соединение по любому из пп.1-3, в котором Х является кислородом; R1 представляет 3-хлор; R2 является водородом; R3 представляет 4-хлор; R4 является водородом; R5 является водородом; галогеном или амино; R6 является радикалом формулы (b-1) или (b-2), где R16 является водородом и R17 является С1-С2алкилом; R7 является водородом или С1-С2алкилом, если пунктирная линия не является связью; R8 является водородом, C1-С2алкилом или Het1CH2; и R9 является водородом. 4. Соединение по п.1, представляющее собой 6-[амино(4-хлорфенил)(1-метил-1Н-имидазол-5-ил)метил] -4-(3-хлорфенил)-1-метил-2-(1Н)-хиназолинон или 6-[амино(4-хлорфенил)(1-метил-1Н-имидазол-5-ил)метил] -4-(3-хлорфенил)3,4-дигидро-1,3-диметил-2-(1Н)-хиназолинон, его стереоизомерные формы или фармацевтически приемлемые кислотно-аддитивные соли. 5. Фармацевтическая композиция, обладающая ингибирующей фарнезилтрансферазу активностью, включающая фармацевтически приемлемый носитель и в качестве активного ингредиента терапевтически эффективное количество соединения по любому из пп.1-4. 6. Способ получения фармацевтической композиции по п.5, в котором терапевтически активное количество соединения по любому из пп.1-4 тщательно смешивают с фармацевтически приемлемым носителем. 7. Производные хиназолинона общей формулы (XI) ![]() их кислотно-аддитивная соль или стереохимически изомерная форма, где n равно 2 или 3 и R1, R2, R3, R4 и R9 такие, как определены в п.1. 8. Соединение по любому из пп.1-4, обладающее ингибирующей фарнезилтрансферазу активностью. 9. Способ получения производных хиназолинона формулы (I) по п.1, или их фармацевтически приемлемых кислотно-аддитивных солей, или их стереохимических изомерных форм, где пунктирная линия и радикалы X, R1, R2, R3, R4 и R5 имеют значения, определенные в п.1, а R6 является радикалом b-2, определенным в п.1, включающий взаимодействие промежуточного кетона формулы (VI) ![]() с промежуточным соединением формулы ![]() ![]() в присутствии подходящего сильного основания и в присутствии подходящего производного силана, необязательно, с последующим удалением защитной группы PG с получением соединения формулы ![]() ![]() где пунктирная линия и радикалы X, R1, R2, R3, R4, R7, R8, R9 и R16 определены в п.1, с последующим, если необходимо, восстановлением полученных соединений формулы (Ib-1) или (Ib-2) с получением вышеопределенных соединений формулы (I), где R5 является водородом, или галогенированием полученных соединений формулы (Ib-1) или (Ib-2) с получением вышеопределенных соединений формулы (I), где R5 является галогеном, с последующим, если необходимо, превращением последних соединений в вышеопределенные соединения формулы (I), где R5 представляет группу (а-3), определенную в п.1, и, если необходимо, вышеопределенные соединения формулы (I), где пунктирная линия является связью, восстанавливают с получением соединения формулы (I), где эта связь отсутствует, или, наоборот, вышеопределенные соединения формулы (I), где пунктирная линия не является связью, окисляют с получением вышеопределенных соединений формулы (I), где пунктирная линия является связью или вышеопределенные соединения формулы (I), где R7 является водородом, обрабатывают реагентом R7W1, где W1 является подходящей уходящей группой и R7 является C1-С6алкилом, при условии, что пунктирная линия не является связью, и/или, при желании, полученное соединение формулы (I) превращают в фармацевтически приемлемую кислотно-аддитивную соль или, наоборот, кислотно-аддитивную соль соединения формулы (I) превращают в свободное основание при помощи щелочи и, при желании, получают их стереохимически изомерные формы. 10. Способ получения соединения формулы (XI) по п.7 ![]() где n равно 2 или 3 и R1, R2, R3, R4 и R9 определены в п.1, включающий циклизацию промежуточного соединения формулы (X) ![]() в присутствии аммониевой соли и подходящего основания, и, при необходимости, соединения формулы (XI) превращают в кислотно-аддитивную соль или, наоборот, кислотно-аддитивную соль соединения формулы (XI) превращают в свободное основание при помощи щелочи и, при желании, получают их стереохимически изомерные формы. РИСУНКИ
|
||||||||||||||||||||||||||














