Патент на изобретение №2205828
|
||||||||||||||||||||||||||
(54) СОЕДИНЕНИЯ ТРИАЗИНИЛАМИНОСТИЛЬБЕНА, СПОСОБЫ ИХ ПОЛУЧЕНИЯ, ВОДНЫЕ КОМПОЗИЦИИ, ИХ СОДЕРЖАЩИЕ, И СПОСОБ ФЛУОРЕСЦЕНТНОГО ОТБЕЛИВАНИЯ БУМАГИ
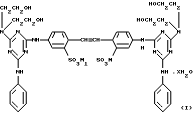
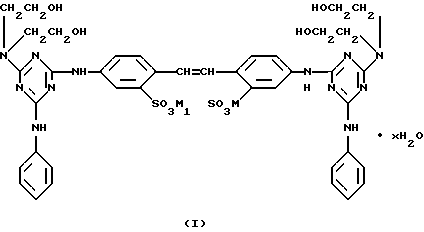
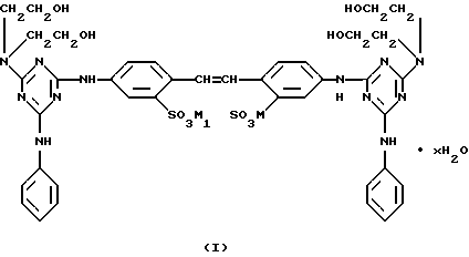
(57) Реферат: Описывается гидрат 4,4′-дитриазиниламино-2,2′-дисульфостильбена общей формулы I, в которой М и М1 независимо представляют водород или щелочной металл; х – число в пределах от 1 до 30, при этом кристаллическая форма гидрата I характеризуется рентгенограммой, представленной на фиг.1-11; или смесь, содержащая два или несколько гидратов соединения 4,4′-дитриазиниламино-2,2′-дисульфостильбена формулы I, а также способы их получения и применение новых гидратов для получения концентрированных водных композиций флуоресцентных отбеливающих агентов. 7 с. и 11 з.п.ф-лы, 1 табл., 11 ил.
Изобретение относится к новым гидратам солей специфического соединения 4,4′-дитpиaзинилaминo-2,2′-дисульфостильбена, отличающимся содержанием их гидратной воды; к кристаллическим формам, которые имеют новые гидраты и которые отличаются своей рентгенограммой; к способам получения новых гидратов; к применению новых гидратов в получении концентрированных композиций флуоресцентных отбеливающих агентов. В последнее время флуоресцентные отбеливающие агенты выпускают в продажу в основном в виде водных растворов или суспензий. С этой целью увлажненные отжатые осадки или сухие порошки флуоресцентных отбеливающих агентов суспендируют в воде. Для того чтобы улучшить гомогенность, смачиваемость и продлить срок хранения суспензии, к ней добавляют диспергаторы и сгустители. Часто вместе с этими вспомогательными ингредиентами добавляют еще электролит. Несмотря на наличие таких добавок, существуют предельные концентрации для суспензии флуоресцеитных отбеливающих агентов, свыше которых суспензия часто бывает неустойчива в хранении и имеет неудовлетворительные свойства дозирования. Такие предельные концентрации воспроизвести очень трудно, поскольку на них может повлиять характер возможной предварительной обработки, которой подвергают суспензию флуоресцентного отбеливающего агента. В частности, в зависимости от характера предварительной обработки, можно получить различные гидраты флуоресцентного отбеливающего агента с разными кристаллическими формами. Неожиданно было выявлено, что, если в применяемом флуоресцентном отбеливающем агенте присутствуют специфические гидраты или смеси гидратов, обладающие определенной кристаллической формой или несколькими определенными кристаллическими формами, можно получить композиции определенного флуоресцентного отбеливающего агента с концентрацией активного вещества более 30 вес.%, которые стабильны в хранении и величину вязкости которых можно устанавливать по желанию в пределах большого диапазона. Новые композиции содержат только небольшие количества вспомогательных ингредиентов и хороши для флуоресцентного отбеливания множества основ, включая текстиль и бумагу. Соответственно, настоящее изобретение предлагает гидрат соединения 4,4′-дитриазиниламино-2,2′-дисульфостильбена с формулой ![]() в которой М и M1 независимо представляют водород или щелочной металл, х – число в пределах от 1 до 30, а кристаллическую форму гидрата (I) характеризует рентгенограмма, представленная на фиг.1-11. Изобретение относится также к смеси, содержащей два или несколько гидратов соединения 4,4′-дитриазиниламино-2,2′-дисульфостильбена формулы (I). Предпочтительными гидратами формулы (I) являются соединения, в которых М и M1 оба представляют водород или натрий, при этом гидраты характеризуются рентгенограммой, которая представлена на фиг.1-7. Предпочтительной является смесь, содержащая несколько гидратов двунатриевой соли соединения 4,4′-дитриазиниламино-2,2′-дисульфостильбена формулы (I). Другими предпочтительными гидратами соединения (I) 4,4′-дитриазиниламино-2,2′-дисульфостильбена являются гидраты, в которых оба М и M1 представляют калий, при этом гидрат характеризуется рентгенограммой, представленной на фиг.8, и х представляет число от 9 до 17, и гидраты, в которых оба М и M1 представляют литий, при этом гидраты характеризуются рентгенограммой, представленной на фиг.9-11; или смесь, содержащая два или несколько гидратов соединения 4,4′-дитриазиниламино-2,2′-дисульфостильбена формулы (I), при этом М и M1 – литий, и в которых х представляет число от 9 до 30. Соответствующие рентгенограммы на фиг.1-11 получены с применением порошкового дифрактометра X’Pert (Philips, Almelo) в геометрии отражения и Сu-излучении. Контрольные рентгенограммы для кристаллов формы В (фиг.1) и С (фиг. 2) измеряют в суспензиях в атмосфере воздуха без контроля относительной влажности. Измерения контрольных рентгенограмм для кристалла формы D (фиг.3), Е (фиг. 4), F (фиг. 6) и G (фиг.7) и рентгенограммы двукалиевой соли (фиг.8) также проводят в суспензиях, в атмосфере азота с поддержанием относительной влажности на уровне 80-90%, как и рентгенограмм трех форм кристаллов двулитиевой соли (фиг.9-11), а рентгенограмму кристалла формы А (фиг.5) делали в твердом состоянии. На каждом из чертежей 1-11 показана часть измерений на участке 2T в пределах 1o-30o. Каждый из новых гидратов формулы (I) имеет отличительную рентгенограмму. Кристаллы форм А, В, С, D, Е, F и G, а также кристаллы двукалиевой и литиевой солей состоят, по большей части, из одного или нескольких гидратов формулы (I), в которых х – число между 1 и 30. Количество гидратной воды можно определить посредством дифференциального термического анализа или динамической дифференциальной калориметрии, в которых измеряют пропорцию несвязанной воды, т.е. воды, таящей при 0oС, или последующим анализом воды такими методами, как титрование по Карлу Фишеру, термогравиметрический анализ или потеря при высушивании при повышенной температуре. Гидрат двунатриевой соли 4,4′-дитриазиниламино-2,2′-дисульфостильбена, имеющий кристаллы кристаллической формы (А), можно получить последовательной реакцией хлорида циануровой кислоты с двунатриевой солью дисульфокислоты 4,4′-диаминостильбена, анилином и диэтаноламином, доведением pH смеси до 9,0-9,5 концентрированным раствором гидроксида натрия и выпариванием смеси до сухости. Если до обработки гидроксидом натрия соединение изолировать в виде свободной кислоты, получается гидрат, имеющий кристаллическую форму F. Гидрат кристаллической формы С можно получить нейтрализацией свободной кислоты 4,4′-дитриазиниламино-2,2′-дисульфостильбена, имеющего гидрат кристаллической формы А, разбавленным раствором гидроксида натрия, гомогенизацией и выстаиванием при комнатной температуре; гидрат кристаллической формы D – обработкой натриевой соли 4,4′-дитриазиниламино-2,2′-дисульфостильбена, имеющего гидрат кристаллической формы А, водным раствором хлорида натрия, стабилизацией и гомогенизацией; и гидрат кристаллической формы Е – обработкой свободной кислоты 4,4′-дитриазиниламино-2,2′-дисульфостильбена, имеющего гидрат кристаллической формы А – концентрированным раствором гидроксида натрия и гомогенизацией. Гидрат кристаллической формы G можно получить из кристаллической формы Е уравновешиванием в закрытом реакторе при повышенной температуре. Кроме того, гидрат кристаллической формы С можно получить затравкой водной суспензии соответствующей свободной кислоты затравочными кристаллами гидрата кристаллической формы С. Эта технология обладает тем преимуществом, что можно применять концентрации активного вещества более 30 вес.%, предпочтительно 30-50 вес.%, и таким образом полученная суспензия имеет нужную концентрацию и не нуждается в дальнейшем концентрировании. Гидрат с кристаллической формой D в соответствии с фиг.3 или гидрат с кристаллической формой Е с рентгенограммой на фиг.4 можно также получить технологией затравки, описанной в связи с получением гидрата кристаллической формы С. В предпочтительном варианте смесь нескольких новых гидратов формулы (I) готовят контролированным смешиванием водного раствора электролита неорганической соли, предпочтительно галида или сульфата щелочного металла, лучше хлорида натрия или сульфата натрия; и активного вещества формулы (I). Способ обычно заключается в следующем – вначале проводят подготовку водного раствора электролита, а затем осуществляют затравку этого раствора электролита заранее подготовленным образцом активного вещества формулы (I). При поддержании величины pH затравленного раствора электролита в пределах от 7,5 до 9,0, лучше от 8,0 до 8,5, к затравленному раствору электролита одновременно и порциями добавляют активное вещество формулы (I) в виде свободной кислоты, щелочь, предпочтительно гидроксид натрия, и воду. Воду и активное вещество в форме свободной кислоты лучше добавлять до тех пор, пока а) содержание активного вещества в синтетической смеси не достигнет пределов 5-40 вес.%, лучше 10-30 вес.%, еще лучше 15-25 вес.% и b) содержание электролита в синтетической смеси не будет в пределах от 0,5 до 2,5 вес.%, лучше от 1 до 2 вес.%, еще лучше около 1,5 вес.%. Затравочные кристаллы должны быть в форме небольших кристаллов, средний размер которых не превышает 10 микрон. Это позволяет значительно снизить количество затравочных кристаллов, например, до 0,1-5 вес.% по отношению к общему количеству активного вещества. Затравку лучше проводить без перемешивания. Общее количество затравочных кристаллов составляет от 0.1 до 60 вес.%, лучше от 1 до 50 вес.%, в частности от 1 до 30 вес.% от общего количества активного вещества. Во всех случаях, в которых новым исходным материалом заменяют только часть целевого соединения, превращение можно проводить полунепрерывным или непрерывным способом. Температура реакции для получения смесей гидрата формулы (I) по настоящему изобретению составляет в пределах от 10 до 95oС, а лучше в пределах от 35 до 55oС. Двукалиевую и двулитиевую соли 4,4′-дитриазиниламино-2,2′-дисульфостильбена можно получить нейтрализацией формы свободной кислоты 4,4′-дитриазиниламино-2,2′-дисульфостильбена соответственно гидроксидом калия или лития. В случае двулитиевой соли две другие кристаллические формы гидратов можно получить уравновешиванием суспензии полученной соли непосредственной нейтрализацией при повышенных температурах. Изобретение также предлагает водную композицию, содержащую 30-50 вес.% активного вещества в виде одного или нескольких новых форм гидратов формулы (I). Эта композиция остается текучей, имеет хорошие характеристики дозирования и остается стабильной на протяжении месяцев, не образуя осадков даже после выстаивания при температурах 5-40oС в течение продолжительного периода времени. Водная композиция, содержащая 30-50 вес.% активного вещества в виде одного или нескольких новых гидратов кристаллических форм А, В, С, D, Е, F и G формулы (I) обладает высокой вязкостью даже без введения вспомогательных ингредиентов и пригодна для производства паст, которые наносят кистью, или может включаться в состав таких паст. Таким образом, включением активного вещества в виде одного или нескольких новых гидратов формулы (I) с разными кристаллическими формами можно селективно установить нужную вязкость водной композиции без необходимости вводить какие-либо вспомогательные ингредиенты. Электролит, например, NaCl или Na2SO4 или их смесь можно предварительно смешать с водной композицией, чтобы стабилизировать гидраты, содержащиеся в ней. Особенное преимущество гидратов в соответствии с настоящим изобретением, имеющих различные кристаллические формы, заключается в том, что они позволяют получать готовые к применению и стабильные композиции с большим диапазоном вязкости и без добавления экологически вредных вспомогательных ингредиентов. Однако при желании полученные по изобретению композиции могут включать традиционные вспомогательные ингредиенты, такие как диспергирующие агенты, другие компоненты, защитные коллоиды, стабилизаторы, консерванты, отдушки и пассиваторы. Диспергирующие агенты представляют собой предпочтительно анионные диспергирующие агенты, такие как продукты конденсации ароматических сульфокислот с формальдегидом, например дитолилэфирсульфокислота, нафталинсульфонат или лигнинсульфонат. Примерами подходящих компонентов или защитных коллоидов являются модифицированные полисахариды, полученные из целлюлозы или гетерополисахариды, такие как ксантан, карбоксиметилцеллюлоза, и поливиниловые спирты, поливинилпирролидоны, полиэтиленгликоли и силикаты алюминия или силикаты магния. Их обычно применяют в диапазоне концентрации 0,01-2 вес.%, лучше 0,05-0,5 вес.% от общего веса композиции. Примерами вспомогательных ингредиентов, которые можно применять для стабилизации, являются этиленгликоль, пропиленгликоль или диспергаторы в количестве 0,2-5 вес.%, лучше 0,3-2 вес.% от общего веса композиции. Соединения, которые можно применять в качестве стабилизаторов, включают 1,2-бензизотиазолин-3-он, формальдегид или хлорацетамид в количестве 0,1-1 вес.%, а лучше 0,1-0,5 вес.% от общего веса композиции. Концентрированную композицию, полученную таким образом, можно применять для флуоресцентного отбеливания бумаги или текстильного материала, например, в моющих препаратах. С этой целью для практического применения их обычно разбавляют до оптимальной концентрации добавлением других вспомогательных ингредиентов или воды. Следующие Примеры иллюстрируют далее настоящее изобретение. Части и проценты указаны в весовом соотношении, если не оговорено иначе. Пример 1 В реакторе смешивают 400 г льда, 120 г хлорида циануровой кислоты и 785 г метилэтилкетона и с интенсивным перемешиванием и внешним охлаждением обрабатывают раствором 120 г двунатриевой соли 4,4′-диaминocтильбeн-2,2′-диcyльфoкиcлoты в 800 г воды и 164,5 г 17% раствора карбоната натрия в течение 20 минут при 5-10oС, при этом pH поддерживают на 4,5 одновременным добавлением 39,4 г 17% раствора карбоната натрия. После добавления вводят 55,4 г анилина и 8,7 г диэтаноламина, при этом pH поддерживают 7,5 одновременным добавлением 72,2 г 36% раствора гидроксида натрия. После нагрева до 60oС вводят 78,8 г диэтаноламина с поддержанием pH 8,2 одновременным введением 72,2 г 36% раствора гидроксида натрия. Реакционную смесь нагревают до флегмации и метилэтилкетон отгоняют, постепенно заменяя его 1000 г воды. При температуре 95oС смесь подкисляют до pH 4,5 добавлением 170 г 16% раствора хлористо-водородной кислоты и добавлением воды объем доводят до 2,7 л. После охлаждения до 70oС смесь фильтруют и отжатый осадок промывают 1,8 л воды с получением свободной кислоты. 30% водную суспензию этой свободной кислоты нагревают до 95oС, а pH доводят до 9,0-9,5 добавлением 36% раствора гидроксида натрия. Затем полученный раствор выпаривают до сухости, чтобы получить соединение формулы (I) в виде двунатриевой соли, имеющей кристаллическую форму А, содержащую 1 моль воды и соответствующую рентгенограмме, изображенной на фиг.5. Пример 2 75,0 г формы свободной кислоты (имеющей содержание активного вещества 40 вес. %) двунатриевой соли формулы (I) диспергируют в 24,7 г деионизированной воды при 25oС. Полученную таким образом дисперсию стабилизируют добавлением к ней 0,2 г ксантановой смолы и 0,1 г Proxel GXL (1,2-бензизотиазолин-3-она) и смесь гомогенизируют. Гомогенизированную суспензию нейтрализуют 32,8 мл 2N водного раствора гидроксида натрия. Гомогенизированная нейтрализованная суспензия содержит кристаллы с кристаллической формой В, соответствующей рентгенограмме на фиг.1. После выстаивания в течение 2 дней при 25oС получают суспензию, которая хорошо льется и содержит кристаллы, имеющие кристаллическую форму С, с содержанием 17 молей воды и соответствует рентгенограмме на фиг.2. С применением той же процедуры, но с использованием в качестве исходного материала двунатриевой соли формулы (I) в виде чистого гидрата кристаллической формы А, В, D, Е, F и G или их смесь, получают суспензию, которая хорошо льется и которая содержит кристаллы двунатриевой соли формулы (I), содержащей 17 молей воды и имеющие кристаллическую форму С, соответствующую рентгенограмме на фиг.2. Пример 3 700 г влажного отжатого осадка из Примера 1 ( 265 г свободной кислоты) постепенно добавляют к 314 г воды при 40-45oС при поддержании pH 8,7-9,1 одновременным добавлением 64 г 36% раствора гидроксида натрия. Далее при 42oС добавляют 20 г затравочных кристаллов гидрата кристаллической формы С, полученного в Примере 2. После 5 часов жидкую суспензию охлаждают до 25-30oС и стабилизируют добавлением 2,2 г 50% раствора глутаральдегида и 2,2 г ксантановой смолы (полисахарида), предварительно диспергированных в 5,5 г пропиленгликоля. Получают жидкую суспензию, которая хорошо льется и которая содержит кристаллы двунатриевой соли формулы (I), содержащей 17 молей воды, и имеющие кристаллическую форму С, соответствующую рентгенограмме на фиг.2.
Полученное соединение формулы (А)![]() сравнивают с соединением (В), полученным по примеру 1 патента GB 1293804. Из указанных соединений готовят 20%-ную водную пульпу следующим образом: 44,4 г каждого из указанных выше соединений пятью равными частями с десятиминутным интервалом размешивают в 155,6 г деминерализованной воды при комнатной температуре. После перемешивания в течение 80 минут получены необходимые пульпы. После хранения пульпы в различных условиях измеряли их вязкость. Результаты испытаний представлены в таблице. Результаты эксперимента показывают, что соединение по изобретению обеспечивает получение водной пульпы, которая остается жидкой и растворимой при всех условиях хранения, в отличие от пульпы, полученной из соединения по патенту GB 1293804, которая в результате хранения остается нерастворимой пастой. Пример 4 В реакционной колбе предварительно нагревают до 60oС 400 г 6% водного раствора хлорида натрия. В этот раствор вводят 120 г двунатриевой соли формулы (I) (имеющей содержание активного вещества 90 вес.% и содержащей 10% хлорида натрия) и смесь нагревают до 90oС. Добавляют 180 г 6% водного раствора хлорида натрия и смесь охлаждают с перемешиванием до 25oС. Полученную жидкую суспензию стабилизируют добавлением 2,45 г ксантановой смолы, которую предварительно диспергируют в 6,1 г 1,2-пропиленгликоля и смесь нагревают до 90oС 2 часа. Смесь охлаждают с перемешиванием до 25oС, в качестве стабилизатора добавляют 3,22 г Proxel GXL (1,2-бензизотиазолил-3-он), смесь перемешивают еще 12 часов и наконец гомогенизируют с применением высокоскоростной мешалки. Полученная суспензия содержит кристаллы двунатриевой соли формулы (I), содержащие 14 молей воды и имеющие кристаллическую форму D, которая соответствует рентгенограмме на фиг.3. Пример 5 В реакционной колбе предварительно нагревают до 40oС 400 мл деионизированной воды. В эту воду порциями вводят 800 г формы свободной кислоты (имеющей содержание активного вещества 40 вес.%) двунатриевой соли формулы (I) и одновременным порционным добавлением 50,45 мл 37% (50% г/об.%) водного раствора гидроксида натрия, величину pH смеси поддерживают постоянной 8,2. После завершения добавления всю смесь разбавляют 400 мл деионизированной воды, перемешивают 1 час, а затем гомогенизируют. Полученная суспензия содержит кристаллы двунатриевой соли формулы (I), содержащие 14 молей воды и имеющие кристаллическую форму Е, которая соответствует рентгенограмме на фиг.4. Пример 6 620 г влажного отжатого осадка, полученного в Примере 1 ( 279 г свободной кислоты) диспергируют в 304 г воды и стабилизируют добавлением 1,7 г Proxel GXL и 1,7 г ксантановой смолы (полисахарида), которые предварительно распыляют в 3,3 г пропиленгликоля. Полученная суспензия содержит кристаллы двунагриевой соли формулы (I), содержащие 7 молей воды и имеющие кристаллическую форму F, которая соответствует рентгенограмме на фиг.6.
Пример 720% суспензию, содержащую кристаллы гидрата, имеющие кристаллическую форму Е, полученную как в Примере 5, перемешивают в закрытом реакторе при 60oС и поддерживают при этой температуре по меньшей мере 20 часов. После охлаждения до комнатной температуры получают жидкую суспензию, которая содержит кристаллы двунатриевой соли формулы (I), содержащие 7 молей воды и имеющие кристаллическую форму G, которая соответствует рентгенограмме на фиг.7. Пример 8 Готовят 400 мл 6,0 вес.% водного раствора хлорида натрия. Затем этот раствор затравливают предварительно подготовленной порцией водной суспензии двунатриевой соли формулы (I). Температуру затравленного раствора доводят до 45oС и одновременно к затравленному раствору добавляют а) влажный фильтр-прессный осадок формы свободной кислоты (содержание активного вещества 40 вес. %) двунатриевой соли формулы (I), b) водный раствор гидроксида натрия и с) воду, с постоянным поддержанием pH величины полученной смеси 8,2. Воду и влажный водный фильтр-прессный осадок формы свободной кислоты добавляют до тех пор, пока содержание активного вещества формы свободной кислоты в реакционной смеси не достигнет 15-25 вес.%, а содержание хлорида натрия – 1,5 вес.%. Полученную таким образом композицию исследуют с применением порошкового дифрактометра X’Pert (Philips, Almelo) в геометрии отражения и Сu-излучении. В устройство вводят закрытую камеру с образцом (Anton Parr), которую можно продувать газом. Водную композицию помещают на держатель для образца (толщина слоя 0.8 мм) и измерение диаграммы образца проводят в азоте с поддержанием относительной влажности на уровне 80-90%. Как показывают результаты, такая водная композиция состоит из чистых гидратов, имеющих кристаллическую форму А, В, С, D, Е, F или G, либо из их смесей. Пример 9 Аналогичные результаты получают, если водный раствор сульфата натрия применяют в качестве исходного материала в Примере 8 вместо водного раствора хлорида натрия. Пример 10 Готовят 400 мл 3,0 вес.% водного раствора хлорида натрия. Затем этот раствор затравливают предварительно подготовленной порцией водной суспензии двунатриевой соли формулы (II). Температуру затравленного раствора доводят до 45oС и одновременно к затравленному раствору добавляют а) влажный водный фильтр-прессный осадок формы свободной кислоты (содержание активного вещества 40 вес.%) двунатриевой соли формулы (I), b) водный раствор гидроксида натрия и с) воду, с постоянным поддержанием величины pH полученной смеси 8,2. Воду и влажный водный фильтр-прессный осадок формы свободной кислоты добавляют до тех пор, пока содержание активного вещества формы свободной кислоты в реакционной смеси не достигнет 15-25 вес.%, а содержание хлорида натрия – 0,75 вес.%. Полученную таким образом композицию исследуют с применением порошкового дифрактометра X’Pert (Philips, Almelo) в геометрии отражения и Cu-излучении. Как показывают результаты, такая водная композиция содержит кристаллы чистого гидрата двунатриевой соли формулы (I), имеющие кристаллическую форму А, В, С, D, Е, F или G, либо из их смесей. Пример 11 Аналогичные результаты получают, если водный раствор сульфата натрия применяют в качестве исходного материала в Примере 10 вместо водного раствора хлорида натрия. Пример 12 Готовят 400 мл 1,5 вес.% водного раствора хлорида натрия. Затем этот раствор затравливают предварительно подготовленной порцией водной суспензии двунатриевой соли формулы (I). Температуру затравленного раствора доводят до 45oС и одновременно к затравленному раствору добавляют а) влажный водный фильтр-прессный осадок формы свободной кислоты (содержание активного вещества 40 вес.%) двунатриевой соли формулы (I), b) водный раствор гидроксида натрия и с) воду, с постоянным поддержанием величины pH полученной смеси 8,2. Воду и влажный водный фильтр-прессный осадок формы свободной кислоты добавляют до тех пор, пока содержание активного вещества формы свободной кислоты в реакционной смеси не достигнет 15-25 вес.%, а содержание хлорида натрия – 0,25 вес.%. Полученную таким образом композицию исследуют с применением порошкового дифрактометра X’Pert (Philips, Almelo) в геометрии отражения и Cu-излучении. Как показывают результаты, такая водная композиция содержит кристаллы чистого гидрата, имеющие кристаллическую форму А, В, С, D, Е, F или G, либо из их смесей. Пример 13 Аналогичные результаты получают, если водный раствор сульфата натрия применяют в качестве исходного материала в Примере 12 вместо водного раствора хлорида натрия. Пример 14 Готовят 400 мл 1,5 вес.% водного раствора хлорида натрия. Затем этот раствор затравливают предварительно подготовленной порцией водной суспензии двунатриевой соли формулы (I). Температуру затравленного раствора доводят до 45oС и одновременно к затравленному раствору добавляют а) влажный водный фильтр-прессный осадок двунатриевой соли формулы (I) (содержание активного вещества 40 вес. %), b) водный раствор гидроксида натрия и с) воду, с постоянным поддержанием величины pH полученной смеси 8,2. Воду и влажный водный фильтр-прессный осадок формы свободной кислоты добавляют до тех пор, пока содержание активного вещества формы свободной кислоты в реакционной смеси не достигнет 15-25 вес.%, а содержание хлорида натрия – 0,25 вес.%. Полученную таким образом композицию исследуют с применением порошкового дифрактометра X’Pert (Philips, Almelo) в геометрии отражения и Cu-излучении. Как показывают результаты, такая водная композиция содержит кристаллы чистого гидрата, имеющие кристаллическую форму А, В, С, D, Е, F или G, либо из их смесей. Пример 15 Готовят 400 мл 1,5 вес.% водного раствора хлорида натрия. Затем этот раствор затравливают предварительно подготовленной порцией двунатриевой соли формулы (I). Предварительно подготовленную порцию двунатриевой соли формулы (I) готовят в органической фазе, содержащей форму свободной кислоты активного вещества и получают на последней стадии реакции, которую проводят при 90-100oС. Температуру затравленного раствора доводят до 45oС и одновременно к затравленному раствору добавляют а) указанную органическую фазу, содержащую форму свободной кислоты активного вещества и b) воду. Воду и указанную органическую фазу, содержащую форму свободной кислоты активного вещества добавляют до тех пор, пока содержание активного вещества формы свободной кислоты в реакционной смеси не достигнет 15-25 вес.%, а содержание хлорида натрия – 0,25 вес.%. Полученную таким образом композицию исследуют с применением порошкового дифрактометра X’Pert (Philips, Almelo) в геометрии отражения и Сu-излучении. Как показывают результаты, такая водная композиция содержит кристаллы чистого гидрата двунатриевой соли формулы (I) кристаллической формой А, В, С, D, Е, F или G, либо из их смесей. Пример 16 Аналогичные результаты получают, если водный раствор сульфата натрия применяют в качестве исходного материала в Примере 15 вместо водного раствора хлорида натрия. Пример 17 75,0 г свободной кислоты 4’4-триазиниламино-2,2′-дисульфостильбена с гидратом, имеющим кристаллическую форму А (активное содержание 40%), диспергируют в 24,7 г деионизированной воды, добавляют 0,2 г полисахарида (типа ксантановой смолы) и 0,1 г Рrохеl GXL и смесь гомогенизируют. После выстаивания в течение 24 часов при 40oС или при 60oС смесь нейтрализуют 32,8 мл 2N раствора гидроксида калия. После выстаивания при комнатной температуре получают суспензию двукалиевой соли, которая хорошо льется, содержит кристаллы гидрата двукалиевой соли формулы (I), имеющие 13 молей воды, и характеризуется рентгенограммой, изображенной на фиг.8. Пример 18 75,0 г свободной кислоты 4’4-триазиниламино-2,2′-дисульфостильбена с гидратом, имеющим кристаллическую форму А (активное содержание 40%), диспергируют в 24,7 г деионизированной воды, добавляют 0,2 г полисахарида (типа ксантановой смолы) и 0,1 г Proxel GXL и смесь гомогенизируют. После выстаивания в течение 24 часов при 40oС смесь нейтрализуют 32,8 мл 2N раствора гидроксида лития. После выстаивания при комнатной температуре получают суспензию двулитиевой соли, которая хорошо льется, содержит кристаллы гидрата с 29 молями воды и характеризуется рентгенограммой, изображенной на фиг.9. Пример 19 10 г двулитиевой соли, полученной в Примере 18, перемешивают в закрытом реакторе при 60oС. После 15 минут получают прозрачный раствор, который после продолжительного перемешивания начинает выпадать в осадок. После перемешивания в течение 12 часов при той же температуре смесь охлаждают и осажденное твердое вещество отфильтровывают. Получают гидрат двулитиевой соли, содержащий 14 молей воды, и соответствующий рентгенограмме на фиг.10. Пример 20 Повторяют Пример 19, но с проведением уравновешивания при температуре 55oС. Получают гидрат двулитиевой соли, содержащий 13 молей воды и имеющий рентгенограмму, изображенную на фиг.11. Пример 21 Сульфитную целлюлозную суспензию бука/хвои (50:50) перемешивают в воде (содержащей 25 част./милл. СаО) в присутствии 20 вес.% карбоната кальция в качестве наполнителя. 0,4 вес.% каждого из продуктов Примеров 1-20 добавляют к отдельному образцу целлюлозной суспензии и каждую тестируемую суспензию перемешивают 15 минут. Из каждой тестируемой целлюлозной суспензии делают лист бумаги с весом площади 80 г/м2 и эти листы высушивают. Определяют белизну (CIE-Whiteness, измеряемую SCAN-P 66:93) каждого высушенного листа и она составляет 140-142. Белизна бумаги по CIE, полученной тем же способом, но в отсутствие композиции флуоресцентных отбеливающих агентов по настоящему изобретению составляет только 75. Формула изобретения
![]() в которой М и M1 независимо представляют водород или щелочной металл; х – число в пределах от 1 до 30, кристаллическая форма которого отличается рентгенограммой, представленной на фиг.1-11. 2. Смесь, содержащая два или несколько гидратов соединения 4,4′-дитриазиниламино-2,2′-дисульфостильбена формулы I, где М, M1, х имеют значения, указанные в п.1. 3. Гидрат соединения 4,4′-дитpиaзинилaминo-2,2′-диcyльфoстильбена по п. 1, в котором М и M1 оба представляют натрий, характеризующийся рентгенограммой, представленной на фиг.1-5. 4. Гидрат соединения 4,4′-дитpиaзинилaминo-2,2′-диcyльфoстильбена по п. 1, в котором М и M1 представляют водород или натрий, характеризующийся рентгенограммой, представленной на фиг.6 и 7. 5. Гидрат соединения 4,4′-дитриазиниламино-2,2′-дисульфостильбена по п. 1, в котором М и M1 оба представляют калий, х представляет число от 9 до 17, характеризующийся рентгенограммой, представленной на фиг.8. 6. Гидрат соединения 4,4′-дитриазиниламино-2,2′-дисульфостильбена по п. 1, в котором М и M1 оба представляют литий, х представляет число от 9 до 30, характеризующийся рентгенограммой, представленной на фиг.9-11. 7. Гидрат соединения 4,4′-дитриазиниламино-2,2′-дисульфостильбена по п.3 в виде кристаллов, имеющих кристаллическую форму В, соответствующую рентгенограмме, представленной на фиг.1. 8. Гидрат соединения 4,4′-дитриазиниламино-2,2′-дисульфостильбена по п. 3, в котором х представляет число от 14 до 20, в виде кристаллов, имеющих кристаллическую форму С, соответствующую рентгенограмме, представленной на фиг.2. 9. Гидрат соединения 4,4′-дитриазиниламино-2,2′-дисульфостильбена по п. 3, в котором х представляет число от 10 до 14, в виде кристаллов, имеющих кристаллическую форму D, соответствующую рентгенограмме, представленной на фиг.3. 10. Гидрат соединения 4,4′-дитриазиниламино-2,2′-дисульфостильбена по п. 3, в котором х представляет число от 16 до 26, в виде кристаллов, имеющих кристаллическую форму Е, соответствующую рентгенограмме, представленной на фиг.4. 11. Гидрат соединения 4,4′-дитриазиниламино-2,2′-дисульфостильбена по п. 3, в котором х представляет число от 1 до 6, в виде кристаллов, имеющих кристаллическую форму А, соответствующую рентгенограмме, представленной на фиг.5. 12. Гидрат соединения 4,4′-дитpиaзинилaминo-2,2′-диcyльфoстильбена по п. 4, в котором х представляет число от 4 до 10, в виде кристаллов, имеющих кристаллическую форму F, соответствующую рентгенограмме, представленной на фиг.6. 13. Гидрат соединения 4,4′-дитриазиниламино-2,2′-дисульфостильбена по п. 4, в котором х представляет число от 4 до 10, в виде кристаллов, имеющих кристаллическую форму G, соответствующую рентгенограмме, представленной на фиг.7. 14. Способ получения гидрата двунатриевой соли 4,4′-дитриазиниламино-2,2′-дисульфостильбена формулы I по п.1, имеющего кристаллическую форму А, последовательной реакцией хлорида циануровой кислоты с двунатриевой солью дисульфокислоты 4,4′-диаминостильбена, анилином и диэтаноламином, доведением рН смеси до 9,0-9,5 концентрированным раствором гидроксида натрия и выпариванием смеси до сухости. 15. Способ получения смеси двух или нескольких гидратов соединения 4,4′-дитриазиниламино-2,2′-дисульфостильбена формулы I по п.2, в которых М и M1 оба представляют натрий, характеризующихся рентгенограммой, представленной на фиг.1-5, включающий смешивание водного раствора электролита неорганической соли и активного вещества формулы I. 16. Водная композиция, включающая 30-50 вес.% активного вещества в форме гидрата соединения 4,4′-дитриазиниламино-2,2′-дисульфостильбена формулы I по п.1. 17. Водная композиция, включающая 30-50 вес.% активного вещества в форме смеси гидратов соединения 4,4′-дитриазиниламино-2,2′-диcyльфocтильбeнa формулы I по п.2. 18. Способ флуоресцентного отбеливания бумаги, включающий контактирование бумаги с водной композицией по п.16 или 17. РИСУНКИ
|
||||||||||||||||||||||||||


265 г свободной кислоты) постепенно добавляют к 314 г воды при 40-45oС при поддержании pH 8,7-9,1 одновременным добавлением 64 г 36% раствора гидроксида натрия. Далее при 42oС добавляют 20 г затравочных кристаллов гидрата кристаллической формы С, полученного в Примере 2. После 5 часов жидкую суспензию охлаждают до 25-30oС и стабилизируют добавлением 2,2 г 50% раствора глутаральдегида и 2,2 г ксантановой смолы (полисахарида), предварительно диспергированных в 5,5 г пропиленгликоля. Получают жидкую суспензию, которая хорошо льется и которая содержит кристаллы двунатриевой соли формулы (I), содержащей 17 молей воды, и имеющие кристаллическую форму С, соответствующую рентгенограмме на фиг.2.
Полученное соединение формулы (А)
