Патент на изобретение №2205823
|
||||||||||||||||||||||||||
(54) ПРОИЗВОДНЫЕ БЕНЗАМИДА, СПОСОБ ИХ ПОЛУЧЕНИЯ И ФАРМКОМПОЗИЦИЯ НА ИХ ОСНОВЕ
(57) Реферат: Изобретение относится к новым соединениям формулы I, где R1 и R2 обозначают гидрокси, алкокси, амино, алкиламино, карбокси, алкоксикарбонил, нитро, циано, цианоалкил, аминоалкил, алкил, галоген, трифторметил, гетероциклил, гетероциклилалкил, m и p обозначают 0-3, q равно 0-4, R3 обозначает галоген, R4 обозначает арил или циклоалкил, а также к способам получения, которые заключаются а) во взаимодействии соединения формулы II с кислотой формулы III, б) в реакции кислоты формулы V с анилином формулы VII. Кроме этого, предложенные соединения обладают ингибирующей активностью в отношении цитокинов и могут содержаться в качестве активного компонента в фармкомпозиции. 5 с. и 6 з.п. ф-лы, 2 табл. ![]() ![]() ![]() ![]()
Текст описания в факсимильном виде (см. графическую часть). Т5 Формула изобретения
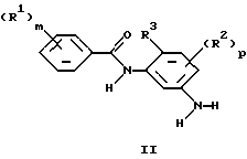
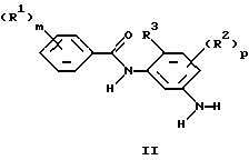
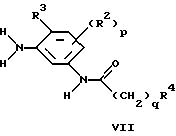
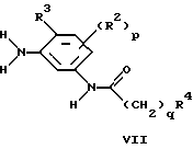
![]() где R1 и R2, которые могут быть одинаковыми или различными, выбраны из гидрокси, C1-6 алкокси, амино, C1-6 алкиламино, ди-(C1-6 алкил) амино, карбокси, C1-6 алкоксикарбонила, нитро, циано, цианоС1-6 алкила, гидроксиС1-6 алкила, аминоС1-6 алкила, C1-6 алканоиламино, C1-6 алкоксикарбониламино, C1-6 алканоила, C1-6 алканоилокси, C1-6 алкила, С2-6 алкенила, С2-6 алкинила, галогена, трифторметила, гетероциклила и гетероциклилС1-6 алкила; и где гетероциклил означает неароматическое моно- или бициклическое 5-10-членное кольцо, содержащее до двух гетероатомов, выбранных из азота и кислорода; m и р обозначают независимо 0-3 и, когда m и/или р равны 2 или 3, группы R1 или R2 каждая могут быть одинаковыми или различными; R3 обозначает галоген; q равно 0-4; R4 обозначает арил или циклоалкил, причем R4 необязательно содержит до 3 заместителей, имеющих любое значение, определенное для каждой группы R1, или его фармацевтически приемлемая соль или расщепляемый in vivo сложный эфир, при условии, что исключены N-[5-(3-циклогексилпропиониламино)-2-метоксифенил]-4-ацетоксибензамид, N-[2-бром-5-(3-циклогексилпропиониламино)фенил]-4-гидроксибензамид, N-[2-хлор-5-(3-циклогексилпропиониламино)фенил]-4-ацетоксибензамид, N-[2-хлор-5-(3-циклогексилпропиониламино)фенил]-4-гидроксибензамид, N-[2-фтор-5-(3-циклогексилпропиониламино)фенил] -4-гидроксибензамид и N-(5-бензамидо-2-хлорфенил)бензамид. 2. Производное бензамида формулы I по п.1, где R1 представляет собой гидрокси, метокси, этокси, пропокси, изопропокси, бутокси, амино, метиламино, этиламино, диметиламино, диэтиламино, карбокси, метоксикарбонил, этоксикарбонил, трет-бутоксикарбонил, циано, ацетамидо, ацетил, ацетокси, метил, этил, пропил, изопропил, бутил, трет-бутил, фтор, хлор, трифторметил, пирролидин-1-ил, морфолино, пиперидино, пиперазин-1-ил или 4-метилпиперазин-1-ил; m равно 1 или 2; р равно 0; R3 представляет собой фтор, хлор или бром; q равно 1, 2 или 3 и R4 представляет собой циклогексил или циклопентил, или его фармацевтически приемлемая соль. 3. Производное бензамида формулы I по п.1, где R1 представляет собой гидрокси, метокси, этокси, пропокси, изопропокси, бутокси, амино, метиламино, этиламино, диметиламино, диэтиламино, карбокси, метоксикарбонил, этоксикарбонил, трет-бутоксикарбонил, циано, ацетамидо, ацетил, ацетокси, метил, этил, пропил, изопропил, бутил, трет-бутил, фтор, хлор, трифторметил, пирролидин-1-ил, морфолино, пиперидино, пиперазин-1-ил или 4-метилпиперазин-1-ил; m равно 1 или 2; р равно 0; R3 представляет собой фтор, хлор или бром; q равно 0; R4 представляет собой фенил, который необязательно замещен 1 или 2 заместителями, выбранными из гидрокси, метокси, этокси, пропокси, амино, метиламино, этиламино, пропиламино, диметиламино, диэтиламино, карбокси, метоксикарбонила, этоксикарбонила, нитро, циано, ацетамидо, ацетила, ацетокси, метила, этила, фтора, хлора, брома, трифторметила, пирролидин-1-ила, морфолино, пиперидина, пиперазин-1-ила и 4-метилпиперазин-1-ила, или его фармацевтически приемлемая соль. 4. Производное бензамида формулы I по п.1, где R1 представляет собой гидрокси, метокси, этокси, циано, фтор, хлор, морфолино или 4-метилпиперазин-1-ил; m равно 1 или 2; р равно 0; R3 представляет собой фтор, хлор или бром; q равно 0 и R4 представляет собой фенил, который замещен 1 или 2 заместителями, выбранными из гидрокси, метокси, диметиламино, метоксикарбонила, циано, фтора, хлора и морфолино, или его фармацевтически приемлемая соль. 5. Производное бензамида формулы I по п.1, где R1 представляет собой гидрокси, метокси, этокси, амино, циано, ацетокси, фтор, хлор, морфолино или 4-метилпиперазин-1-ил; m равно 1 или 2; р равно 0; R3 представляет собой фтор, хлор или бром; q равно 0 и R4 представляет собой фенил, который является незамещенным или замещен 1 или 2 заместителями, выбранными из гидрокси, метокси, амино, диметиламино, метоксикарбонила, нитро, циано, фтора, хлора и морфолино, или его фармацевтически приемлемая соль. 6. Производное бензамида формулы I по п.1, выбранное из группы, включающей N-[2-хлор-5-(3-цианобензамидо)фенил]-3,4-диметоксибензамид, N-[2-хлор-5-(3-диметиламинобензамидо)фенил]-3,4-диметоксибензамид, N-[2-хлор-5-(4-цианобензамидо)фенил]-3,4-диметоксибензамид N-[2-хлор-5-(4-цианобензамидо)фенил]-3-(4-метил-пиперазин-1-ил)бензамид или их фармацевтически приемлемые соли. 7. Производное бензамида формулы I по п.1, выбранное из группы, включающей N-(5-бензамидо-2-хлорфенил)-3,4-диметоксибензамид, N-[2-хлор-5-(3-морфолинобензамидо)фенил]-3,4-диметоксибензамид, N-[5-(4-ацетоксибензамидо)-2-хлорфенил]-4-цианобензамид, N-(5-бензамидо-2-хлорфенил)-2-амино-4-метоксибензамид и N-[2-хлор-5-(3-морфолинобензамидо)фенил]-4-цианобензамид или их фармацевтически приемлемые соли. 8. Способ получения производного бензамида формулы I или его фармацевтически приемлемой соли или расщепляемого in vivo сложного эфира по п.1, который предусматривает реакцию соединения формулы II ![]() с кислотой формулы III ![]() или ее активированным производным, в стандартных условиях образования амидной связи, причем R1-R4, m, p, и q имеют значения, определенные в п.1, и каждая функциональная группа, если необходимо, защищена и (i) удаление любых защитных групп; (ii) необязательное образование фармацевтически приемлемой соли или расщепляемого in vivo сложного эфира. 9. Способ получения производного бензамида формулы I или его фармацевтически приемлемой соли или расщепляемого in vivo сложного эфира по п.1, который предусматривает реакцию кислоты формулы V ![]() или ее активированного производного с анилином формулы VII ![]() в стандартных условиях образования амидной связи, причем R1-R4, m, p, и q имеют значения, определенные в п.1, и при этом, если необходимо, любая функциональная группа защищена и (i) удаление любых защитных групп; (ii) необязательное образование фармацевтически приемлемой соли или расщепляемого in vivo сложного эфира. 10. Способ получения производного бензамида формулы I или его фармацевтически приемлемой соли или расщепляемого in vivo сложного эфира по п.1, в котором R1 или заместитель на R4 является аминогруппой, который предусматривает восстановление соединения формулы I, в котором R1 или заместитель на R4 является нитрогруппой. 11. Фармацевтическая композиция, обладающая ингибирующей активностью в отношении цитокинов, которая содержит активный компонент и фармацевтически приемлемый разбавитель или носитель, отличающаяся тем, что в качестве активного компонента содержит эффективное количество производного бензамида формулы I, или его фармацевтически приемлемой соли, или его расщепляемого in vivo сложного эфира по любому из пп.1-7. Приоритет по пунктам: 15.05.1998 по пп.1-4, 6, 8-11; 17.03.1999 по пп.5, 7. РИСУНКИ
MM4A – Досрочное прекращение действия патента СССР или патента Российской Федерации на изобретение из-за неуплаты в установленный срок пошлины за поддержание патента в силе
Дата прекращения действия патента: 12.05.2009
Извещение опубликовано: 20.07.2010 БИ: 20/2010
|
||||||||||||||||||||||||||









