Патент на изобретение №2204552
|
||||||||||||||||||||||||||
(54) СПОСОБ ПОЛУЧЕНИЯ ПРОПИНИЛОВОГО ЭФИРА (R)(+)-2-[4-(5-ХЛОР-3-ФТОРПИРИДИН-2-ИЛОКСИ)ФЕНОКСИ]ПРОПИОНОВОЙ КИСЛОТЫ
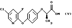
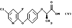
(57) Реферат: Изобретение относится к способу получения пропинилового эфира (R)(+)-2-[4-(5-хлор-3-фторпиридин-2-илокси)фенокси] пропионовой кислоты (I) превращением соединения формулы II ![]() в инертном органическом растворителе без выделения промежуточных продуктов с использованием соединения формулы 2СО3, в которой М обозначает натрий или калий, в соединение формулы III ![]() реакцией этого соединения с соединением формулы IV ![]() с получением соединения формулы V ![]() и превращением этого соединения с использованием соединения формулы VI ![]() в которой Z обозначает фенилсульфонил, тозил, метилсульфонил, нозил, бромфенил, С1-, Br- или С1CO-, в соединение формулы I ![]() Предлагаемый способ позволяет сократить время проведения процесса, упростить процесс за счет уменьшения количества образующихся нежелательных продуктов, а также повысить выход и степень чистоты целевого продукта. Изобретение относится к способу получения пролинилового эфира (R)(+)-2-[4-(5-хлор-3-фторпиридин-2-илокси)фенокси]пропионовой кислоты. Пропиниловый эфир (R)(+)-2-[4-(5-хлор-3-фторпиридин-2-илокси)фенокси] пропионовой кислоты обладает гербицидным действием, и он описан, например, в ЕР-А 0248968. Производные 4-(5-хлор-3-фтор-пиридин-2-илокси)фенокси]пропионовой кислоты могут быть получены, например, в соответствии с ЕР-А 0439857 реакцией 5-хлор-2,3-дифторпиридина с соответствующими эфирами 4-гидроксипропионовой кислоты в присутствии не содержащего воды основания и в отсутствии растворителя. Однако этот способ не пригоден для получения пропинилового эфира (R)(+)-2-[4-(5-хлор-3-фторпиридин-2-илокси)фенокси] пропионовой кислоты, поскольку в основных условиях из-за наличия тройной связи эфир гидроксипропионовой кислоты склонен к образованию полимеров. Кроме того, осуществление этого способа сопряжено с особыми проблемами с точки зрения безопасности, поскольку возможность нагрева реакционной смеси в отсутствии растворителей связана с определенным риском из-за высокого теплового потенциала этой тройной связи. В соответствии с ЕР-А 0248968, стр. 12-14, при получении пропинилового эфира (R)(+)-2-[4-(5-хлор-3-фторпиридин-2-илокси)фенокси] пропионовой кислоты а) на первой стадии соединение формулы А ![]() в диметилсульфоксиде подвергают взаимодействию со смесью гидрохинона и гидроксида калия в диметилсульфоксиде с получением соединения формулы В ![]() б) на второй стадии полученное соединение формулы В в диметилсульфоксиде подвергают взаимодействию с тозилатом метилового эфира S(-)-молочной кислоты в присутствии карбоната калия с получением соединения формулы С ![]() в) на третьей стадии полученное соединение С в диоксане в присутствии раствора гидроксида натрия подвергают превращению в соединение формулы D ![]() г) на четвертой стадии полученное соединение формулы D подвергают взаимодействию с тионилхлоридом с получением соединения формулы Е ![]() которое в завершение без предварительного выделения д) вводят во взаимодействие со смесью триэтиламина и пропинола в толуоле с получением пропинилового эфира (R)(+)-2-[4-(5-хлор-3-фторпиридин-2-илокси)фенокси]пропионовой кислоты. Основной недостаток этого способа состоит в том, что четырехстадийный реакционный процесс вызывает необходимость осуществления усложненных стадий разделения и очистки. Это ведет к существенному снижению выхода продукта. Более того, по мере проведения процесса следует дважды менять растворитель, что в свою очередь приводит к дополнительным затратам времени и осуществлению дорогостоящих стадий перегонки. Следовательно, известный способ не является оптимальным, в частности, для осуществления в промышленном масштабе. Таким образом, в основу настоящего изобретения была положена задача разработать способ, который обеспечивал бы получение пропинилового эфира (R)(+)-2-[4-(5-хлор-3-фторпиридин-2-илокси)фенокси]пропионовой кислоты более простым методом с достижением более высокой степени чистоты и увеличенного выхода продукта. Было установлено, что пропиниловый эфир (R)(+)-2-[4-(5-хлор-3-фторпиридин-2-илокси)фенокси] пропионовой кислоты формулы I ![]() может быть получен особенно предпочтительным методом путем превращения соединения формулы II ![]() в инертном органическом растворителе без выделения промежуточных продуктов с использованием соединения формулы 2СО3, в которой М обозначает натрий или калий, в соединение формулы III ![]() в которой М обозначает натрий или калий, реакцией этого соединения с соединением формулы IV ![]() с получением соединения формулы V ![]() в которой М обозначает натрий или калий, и превращением этого соединения с использованием соединения формулы VI ![]() в которой Z обозначает уходящую группу, такую как фенилсульфонил, тозил, метилсульфонил, нозил, бромфенил, Сl-, Вr- или СlСО-, в соединение формулы I. Исходные соединения могут быть использованы в стехиометрических количествах. Соединение формулы IV предпочтительно использовать в избытке, равном 0,05-0,3 экв, наиболее предпочтительно 0,1 экв, в пересчете на количество соединения формулы III. В предпочтительном варианте соединение формулы VI используют в избытке, равном 0,05-0,15 экв. В предпочтительном варианте осуществления настоящего изобретения М в формуле M2CO3 обозначает калий. Согласно изобретению, приемлемыми инертными органическими растворителями являются, в частности, кетоны, сложные и простые эфиры. В качестве растворителей наиболее пригодны диметилформамид, диметилсульфоксид, N-метилпирролидон и ацетонитрил. Особенно предпочтительны диметилформамид и ацетонитрил, а наиболее предпочтителен диметилформамид. В предпочтительном варианте осуществления предлагаемого способа Z в формуле VI обозначает хлор. Способ в соответствии с изобретением можно осуществлять при повышенной температуре, в частности 40-120oС. Температурный диапазон 60-90oС предпочтителен, а особенно предпочтителен диапазон 70-75oС. Взаимодействие соединения формулы III с соединением формулы IV (для повышения скорости этой реакции) можно проводить в присутствии межфазного катализатора. К приемлемым межфазным катализаторам относятся, например, соли четвертичного аммония, соли четвертичного фосфония и краун-эфиры. Исходные соединения формул II, IV и VI известны или могут быть получены известными способами. Соединение формулы IV описано, например, в ЕР-А 0248968, а соединение формулы II описано в ЕР-А 0083556. Соединения формулы VI, в которой Z обозначает хлор, могут быть получены, например, в соответствии с J. Am. Chem. Soc. 77, 1831 (1955), вследствие чего приемлемыми основаниями для проведения этой реакции являются пиридин и, что предпочтительно, 5-этил-2-метилпиридин. Способ в соответствии с изобретением отличается от известных способов, в частности, тем фактом, что его можно осуществлять проведением процесса в одном реакторе без замены растворителя. Этот путь получения позволяет не только значительно сократить расходы на основное оборудование, но благодаря исключению сложных стадий разделения и перегонки существенно сократить время проведения процесса. Кроме того, значительное снижение содержания остаточного растворителя, достигаемое при осуществлении предлагаемого способа, особенно ценно с экологической точки зрения. Пониженная тепловая нагрузка на продукт уменьшает количество образующихся нежелательных побочных продуктов, а протекание реакции по особенно селективному пути дает возможность добиться особенно точного дозирования реагентов, что, в свою очередь, позволяет получить продукт со значительно более высокой степенью чистоты и с повышенным выходом. Примеры получения Пример П1: Получение пропинилового эфира (R)(+)-2-[4-(5-хлор-3-фторпиридин-2-илокси)фенокси]пропионовой кислоты 182 г 100%-ной (R)-2-(пара-гидроксифенокси)пропионовой кислоты (1 моль) в 600 г ДМФ превращают в соответствующую калиевую соль добавлением при 70oС 69 г порошкообразного карбоната калия (0,5 моля) с одновременным выделением СО2. В этот раствор добавляют 193 г порошкообразного карбоната калия (1,4 моля), а затем при температуре 70-75oС в течение 30 мин вводят 165 г 5-хлор-2,3-дифторпиридина (1,1 моля). По истечении 4 ч полученное таким образом соединение формулы V при температуре 70-75oС без выделения дозированными количествами в течение 2 ч полностью вводят в 86 г (1,15 моля) пропаргидхлорида в виде 60-70%-ного толуольного раствора с получением пропинилового эфира (R)(+)-2-[4-(5-хлор-3-фторпиридин-2-илокси)фенокси]пропионовой кислоты. Соли отфильтровывают, промывают 300 г ДМФ в виде нескольких порций и фильтрат концентрируют до расплава в вакууме в роторном испарителе при температуре 120oС. Сырой расплав пропинилового эфира (R)(+)-2-[4-(5-хлор-3-фторпиридин-2-илокси)фенокси] пропионовой кислоты при температуре 50oС смешивают с 300 г этанола/воды в соотношении 9:1, при температуре 30-35oС вносят затравочные кристаллы и охлаждают до температуры 0-5oС. Суспензию кристаллов переносят на фильтр для фильтрования под пониженным давлением, промывают 70 г этанола/воды в соотношении 9:1 и в вакууме сушат при температуре 30oС. Таким путем получают 307 г действующего вещества с 97%-ным (по данным газовой хроматографии) содержанием, что соответствует 85% -ному выходу продукта от теоретического в пересчете на (R)-2-(пара-гидроксифенокси)пропионовую кислоту. Пример П2: Получение пропинилового эфира (R)(+)-2-14-(5-хлор-3-фторпиридин-2-илокси)фенокси]пропионовой кислоты 182 г 100%-ной (R)-2-(пара-гидроксифенокси)пропионовой кислоты (1 моль) в 1500 г ацетонитрила превращают в соответствующую калиевую соль добавлением при 70oС 69 г порошкообразного карбоната калия (0,5 моля) с одновременным удалением CO2. Затем в реакционную смесь добавляют 193 г порошкообразного карбоната калия (1,4 моля) и 2 г тетрабутиламмонийбромида в качестве межфазного катализатора и при температуре 70-75oС в течение 30 мин вводят 165 г 5-хлор-2,3-дифторпиридина (1,1 моля). По истечении 8 ч полученное таким образом соединение формулы V при температуре 70-75oС без выделения дозированными количествами в течение 2 ч полностью вводят в 154 г (1,15 моля) пропаргилмезилата в виде 60-70%-ного толуольного раствора с получением пропинилового эфира (R)(+)-2-[4-(5-хлор-3-фторпиридин-2-илокси)фенокси] пропионовой кислоты. Последующую обработку проводят аналогично примеру П1. Таким путем получают 304 г пропинилового эфира (R)(+)-2-[4-(5-хлор-3-фторпиридин-2-илокси)фенокси] пропионовой кислоты с 98%-ным (по данным газовой хроматографии) содержанием действующего вещества, что соответствует 85%-ному выходу продукта от теоретического в пересчете на (R)-2-(пара-гидроксифенокси)пропионовую кислоту. Пример П3: Получение пропинилового эфира (R)(+)-2-[4-(5-хлор-3-фторпиридин-2-илокси) фенокси]пропионовой кислоты Когда пропаргилхлорид, указанный в примере П1, заменяют 226 г (1,15 моля) пропаргилового эфира бензосульфокислоты, получают 305 г пропинилового эфира (R)(+)-2-[4-(5-хлор-3-фторпиридин-2-илокси)фенокси]пропионовой кислоты с 96%-ным (по данным газовой хроматографии) содержанием действующего вещества, что соответствует 84%-ному выходу продукта от теоретического в пересчете на (R)-2-(пара-гидроксифенокси)пропионовую кислоту. Пример П4: Получение пропинилового эфира (R)(+)-2-[4-(5-хлор-3-фторпиридин-2-илокси)фенокси]пропионовой кислоты 182 г 100%-ной (R)-2-(пара-гидроксифенокси)пропионовой кислоты (1 моль) в 1500 г ацетонитрила превращают в соответствующую калиевую соль добавлением при 70oС 69 г порошкообразного карбоната калия (0,5 моля) с одновременным удалением СО2. Затем в реакционную смесь добавляют 193 г порошкообразного карбоната калия (1,4 моля) и 2 г тетрабутиламмонийбромида в качестве межфазного катализатора и при температуре 70-75oС в течение 30 мин вводят 165 г 5-хлор-2,3-дифторпиридина (1,1 моля). По истечении 8 ч полученное таким образом соединение формулы V при температуре 70-75oС без выделения дозированными количествами полностью вводят в пропаргиловый эфир хлормуравьиной кислоты с получением пропинилового эфира (R)(+)-2-[4-(5-хлор-3-фторпиридин-2-илокси)фенокси] пропионовой кислоты, в результате чего выделяется СО2. Последующую обработку проводят аналогично примеру П1. Пропиниловый эфир (R)(+)-2-[4-(5-хлор-3-фторпиридин-2-илокси)фенокси] пропионовой кислоты получают с 97%-ным (по данным газовой хроматографии) содержанием действующего вещества, что соответствует 80%-ному выходу продукта от теоретического в пересчете на (R)-2-(пара-гидроксифенокси)пропионовую кислоту. Формула изобретения
![]() отличающийся тем, что соединение формулы II ![]() в инертном органическом растворителе в присутствии соединения формулы М2СО3, где М обозначает натрий или калий, превращают в соединение формулы III ![]() где М обозначает натрий или калий, без выделения промежуточных продуктов, полученное соединение формулы III подвергают взаимодействию с соединением формулы IV ![]() с получением соединения формулы V ![]() где М обозначает натрий или калий, и последующим превращением соединения формулы V в присутствии соединения формулы VI ![]() где Z обозначает фенилсульфонил, тозил, метилсульфонил, нозил, бромфенил, С1-, Вr- или С1СО-, в соединение формулы I. PC4A – Регистрация договора об уступке патента Российской Федерации на изобретение
Номер и год публикации бюллетеня: 4-2004
(73) Патентообладатель:
(73) Патентообладатель:
Дата и номер государственной регистрации перехода исключительного права: 23.12.2003 № 18048
Извещение опубликовано: 10.02.2004
|
||||||||||||||||||||||||||























