Патент на изобретение №2204560
|
||||||||||||||||||||||||||
(54) ПРОИЗВОДНЫЕ ТЕТРАГИДРОИМИДАЗО [2,1-А]ИЗОХИНОЛИНА И ФАРМАЦЕВТИЧЕСКИЙ ПРЕПАРАТ НА ИХ ОСНОВЕ
(57) Реферат: Изобретение относится к производным тетрагидроимидазо[2,1 -а]изохинолина формулы (I), где Х представляет собой группу (А) или (В), R1, R2 и R3 являются водородом, С1-6алкилом или галогеном, a R4, R5, R6 и R7 являются водородом. Также описан фармацевтический препарат для ингибирования повторного поглощения серотонина, допамина и норадреналина на основе этих соединений. Технический результат: получены новые соединения, обладающие ценными биологическими свойствами. Изобретение может быть использовано в области медицины в качестве лекарственного средства для лечения депрессии. 4 с. и 5 з.п.ф-лы, 3 табл. ![]()
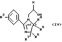
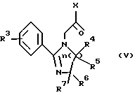
Изобретение относится к некоторым производным тетрагидроимидазо [2,l-a] изохинолина, способам их получения, содержащим их фармацевтическим препаратам, а также к их применению при лечении лекарственными средствами, в частности при лечении депрессии. Депрессия представляет собой общее серьзное и угрожающее заболевание, и ее воздействия являются устойчивыми и ослабляющими. Более старые антидепрессанты первого поколения, включая имипрамин и амитриптилин, имеют отрицательные сердечно-сосудистые и антихолинергические побочные эффекты, которые могут привести к серьезной интоксикации при передозировке и к плохому соблюдению пациентом режима и схемы лечения. Более новые лекарственные средства второго поколения, которые стали доступны с середины 70-х годов, такие как нетипичные антидепрессанты и ингибиторы повторного поглощения серотонина (ИППС, SSRI), имеют свой собственный профиль побочных эффектов, который включает нарушение сна, желудочно-кишечные симптомы, появление сексуальных проблем и страха. Литий отличается целым рядом отрицательных побочных эффектов, которые часто приводят к плохому соблюдению пациентом режима и схемы лечения и последующему рецидиву. Современные альтернативы литию, карбамазепин и валпроат, не являются более эффективными, чем литий, и несут дополнительный груз гематологической и гепатической токсичности соответственно. Вследствие короткой истории антидепрессантных лекарственных средств поиск новых агентов продолжается. Найдена новая группа лекарственных средств, которые помимо ингибирования повторного поглощения серотонина также ингибируют повторное поглощение норадреналина и допамина. Ингибирование повторного поглощения допамина, как полагают, вызывает быстрое улучшение настроения, что делает такие соединения приемлемыми для резкого ослабления симптомов депрессии. Это, как считают, является значительным преимуществом по сравнению с известными антидепрессантными лекарственными средствами, такими как блокаторы повторного поглощения серотонина и норадреналина, которые имеют начало действия, замедленное на две недели или более. Кроме того, настоящие соединения ввиду их способности блокировать повторное поглощение допамина обладают меньшим седативным действием, чем соединения предшествующего уровня, и, следовательно, больше подходят для лечения пациентов с психомоторной ретардацией. Таким образом, более широкий фармакологический профиль соединений настоящего изобретения обеспечит получение антидепрессантов, которые отличаются быстрым наступлением эффекта, более широким спектром действия и пониженным побочным действием. Также полагают, что эти соединения будут, в частности, эффективны при лечении пожилых людей, лечении устойчиво и биполярно угнетенных пациентов. Соединения настоящего изобретения могут быть также использованы для лечения болезни Паркинсона, ожирения, тревожных состояний, основной боли, наркомании и негативных симптомов у больных шизофренией, а также ряда других заболеваний, упомянутых здесь. Таким образом, в соответствии с одним из аспектов настоящее изобретение предлагает соединения формулы (I) ![]() где Х представляет собой группу (А) или (В) ![]() каждый из заместителей R1, R2 и R3, которые могут быть одинаковыми или разными, представляет собой один или более заместителей, выбираемых из атома водорода, C1-6-алкила, C3-6-циклоалкила, С1-6-алкилтиогруппы, C4-6-циклoaлкeнильнoй, С2-6-алкенильной, C2-6-алкинильной групп и галогена; каждый из заместителей R4, R5, R6 и R7, которые могут быть одинаковыми или разными, выбирается из атома водорода, С1-6-алкокси-С1-6-алкильной, С4-6-циклоалкенильной, C2-6-алкенильной, C2-6-алкинильной, С3-6-циклоалкильной и C1-6-алкильной групп; n принимает значения 1 или 2, или его фармацевтически приемлемые соли или сольват для применения при лечении лекарственными средствами. В соответствии с еще одним аспектом изобретение предоставляет соединения формулы (I) и их фармацевтически приемлемые соли и сольваты для использования при лечении или профилактике депрессии или любых заболеваний или нарушений, названных здесь. Термин алкил, используемый в данном случае как группа или часть группы, означает алкильную группу с линейной или разветвленной цепью. Число атомов углерода в алкильной группе (или в любых других группах, определенных ниже) обозначается с помощью префикса, например, C1-6-алкил означает алкильную группу, содержащую от 1 до 6 атомов углерода. К таким алкильным группам относятся метил, этил, изо-пропил, н-пропил, н-бутил, втор-бутил, трет-бутил, н-пентил, изо-пентил, неопентил, н-гексил, изо-гексил и неогексил. Понятие С1-6-алкилтиогруппа включает метилтио-, этилтио- и пропилтиогруппы. Алкенильные группы представляют собой группы, которые могут иметь Е- или Z -форму или могут представлять собой смесь этих форм, когда они содержат, по меньшей мере, три атома углерода, то могут быть разветвленными. Конкретными примерами алкенильных групп являются винильная, аллильная, бутенильная, изо-бутенильная, пентенильная, изо-пентенильная, гексенильная, изо-гексенильная, неогексенильная и 1-метил-2-пропенильная группы. Понятие алкокси- и алкинильная группы имеют значения, понятные квалифицированному в данной области специалисту, и могут иметь линейные и разветвленные цепи. Примерами алкоксигрупп являются метокси- и этоксигруппа, а примерами алкинильных групп являются этинильная, пропинильная и бутинильная группы. Используемые в данном описании понятия циклоалкильная и циклоалкенильная группы имеют значения, которые понятны квалифицированному в данной области специалисту, и включают циклопропильную, циклобутильную, циклобутенильную, циклопентильную, циклопентенильную, циклопентадиенильную, циклогексильную, циклогексенильную и циклогексадиенильную группы. Определение галоген включает хлор, бром, фтор и йод. Заместитель в кольце R1, когда он присутствует в фенильной группе (А), может находиться в любом одном или в нескольких положениях 2, 3, 4, 5 или 6. Конкретными примерами единственного заместителя в кольце являются 4-хлор или 4-фтор. Примерами нескольких заместителей являются 3-хлор, 4-фтор и 3,4-дихлор. Заместитель в кольце R1, когда он присутствует в нафтильной группе (В), может находиться в любом одном или в нескольких положениях 1, 3 или 4. Заместители в кольце R2 и R3 могут находиться в любом одном или в нескольких доступных положениях. Следует отметить, что некоторые соединения формулы (I), их соли и сольваты могут содержать один или несколько хиральных центров и могут существовать в виде стереоизомеров, включая диастереомеры и энантиомеры. Настоящее изобретение включает в свой объем названные стереоизомеры, а также каждый индивидуальный (R) и (S) энантиомер соединений формулы (I) и их соли и сольваты. Индивидуальный энантиомер может быть практически чистым, то есть ассоциированным с менее чем 5%, предпочтительно с менее чем 2%, в частности с менее чем 1% другого энантиомера или представлять собой смеси таких энантиомеров в любых соотношениях, включая рацемические смеси, содержащие по существу равные количества двух энантиомеров. Для терапевтического применения соли соединения формулы (I) представляют собой такие кислотно-аддитивные соли, где кислота является фармацевтически приемлемой. Однако соли кислот, которые не являются фармацевтически приемлемыми, также могут найти применение, например, при получении или очистке фармацевтически приемлемого соединения. Все соли, как фармацевтически приемлемые, так и фармацевтически неприемлемые, охватываются настоящим изобретением. В соответствии с настоящим изобретением к солям относятся фармацевтически приемлемые кислотно-аддитивные соли, полученные из таких минеральных кислот, как соляная, бромисто-водородная, йодисто-водородная, фосфорная, метафосфорная, азотная и серная кислоты, а также соли, полученные из органических кислот, таких как винная, уксусная, трифторуксусная, лимонная, яблочная, молочная, малеиновая (цис-бутендиовая кислота), малоновая, фумаровая, бензойная, аскорбиновая, пропионовая, гликолевая, глюконовая, янтарная, метансульфоновая и арилсульфоновая, например п-толуолсульфоновая, кислоты. Предпочтительными солями в соответствии с настоящим изобретением являются кислотно-аддитивные соли соляной, щавелевой, фумаровой и малеиновой кислот. Сольваты в соответствии с настоящим изобретением представляют собой гидраты. Соединение (рацемат)-6-фенил-2,3,5,6-тетрагидроимидазо [2,1-а] изохинолин и способы его производства описаны в синтетическом исследовании, представленном в J. Org. Chem. 35, (4), 1178-1180 (1970). Следовательно, само по себе это соединение не защищается. Таким образом, в соответствии с еще одним аспектом настоящее изобретение представляет соединения формулы (I), описанные выше, при условии, что это соединение не является (рацемат)-6-фенил-2,3,5,6-тетрагидроимидазо [2,1-а] изохинолином. Следующие соединения формулы (I), или с условием, или без условия, представляют собой предпочтительные соединения в соответствии с настоящим изобретением: (i) X представляет собой (А); (ii) R1 представляет собой один или несколько заместителей, выбираемых из атома водорода, C1-6-алкила и атома галогена, причем предпочтительно заместитель R1 находится в 4-ом положении (когда Х представляет собой (А)); (iii) каждый из заместителей R3, R4, R5, R6 и R7 представляет собой атом водорода; (iv) n принимает значение 1; (v) заместители X, R1, R3, R4, R5, R6 и R7 определены выше в пунктах от (i) до (iv); или их фармацевтически приемлемые соли или сольваты. Особенно предпочтительными соединениями в соответствии с настоящим изобретением, которые, как установлено, могут быть использованы при лечении депрессии, являются: (рацемат)-6-(4-хлорфенил)-2,3,5,6-тетрагидроимидазо [2,1-а] изохинолин; (-)-6-(4-хлорфенил)-2,3,5,6-тетрагидроимидазо [2,1-а] изохинолин; (+)-6-(4-хлорфенил)-2,3,5,6-тетрагидроимидазо [2,1-а] изохинолин; (рацемат)-6-(4-фторфенил)-2,3,5,6-тетрагидромидазо [2,1-a] изохинолин; (-)-6-(4-фторфенил)-2,3,5,6-тетрагидроимидазо [2,1-а] изохинолин; (+)-6-(4-фторфенил)-2,3,5,6-тетрагидроимидазо [2,1-a] изохинолин; а также их фармацевтически приемлемые соли и сольваты. Настоящее изобретение также включает способ лечения животного, например млекопитающего, в том числе человека, страдающего от депрессии или предрасположенного к ней или любого вышеназванного заболевания, который включает введение эффективного количества соединения формулы (I) или его фармацевтически приемлемой соли или сольвата. В соответствии с еще одним аспектом настоящее изобретение представляет применение соединения формулы (I) или его фармацевтически приемлемой соли или сольвата при производстве лекарственного средства для лечения или предупреждения депрессии или любого из перечисленных выше заболеваний или расстройств. Состояния депрессии, при лечении которых могут быть использованы соединения формулы (I) и их фармацевтически приемлемые соли и сольваты, представляют собой состояния, классифицируемые в издании “Diagnostic and Statistical Manual of Mental Disorders” (Fourth Edition-Revised, American Psychiatric Association, Washington, D.C. (1994)) как аффективные расстройства, включая нарушения настроения, другие специфические аффективные расстройства и биполярные и депрессивные расстройства, не определенные другим образом. Другое применение соединений формулы (I) или их фармацевтически приемлемых солей или сольватов при терапии человека включает лечение следующих состояний: – тревожные состояния, в том числе фобические неврозы, панические неврозы, неврозы страха, заболевания посттравматического стресса и острого стресса; – заболевания, связанные с дефицитом внимания; – расстройства питания, включая ожирение, анорексию и булимию; – заболевания, связанные с изменением личности, включая пограничные состояния изменения личности; – шизофрения и другие психотические расстройства, включая шизоаффективное расстройство, расстройство зрения, разделенное психотическое расстройство, краткое психотическое расстройство и психотическое расстройство; – синдром нарколепсии-каталепсии; – расстройства, связанные с веществами; – нарушения сексуальной функции; – нарушения сна. Количество соединения формулы (I) или его фармацевтически приемлемой соли или сольвата, называемых в данном описании также активным ингредиентом, которое необходимо для достижения терапевтического эффекта, будет, конечно, меняться в зависимости от конкретного соединения, способа его введения, возраста и состояния пациента, а также конкретного расстройства или заболевания, которое необходимо лечить. Приемлемая ежедневная доза для лечения любого из названных выше заболеваний находится в интервале от 0,01 до 125 мг на кг веса тела пациента (например, человека) в день, предпочтительно – в интервале от 0,1 до 50 мг на кг веса тела в день и наиболее предпочтительно – в интервале от 0,25 до 25 мг на кг веса тела в день. Необходимая доза может быть представлена в виде одной, двух, трех, четырех, пяти или более субдоз, применяемых в течение дня через определенные интервалы времени. Хотя можно вводить один активный ингредиент, предпочтительно представлять его в виде фармацевтического препарата. Таким образом, настоящее изобретение дополнительно предлагает фармацевтический препарат, содержащий соединение формулы (I) или его фармацевтически приемлемую соль или сольват, вместе с фармацевтически приемлемым носителем и необязательно другими терапевтическими агентами. Носитель должен быть “приемлемым”, то есть совместимым с другими ингредиентами и безвредным для пациента. Препараты представляют собой препараты для перорального, ректального, назального, местного (в том числе трансдермального, трансбуккального или подъязычного), вагинального или парентерального (в том числе подкожного, внутримышечного, внутридермального и intravitreal) введения. Препараты могут быть получены способами, известными в данной области, например, с помощью способов, описанных в работе Gennaro et al., Remington’s Pharmaceutical Sciences (18tn ed. , Mack Publishing company, 1990, Part 8: Pharmaceutical Preparations and their Manufacture). Такие способы включают стадию смешения активного ингредиента с носителем, который состоит из одного или нескольких вспомогательных ингредиентов. Такими вспомогательными ингредиентами являются ингредиенты, известные в данной области, например наполнители, связующие вещества, разбавители, диспергирующие агенты, смазывающие вещества, красители, вкусовые добавки и смачивающие агенты. Препараты, предназначенные для перорального введения, могут представлять собой дискретные единицы, такие как пилюли, таблетки или капсулы, каждая из которых содержит предопределенное количество активного ингредиента; порошок или гранулы; раствор или суспензию. Активный ингредиент также может быть представлен в виде шарика или пасты, или может находиться в липосомах, или в виде других рецептур, которые обеспечивают медленное выделение активного ингредиента. Рецептуры для ректального применения могут представлять собой свечи или клизму. Для парентерального применения приемлемыми рецептурами являются водные и неводные рецептуры для стерильных инъекций. Рецептуры могут быть представлены в упаковке на один прием или в упаковке для многократного приема, например в герметичных пузырьках и ампулах, и могут храниться в лиофилизированном состоянии, которое перед применением требует добавления жидкого стерильного носителя, например воды. Препараты, приемлемые для применения путем ингаляции через нос, включают дусты или аэрозоли, которые могут быть получены с помощью отмеренной дозы сжатых под давлением аэрозолей, аэрозольного ингалятора или порошковдувателя. Настоящее изобретение также включает описанные ниже способы получения соединений формулы (I). В последующем описании символы X, R1 R2, R3, В4, R5, R6 и R7, если не оговорено особо, принимают значения, определенные для формулы (I). В соответствии с первым общим способом А соединения формулы (I) могут быть получены реакцией соединений общей формулы (II) ![]() с этилендиамином, или его производным или химическим эквивалентом. Например, может использоваться моносоль этилендиамина с различными органическими и неорганическими кислотами, предпочтительно п-толуолсульфонат этилендиамина (1: 1). Реакцию можно проводить в присутствии растворителя и при повышенной температуре или в расплаве при температуре приблизительно 200oС. Промежуточные соединения общей формулы (II) могут быть получены путем образования лактона при взаимодействии соединения формулы (III) ![]() с соответствующим металлорганическим реагентом, таким как соединение лития или цинка, и предпочтительно с реактивом Гриньяра, полученным, например, из СНз-L1, где L1 представляет собой подходящую уходящую группу, например атом галогена, такой как атом хлора или брома. Предпочтительно используется метилмагнийхлорид или бромид в присутствии неполярного растворителя, такого как гексан, диэтиловый эфир или тетрагидрофуран, при температуре приблизительно от -40oС до 120oС, обычно при температуре кипения с обратным холодильником. Соединения формулы (III) могут быть синтезированы способами, описанными в химической литературе, или получены коммерческим путем. В соответствии со вторым общим способом В соединения общей формулы (I) могут быть синтезированы циклизацией промежуточных соединений формулы (IV) в присутствии дегидратирующего агента или кислотного катализатора, предпочтительно в присутствии концентрированной серной кислоты, при повышенных температурах, например при 50oС. ![]() Промежуточные соединения формулы (IV) можно удобно получить путем восстановления кетона формулы (V) с использованием способов, которые известны квалифицированным в данной области специалистам. Приемлемыми восстанавливающими агентами являются гидриды, такие как алкилборгидрид лития, алюмогидрид лития или боран или замещенные бораны. Реакцию можно проводить в апротонном растворителе, таком как диэтиловый эфир и/или тетрагидрофуран. Другим приемлемым гидридом является боргидрид натрия в полярном растворителе, таком как спирт, при этом используется температура от -30oС до 100oС. ![]() Соединения общей формулы (V) могут быть получены при взаимодействии промежуточных соединений (VI) с фенацилгалогенидом, предпочтительно после защиты с помощью трифенилметилхлорида до проведения реакции, с получением моноалкилированных продуктов (V). ![]() Промежуточные соединения (VI) легко доступны или могут быть получены реакцией соответствующим образом замещенных бензонитрилов с этилендиамином или его производным или его химическим эквивалентом в присутствии растворителя или без растворителя при повышенных температурах. Индивидуальные энантиомеры соединений формулы (I) могут быть получены из смеси стереоизомеров, полученных с помощью одной из описанных выше последовательностей реакций, с использованием любого способа, хорошо известного в данной области. Например, с помощью способов, описанных в работе Stereochemistry of Organic Compounds, E.L. Eliel and S.H. Wilen, Chapter 7, 1994. В частности, они могут быть получены путем конверсии диастереомеров такими способами, как получение соли с оптически активными кислотами с последующим разделением составляющих диастереомеров путем дробной кристаллизации или путем дифференциальной абсорбции с использованием колонок, заполненных хиральным материалом, например с помощью препаративной хиральной жидкостной или газовой хроматографии. Когда один из энантиомеров является предпочтительным, фракция, оставшаяся после дробной кристаллизации и содержащая преимущественно другой энантиомер, или другой выделенный энантиомер могут быть рацемизованы с помощью подходящего основания типа гидроксида калия в подходящем растворителе, таком как диметилсульфоксид, при различных температурах, обычно при комнатной температуре, а полученный рацемат может быть разделен еще раз для повышения выхода. Конечные 6-арил-2,3,5,6-тетрагидроимидазо [2,1-а] изохинолины могут быть выделены как таковые или они могут быть превращены в желаемую кислотно-аддитивную соль или желаемое производное. Обычно наиболее предпочтительны аддитивные соли, полученные из фармацевтически приемлемой кислоты, такой как соляная кислота, щавелевая кислота или фумаровая кислота. Если необходимо или желательно, то после одного или нескольких процессов, описанных выше, в любом порядке может быть проведена одна или несколько следующих дополнительных стадий: 1. Снятие любой оставшейся защитной группы (или групп). 2. Превращение соединения формулы (I) или его защищенной формы в другое соединение формулы (I) или его защищенную форму. 3. Превращение соединения формулы (I) или его защищенной формы в фармацевтически приемлемую соль или сольват соединения формулы (I) или его защищенной формы. 4. Превращение фармацевтически приемлемой соли или сольвата соединения формулы (I) или его защищенной формы в соединение формулы (I) или его защищенную форму. 5. Превращение фармацевтически приемлемой соли или сольвата соединения формулы (I) или его защищенной формы в другую фармацевтически приемлемую соль или сольват формулы (I). 6. Когда соединение формулы (I) получено в виде смеси (R) и (S) энантиомеров, разрешение смеси с получением желаемого энантиомера. Настоящее изобретение также включает все новые промежуточные соединения и, в частности, соединения формул (II), (IV) и (V). Конкретными промежуточными соединениями в соответствии с настоящим изобретением являются: 3-(4-хлорфенил)-3-метил-1(3Н)-изобензофуранон; 3-(4-фторфенил)-3-метил-1(3Н)-изобензофуранон; и 3-(4-метилфенил)-3-метил-1(3Н)-изобензофуранон. Следующие примеры служат только для пояснения изобретения и никоим образом не ограничивают его объем. ПРИМЕР 1 3-(4-Хлорфенил)-3-метил-1(3Н)-изобензофуранон В атмосфере азота в течение 30 минут к 900 мл 3 М раствора метилмагнийхлорида в безводном тетрагидрофуране при перемешивании добавляют по каплям раствор 130 г 2-(4-хлорбензоил)бензойной кислоты в 300 мл безводного тетрагидрофурана. По окончании добавления реакционную смесь кипятят с обратным холодильником в течение 1 часа. Затем реакционную смесь охлаждают на ледяной бане до комнатной температуры и медленно добавляют 1 л 2 н. водного раствора серной кислоты, а затем 600 мл толуола. Органический слой отделяют и промывают рассолом, сушат и упаривают в вакууме. После перегонки из колбы в колбу (0,1 мм рт. ст./160oС) получают 60 г 3-(4-хлорфенил)-3-метил-1(3Н)-изобензофуранона в виде желтого масла. Масс-спектр (хим. ионизация) (M/Z ): 260 [М+Н]+. Аналогичным образом получают: 3-(4-фторфенил)-3-метил-1(3Н)-изобензофуранон, масс-спектр (хим. ионизация) (M/Z): 243 (М+Н)+, при использовании в качестве исходного соединения 2-(4-фторбензоил)бензойной кислоты; 3-(4-метилфенил)-3-метил-1(3Н)-изобензофуранон, масс-спектр (хим. ионизация)(M/Z): 239 [M+H]+, при использовании в качестве исходного соединения 2-(4-метилбензоил)бензойной кислоты; 3-(2-нафтил)-3-метил-1(3Н)-изобензофуранон, масс-спектр (хим. ионизация)(M/Z): 275 [M+H] +, при использовании в качестве исходного соединения 2-(2-нафтоил) бензойной кислоты. ПРИМЕР 2 Гидрохлорид (рацемата)-6-(4-хлорфенил)-2,3,5,6-тетрагидроимидазо [2,1-в] изохинолина Смесь 60 г 3-(4-хлорфенил)-3-метил-1(3Н)-изобензофуранона и 257 г п-толуолсульфоната этилендиамина (166 мл этилендиамина, обработанного 470 г п-толуолсульфокислоты и перекристаллизованного из 2-пропанола) нагревают до 200oС и выдерживают при этой температуре в течение ночи. Реакционной смеси дают охладиться и добавляют 850 мл 1 н. водного раствора хлористого водорода. Полученную смесь экстрагируют 600 мл хлороформа. Органический слой промывают 700 мл 1 н. водного раствора гидроксида калия, сушат и упаривают в вакууме. Полученный остаток кристаллизуют из смеси диэтилового эфира и гексана, 1: 3, при -20oС, получают 46 г (рацемата)-6-(4-хлорфенил)-2,3,5,6-тетрагидроимидазо [2,1-а] изохинолина в виде желтого твердого вещества. При добавлении раствора соляной кислоты в метаноле получают гидрохлорид (рацемата)-6-(4-хлорфенил)-2,3,5,6-тетрагидроимидазо [2,1-а]изохинолина, т. пл. 230oС. Аналогичным образом получают: соль (рацемата)-6-(4-фторфенил)-2,3,5,6-тетрагидроимидазо [2,1-а] изохинолина и (Z)-2-бутендиовой кислоты (1:1), т.пл. 164oС, при использовании в качестве исходного соединения 3-(4-фторфенил)-3-метил-1(3Н)-иэобензофуранона; соль(рацемата)-2,3,5,6-тетрагидро-6-(4-метилфенил)-имидазо [2,1-a] изохинолина и (Z)-2-бутендиовой кислоты (1:1), т.пл. 152oС, при использовании в качестве исходного соединения 3-(4-метилфенил)-3-метил-1(3Н)-изобензофуранона; соль (рацемата)-2,3,5,6-тетрагидро-6-(2-нафтил)имидазо [2,1- а] изохинолина и (Е)-2-бутендиовой кислоты (1:1), т.пл. 216oС, при использовании в качестве исходного соединения 3-(2-нафтил)-3-метил-1(3Н)-изобензофуранона. ПРИМЕР 3 Соль (-)-6-(4-хлорфенил)-2,3,5,6-тетрагидроимидазо [2,1-а] изохинолина и (Е)-2-будендиовой кислоты (1:1) К 40 г 6-(4-хлорфенил)-2,3,5,6-тетрагидроимидазо [2,1-а] изохинолина добавляют 300 мл этанола и 30 мл воды вместе с 77 г (+)-2-гидрокси-4-(2- метоксифенил)-5,5-диметил -1,3,2-диоксафосфоринан-2-оксида. Смесь нагревают и получают прозрачный раствор. Затем раствор охлаждают до комнатной температуры и перемешивают в течение еще одного часа. Образующийся твердый продукт отфильтровывают и перекристаллизовывают из смеси 200 мл этанола и 20 мл воды, получают 31 г продукта, который обрабатывают 1 н. водным раствором гидроксида калия и экстрагируют диэтиловым эфиром. Эфирный раствор сушат, упаривают и полученный остаток кристаллизуют из гексана, получают 9 г (-)-6-(4-хлорфенил)-2,3,5,6-тетрагидроимидазо[2,1 -а] изохинолина в виде белого твердого вещества с энантиомерным избытком более 99%. В 100 мл горячего 2-пропанола растворяют 8 г (-)-6-(4-хлорфенил)-2,3,5,6-тетрагидроимидазо[2,1 -а] изохинолина и 3,3 г (Е)-2-бутендиовой кислоты и раствору дают охладиться до комнатной температуры. Выделяют фильтрацией 10,9 г соли (-)-6-(4-хлорфенил)-2,3,5,6-тетрагидроимидазо[2,1 -a] изохинолина и (Е)-2-будендиовой кислоты (1:1), т.пл. 184oС. ПРИМЕР 4 Соль (+)-6-(4-хлорфенил)-2,3,5,6-тетрагидроимидазо [2,1-а] изохинолина и (Е)-2-будендиовой кислоты (1:1) Оставшуюся маточную жидкость, полученную в Примере 3, упаривают в вакууме и нагревают в смеси 1 н. водного раствора гидроксида калия и толуола. Толуольный слой отделяют и упаривают в вакууме, получают 25 г обогащенного (+)-энантиомером 6-(4-хлорфенил)-2,3,5,6-тетрагидроимидазо [2,1-а] изохинолина. Это количество растворяют в 200 мл этанола и 20 мл воды вместе с 45 г (-)-2-гидрокси-4-(2- метоксифенил)-5,5-диметил-1,3,2 -диоксафосфоринан-2-оксида. Смесь нагревают и получают прозрачный раствор. После охлаждения до комнатной температуры образуется белый твердый осадок, который отфильтровывают и перекристаллизовывают из смеси этанол/вода, 10:1. Полученный твердый продукт распределяют между 1 н. водным раствором гидроксида калия и диэтиловым эфиром. Эфирный раствор упаривают и полученный остаток кристаллизуют из гексана, получают 7 г (+)-6-(4-хлорфенил)-2,3,5,6-тетрагидроимидазо[2,1 -a] изохинолина в виде белого твердого вещества с энантиомерным избытком более 99%. Соль (Е)-2-бутендиовой кислоты (1:1) получают по методике, описанной в примере 3, т.пл. 181oС. ПРИМЕР 5 (рацемат)-6-(4-Хлорфенил)-2,3,5,6-тетрагидроимидазо [2,1-a] изохинолин В 100 мл безводного диметилсульфоксида растворяют 14 г обогащенного (+)-энантиомером 6-(4-хлорфенил)-2,3,5,6-тетрагидроимидазо [2,1-а] изохинолина с энантимерным избытком 87%. К полученному раствору добавляют 6 г порошка гидроксида калия и смесь перемешивают в течение ночи при комнатной температуре. Затем реакционную смесь распределяют между водой и диэтиловым эфиром и органический слой промывают рассолом, сушат и упаривают. Получают 12 г (рацемат)-6-(4- хлорфенил)-2,3,5,6-тетрагидроимидазо[2,1 -а]изохинолина. ПРИМЕР 6 Соль (-)-6-(4-фторфенил)-2,3,5,6-тетрагидроимидазо [2,1-a]изохинолина и (Е)-2-бутендиовой кислоты (1:1) Все количество (рацемат)-6-(4-фторфенил)-2,3,5,6-тетрагидроимидазо [2,1-а] изохинолина (1,5 г) разделяют с помощью хиральной ВЭЖХ с использованием смеси гексан: этанол, 95:5, содержащей 0,2% диэтиламина, и колонки ChiracelТМ OJ 50х2 см, при температуре 52oС и скорости потока 10 мл/мин. Приблизительно каждые 18 минут вводят 120 мл (2х950 мкл). Фракции, выходящие через 29,6 минут, объединяют и упаривают досуха при пониженном давлении, получают 600 мг соединения, которое превращают в соль (Е)-2-бутендиовой кислоты (1:1) путем добавления эквивалента (Е)-2-бутендиовой кислоты в метаноле. Получают соль (-)-6-(4-фторфенил)-2,3,5,6 -тетрагидроимидазо[2,1 -a] изохинолина и (Е)-2-бутендиовой кислоты (1: 1), энантиомерная чистота > 99,5%, т. пл. 205oС. ПРИМЕР 7 Соль (+)-6-(4-Фторфенил)-2,3,5,6-тетрагидроимидазо [2,1-а] изохинолина и (Е)-2-бутендиовой кислоты (1:1) Вторые фракции, полученные в процессе хиральной ВЭЖХ, описанной в Примере 6 (выходят через 38 минут), объединяют и упаривают досуха при пониженном давлении. Получают 590 мг соединения, которое превращают в соль (Е)-2-бутендиовой кислоты (1: 1) путем добавления эквивалента (Е)-2-бутендиовой кислоты в метаноле. Получают 600 мг соли (+)-6-(4- фторфенил)-2,3,5,6-тетрагидроимидазо[2,1 -а]изохинолина и (Е)-2-бутендиовой кислоты (1:1), энантиомерная чистота > 99,5%, т.пл. 205oС. ПРИМЕР 8 Активность in vitro С использованием методов, описанных в Neuropharmacology, Vol. 27, 3, pp. 251-260, 1988, проводят измерения блокады повторного поглощения допамина (DUP), серотонина (SUP) и норадреналина (NUP). Полученные результаты представлены в таблице 1. Приложение 1. Исследования активности in vivo для соединений в соответствии с данным изобретением проводились по двум методикам, описанным в литературе. Сравнительное соединение: рацемат 6-фенил-2,3,5,6 -тетрагидроимидазо[2,1 -а]изохинолина (Org 33448). Полученные данные, представленные ниже, характеризуют антидепрессантную активность (методика 1) и ингибирование повторного поглощения допамина (методика 2) (см. таблицу 2). ПРИМЕР 9 Таблетки (см. таблицу 3) Используя любой из подходящих методов изготовления таблеток, известных специалисту в области фармацевтики, получают таблетки массой 500 (А) или 1000 мг (В), содержащие соответственно 1 или 150 мг активного компонента, получение которого описано в ПРИМЕРЕ 3. Формула изобретения
![]() где Х представляет собой группу (А) или (В) ![]() каждый из заместителей R1, R2 и R3, которые могут быть одинаковыми или различными, представляет собой один или несколько заместителей, выбираемых из атома водорода, C1-6алкила или атома галогена; каждый из заместителей R4, R5, R6 и R7 выбирают из атома водорода или его фармацевтически приемлемые соли или сольваты при условии, что это соединение не является (рацемат)-6-фенил-2,3,5,6-тетрагидроимидазо[2,1-а] изохинолином, для применения при лечении. 2. Соединение по п. 1 для применения при лечении депрессии. 3. Соединение по п. 1 или 2, где Х представляет собой (А). 4. Соединение по любому из пп. 1-3, где заместитель R представляет собой один или несколько заместителей, выбираемых из атома водорода, C1-6алкила и атома галогена, и предпочтительно заместитель R1 находится в 4-ом положении. 5. Соединение по любому из пп. 1-4, где каждый из заместителей R4, R5, R6 и R7 представляет собой атом водорода. 6. Соединение по любому из пп. 1-5, где n принимает значение 1. 7. Фармацевтический препарат для ингибирования повторного поглощения серотонина, допамина и норадреналина, содержащий соединение формулы (I) или его фармацевтически приемлемую соль или сольват по любому из пп. 1-6 вместе с фармацевтически приемлемым носителем. 8. Применение (рацемат)-6-фенил-2,3,5,6-тетрагидроимидазо [2,1-а] изохинолина или его фармацевтически приемлемой соли или сольвата при производстве лекарственного средства для лечения или профилактики депрессии. 9. Соединение, выбираемое из (рацемат)-6-(4-Хлорфенил)-2,3,5,6-тетрагидроимидазо [2,1-а] изохинолина; (-)-6-(4-Хлорфенил)-2,3,5,6-тетрагидроимидазо[2,1-а] изохинолина; (+)-6-(4-Хлорфенил)-2,3,5,6-тетрагидроимидазо[2,1-а] изохинолина; (рацемат)-6-(4-Фторфенил)-2,3,5,6-тетрагидроимидазо[2,1-а] изохинолина; (-)-6-(4-Фторфенил)-2,3,5,6-тетрагидроимидазо[2,1-а] изохинолина; (+)-6-(4-Фторфенил)-2,3,5,6-тетрагидроимидазо[2,1-а] изохинолина, а также их фармацевтически приемлемых солей и сольватов. РИСУНКИ
PC4A – Регистрация договора об уступке патента Российской Федерации на изобретение
Прежний патентообладатель:
(73) Патентообладатель:
Дата и номер государственной регистрации перехода исключительного права: 12.04.2007 № РД0020652
Извещение опубликовано: 20.05.2007 БИ: 14/2007
MM4A – Досрочное прекращение действия патента СССР или патента Российской Федерации на изобретение из-за неуплаты в установленный срок пошлины за поддержание патента в силе
Дата прекращения действия патента: 26.06.2009
Извещение опубликовано: 20.07.2010 БИ: 20/2010
|
||||||||||||||||||||||||||










