Патент на изобретение №2205829
|
||||||||||||||||||||||||||
(54) ЗАМЕЩЕННОЕ ПРОИЗВОДНОЕ ЦИКЛОБУТИЛАМИНА, АНТИБАКТЕРИАЛЬНЫЙ АГЕНТ И ФАРМАЦЕВТИЧЕСКАЯ КОМПОЗИЦИЯ НА ЕГО ОСНОВЕ
(57) Реферат: Изобретение относится к производным циклобутиламина формулы (I), где Q представляет собой производное хинолона и R1, R2, R3, R4 и n, такие как определено в формуле изобретения. Также описана фармацевтическая композиция и антибактериальный агент на основе этих соединений. Технический результат: получены новые соединения, обладающие антибактериальной активностью. Изобретение может быть использовано в медицине в качестве лекарственного средства. 3 с. и 11 з.п.ф-лы, 1 табл.
Текст описания в факсимильном виде (см. графическую часть). Тв Формула изобретения
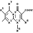
![]() где R1 и R2, каждый, независимо, представляют собой атом водорода или атом галогена (исключая случай, когда R1 и R2 оба являются атомами водорода); R3 и R4, каждый, независимо, представляют атом водорода, n = 1 или 2, Q является группой структуры, представленной следующей формулой: ![]() где R5 представляет собой циклическую алкильную группу, содержащую от 3 до 6 атомов углерода, которая может иметь заместитель; R6 представляет собой атом водорода; R7 представляет собой атом водорода или аминогруппу; Х1 представляет собой атом галогена или атом водорода, А1 представляет собой группу структуры, представленной следующей формулой (II): ![]() где X2 представляет собой атом водорода, атом галогена, алкильную группу, содержащую от 1 до 6 атомов углерода или алкоксигруппу, содержащую от 1 до 6 атомов углерода, А2 и А3, каждый, представляют собой атом азота или атом углерода, где А2 и А3 вместе с атомами углерода, с которыми они связаны, образуют группу структуры ![]() или группу структуры ![]() Y представляет атом водорода. 2. Соединение, его соли или их гидраты по п.1, где группа структуры, полученная в результате исключения Q из формулы (I), является стереохимически чистым соединением. 3. Соединение, его соль или их гидраты по п.1 или 2, где Q в формуле (I) представляет собой 5-амино-3-карбокси-6-фтор-1-[2-(S)-фтор-1-(R)-циклопропил]-1,4-дигидро-8-метил-4-оксохинолин-7-ильную группу. 4. Соединение, его соль или их гидраты по п.1 или 2, где Q в формуле (I) представляет собой 3-карбокси-6-фтор-1-[2-(S)-фтор-1-(R)-циклопропил]-1,4-дигидро-8-метокси-4-оксохинолин-7-ильную группу. 5. Соединение, его соль или их гидраты по п.1 или 2, где Q в формуле (I) представляет собой 5-амино-3-карбокси-6,8-дифтор-1-[2-(S)-фтор-1-(R)-циклопропил]-1,4-дигидро-4-оксохинолин-7-ильную группу. 6. Соединение, его соль или их гидраты по любому из п.1 или 2, где R5 является галогенциклопропильной группой. 7. Соединение, его соль или их гидраты по п.6, где галогенциклопропильной группой является 1,2-цис-галогенциклопропильная группа. 8. Соединение, его соль или их гидраты по п.6 или 7, где галогенциклопропильная группа является стереохимически чистым заместителем. 9. Соединение, его соль или их гидраты по п.8, где галогенциклопропильной группой является (1R,2S)-2-галогенциклопропильная группа. 10. Соединение, его соль или их гидраты по любому из пп.6-9, где атом галогена галогенциклопропильной группы является атомом фтора. 11. Соединение, его соль или их гидраты по любому из пп.1-10, где соединение формулы (I) является стереохимически чистым соединением. 12. Фармацевтическая композиция, обладающая антибактериальным действием, которая содержит соединение, его соль или их гидраты, как описано в любом из пп.1-11 в качестве активного ингредиента. 13. Антибактериальный агент, который содержит соединение, его соль или их гидраты, как описано в любом из пп.1-11, в качестве активного ингредиента. РИСУНКИ
MM4A – Досрочное прекращение действия патента СССР или патента Российской Федерации на изобретение из-за неуплаты в установленный срок пошлины за поддержание патента в силе
Дата прекращения действия патента: 29.05.2008
Извещение опубликовано: 20.07.2010 БИ: 20/2010
|
||||||||||||||||||||||||||





