Патент на изобретение №2204553
|
||||||||||||||||||||||||||
(54) 1,8-АННЕЛИРОВАННЫЕ ПРОИЗВОДНЫЕ ХИНОЛИНОНА, ЗАМЕЩЕННЫЕ N- ИЛИ C-СВЯЗАННЫМИ ИМИДАЗОЛАМИ, ИНГИБИРУЮЩИЕ ФАРНЕЗИЛТРАНСФЕРАЗУ
(57) Реферат: Изобретение относится к новым 1,8-аннелированным производным 2-хинолинона формулы (I), где А, X, R1, R2, R3, R4, R5, R6 такие, как определено в формуле изобретения. Описан также способ получения предлагаемых соединений, фармацевтическая композиция, обладающая ингибирующей фарнезилтрансферазу активностью, и способ ее получения. Также раскрыты промежуточные соединения, пригодные для изготовления предлагаемых соединений и способы их получения. Изобретение может быть использовано в медицине в качестве терапевтического средства. 8 с. и 3 з.п. ф-лы, 7 табл.
Таблицы Т% Формула изобретения
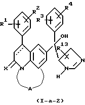
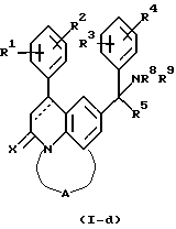
![]() его фармацевтически приемлемые кислотно-аддитивные соли или стереохимические изомерные формы, где пунктирная линия является необязательной связью; Х является кислородом или серой; -А- является двухвалентным радикалом формулы -СН= СН- (а-1); -СН2-СН2– (а-2); -CH2-СН2-CH2– (а-3); -CH2-O- (a-4); -CH2-CH2-O- (а-5); -CH= N- (а-8); -N= N- (а-9) или -CO-NH- (а-10), где необязательно один атом водорода может быть заменен С1-С4алкилом или Аr1; R1 и R2 каждый независимо является водородом, галогеном, C1-С6 алкилом; R3 и R4 каждый независимо является водородом, галогеном, C1-С6 алкилом, C1-С6 алкилокси; R5 является радикалом формулы ![]() ![]() где R13 является водородом; R14 является C1-С6 алкилом; R6 является водородом, гидрокси, галогеном или радикалом формулы -N-R8R9, где R8 и R9 являются водородом. 2. Соединение по п. 1, в котором Х является кислородом; пунктирная линия является связью, R1 является 3-галогеном; R2 является водородом; R3 является 4-галогеном; R4 является водородом; R5 является радикалом формулы (d-l), где R13 является водородом или R5 является радикалом формулы (d-2), в которой R13 является водородом и R14 является C1-С6 алкилом; R6 является водородом, галогеном, гидрокси или амино; и -А- является (а-1), (а-2) или (а-3). 3. Соединение по п. 1, которое выбирают из 7-(3-хлорфенил)-9-[(4-хлорфенил)-1Н-имидазол-1-илметил] -2,3-дигидро-1Н, 5Н-бензо[ij] хинолизин-5-она, 7-(3-хлорфенил)-9-[(4-хлорфенил)-1Н-имидазол-1-илметил] -1,2-дигидро-4Н-пирроло[3,2,1-ij] хинолин-4-она, 8-[амино(4-хлорфенил)(1-метил-1Н-имидазол-5-ил)метил] -б-(3-хлорфенил)-1,2-дигидро-4Н-пирроло[3,2,1-ij] хинолин-4-она; или 8-[амино(4-хлорфенил)(1-метил-1Н-имидазол-5-ил)метил] -6-(3-хлорфенил)-2,3-дигидро-1Н, 5Н-бензо[ij] хинолизин-5-она; их стереоизомерных форм или фармацевтически приемлемых кислотно-аддитивных солей. 4. Фармацевтическая композиция, обладающая ингибирующей фарнезилтрансферазу активностью, включающая фармацевтически приемлемый носитель и, в качестве активного ингредиента, терапевтически эффективное количество соединения по любому из пп. 1-3. 5. Способ получения фармацевтической композиции по п. 4, в котором терапевтически эффективное количество соединения по любому из пп. 1-3 тщательно смешивают с фармацевтически приемлемым носителем. 6. Соединение формулы (VI) ![]() его кислотно-аддитивные соли или стереохимически изомерные формы, где X, R1, R2 и -А- такие, как определены в п. 1. 7. Соединение формулы (II) ![]() его фармацевтически приемлемые кислотно-аддитивные соли или стереохимически изомерные формы, где пунктирная линия является необязательной связью; X, R1, R2, R3, R4 и -А- такие, как определены в п. 1. 8. Соединение по любому из пп. 1-3 для использования в качестве лекарственного средства. 9. Способ получения соединений формулы (I) по п. 1, в котором промежуточный кетон формулы (II) ![]() где R1, R2, R3, R4, X и -А- принимают значения, определенные в п. 1; подвергают взаимодействию с промежуточным соединением формулы (III-1) или (III-2) ![]() ![]() где R13 принимает значения, определенные в п. 1; в присутствии подходящего сильного основания и в присутствии подходящего производного силана, необязательно с последующим удалением защитной группы PG, для получения соединения (I-а-1) или (I-а-2) соответственно: ![]() ![]() где R1, R2, R3, R4, R13, Х и -А- принимают значения, определенные в п. 1; и, далее, если необходимо, соединения формулы (I-а), определенные как соединения формулы (I), в которых R6 является гидрокси, превращают в соединения формулы (I-с), в которых R6 является галогеном, ![]() где R1, R2, R3, R4, R5, X и -А- принимают значения, определенные в п. 1; необязательно с последующей обработкой промежуточным соединением формулы H-NR8R9 с получением соединений формулы (I-d) ![]() где R1, R2, R3, R4, R5, X и -А- принимают значения, определенные в п. 1; и, если желательно, соединения формулы (I) превращают в фармацевтически приемлемую кислотно-аддитивную соль, или наоборот кислотно-аддитивную соль соединения формулы (I) превращают в свободное основание при помощи щелочи; и, если желательно, получают их стереохимически изомерные формы. 10. Способ получения соединения формулы (VI) по п. 6, в котором промежуточное соединение формулы (IV) ![]() где X, R1, R2 и -А- принимают значения, определенные в п. 1, циклизуют в присутствии полифосфорной кислоты (ПФК), и, если желательно, соединение формулы (VI) превращают в фармацевтически приемлемую кислотно-аддитивную соль, или, наоборот, кислотно-аддитивную соль соединения формулы (VI) превращают в свободное основание при помощи щелочи; и, если желательно, получают их стереохимически изомерные формы. 11. Способ получения промежуточного соединения формулы (II) по п. 7, в котором промежуточное соединение формулы (VI) ![]() обрабатывают промежуточным соединением формулы (V) ![]() в присутствии полифосфорной кислоты (ПФК) с получением соединения формулы (II-a) ![]() и, далее, если необходимо, промежуточные соединения формулы (II-a), определенные как промежуточные соединения формулы (II) в которых пунктирная линия не является связью, могут быть превращены в промежуточные соединения формулы (II-b), определенные как соединения формулы (II) в которых пунктирная линия означает связь, окислением ![]() где X, R1, R2, R3, R4 и -А- принимают значения, определенные в п. 1; и, если желательно, соединение формулы (II) превращают в фармацевтически приемлемую кислотно-аддитивную соль, или, наоборот, кислотно-аддитивную соль соединения формулы (II) превращают в свободное основание при помощи щелочи, и, если желательно, получают их стереохимически изомерные формы. РИСУНКИ
|
||||||||||||||||||||||||||

















