Патент на изобретение №2205826
|
||||||||||||||||||||||||||
(54) (
(57) Реферат: Изобретение относится к медицине, конкретно к новому биологически активному соединению ( ) -цис-3-(2′-бензимидазолил)-1,2,2-триметилциклопентанкарбоновой кислоте, проявляющей сахароснижающее и антидиабетогенное действие. 4 табл.
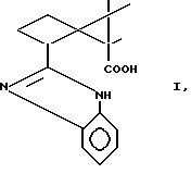
Изобретение относится к химико-фармацевтической области, в частности к новым биологически активным соединениям, а конкретно к ( )-цис-3-(2′-бензимидазолил)-1,2,2-триметилциклопентанкарбоновой кислоте формулы![]() Приведенное соединение проявляет высокую сахароснижающую и антидиабетогенную активность и может быть использовано как сахароснижающее средство при манифестных формах сахарного диабета I и II типа, а также как антидиабетогенное средство, которое предупреждает и/или ослабляет развитие инсулиновой недостаточности на ранних стадиях заболевания. Аналогов по структуре не существует. Самым близким аналогом по биологическому действию для заявляемого соединения является глибенкламид [1], как один из наиболее активных сульфамидных сахароснижающих средств. Несмотря на эффективность действия препарата сравнения известны экспериментальные и клинические данные о его диабетогенном (повреждающем панкреатические бета-клетки) действии при длительном введении [2]. Задачей изобретения является создание нового биологически активного соединения ( )-цис-3-(2′-бензимидазолил)-1,2,2-триметилциклопентанкарбоновой кислоты, которое проявляет сахароснижающее и антидиабетогенное действие, и может быть использовано в качестве субстанции для получения лекарственного средства, что даст возможность расширить арсенал антидиабетических средств, имеющих наряду с высоким сахароснижающим действием антидиабетогенную активность и более низкую токсичность.
Сутьизобретениясостоитвсоздании( )-цис-3-(2′-бензимидазолил)-1,2,2-триметилциклопентанкарбоновой кислоты формулы![]() проявляющей сахароснижающее и антидиабетогенное действие (в дальнейшем соединение формулы I). Заявленное соединение формулы I получают ацилированием ортофенилендиамина ангидридом ( )-камфорной кислоты.
Соединение формулы I является белым мелкокристаллическим порошком, с температурой плавления 252-256oС; брутто-формулы С16Н20N2О2.
Найдено: С 70,40; Н 7,50; N 10,20.
Вычислено: С 70,56; Н 7,40; N 10,28.
Спектр ПМР (СД 3) 2 СО, г.д: 0,75 (3 Н, С., 1-Ме); 1,27 и 1,35 (6 Н, С. , 2,2-Ме); 3,51 (1 Н, тр., J=9,9 Гц, 3-СН); 2,56 и 1,59 (2 Н, г., 5-СН2); 7,11 (2Н, г., Ar).
Масс-спектр, m/е: 272 [М+] (32); 254 (11); 228 (13); 227 (100); 186 (23); 185 (41); 183 (11); 171 (17); 158 (12); 157 (15); 145 (73); 132 (22).
ИК-спектр, см-1: 1559 ( NH); 1609 ( Ar); 1700 ( C=O); 3200 ( OH); 3653 ( NH).УФ-спектр, , нм (![]() 10-3): 246 (7,7); 276 (9,5); 282 (8,6).
ТСХ: хлороформ-этанол-гексан (1:1:1); Rf=0,53;хлороформ-ацетон (2:1); Rf=0,24. Изобретение иллюстрируется нижеследующими примерами. Пример 1. Синтез соединения формулы I. В колбу помещают 5,46 г (0,03 моль) ангидрида ( )-камфорной кислоты, 3,24 г (0,03 моль) орто-фенилендиамина. Реакционную смесь нагревают на масляной бане до 150oС и выдерживают при этой температуре 10 мин. Расплав выливают в холодную воду. Загустевший сплав измельчают, высушивают и кристаллизуют из метанола. Получают 3,2 г (45%) соединения формулы I.
Пример 2. Исследование острой токсичности соединения формулы 1. Острую токсичность соединения формулы I изучали на беспородных белых мышах обоего пола массой 17-18 г при однократном введении перорально в различных дозах. Наблюдение за животными проводили на протяжении 7 сут. Доза, которая вызывала гибель 50% животных, то есть ЛD50 соединения формулы I, составляет 12000 мг/кг массы тела, что отвечает классу практически нетоксичных веществ [3, 4] . ЛD50 препарата сравнения – глибенкламида в аналогичном опыте отвечает 2000 мг/кг массы тела животного.
Исследование сахароснижающего действия соединения формулы IСахароснижающая активность соединения формулы I оценивалась на гетерогенных моделях абсолютной и относительной инсулиновой недостаточности, воспроизводящей инсулинзависимый и инсулиннезависимый сахарный диабет (соответственно ИЗСД и ИНЗСД). Пример 3. Сахароснижающее действие соединения формулы I оценивалось на модели ИНЗСД (стадия относительной инсулиновой недостаточности) у мутантных мышей C57BL/KsJY-db/db [5] в максимально эффективной дозе – 25 мг/кг массы тела животного. Установлено, что сахароснижающее действие соединения формулы I при однократном введении на протяжении 8-часового периода наблюдения у мышей с генетически детерминированным ИНЗСД сопоставимо с аналогичным действием глибенкламида, использованного также в максимально эффективной дозе – 5 мг/кг массы тела животного (табл. 1). Пример 4. Исследование сахароснижающей активности соединения формулы l проведено также на мышах DBA/2J с химически индуцированной абсолютной инсулиновой недостаточностью на модели ИЗСД (низкодозовый стрептозотоциновый диабет, индуцированный внутрибрюшным введением стрептозотоцина в дозе 50 мг/кг массы тела/день на протяжении 5 дней). Установлено, что одноразовое пероральное введение соединения формулы l вызвало достоверное снижение гликемии через 2 часа после введения и которое сохранялось на протяжении 8-часового исследования (табл.2). При этом интегральное снижение гликемии у животных, которые получали соединение формулы l, существенно не отличались от снижения гликемии у животных, которые получали глибенкламид. Исследование антидиабетогенного действия соединения формулы l Исследование антидиабетогенного действия соединения формулы l проведено на крысах с неонатально-индуцированным стрептозотоциновым ИНЗСД. Пример 5. Новорожденные крысята в день рождения получали внутрибрюшинно стрептозотоцин, который вызывал 50% гибель на протяжении первой постнатальной недели. У животных, которые выжили к моменту забоя (14 дней), обнаруживалась базальная гипергликемия. В исследуемой группе препостнатальная обработка крысят соединением формулы l, путем перорального ее введением матерям в дозе 25 мг/кг массы тела на протяжении последней недели беременности и одной недели после родов, не отмечено гибели крысят на протяжении 14-дневного периода наблюдения. Базальная гликемия находилась в границах физиологических колебаний (случаи манифестного диабета отсутствовали) (табл.3). Препарат сравнения – глибенкламид в дозе 5 мг/кг массы тела, проявляющий в ранее приведенных примерах сопоставимый к соединению формулы l сахароснижающий эффект, не предупреждал диабетогенного действия стрептозотоцина на развитие абсолютной недостаточности. Пример 6. Новорожденным крысятам внутрибрюшинно вводили стрептозотоцин, а через 8 дней на стадии выраженной гипергликемии часть из них перорально получала соединение формулы l в дозе 25 мг/кг массы тела на протяжении 30 дней. Вторая группа животных параллельно получала глибенкламид в дозе 5 мг/кг массы тела. Установлено, что долговременная обработка животных соединением формулы l не изменяет характера гликемической реакции во время внутрибрюшинного теста толерантности к глюкозе (ВБТТГ), который наблюдался у животных контрольной группы, исследованной одновременно (табл.4). У животных, которые обрабатывались глибенкламидом, отмечена задержка реверсии интолерантности к глюкозе, что свидетельствует о патологических изменениях, которые произошли в поджелудочной железе. Таким образом, в результате исследований установлено, что соединение формулы l обладает сопоставимым с глибенкламидом сахароснижающим эффектом, а также проявляет антидиабетогенное действие и что в отличие от глибенкламида не индуцирует патологических изменений в поджелудочной железе, предупреждает развитие абсолютной и относительной инсулиновой недостаточности и имеет более низкую токсичность. ЛИТЕРАТУРА 2. Полторак В.В., Гладких А.И., Блох К.О. и др. Влияние глибенкламида на спонтанную эволюцию генетически детерминированного сахарного диабета у мышей линии C57BJ/KsJY db/db / Фармакология и токсикология. – 1991. – Т.54, 1. – С.34-37. 3. Гацура В.В. Методы первичного фармакологического исследования биологически активных веществ. – М.: Медицина, 1974. – 114 с. 4. Сидоров К.К. О классификации токсических ядов при парентеральных способах введения. В кн.: Токсикология новых промышленных химических веществ. – М., 1973. – 13. – С.47-51. Формула изобретения
)Цис-3-(2-бензимидазолил)-1,2,2-триметилциклопентанкарбоновая кислота формулы![]() проявляющая сахароснижающее и антидиабетогенное действие. РИСУНКИ
MM4A Досрочное прекращение действия патента Российской Федерации на изобретение из-за неуплаты в установленный срок пошлины за поддержание патента в силе
Дата прекращения действия патента: 22.12.2003
Извещение опубликовано: 10.09.2005 БИ: 25/2005
NF4A Восстановление действия патента Российской Федерации на изобретение
Извещение опубликовано: 27.04.2006 БИ: 12/2006
MM4A – Досрочное прекращение действия патента СССР или патента Российской Федерации на изобретение из-за неуплаты в установленный срок пошлины за поддержание патента в силе
Дата прекращения действия патента: 22.12.2006
Извещение опубликовано: 10.04.2008 БИ: 10/2008
NF4A Восстановление действия патента СССР или патента Российской Федерации на изобретение
Дата, с которой действие патента восстановлено: 10.04.2008
Извещение опубликовано: 10.04.2008 БИ: 10/2008
|
||||||||||||||||||||||||||

)-ЦИС-3-(2′-БЕНЗИМИДАЗОЛИЛ)-1,2,2-ТРИМЕТИЛЦИКЛОПЕНТАНКАРБОНОВАЯ КИСЛОТА, ПРОЯВЛЯЮЩАЯ САХАРОСНИЖАЮЩЕЕ И АНТИДИАБЕТОГЕННОЕ ДЕЙСТВИЕ

г.д: 0,75 (3 Н, С., 1-Ме); 1,27 и 1,35 (6 Н, С. , 2,2-Ме); 3,51 (1 Н, тр., J=9,9 Гц, 3-СН); 2,56 и 1,59 (2 Н, г., 5-СН2); 7,11 (2Н, г., Ar).
Масс-спектр, m/е: 272 [М+] (32); 254 (11); 228 (13); 227 (100); 186 (23); 185 (41); 183 (11); 171 (17); 158 (12); 157 (15); 145 (73); 132 (22).
ИК-спектр, см-1: 1559 (
Ar); 1700 (
, нм (
10-3): 246 (7,7); 276 (9,5); 282 (8,6).
ТСХ: хлороформ-этанол-гексан (1:1:1); Rf=0,53;