Патент на изобретение №2205177
|
||||||||||||||||||||||||||
(54) НЕЙРОЗАЩИТНЫЕ АГЕНТЫ
(57) Реферат: Изобретение относится к группе соединений общей формулы (I) высокой степени очистки. ![]() где Q – представляет собой группу положительного заряда, выбранную из ряда амидо-групп или групп с формулой XYN-, где Х и Y одинаковы или отличаются и каждый может представлять собой атом водорода, С1-С6-алкил, или простую группу, содержащую гетероатом, или совместно с атомом азота, к которому они присоединены, образуют гетероциклическую группу с азотом; Ra представляет собой прямую или разветвленную цепь алкилена или алкиленовую группу, имеющую от 1 до 6 атомов углерода, и каждая из которых может быть выборочно замещена от 1 до 4 алкильными группами с числом углеродных атомов от 1 до 3; Rb и Rc обе представляют собой алкилен или алкиленовую группу, содержащую 3 или 4 атома углерода в прямой цепи, каждая из которых может быть выборочно замещена 1 или 2 двумя алкильными группами, каждая из которых содержит от 1 до 3 атомов углерода, при общем числе атомов углерода в указанных прямых цепях Rb и Rc равным 7; R2 и R3 одинаковы или отличаются друг от друга и каждая представляет атом водорода или группу с формулой R, RCO-, ROCO- или RNHCO-, где: R представляет собой алкильную или арильную группу, указанные группы могут быть выборочно замещены одним или большим числом заместителей , определенных ниже;хиральный атом углерода, обозначенный звездочкой в – конфигурации;Z – ароматический остаток аминокислоты; n равно 0 или 1; R1 представляет собой атом водорода или более малую алкильную группу, которая может быть выборочно замещена одним или большим числом заместителей , определенных ниже, иW представляет собой атом водорода или алкильную или арильную группы; а заместители выбираются из: атомов галогенов, аминогрупп, алкиламиногрупп, диалкиламиногрупп, цианогрупп, гидроксилов, алкильных групп (за исключением случаев замещения алкила), арильных групп, карбамильных, алкил- и диалкилкарбамильных групп и карбоксильных групп и производных последним эфиров, и фармацевтически приемлемые соли соединения, при том, что длина наиболее длинной цепи соединения подразумевает число атомов, исключая водород от 14 до 25, которые обладают нейрозащитным эффектом; а также к способу лечения млекопитающих в целях их защиты от нейронных поражений. 3 с.п. и 15 з.п. ф-лы, 7 табл., 4 ил.
Текст описания в факсимильном виде (см. графическую часть). Те Формула изобретения
![]() где Q представляет собой группу положительного заряда, выбранную из ряда амидогрупп или групп с формулой XYN-, где Х и Y одинаковы или отличаются, и каждый может представлять собой атом водорода, С1-С6-алкил, или простую группу, содержащую гетероатом, или совместно с атомом азота, к которому они присоединены, образуют гетероциклическую группу с азотом; Ra представляет собой прямую или разветвленную цепь алкилена или алкиленовую группу, имеющую от 1 до 6 атомов углерода и каждая из которых может быть выборочно замещена от 1 до 4 алкильными группами с числом углеродных атомов от 1 до 3. Rb и Rc обе представляют собой алкилен или алкиленовую группу, содержащую 3 или 4 атома углерода в прямой цепи, каждая из которых может быть выборочно замещена 1 или 2 двумя алкильными группами, каждая из которых содержит от 1 до 3 атомов углерода, при общем числе атомов углерода в указанных прямых цепях Rb и Rc равным 7; R2 и R3 одинаковы или отличаются друг от друга, и каждая представляет атом водорода или группу с формулой R, RCO-, ROCO- или RNHCO-, где R представляет собой алкильную или арильную группу, указанные группы могут быть выборочно замещены одним или большим числом заместителей , определенных ниже; хиральный атом углерода, обозначенный звездочкой в конфигурации;Z – ароматический остаток аминокислоты; n равно 0 или 1; R1 представляет собой атом водорода или более малую алкильную группу, которая может быть выборочно замещена одним или большим числом заместителей , определенных ниже, иW представляет собой атом водорода или алкильную или арильную группы; а заместители выбираются из атомов галогенов, аминогрупп, алкиламиногрупп, диалкиламиногрупп, цианогрупп, гидроксилов, алкильных групп (за исключением случаев замещения алкила), арильных групп, карбамильных, алкил- и диалкилкарбамильных групп и карбоксильных групп и производных последним эфиров,и фармацевтически приемлемые соли соединения, при том, что длина наиболее длинной цепи соединения подразумевает число атомов, исключая водород от 14 до 25. 2. Соединения по п. 1, соответствующие формуле (Iа) ![]() где Q, Ra, Rb, Rc, R2, R3, Z, n и R1 определены в п. 1. 3. Соединения по п. 1, соответствующие формуле (Ib) ![]() где Х, Y, Z, n и R1 определены выше; х – целое число от 1 до 5; у – 3 или 4; R4, R5, R6 и R7 могут быть одинаковыми или различными, и каждая из которых представляет атом водорода или более легкую алкильную группу; а хиральный атом углерода, обозначенный звездочкой в конфигурации;4. Соединения, согласно любому из предыдущих пунктов, в которых Z представляет ароматический аминокислотный остаток в конфигурации.
5. Нетоксичные соли соединений формулы (I) по п. 1.
6. Нетоксичные соли соединений формулы Iа по п. 2.
7. Нетоксичные соли соединений формулы Ib по п. 3.
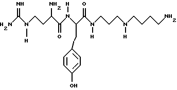
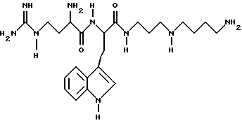
8. Соединения по п. 1, которое представляет собой![]() 9. Соединение по п. 1, которое представляет собой ![]() 10. Соединение по п. 1, которое представляет собой ![]() 11. Соединение по п. 1, которое представляет собой ![]() 12. Соединение по п. 1, которое представляет собой ![]() 13. Соединение по п. 1, которое представляет собой ![]() 14. Соединение по п. 1, которое представляет собой ![]() 15. Соединение по п. 1, которое представляет собой ![]() 16. Соединение по п. 1, которое представляет собой ![]() 17. Соединение по любому из предшествующих пунктов, обладающее нейрозащитным эффектом. 18. Способ лечения млекопитающих в целях их защиты от нейронных поражений путем введения им до, после или во время ишемического воздействия эффективного количества нетоксичного соединения, соответствующего пп. 1-16. РИСУНКИ
MM4A – Досрочное прекращение действия патента СССР или патента Российской Федерации на изобретение из-за неуплаты в установленный срок пошлины за поддержание патента в силе
Дата прекращения действия патента: 17.12.2006
Извещение опубликовано: 20.07.2010 БИ: 20/2010
|
||||||||||||||||||||||||||


, определенных ниже;
– конфигурации;
конфигурации;

конфигурации;
конфигурации.
5. Нетоксичные соли соединений формулы (I) по п. 1.
6. Нетоксичные соли соединений формулы Iа по п. 2.
7. Нетоксичные соли соединений формулы Ib по п. 3.
8. Соединения по п. 1, которое представляет собой







