Патент на изобретение №2204984
|
||||||||||||||||||||||||||
(54) ГЕЛЬ ДЛЯ УХОДА ЗА КОЖЕЙ ВОКРУГ ГЛАЗ
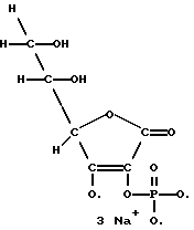
(57) Реферат: Изобретение относится к области косметологии и касается косметических средств, предназначенных для ухода за кожей вокруг глаз. Гель для ухода за кожей вокруг глаз содержит желирующие, увлажняющие вещества, витамин С, БАД, парфюмерную композицию, воду, дополнительно содержит диметикон и/или циклометикон, трилон Б, триэтаноламин или натрия гидроокись, или натр едкий, бронопол или бронитрол, или КАТОН CG, гермабен II, в качестве увлажняющих веществ дополнительно содержит пропиленгликоль, аллантоин, в качестве БАД содержит гидролизованный молочный протеин или молочно-пептидный комплекс, экстракт цветков василька синего водно-спиртовый или водно-спирто-глицериновый, экстракт зеленого чая в пропиленгликоле или водно-спирто-глицериновый экстракт мелиссы, в качестве витамина С используют стабилизированную форму в виде натрия аскорбилфосфата или магния аскорбилфосфата, в качестве желирующих – карбопол или карбомеры, или САКАП, или САКАП-Р, компоненты берут в определенном количественном содержании. Гель не обладает общетоксичеcким, кожно-раздражающим и сенсибилизирующим действием. 2 табл. Изобретение относится к медицине, а именно к косметическим средствам, предназначенным для ухода за кожей вокруг глаз. Известна лечебно-профилактическая и косметическая композиция [1] в виде эмульсии, включающая рицинолевую кислоту, глицерин, витамин С, растительные и эфирные масла и гель полиэтиленоксида. Композиция обладает антибактериальным, фунгицидным, противовирусным и регенерирующим действием на кожу и слизистые оболочки. Недостатком препарата является то, что срок хранения геля полиэтиленоксида составляет 6 месяцев, это неудобно для промышленной применимости в косметических средствах. Защитно-профилактический крем [2] содержит масло вазелиновое, динатриевую соль этилендиаминтетрауксусной кислоты, аскорбиновую кислоту, масло чайного дерева, сывороточные белки, воду дистиллированную. Крем повышает обменно-репаративные функции кожного покрова, что повышает эффективность профилактики и лечения профессиональных дерматозов. Указанные лечебно-профилактические композиции в виде эмульсии [1] и в виде крема [2], содержащие аскорбиновую кислоту, имеют довольно узкую область применения и не могут быть использованы в косметических средствах с целью ухода за сверхчувствительной кожей в области глаз. Тонкая кожа век нуждается в специальном уходе, защищающем кожу от потери влаги и старения, от негативного воздействия окружающей среды, стрессов, которые приводят к “усталости” кожи, темным кругам и “мешкам” под глазами. Задачей изобретения было создание легкого косметического средства, с помощью которого можно устранить негативное воздействие окружающей среды и решить вышеуказанные проблемы. В состав геля введены компоненты, оказывающие значительный эффект: – молочный пептидный комплекс оживляет “усталую” кожу и уменьшает темные круги; – витамин С стимулирует кровообращение и защищает кожу от воздействия свободных радикалов; – экстракт мелиссы оказывает расслабляющий и успокаивающий эффект; – экстракт василька уменьшает темные круги под глазами; – экстракт зеленого чая тонизирует кожу и уменьшает отечность век; – гель смягчает, увлажняет и разглаживает кожу, устраняет мелкие морщинки. Заявляемый гель – идеальное средство для профилактики старения кожи вокруг глаз. В качестве прототипа выбран гель по патенту [1]. Отличие заявляемого геля для ухода за кожей вокруг глаз от прототипа (см. таблицу 1). Сущность изобретения состоит в том, что заявляемый гель для ухода за кожей вокруг глаз, содержащий желирующие, увлажняющие вещества, витамин С, биологически-активные добавки, парфюмерную композицию и воду, отличается тем, что дополнительно содержит диметикон и/или циклометикон, трилон Б, триэтаноламин или натрия гидроокись, или натр едкий технический, бронопол или бронитрол, или КАТОН CG, или Гермабен II, в качестве увлажняющих веществ дополнительно содержит пропиленгликоль, аллантоин, в качестве биологически-активных добавок дополнительно содержит гидролизованный молочный протеин или молочно-пептидный комплекс, экстракт цветков василька синего водно-спиртовый или экстракт цветков василька синего водно-спирто-глицериновый, или экстракт цветков василька синего в пропиленгликоле, экстракт зеленого чая в пропиленгликоле или экстракт зеленого чая водно-спирто-глицериновый, экстракт мелиссы водно-спиртовый или экстракт мелиссы водно-спирто-глицериновый, или экстракт мелиссы в пропиленгликоле, в качестве витамина С используют стабилизированную форму в виде натрия аскорбилфосфата или магния аскорбилфосфата, в качестве желирующих – карбопол или карбомеры, или САКАП, или САКАП-Р, краситель C.I. 47005, при следующем соотношении компонентов, мас.%: Карбопол марки 940 или карбопол марки ETD 2001, или карбомеры, или САКАП, или САКАП-Р – 0,20-2,00 Триэтаноламин (2,2′,2″-нитрилотриэтанол) или натрия гидроокись, или натр едкий технический – 0,20-2,00 Глицерин дистиллированный ПК-94 или пропиленгликоль – 5,00-15,00 Аллантоин – 0,10-1,00 Диметикон и циклометикон (Силком) или Циклометикон (продукты DC 245 или DC 345) – 2,00-10,0 Трилон Б (Динатриевая соль этилендиаминтетрауксусной кислоты) – 0,05-0,50 Гидролизованный молочный протеин или молочно-пептидный комплекс (Липосомы МРС) – 1,00-5,00 Экстракт цветков василька синего водно-спиртовый или экстракт цветков василька синего водно-спирто-глицериновый или экстракт цветков василька синего в пропиленгликоле – 0,50-2,00 Экстракт зеленого чая в пропиленгликоле или экстракт зеленого чая водно-спирто-глицериновый – 0,50-2,00 Экстракт мелиссы водно-спиртовый или экстракт мелиссы водно-спирто-глицериновый или экстракт мелиссы в пропиленгликоле – 0,50-2,00 Натрия аскорбилфосфат или магния аскорбилфосфат (витамин С) – 0,05-0,30 Бронопол или бронитрол, или КАТОН CG, или Гермабен II – 0,01-0,50 Краситель C.I. 47005, г/т – не более 2,00 Парфюмерная композиция – не более 0,30 Вода питьевая – до 100,00 Приготовление геля осуществляется по следующей технологии. В реактор загружают воду за вычетом того количества воды, которое идет на приготовление раствора витамина С и раствора красителя, карбопол, трилон Б, аллантоин нагревают до температуры 30-50oС и перемешивают до полного растворения карбопола в воде. Далее загружают глицерин, силком, экстракты трав, гидролизованный молочный протеин, бронопол, раствор натрия аскорбилфосфата или магния аскорбилфосфата, раствор красителя, триэтаноламин, парфюмерную композицию. Готовый гель анализируют, затем перекачивают в сборник для хранения и подают на фасовку. Гель представляет собой прозрачную желеобразную массу лимонного цвета с изысканным и утонченным ароматом, сочетающим в себе свежесть лимона, апельсина, бергамота с теплыми цветочными оттенками иланг-иланга, белой лилии, жасмина и нотами мускуса, кедрового дерева и гвоздики. Составы геля по нескольким примерам приведены в таблице 2. Характеристика основного сырья, используемого в заявляемом геле. Структурообразующие компоненты выбирают из группы, состоящей из карбопола марки 940 или карбопола марки ETD 2001, или карбомеров, или САКАП, или САКАП-Р. Пленкообразующими компонентами являются диметикон и циклометикон (силком). Представляют собой композицию на основе диметилсилоксанов (диметикон) и цикло-метилсилоксанов (циклометикон). Выпускают марки А, Б, В, Г, Д с содержанием диметикона,%: 10, 30, 50, 70, 90 соответственно, остальное -циклометикон. Циклометикон выпускает компания Dow Corning под серийными марками – 245 или 345. Увлажняющие компоненты выбирают из группы, состоящей из глицерина дистиллированного ПК-94 или пропиленгликоля, аллантоина. Биологически-активные добавки выбирают из группы, состоящей из гидролизованного молочного протеина, натрия аскорбилфосфата или магния аскорбилфосфата (витамин С), экстрактов василька синего, зеленого чая, мелиссы. Гидролизованный молочный протеин или Молочно-пептидный комплекс -(МРС – Milk Peptide Complex). Молочно-пептидный комплекс содержит натуральные полипептиды молока в активной форме. Они защищают кожу от вредного воздействия окружающей среды благодаря физиологическому воздействию молочных компонентов, таких как лактоглобулин, лакталбумин, лактоферрин, лактоза и других составляющих. Экстракт цветков василька синего водно-спиртовый или экстракт цветков василька синего водно-спирто-глицериновый, или экстракт цветков василька синего в пропиленгликоле (Flores Cyani). Цветки содержат флавоновый гликозид центауреин, синий антоциановый гликозид цианин, эфирное масло, горькие, дубильные вещества, сапонины, минеральные соли и другие вещества. В медицинской практике цветки василька применяются в виде настоя и экстрактов при нефритах, нефрозонефритах, циститах, уретритах как мочегонное средство и при заболеваниях печени и желчных путей как желчегонное. Мочегонный эффект василька использован в геле для снятия отечности и темных кругов под глазами [3]. Экстракт зеленого чая в пропиленгликоле или экстракт зеленого чая водно-спирто-глицериновый. Химический состав чая чрезвычайно сложен. Как показали исследования, чай состоит на 30-50% из экстрактивных, то есть растворимых в воде частей. Чем моложе, тем выше качество листьев чая, тем богаче экстрактивными веществами полученный из них сухой чай. В состав чая входят дубильные вещества, эфирные масла, алкалоиды, аминокислоты, пигменты и витамины. Дубильные вещества составляют 15-20% чая и представляют собой сложную смесь десятка полифенольных соединений, состоящих из танина и различных катехоламсинов, полифенолов и их производных. Танин и катехины чая обладают свойствами витамина Р, благодаря чему чай является главным источником получения важного витамина. Дубильные вещества чая не остаются неизменными. Продукты их окисления – хиноны окисляют другие вещества чайного листа, образуются ароматические продукты, участвующие в создании аромата чая. Эфирные масла имеются в зеленом листе и в готовом чае, они обусловливают собой алифатические и ароматические углеводы, альдегиды, кетоны, фенолы, сложные кислоты и другие летучие соединения. Важный компонент чая – алкалоиды. Среди них первое место занимает кофеин, в чае его содержится 1-4%, гораздо больше, чем в кофе, но чайный кофеин действует мягче, чем чистый кофейный кофеин по целому ряду причин, в том числе потому, что кофеин, вступая в реакцию с танином, образует таннат кофеина, действующего мягче на сердечно-сосудистую и центральную нервную систему. Помимо кофеина в состав чая входят и другие алкалоиды – это растворимые в воде теобромин, теофиллин, труднорастворимый в воде аденин. Белковые вещества вместе со свободными аминокислотами составляют от 16 до 25% чая. По содержанию белков, их качеству чайный лист не уступает бобовым культурам. Особенно богаты белками зеленые чаи. В состав чая входят пигменты: хлорофилл, ксантифилл, каротин, теарубигины и теафлавины. Кроме перечисленных групп в состав чая входят минеральные, неорганические, смолистые вещества, а также органические кислоты и некоторые элементы: железо, магний, калий, марганец, фтор, йод, медь, золото, фосфор и его соединения – фитин, гексозомонофосфат, гексозодифосфат, ортофосфорная кислота. Микроэлементы находятся в составе сложных соединений в коллоидном состоянии, поддаются растворению в воде и выходят в чайный настой. В состав чая также входят ферменты, смолистые и пектиновые вещества, гликозиды и витамины. В чае присутствуют почти все витамины – А, группы В (B1, В2, пантотеновая кислота, витамин РР), витамины С, К. Очень важным витамином чая является витамин Р. Витамин Р в комплексе с витамином С усиливает эффект аскорбиновой кислоты. С давних пор было замечено, что чай стимулирует жизнедеятельность организма, повышает работоспособность, снимает усталость, сонливость. Установлены бактериостатические и бактерицидные свойства теотанина, причем зеленый чай обладает наиболее сильными бактерицидными свойствами. Чай оказывает благоприятное действие на обмен веществ, на кроветворение и сердечно-сосудистую систему. Чай расширяет сосуды, укрепляет сосудистую стенку, уменьшает ее проницаемость, снижает ломкость. На Р-витаминном эффекте катехинов чая основано использование его при различных лучистых воздействиях – при солнечных ударах, кварцевых ожогах, рентгеновских облучениях. Тонизирующее влияние чай оказывает на центральную нервную систему, снимает усталость, повышает умственную работоспособность [4]. Экстракт мелиссы водно-спиртовый или экстракт мелиссы водно-спирто-глицериновый, или экстракт мелиссы в пропиленгликоле (Melissa officinalis). В траве мелиссы обнаружены эфирное масло, содержащее цитраль, цитронеллаль, мирцен и гераниол, аскорбиновая, кофейная, олеаноловая и урсоловая кислоты, дубильные вещества, смолы, горечи, слизь. В медицине мелисса употребляется как легкое возбуждающее и ветрогонное средство. Мелисса входит в состав косметических средств и употребляется для ароматизации лекарств. Наружно мелиссу употребляют для ароматических ванн нередко вместе с другими травами. Для лечения различных кожных сыпей, фурункулеза, при воспалении десен [5]. Натрия аскорбилфосфат или магния аскорбилфосфат – Витамин С производства концерна БАСФ АГ, Германия Структурная формула ![]() Натрия аскорбилфосфат представляет собой натриевую соль стабильного производного витамина С. Это белый, слегка бежеватый порошок, практически без запаха. Хорошо растворим в воде. Витамин С – прекрасное активное вещество для ухода за кожей. Он защищает кожу, активизирует образование новых клеток и улучшает ее внешний вид. Но именно витамин С обладает одним существенным недостатком. В действующих косметических рецептурах он нестабилен. Он разлагается, меняет цвет эмульсии. Натрия аскорбилфосфат производства концерна БАСФ АГ является дериватом витамина С, который этого недостатка не имеет. Он стабилен в готовых косметических изделиях. Аскорбил фосфат расщепляется в коже на энзимы. Витамин С высвобождается и оказывает эффективное воздействие: – как антиокислитель он защищает клетки от вредного действия свободных радикалов; – благодаря способности активизировать образование коллагена в дерме замедляет процесс старения; – воздействуя на процесс образования меланина, уменьшает гиперпигментацию, возрастные пигментные пятна, осветляет кожу. Консерванты выбирают из группы, состоящей из бронопола или бронитрола, или КАТОНа CG, или Гермабена II. КАТОН CG – метилхлороизотиазолон, метилизотиазолон, хлорид магния, нитрат магния. Гермабен II – метиловый и пропиловый эфиры параоксибензойной кислоты, диазолидинил мочевины, пропиленгликоль. Заявляемый гель для ухода за кожей вокруг глаз прошел токсикологические и клинические испытания в аккредитованном испытательном лабораторном центре Института Красоты. Токсикологические исследования показали, что гель не обладает общетоксическим, кожно-раздражающим и сенсибилизирующим действием. Клинические испытания проводились на 20 пациентах в течение 30 дней. Испытания показали, что гель безвреден, не оказывает раздражающего и аллергизирующего действия и предназначен для ухода за кожей вокруг глаз. Источники информации 1. Патент РФ 2166309, 7 А 61 К 7/00, 7/48, 31/23 опубл. 10.05.2001, Бюл. 13 (прототип). 2. Патент РФ 2164403, 7 А 61 К 7/00, 7/48, 7/40 опубл. 27.03.2001, Бюл. 9. 3. АН БССР. Лекарственные растения и их применение. – Минск: Изд. Наука и техника, 1974, с. 443-445. 4. Б. Г.Волынский и др. Растения в медицине – Изд. Саратовского университета, 1989, с.389-390. 5. Б.Г.Волынский и др. Растения в медицине. – Изд. Саратовского университета, 1989, с.54-55. Формула изобретения
Карбопол марки 940 или карбопол марки ETD 2001, или карбомеры, или САКАП, или САКАП-Р – 0,20-2,00 Триэтаноламин (2,2′, 2″-нитрилотриэтанол), или натрия гидроокись, или натр едкий технический – 0,20-2,00 Глицерин дистиллированный ПК-94 или пропиленгликоль – 5,00-15,00 Аллантоин – 0,10-1,00 Диметикон и циклометикон (Силком) или циклометикон (продукты DC 245 или DC 345) – 2,00-10,00 Трилон Б (Динатриевая соль этилендиаминтетрауксусной кислоты) – 0,05-0,50 Гидролизованный молочный протеин или молочно-пептидный комплекс – 1,00-5,00 Экстракт цветков василька синего водно-спиртовый, или экстракт цветков василька синего водно-спирто-глицериновый, или экстракт цветков василька синего в пропиленгликоле – 0,50-2,00 Экстракт зеленого чая в пропиленгликоле или экстракт зеленого чая водно-спирто-глицериновый – 0,50-2,00 Экстракт мелиссы водно-спиртовый, или экстракт мелиссы водно-спирто-глицериновый, или экстракт мелиссы в пропиленгликоле – 0,50-2,00 Натрия аскорбилфосфат или магния аскорбилфосфат (Витамин С) – 0,05-0,30 Бронопол или бронитрол, или КАТОН CG, или Гермабен II – 0,01-0,50 Краситель С. 1. 47005, г/т – Не более 2,00 Парфюмерная композиция – Не более 0,30 Вода питьевая – До 100,00 РИСУНКИ
MM4A – Досрочное прекращение действия патента СССР или патента Российской Федерации на изобретение из-за неуплаты в установленный срок пошлины за поддержание патента в силе
Дата прекращения действия патента: 31.05.2008
Извещение опубликовано: 10.06.2010 БИ: 16/2010
|
||||||||||||||||||||||||||

