Патент на изобретение №2204214
|
||||||||||||||||||||||||||
(54) УНИВЕРСАЛЬНЫЙ ЦИФРОВОЙ ФОРМИРОВАТЕЛЬ СИГНАЛОВ С НЕПРЕРЫВНОЙ ФАЗОВОЙ МОДУЛЯЦИЕЙ
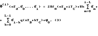
(57) Реферат: Изобретение относится к радиотехнике и может быть использовано в системах передачи дискретной информации для формирования радиосигналов с непрерывной фазовой модуляцией. Технический результат – повышение точности формируемого радиосигнала с непрерывной фазовой модуляцией за счет синхронизации во времени последовательных преобразований выборок формируемого сигнала с границами тактовых и символьных интервалов. Устройство содержит регистр сдвига, дешифратор текущей фазы, ОЗУ текущей фазы, цифроаналоговый генератор, ОЗУ начальной фазы, счетчик тактовых интервалов и синтезатор частот. 1 з.п. ф-лы, 4 ил. Изобретение относится к радиотехнике и может быть преимущественно использовано для формирования радиосигналов с непрерывной фазовой модуляцией в системах передачи дискретной информации. Известны формирователи сигналов с непрерывной фазовой модуляцией СРМ [1-5] , позволяющие получить радиосигналы с различными видами непрерывной фазовой модуляции CPFCK, MSK, GMSK, TFM, GTFM. В этих устройствах используют цифровые модуляторы, обеспечивающие формирование сигналов с непрерывной фазовой модуляцией СРМ, очередной i-ый по порядку символ которых ![]() где i = 1; 3; … (М – 1) – значения, которые может принимать i-тый информационный символ i;g(t) – символ модулирующего видеосигнала (частотный импульс) длительностью LTс, L – целое; Тс – длительность информационного символа i;fн – частота несущей; h=p/q – индекс модуляции (р и q – целые числа); 0 – начальная фаза сигнала (первого символа сигнала);q(t) – закон изменения фазы (фазовый импульс) формируемого сигнала. Длительность LTc символа g(t) модулирующего видеосигнала и соответствующего фазового отклика q(t) называют длиной частичного отклика. На практике наиболее часто выбирают индекс модуляции h=1/2, при котором выполняются условия q(t) = 0; q(LTc) = 1/2. (2) Указанным условиям удовлетворяют все указанные выше сигналы с непрерывной фазовой модуляцией. При цифровом формировании символа (1) сигнала с непрерывной фазовой модуляцией в известных устройствах вначале формируют совокупность N выборок фазы этого символа. При этом любая n-ая выборка (n=0, 1,… N) фазы формируемого i-го символа (1) используется с учетом условий (2): ![]() где n = 0, 1,… N – текущий номер выборки фазы; Тв=Tс/N – период дискретизации. Выборки фазы затем преобразуют в выборки значений формируемого символа, а затем с помощью цифроаналогового преобразования – в непрерывный во времени сигнал. В результате многократных последовательных преобразований выборок сигналов в известных устройствах на границах тактовых интервалов возникают переходные процессы, что приводит к снижению точности формируемого радиосигнала. Наиболее близким к предлагаемому по совокупности признаков является универсальный цифровой формирователь сигналов с непрерывной фазовой модуляцией [1], содержащий регистр сдвига, информационный вход которого является информационным входом устройства, а выход подключен к информационному входу дешифратора текущей фазы, тактовый вход которого соединен с выходом счетчика тактовых интервалов, а выход – с входом цифроаналогового генератора, выход которого является выходом устройства. Недостатком известного устройства также является наличие переходных процессов на границах тактовых интервалов, задаваемых тактовыми импульсами, подаваемыми на вход счетчика тактовых интервалов. Для устранения указанного недостатка необходимо жестко синхронизировать моменты изменения состояния цифроаналогового генератора с границами тактовых и символьных интервалов. Достигается решение поставленной задачи тем, что в универсальный цифровой формирователь сигналов с непрерывной фазовой модуляцией, содержащий регистр сдвига, информационный вход которого является информационным входом устройства, а выход подключен к информационному входу дешифратора текущей фазы, тактовый вход которого соединен с выходом счетчика тактовых интервалов, а также цифроаналоговый генератор, выход которого является выходом устройства, введены ОЗУ текущей фазы, ОЗУ начальной фазы и синтезатор частот, первый символьный выход которого подключен к входу управления записью ОЗУ начальной фазы, второй символьный выход – к тактовому входу регистра сдвига и установочному входу счетчика тактовых интервалов, тактовый вход которого соединен с первым тактовым выходом синтезатора частот, второй тактовый выход которого подключен к входу управления записью ОЗУ текущей фазы, выход которого соединен с входом цифроаналогового генератора, а вход – с выходом дешифратора текущей фазы, символьный вход которого соединен с выходом ОЗУ начальной фазы. На фиг.1 показана электрическая структурная схема предлагаемого универсального цифрового формирователя сигналов с непрерывной фазовой модуляцией, а на фиг. 2 – временные диаграммы, поясняющие его работу. На фиг.3 показана электрическая структурная схема предлагаемого универсального цифрового формирователя сигналов с непрерывной фазовой модуляцией в частном случае выполнения устройства на элементах дискретной техники. На фиг.4 показана электрическая структурная схема прототипа [1]. Универсальный цифровой формирователь сигналов с непрерывной фазовой модуляцией (см. фиг.1) содержит регистр 1 сдвига, дешифратор 2 текущей фазы, ОЗУ 3 текущей фазы, цифроаналоговый генератор 4, счетчик 5 тактовых интервалов, ОЗУ 6 начальной фазы и синтезатор 7 частот. Выход регистра 1 сдвига через дешифратор 2 текущей фазы и ОЗУ 3 текущей фазы соединен с входом цифроаналогового генератора 4. Выход ОЗУ 6 начальной фазы подключен к символьному входу дешифратора 2 текущей фазы. Выход счетчика 5 тактовых интервалов соединен с тактовым входом дешифратора 2 текущей фазы. Первый символьный выход синтезатора 7 частот подключен к входу управления записью ОЗУ 6 начальной фазы, его второй символьный выход – к тактовому входу регистра 1 сдвига и установочному входу счетчика 5 тактовых интервалов, тактовый вход которого соединен с первым тактовым выходом синтезатора 7 частот, второй тактовый выход которого подключен к входу управления записью ОЗУ 3 текущей фазы. Работает универсальный цифровой формирователь сигналов с непрерывной фазовой модуляцией следующим образом. В предлагаемом устройстве значение (3) n-ой выборки (n=0, 1,… N) фазы i-го символа (1) формируют с помощью дешифратора 2 текущей фазы на основе его представления в виде суммы начальной фазы и приращения фазы: ![]() где (i)0( 0,… i-l) – начальная фаза i-го символа;![]() (i)(nTd, i-L+l,… i) – текущее приращение фазы i-го символа для n-ой выборки.
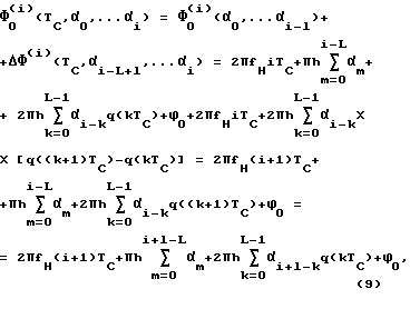
Начальная фаза текущего i-го символа с учетом (2) и (3)![]() в предлагаемом устройстве определяется с помощью ОЗУ 6 начальной фазы в виде текущей фазы предыдущего (i-1)-го символа в конце последнего при t* = NTB = TC (n = N) по правилу ![]() Поэтому для определения начальной фазы текущего i-го символа при известной начальной фазе предыдущего (i-1)-го символа достаточно знать значения лишь L предпоследних информационных символов i-L,… i-l.Текущее приращение фазы i-го символа для n-ой выборки ![]() однозначно определяется в дешифраторе 2 текущей фазы по формируемому с помощью счетчика 5 тактовых интервалов номеру n текущей выборки и значениям L последних информационных символов i-L+1,… i.В конце i-го символа текущее приращение фазы для N-ой выборки с учетом равенства NTB=ТC ![]() При этом текущее значение фазы согласно (4), (5) и (8) с учетом (2) ![]() что в соответствии с (5) совпадает с начальной фазой очередного (i+1)-го символа. Управление работой предлагаемого устройства осуществляет синтезатор 7 частот, вырабатывающий следующие последовательности импульсов, взаимное положение которых показано на фиг.2: – последовательность символьных импульсов с периодом следования TC на первом символьном выходе (фиг.2, а); – последовательность задержанных символьных импульсов на втором символьном выходе (фиг.2, б); – последовательность тактовых импульсов с периодом следования ТB=ТC/N (N – целое) на первом тактовом выходе (фиг.2, в); – последовательность задержанных тактовых импульсов на втором тактовом выходе (фиг.2, г). В начале работы в ОЗУ 6 начальной фазы вводят значение 0 начальной фазы формируемого сигнала. Для этого ОЗУ 6 начальной фазы может иметь соответствующие информационный и управляющий входы.
В ходе работы после записи в ОЗУ 3 текущей фазы значения фазы (i-l)(NTB, 0,… i-l) в конце предыдущего информационного символа в ОЗУ 6 начальной фазы происходит обновление значение начальной фазы (i)0( 0,… i-l) текущего i-го символа формируемого сигнала по рекуррентному правилу (8): (i)0( 0,… i-l) = (i-l)(NTB, 0,… i-l).Указанным процессом управляют символьные импульсы (см. фиг.2, а), поступающие на вход управления записью ОЗУ 6 начальной фазы с первого символьного выхода синтезатора 7 частот. После этого на любом символьном интервале длительностью ТC на символьный вход дешифратора 2 текущей фазы с выхода ОЗУ 6 начальной фазы поступает значение (i)0( 0,… i-l) начальной фазы текущего i-го символа формируемого сигнала.
Задержанные символьные импульсы со второго символьного выхода синтезатора 7 частот поступают на тактовый вход регистра 1 сдвига и обеспечивают последовательный ввод в него информационных символов i с информационного входа устройства.
Регистр 1 сдвига имеет L разрядов. Записанные в регистр 1 сдвига последние (в порядке поступления) L информационных символов поступают на информационный вход дешифратора 2 текущей фазы в течение i-го символьного интервала.
В то же время на тактовый вход дешифратора 2 текущей фазы с выхода счетчика 5 тактовых интервалов поступает двоичный сигнал, принимающий N значений n* = 1, 2,… N-1, 0 и определяющий соответствующий номер n = 1, 2, . . . N-1, N тактового интервала длительностью ТB в пределах длительности ТC символа. Указанный номер n* изменяется при поступлении на тактовый вход счетчика 5 тактовых интервалов тактовых импульсов с первого тактового выхода синтезатора 7 частот. При этом задержанные символьные импульсы со второго символьного выхода синтезатора 7 частот, поступающие на установочный вход счетчика 5 тактовых интервалов, подтверждают его нулевое состояние на границах символов формируемого сигнала при n* = 0 (n = N, t* = TC).
С помощью дешифратора 2 текущей фазы определяют значения фазы (i)(nTB, 0,… i) формируемого сигнала для N моментов времени, следующих друг за другом через тактовый интервал времени ТB в пределах длительности ТC информационного символа. При этом значение (3) любой n-ой выборки (n = 1,… N-1, N) фазы i-го символа (1) однозначно задается совокупностью значений L последних информационных символов ( i-L+l,… i), значением (i)0( 0,… i-l) начальной фазы в начале этого символа (при t* = 0, n* = 0) и значением n* двоичного сигнала, определяющего номер n данного отсчета.
Запись значения (i)(nTB, 0,… i) текущей фазы в ОЗУ 3 текущей фазы осуществляют с помощью задержанных тактовых импульсов, поступающих на его вход управления записью со второго тактового выхода синтезатора 7 частот.
Затем совокупность N выборок (n = 1, 2,… N-1, N) фазы (i)(nTB, 0,… i) i-го символа с помощью цифроаналогового генератора 4 преобразуют в непрерывный во времени символ S(i)(t, 0,… i) формируемого сигнала (1) с непрерывной фазовой модуляцией.
Универсальный цифровой формирователь сигналов с непрерывной фазовой модуляцией может быть реализован на известных функциональных элементах.
Дешифратор 2 текущей фазы может быть выполнен в виде ПЗУ, совокупность значений всех входных сигналов которого является адресом соответствующей ячейки, из которой значение текущей фазы поступает на выходы этого ПЗУ.
Возможный пример выполнения цифроаналогового генератора 4 показан на фиг. 4, где приведена электрическая структурная схема прототипа [1]. Цифроаналоговый генератор 4 содержит (см. фиг.4) накопитель 6, ПЗУ 7 выборок (отсчетов) гармонического сигнала, цифроаналоговый преобразователь 8 и фильтр 9 нижних частот. Рекомендации по выбору параметров и режимов работы цифроаналогового генератора 4 приведены в [6].
В частном случае выполнения универсального цифрового формирователя сигналов с непрерывной фазовой модуляцией на элементах дискретной техники, как показано на фиг.3, дешифратор 2 текущей фазы содержит последовательно включенные ПЗУ 8 текущей фазы и сумматор 9, дополнительный вход и выход которого являются соответственно символьным входом и выходом дешифратора начальной фазы, информационным и тактовым входами которого являются соответственно первый и второй входы ПЗУ текущей фазы.
Устройство позволяет формировать радиосигнал с непрерывной фазовой модуляцией при жесткой синхронизации во времени последовательных преобразований выборок формируемых сигналов и изменений состояния цифроаналогового генератора с границами тактовых и символьных интервалов, что позволяет повысить точность формируемого радиосигнала и предотвратить потерю информации при передаче данных.
Источники информации1. A.Kopta, S.Budisin, V.Jovanovic. New Universal All-Digital CPM Modulator. IEEE Trans. on somm., vol. com-35, 4, April 1987, pp. 458-462. 2. T.Aulin, N.Rydbech, C.E.Sundberg. Transmitter and receiver structures for M-ary partial response FM. IEEE Trans. on comm., vol. com-26, 5, May 1978, pp. 534-538. 3. S. Ray. Generation of serial CPMFSK signal. Proc. IEEE, vol. 72, 1, Jan. 1984, pp. 129-129. 4. C. B.Decker. On the application of tamed freguency modulation to various field of digital transmission. Proc. 1980 Int. Zurich Seminar on Digital Commun., Zurich, Mar. 1980, pp. A1.1 – A1.10. 5. H.Suzuki, Y.Yamas, K.Momma. Single chip baseband waveform generation CMOS-LSI for quadrature-type CPM modulator. Electron. Lett., vol. 20, 21, Oct. 1984, pp. 875-876. 6. J. Tierney, C.Rader, B.Gold. A digital frequency synthesizer., IEEE Trans. on Audio Electroaconst., vol. AU-19, 3, Mar. 1971, pp. 48-56. Формула изобретения
РИСУНКИ
MM4A – Досрочное прекращение действия патента СССР или патента Российской Федерации на изобретение из-за неуплаты в установленный срок пошлины за поддержание патента в силе
Дата прекращения действия патента: 25.07.2006
Извещение опубликовано: 27.06.2007 БИ: 18/2007
|
||||||||||||||||||||||||||


i =
1;
0 – начальная фаза сигнала (первого символа сигнала);

(i)0(




