Патент на изобретение №2203896
|
||||||||||||||||||||||||||
(54) ПРОИЗВОДНОЕ ПИПЕРИДИНИЛМЕТИЛОКСАЗОЛИДИНОНА, СПОСОБ ЕГО ПОЛУЧЕНИЯ, ФАРМАЦЕВТИЧЕСКАЯ КОМПОЗИЦИЯ И СПОСОБ ЕЕ ПОЛУЧЕНИЯ
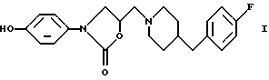
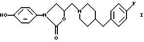
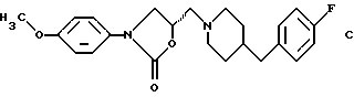
(57) Реферат: Изобретение относится к соединению 5-[4-(4-фторбензил)пиперидин-1-илметил] -3-(4-гидроксифенил)оксазолидин-2-она формулы I, его энантиомерам и физиологически приемлемой соли. Способ получения соединения формулы I путем взаимодействия соединения формулы II, в котором L обозначает Cl, Вr и т.д., с соединением формулы III и при необходимости полученное основное соединение формулы I за счет обработки кислотой переводят в одну из его солей. Фармацевтическая композиция, обладающая нейролептическим действием, содержащая соединение формулы I и/или его физиологически приемлемую соль в эффективном количестве и по меньшей мере один твердый, жидкий или полужидкий носитель и/или вспомогательное вещество. Способ получения фармацевтической композиции, обладающей нейролептическим действием, заключающийся в том, что из соединения формулы I и/или одной из его физиологически приемлемых солей совместно с по меньшей мере одним твердым, жидким либо полужидкий носителем и/или вспомогательным веществом изготавливают дозированную форму. Технический результат: создание нового производного пиперидинилметилоксазолидинона, обладающего нейролептическим действием. 4 с. и 2 з.п. ф-лы, 1 табл. ![]() ![]()
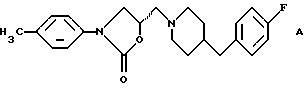
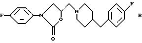
Изобретение относится к соединению 5-[4-(4-фторбензил)пиперидин-1-илметил]-3-(4-гидроксифенил)оксазолидин-2-он формулы I ![]() и к его физиологически приемлемым солям. Объектом изобретения являются соединение формулы I согласно пункту 1 формулы, а также его энантиомеры и его соли. Производные пиперидинилметилоксазолидона в качестве субстанций с психофармакологическим действием известны из заявки ЕР 0763535. С учетом объема защиты согласно этой заявке предлагаемое соединение следует рассматривать как селективное изобретение. В основу настоящего изобретения была положена задача разработать новые соединения, которые можно было бы использовать для создания лекарственных средств, но которые по сравнению с уже известными активными веществами обладали бы ярко выраженным спектром действия и селективностью в отношении центральной нервной системы, проявляли бы минимум побочных эффектов, обеспечивая одновременно благодаря измененной структуре возможность введения в минимально малой дозировке и не вызывая при этом никакой или только в очень малой степени зависимости. Было установлено, что соединение формулы I и его физиологически приемлемые соли при хорошей совместимости обладают ценными фармакологическими свойствами. В первую очередь оно оказывает воздействие на центральную нервную систему и проявляет нейролептическую, транквилизирующую, анксиолитическую, антидепрессантную и способствующую улучшению функции памяти эффективность. С учетом вышеизложенного объектом изобретения является соединение вышеприведенной формулы I, а также его соли и его применение в качестве обладающей фармакологическим действием субстанции. Объектом изобретения является также соответствующий способ получения указанного соединения и его солей. Более конкретно, соединение вышеприведенной формулы I, равно как и его соли, обладают нейролептическим действием: они ингибируют индуцированную апоморфином поведенческую реакцию мышей, выражающуюся в попытках карабкаться наверх, индуцированную апоморфином стереотипию у крыс (методику см. Costall и др. в European Journ. Pharmacol. 50 (1978), стр. 39-50, соответственно Puech и др. в European Journ. Pharmacol. 50 (1978), стр. 291-300) и восстановленную реакцию избегания у крыс (методику см. Niemegeers и др. в Psychopharmacology 16 (1969), стр. 161-174) без проявления каталепсии (методику см. Stanley и Click в Neuropharmacology 15 (1976), стр. 393-394), что расценивается как подтверждение отсутствия побочных эффектов касательно экстрапирамидно-моторных побочных действий (Hoffmann и Donovan, Psychopharmacology 120 (1995), стр. 128-133). Предлагаемое в изобретении соединение подавляет и такую поведенческую реакцию крыс, которую исследовали в тесте на тревожность с записью ультразвуковой вокализации после стимуляции электрическим током (подтверждение анксиолитического действия; методика описана De Vry и др. в European Journ. Pharmacol. 249 (1993), стр. 331-339), и оказывает ингибирующее воздействие на спонтанное поведение мышей и крыс (методику см. Irwin в Psychopharmacology 13 (1968), стр. 222-257). Как было подтверждено в эксперименте по связыванию, это активное вещество вытесняет меченый ифенпродил в переднем мозге крысы из места его рецепции (методика описана Schoemaker и др. в European Journ. Pharmacol. 176 (1990), стр. 249-250), которое представляет собой рецептор по отношению к комплексу N-метил-D-аспартатный (NMDA-) рецептор-ионный канал в качестве подтипа глутаматных рецепторов. С учетом гипотезы о возникновении шизофрении вследствие дефицита глутамата (Ishimaru и Toru, CNS Drugs 7 (1997), стр. 47-67; Carlsson и др., Int. Acad. Biomed. Drug Res., 4 (1993), стр. 118) субстанциям, проявляющим агонистическое действие по отношению к глутаматным рецепторам, присущ совершенно новый принцип действия, что позволяет использовать их для лечения шизофрении, тогда как в отличие от этого обычные нейролептические средства непосредственно воздействуют в качестве антагонистов на дофаминовый рецептор (согласно классической гипотезе о возникновении шизофрении вследствие гиперфункции дофамина, см. Carlsson и др., Life Sciences 61 (1997), стр. 75-94), обусловливая при этом тот недостаток, что они вызывают типичные экстрапирамидно-моторные побочные эффекты, которые после длительного периода лечения становятся необратимыми, и индуцируют такие негативные психические состояния, как страх (см. Casey, Int. Clinical Psychopharmacology, 10, приложение 3 (1995), стр. 105-114). Неожиданным образом было установлено, что 5S-энантиомер соединения по изобретению in vitro представляет собой эффективный лиганд, который можно использовать в диапазоне наномолярных концентраций для места связывания полиамина и который обладает нейролептическим действием по сравнению с соединениями формул А, В и С (см. заявку ЕР 0763535, стр. 9, строка 18). ![]() ![]() ![]() Полученные при проведении соответствующего тестирования фармакологические показатели представлены в таблице. На основании полученных в ходе исследований результатов было установлено, что соединение формулы I, равно как и его физиологически приемлемые кислотно-аддитивные соли, могут применяться в качестве активного вещества в лекарственных средствах, а также в качестве промежуточного продукта для получения других активных веществ в лекарственных средствах. Объектом изобретения является далее способ получения соединения формулы I согласно пункту 1 формулы. Предлагаемый способ отличается тем, что а) соединение формулы II ![]() в которой L обозначает С1, Вr, I или свободную либо реакционноспособно функционально модифицированную ОН-группу, подвергают взаимодействию с соединением формулы III, ![]() или б) соединение формулы IV ![]() подвергают взаимодействию с соединением формулы V ![]() в которой L и L’ каждый независимо друг от друга обозначает С1, Вr, I или свободную либо реакционноспособно функционально модифицированную ОН-группу, или в) гидрируют соединение формулы VI ![]() или г) соединение формулы I высвобождают из одного из его функциональных производных путем обработки агентом сольволиза либо гидрогенолиза, и/или что основное соединение формулы I за счет обработки кислотой переводят в одну из его солей. В остальном соединения формулы I получают по известным методам, описанным в литературе (например, в таких основополагающих публикациях, как Houben-Weyl, Methoden der Organischen Chemie, изд-во Georg-Thieme-Verlag; J. March, Advanced Organic Chemistry, 3e издание (1984) или Organic Reactions, обе публикации изд-ва John Wiley & Sons, Inc. New Jork), а именно при соблюдении условий реакции, известных и пригодных для проведения указанных выше реакций. При этом могут использоваться и другие, также известные варианты, которые в настоящем описании не поясняются более подробно. Соединение формулы I предпочтительно можно получать взаимодействием соединения формулы II с соединением формулы III. Исходные вещества формул II и III частично известны. В тех же случаях, когда они не известны, они могут быть получены с помощью известных методов. Первичные спирты формулы II можно получить, например, за счет восстановления соответствующих карбоновых кислот либо их эфиров. Путем обработки тионилхлоридом, бромистым водородом, трибромидом фосфора или подобными галогеносоединениями можно получить соответствующие галогениды формулы II. Соединение формулы III может быть получено, например, согласно схеме 1 (см. в конце описания). Взаимодействие соединений формулы II с соединением формулы III осуществляют, как правило, в инертном растворителе в присутствии связывающего кислоту агента, предпочтительно гидроксида, карбоната или бикарбоната щелочного либо щелочноземельного металла или какой-либо другой соли слабой кислоты щелочных или щелочноземельных металлов, предпочтительно калия, натрия, кальция или цезия. Целесообразным может оказаться также добавление органического основания, такого как триэтиламин, диметиланилин, пиридин или хинолин. Продолжительность реакции в зависимости от используемых при ее проведении условий составляет от нескольких минут до 14 дней, а температура реакции находится в интервале от примерно 0 до 150oС, обычно от 20 до 130oС. В качестве инертных растворителей пригодны среди прочих углеводороды, такие как гексан, петролейный эфир, бензол, толуол или ксилол; хлорированные углеводороды, такие как трихлорэтилен, 1,2-дихлорэтан, тетрахлорметан, хлороформ или дихлорметан; спирты, такие как метанол, этанол, изопропанол, н-пропанол, н-бутанол или трет-бутанол; простые эфиры, такие как диэтиловый эфир, диизопропиловый эфир, тетрагидрофуран (ТГФ) или диоксан; простые гликолевые эфиры, такие как монометиловый либо моноэтиловый эфир этиленгликоля (метилгликоль либо этилгликоль), диметиловые эфиры этиленгликоля (диглимы); кетоны, такие как ацетон или бутанон; амиды, такие как ацетамид, диметилацетамид или диметилформамид (ДМФ); нитрилы, такие как ацетонитрил; сульфоксиды, такие как диметилсульфоксид (ДМСО); сероуглерод; карбоновые кислоты, такие как муравьиная кислота или уксусная кислота; нитросоединения, такие как нитрометан или нитробензол; сложные эфиры, такие как этилацетат, или же смеси названных растворителей. Сульфонилоксисоединения формулы II могут быть получены из соответствующих спиртов взаимодействием с соответствующими хлорангидридами сульфокислоты. Йодные соединения формулы II можно получить, например, воздействием иодида калия на соответствующие эфиры п-толуолсульфокислоты. Еще одна возможность получения соединений формулы I заключается предпочтительно в том, что осуществляют взаимодействие соединений формулы IV с соединениями формулы V. В качестве соединений формулы V пригодными являются предпочтительно диалкилкарбонаты, такие как диметил-, дитрихлорметил- либо диэтилкарбонат; эфиры хлормуравьиной кислоты, такие как метиловый либо этиловый эфир хлормуравьиной кислоты; N,N’-карбонилдиимидазол или фосген. Исходные вещества формул IV и V частично известны. В тех же случаях, когда они не известны, их можно получить по известным методам. Предусматриваемые в этих целях реакции осуществляют в соответствующих растворителях и в диапазоне температур, как это указано выше. Соединение формулы VI можно, кроме того, переводить путем восстановления в соединение формулы I. Предпочтительно при этом осуществлять каталитическое гидрирование с использованием, например, палладия на активированном угле и водорода. Еще одна возможность получить соединение формулы I состоит в том, что форпродукт, содержащий вместо атомов водорода одну либо несколько восстанавливаемых групп и/или одну либо несколько дополнительных С-С-и/или C-N-связей, обрабатывают восстанавливающим агентом, предпочтительно при температурах в интервале от -80 до +250oС и в присутствии по меньшей мере одного инертного растворителя. Восстанавливаемыми (заменяемыми на водород) группами являются прежде всего кислород в карбонильной группе, гидроксил, арилсульфонилоксигруппа (например, толуолсульфонилоксигруппа), N-бензолсульфонил, N-бензил или О-бензил. В принципе соединения, которые содержат только одну либо одновременно две или несколько указанных групп, соответственно дополнительные связи, можно переводить путем восстановления в соединение формулы I. Предпочтительно осуществлять в этих целях каталитическое гидрирование с использованием выделяющегося водорода или определенных комплексных гидридов металлов, таких как NaBН4 или LiAlH4. В качестве катализаторов для каталитического гидрирования приемлемы, например, катализаторы на основе благородных металлов, а также никелевые и кобальтовые катализаторы. Катализаторы на основе благородных металлов могут применяться нанесенными на соответствующие носители (например, платина или палладий на угле, палладий на карбонате кальция либо на карбонате стронция), в виде оксидных катализаторов (например, оксид платины) или в виде высокодисперсных металлических катализаторов. Никелевые и кобальтовые катализаторы целесообразно применять с использованием металлов Ренея, никель, кроме того, можно применять также нанесенным на такие носители, как кизельгур либо пемза. Гидрирование можно проводить при комнатной температуре и нормальном давлении или же при повышенной температуре и/или повышенном давлении. Предпочтительно работать при давлении от 1 до 100 бар и при температурах в интервале от -80 до +150oС, в первую очередь в интервале от комнатной температуры до 100oС. Реакцию целесообразно проводить в кислых, нейтральных либо основных условиях и в присутствии растворителя, такого как вода, метанол, этанол, изопропанол, н-бутанол, этилацетат, диоксан, уксусная кислота или ТГФ, можно использовать также смеси этих растворителей. В случае использования в качестве восстанавливающего агента высвобождающегося водорода последний можно образовывать, например, за счет обработки металлов слабыми кислотами либо основаниями. Так, в частности, можно использовать с этой целью смесь из цинка и едкого щелока или смесь из железа и уксусной кислоты. Возможно также использование натрия или какого-либо другого щелочного металла в спирте, таком как этанол, изопропанол, бутанол, амиловый либо изоамиловый спирт или фенол. Можно, кроме того, использовать алюминиево-никелевый сплав в воднощелочном растворе, необязательно с добавлением этанола. Для образования выделяющегося водорода приемлема также амальгама натрия или алюминия в водно-спиртовом либо водном растворе. Реакцию можно проводить и в гетерогенной фазе, используя при этом предпочтительно водную и бензольную либо толуольную фазу. Наряду с вышеуказанными в качестве восстанавливающих агентов могут применяться комплексные гидриды металлов, такие как NaBH4, гидрид диизобутилалюминия или NaAl(OCH2CH2OCH3)2H2, а также диборан, при необходимости с добавлением катализаторов, таких как BF3, А1С13 или LiBr. В качестве растворителей в этих случаях пригодны прежде всего простые эфиры, такие как диэтиловый эфир, ди-н-бутиловый эфир, ТГФ, диоксан, диглимы или 1,2-диметоксиэтан, а также углеводороды, такие как бензол. Для восстановления с помощью NaBH4 в качестве растворителей в первую очередь пригодны спирты, в частности метанол либо этанол, кроме того, вода, а также водные растворы спиртов. Процесс восстановления по таким методам осуществляют предпочтительно при температурах в интервале от -80 до +150oС, прежде всего от 0 до порядка 100oС. Соединения формулы I можно получать также, высвобождая их из их функциональных производных путем сольволиза, прежде всего гидролиза, или путем гидрогенолиза. Предпочтительными исходными веществами для осуществления сольволиза, соответственно гидрогенолиза, являются такие вещества, которые в принципе подпадают под формулу I, но вместо одной либо нескольких свободных гидроксигрупп содержат соответствующие защищенные гидроксигруппы, предпочтительно те из них, которые вместо Н-атома в гидроксигруппе содержат гидроксизащитную группу. Понятие “гидроксизащитная группа” общеизвестно и относится к группам, способным защищать гидроксигруппу от химических превращений и в то же время легко удаляемым по завершении требуемой реакции в другом месте молекулы. Типичными представителями таких групп являются вышеназванные незамещенные либо замещенные арильные, аралкильные или ацильные группы, а также алкильные группы. И в этом случае тип и величина гидроксизащитных групп не играют существенной роли, поскольку по завершении требуемой химической реакции или соответствующих стадий их снова удаляют. Предпочтительны, однако, защитные группы с 1-20, прежде всего с 1-10 С-атомами. В качестве примеров таких гидроксизащитных групп можно назвать среди прочих трет-бутил, бензил, п-нитробензол, п-толуолсульфонил и ацетил, особенно предпочтительны из которых бензил и ацетил. Высвобождение соединений формулы I из их функциональных производных в зависимости от используемой защитной группы осуществляют, например, с помощью сильных кислот, таких как соляная кислота или серная кислота, сильных карбоновых кислот, таких как трихлоруксусная кислота, или сульфокислот, таких как бензольная или п-толуолсульфоновая кислота. Указанную реакцию можно проводить при необходимости в присутствии дополнительного растворителя. В качестве инертных растворителей с этой целью могут использоваться прежде всего органические растворители, а именно карбоновые кислоты, такие как уксусная кислота, простые эфиры, такие как тетрагидрофуран, амиды, такие как диметилформамид, галогенированные углеводороды, такие как дихлорметан, кроме того, спирты, такие как метанол, этанол или изопропанол, а также вода. Пригодны также смеси этих растворителей. Предпочтительно для указанной цели выбирают физиологически приемлемые, инертные растворители, соответственно такие, которые, если и остаются в полученном продукте в самых минимальных количествах, безопасны для здоровья пациента. Трифторуксусную кислоту используют предпочтительно в избытке без добавления какого-либо другого растворителя. В отличие от этого перхлорную кислоту используют в смеси из уксусной кислоты и 70%-ной перхлорной кислоты в соотношении 9: 1. Отщепление защитных групп целесообразно осуществлять при температурах в интервале порядка от 0 до 50oС, предпочтительно от 15 до 30oС, соответственно при комнатной температуре. трет-Бутоксикарбонил предпочтительно отщеплять с помощью 40%-ной трифторуксусной кислоты в дихлорметане или же, в случае неприемлемости такой технологии, с помощью приблизительно 3-5 н. НСl в диоксане при 15-60oС. 9-Флуоренилметоксикарбонильные группы отщепляют с помощью примерно 5-20%-ного раствора диметиламина, диэтиламина либо пиперидина в ДМФ при 15-50oС. Отщепление 2,4-динитрофенильных групп можно успешно проводить с помощью примерно 3-10%-ного раствора 2-меркаптоэтанола в смеси ДМФ и воды при 15-30oС. Удаляемые путем гидрогенолиза защитные группы, такие как бензилоксиметил, бензилоксикарбонил или бензил, можно отщеплять за счет обработки водородом в присутствии катализатора (например, катализатора на основе благородного металла, такого как палладий, предпочтительно на носителе, в частности на угле). В качестве растворителей в этих целях пригодны таковые из числа вышеуказанных и прежде всего спирты, такие как метанол либо этанол, или амиды, такие как ДМФ. Гидрогенолиз проводят, как правило, при температурах в интервале от 0 до 100oС и давлении в пределах от 1 до 200 бар, предпочтительно при 20-30oС и 1-10 бар. Гидрогенолиз бензилоксикарбонильных групп удается эффективно осуществлять, например, в присутствии 5-10%-ного Pd/C в метаноле при 20-30oС. Соединение формулы I можно далее при определенных условиях по известным методам преобразовывать в какое-либо другое соединение формулы I. Так, в частности, можно расщеплять соответствующие простые эфиры с образованием в результате соответствующих гидроксипроизводных. Такие эфиры можно расщеплять также путем обработки комплексом диметилсульфид-трибромид бора в растворителе, таком как толуол, 1,2-дихлорэтан, ТГФ или диметилсульфоксид, либо путем расплавления с использованием гидрогалогенидов пиридина или анилина. Эту реакцию предпочтительно проводить с помощью гидрохлорида пиридина при температуре порядка 150-250oС, с помощью НВr/уксусной кислоты либо тригалогенидов алюминия в хлорированных углеводородах, таких как 1,2-дихлорэтан. Соединение формулы I имеет асимметрический центр. Поэтому его можно получать в виде рацемата или, в случае применения оптически активного исходного соединения, также и в оптически активной форме. Полученный рацемат при необходимости можно разделять по известным методам физическим либо химическим путем. Предпочтительно из рацематов путем химического превращения образовывать с помощью оптически активного разделяющего агента диастереомеры. В качестве разделяющих агентов пригодны, например, оптически активные кислоты, такие как D- или L-формы винной кислоты, дибензоилвинной кислоты, диацетилвинной, камфорсульфоновой кислоты, миндальной кислоты, яблочной кислоты или молочной кислоты. Различные формы диастереомеров можно разделять по известной технологии, например путем фракционной кристаллизации, и отделять при этом известным образом от диастереомеров оптически активные соединения формулы I. Полученное основание формулы I можно переводить с помощью кислоты в соответствующую кислотно-аддитивную соль. Для использования в этих целях пригодны прежде всего кислоты, которые образуют физиологически приемлемые соли. В качестве неорганических кислот в таких случаях могут использоваться серная кислота, галогеноводородные кислоты, такие как НСl, НВr, фосфорные кислоты, такие как ортофосфорная кислота, азотная кислота, сульфаминная кислота, равно как и органические кислоты, конкретно алифатические, алициклические, аралифатические, ароматические или гетероциклические одно- либо многоосновные карбоновые, сульфоновые или серные кислоты, такие как муравьиная кислота, уксусная кислота, пропионовая кислота, пивалиновая кислота, диэтилуксусная кислота, малоновая кислота, янтарная кислота, пимелиновая кислота, лимонная кислота, глюконовая кислота, аскорбиновая кислота, никотиновая кислота, изоникотиновая кислота, метан- либо этансульфокислота, этандисульфокислота, 2-гидроксиэтансульфокислота, бензолсульфокислота, п-толуолсульфокислота, нафтилинмоно- и -дисульфо-кислоты, лаурилсерная кислота. Кислотно-аддитивные соли, являющиеся физиологически не вполне приемлемыми, могут использоваться для выделения и очистки оснований формулы I. Свободные основания формулы I при необходимости могут высвобождаться из их солей путем обработки сильными основаниями, такими как гидроксид натрия либо калия, карбонат натрия либо калия. С учетом вышеизложенного соединения общей формулы I и их физиологически приемлемые соли могут применяться для изготовления фармацевтических препаратов, а именно из них совместно с по меньшей мере одним носителем или вспомогательным веществом и при необходимости с одним либо несколькими другими активными веществами изготавливают соответствующую дозированную форму. Полученные таким путем композиции могут применяться в качестве лекарственных средств в медицине или ветеринарии. В качестве субстанций-носителей в таких композициях могут рассматриваться органические или неорганические вещества, пригодные для энтерального (например, орального либо ректального), парентерального или местного введения и не вступающие в реакцию с новыми соединениями, например вода, масла растительного происхождения, бензиловые спирты, полиэтиленгликоли, желатин, углеводы, такие как лактоза или крахмал, целлюлоза, стеарат магния, тальк или вазелин, триацетат глицерина и другие глицериды жирных кислот и соевый лецитин. Для орального приема предназначаются прежде всего таблетки, драже, капсулы, сиропы, микстуры или капли. Особый интерес представляют таблетки с лаковым покрытием и капсулы с покрытиями, соответственно оболочками, устойчивыми к действию желудочного сока. Для ректального введения предназначаются суппозитории, для парентерального – растворы, предпочтительно масляные либо водные растворы, а также суспензии, эмульсии или имплантаты, для местного применения пригодны мази, кремы или пудра. Предлагаемые в изобретении активные вещества могут подвергаться также лиофилизации и полученные таким путем лиофилизаты можно применять, например, для приготовления инъекционных препаратов. Указанные выше композиции можно стерилизовать и/или вводить в их состав такие вспомогательные вещества, как замасливатели (антиадгезивы), консерванты, стабилизаторы и/или смачиватели, эмульгаторы, соли для регуляции осмотического давления, буферные субстанции, красители и/или ароматизаторы. При необходимости они могут также содержать в своем составе одно либо несколько других активных веществ, например один либо несколько витаминов, диуретики или противовоспалительные средства. Соединение формулы I и его физиологически приемлемые соли могут применяться для терапевтического лечения тела человека или животных, прежде всего для лечения болезней. Оно эффективно при лечении шизофрении и аффективных расстройств, таких, например, как депрессия и/или страх. Это соединение может найти применение и при лечении экстрапирамидных расстройств. Соединение согласно изобретению эффективно в качестве транквилизатора, не проявляя в этом качестве никаких сколько-нибудь заметных побочных каталептических действий, что следует отнести к его преимуществам. Предлагаемое соединение пригодно также для эффективного лечения мозгового инсульта. Предлагаемое в изобретении соединение формулы I и его физиологически приемлемые соли назначают, как правило, аналогично другим известным, коммерчески доступным препаратам (как, например, тиоридазин, галоперидол) при тех же, что и заявляемые в настоящем описании, показаниях, предпочтительно в дозировках от порядка 0,1 до 500 мг, прежде всего от 0,2 до 50 мг на одну унифицированную дозу. Суточная дозировка составляет предпочтительно от приблизительно 0,002 до 20 мг/кг веса тела, прежде всего 0,2-0,4 мг/кг. Однако при этом следует учитывать, что назначаемая тому или иному пациенту индивидуальная доза зависит от самых разных факторов, в частности от эффективности применяемого в каждом конкретном случае соединения, от возраста и веса пациента, общего состояния его здоровья, пола, особенностей питания, от времени и методики введения препарата, от скорости выделения активного вещества, комбинации лекарственных средств и степени тяжести соответствующего заболевания, которое требует данной терапии. Предпочтительным является оральное введение. Ниже изобретение проиллюстрировано на примерах, которые не ограничивают его объем. Благодаря особенностям молекулярной структуры соединения формулы I по изобретению возможно его образование в двух энантиомерных формах, поэтому оно может быть представлено в рацемической или в оптически активной форме. Поскольку фармацевтическая эффективность рацематов, соответственно стереоизомеров соединения согласно изобретению может проявляться по-разному, целесообразным может оказаться применение энантиомеров. В этих случаях конечный продукт или даже промежуточные продукты с помощью известных специалисту в данной области техники химических либо физических операций можно разделять на энантиомерные соединения и непосредственно использовать их как таковые для синтеза. В случае рацемических аминов из смеси в результате взаимодействия с оптически активным разделяющим агентом образуются диастереоизомеры. В качестве разделяющих агентов пригодны, например, оптически активные кислоты, такие как R- и S-формы винной кислоты, диацетилвинной кислоты, дибензоилвинной кислоты, миндальной кислоты, яблочной кислоты, молочной кислоты, соответствующим образом N-защищенные аминокислоты (в частности, N-бензоилпролин либо N-бензолсульфонилпролин) или различные оптически активные камфорсульфоновые кислоты. Предпочтительно также хроматографическое разделение энантиомеров с помощью оптически активного разделяющего агента (как, например, динитробензоилфенилглицин, триацетат целлюлозы либо другие производные углеводов или фиксированные на силикагеле, хирально дериватизированные метакрилатные полимеры). В качестве элюентов пригодны в этих целях водные либо спиртовые смеси растворителей, такие, в частности, как смесь гексана, изопропанола и ацетонитрила, например, в соотношении 82:15:3. Как указывалось выше, соли физиологически не вполне приемлемых кислот, например пикраты, могут использоваться для выделения и/или очистки соединений формулы I. В представленных ниже примерах под понятием “обычная переработка” имеется в виду следующее: при необходимости добавляют воду, экстрагируют дихлорметаном, фазы разделяют, органическую фазу сушат над сульфатом натрия, фильтруют, упаривают и очищают посредством хроматографии на силикагеле и/или путем кристаллизации. Все температуры указаны в градусах Цельсия, а [ ] D-значения определяли при 20oС в диметилсульфоксиде.
Пример 1Раствор из 4,92 г (5R)-(-)-5-(метансульфокислота-оксиметил)-3-п-гидроксифенилоксазолидин-2-она [получаемого из (5R)-(-)-5-(метансульфокислота-оксиметил)-3-п-метоксифенилоксазолидин-2-она путем обработки трибромидом бора в дихлорметане], 65 мл ацетонитрила, 4,70 г гидрохлорида 4-(4-фторбензил) пиперидина и 4,43 г гидрокарбоната натрия перемешивают в течение 26 часов с использованием обратного холодильника. Затем реакционную смесь разбавляют 100 мл дихлорметана, несколько раз экстрагируют небольшими количествами воды и сушат. После сушки растворитель отгоняют и полученный продукт очищают посредством хроматографии на силикагельной колонке. Таким путем получают продукт в виде бесцветной смолы, которую кристаллизуют. Выход: (5S)-(-)-5- [4-(4-фторбензил)-1-пиперидинилметил]-3-(4- гидроксифенил)оксазолидин-2-он; tпл 164-165oС; [ ]D 20=-28,0o.
Взаимодействием с метансульфокислотой в ацетоне получают 3,18 г (5S)-(-)-5-[4-(4-фторбензил)-1-пиперидинилметил]-3-(4-гидроксифенил)оксазолидин-2-она, метансульфонат; tпл 234-236oС; [ ]D 20=-33,3o.
Пример 2Раствор из 1 г (5S)-(-)-5-[4-(4-фторбензил)-1-пиперидинилметил]-3-(4-бензилоксифенил)оксазолидин-2-она [получаемого взаимодействием (5R)-(-)-5-(метансульфокислота-оксиметил)-3-п-бензилоксифенилоксазолидин-2-она с гидрохлоридом 4-(4-фторбензил) пиперидина] в 25 мл метанола гидрируют при нормальном давлении и 20oС в присутствии 1 г никеля Ренея. Затем фильтруют, удаляют растворитель, получая в результате (5S)-(-)-5-[4-(4-фторбензил)-1-пиперидинилметил] -3-(4-гидроксифенил)оксазолидин-2-он; tпл 164-165oС; [ ] D 20= -28,0o.
Пример 3Раствор из 1 г (5S)-(-)-5-[4-(4-фторбензил)-1-пиперидинилметил] -3-(4-метоксифенил)оксазолидин-2-она [получаемого взаимодействием (5R)-(-)-5-(метансульфокислота-оксиметил)-3-п- метоксифенилоксазолидин- 2 – она с гидрохлоридом 4-(4-фторбензил) пиперидина] в 25 мл дихлорметана смешивают с эквимолярными количествами трибромида бора и перемешивают в течение 1 часа. После обычной переработки получают (5S)-(-)-5-[4-(4-фторбензил)-1-пиперидинилметил] -3-(4-гидроксифенил)оксазолидин-2-он; tпл 164-165oС; [ ]D 20=-28,0o.
Фармакологические тесты1. Связывание ифенпродила (Schoemaker и др., 1990) Гомогенаты переднего мозга крыс центрифугировали несколько раз. Используя образовавшуюся в последнем случае мембранную надосадочную жидкость (10 мг/мл), выявляли специфическое связывание в присутствии 1,15 нМ [3Н] -ифенпродила в 5 мл буферного раствора при рН 7,4. Неспецифическое связывание определяли в присутствии 100 мкм ифенпродила. 2. Ингибирование индуцированной апоморфином стереотипии у крыс (Puech и др.. 1978) Стереотипию (немотивированные обнюхивание, облизывание, жевательные движения, ритмические движения передних лап) индуцировали подкожным введением (s. c. ) апоморфина в количестве 0,5 мг/кг. Степень проявления стереотипичных реакций у каждой из крыс оценивали каждые 5 минут в течение промежутка времени в 30 минут по рейтинговой системе (0-3). Суммарный балл служил при этой оценке мерой проявления стереотипии. 3. Индукция каталепсии у крыс (Stanley и Glick, 1976). Проявление каталепсии у крыс выявляли следующим образом. Заднюю лапу животного помещали на кубик высотой 3 см и каждые 5 минут в течение 30 минут по рейтинговой системе (баллы 0-3) определяли время, в продолжении которого животное находилось в таком неестественном положении. Суммарный балл служил при этом мерой для оценки степени каталепсии. Результаты тестирования, в котором применяли 58-энантиомер соединения по изобретению и сравнительные соединения А, В и С, представлены в таблице (см. в конце описания). Тестируемые соединения применяли в виде их метансульфонатных солей. Соединение (5S)-(-)-5-[4-(4-фторбензил)-1-пиперидинилметил] -3-(4-гидроксифенил)оксазолидин-2-он представляет собой in vitro эффективный лиганд в диапазоне наномолярных концентраций (IС50=10 нМ) для места связывания полиамина, которое является модулируемым местом рецепции N-метил-D-аспартата как подтип места связывания глутамата. Предлагаемое в изобретении соединение ингибирует индуцированную апоморфином стереотипию у крысы (ED50 2,8 мг/кг s.c.), что служит подтверждением нейролептической эффективности. В отношении этого соединения справедливо предположение, что оно не вызывает никаких экстрапирамидных побочных действий, поскольку на соответствующих моделях животных in vivo никакой каталепсии не наблюдалось (ED50 >> 30 мг/кг). Таким образом, соединение по изобретению отличается новым принципом действия, что позволяет применять его для лечения шизофрении. В нижеследующих примерах представлены фармацевтические композиции и технология их приготовления в соответствующих дозированных формах. Пример А: Склянки для инъекционных растворов Раствор из 100 г активного вещества формулы I и 5 г гидрофосфата динатрия в 3 л дважды дистиллированной воды с помощью 2 н. соляной кислоты устанавливают на рН 6,5, стерильно фильтруют, заполняют склянки, лиофилизуют в стерильных условиях и стерильно укупоривают. В каждой склянке содержится 5 мг активного вещества. Пример Б: Суппозитории Вначале приготавливают смесь из 20 г активного вещества формулы I, 100 г соевого лецитина и 1400 г масла какао, затем расплавляют, разливают в формы и дают застыть. Каждый суппозиторий содержит 20 мг активного вещества. Пример В: Раствор Приготавливают раствор из 1 г активного вещества формулы I, 9,38 г NaH2PO4 2H2O, 28,48 г Na2HP04 12H20 и 0,1 г хлорида бензалкония в 940 мл дважды дистиллированной воды. Затем устанавливают на рН 6,8, доводят до объема 1 л и стерилизуют облучением. Этот раствор может применяться в виде глазных капель.
Пример Г: МазьПри соблюдении асептических условий приготавливают смесь из 500 мг активного вещества формулы I и 99,5 г вазелина. Пример Д: Таблетки Приготавливают смесь из 1 кг активного вещества формулы I, 4 кг лактозы, 1,2 кг картофельного крахмала, 0,2 кг талька и 0,1 кг стеарата магния, которую затем таблетируют по обычной технологии таким образом, что каждая таблетка содержит 10 мг активного вещества. Пример Е: Драже Аналогично примеру Д прессуют таблетки, которые затем по обычной технологии покрывают оболочкой из сахарозы, картофельного крахмала, талька, траганта и красителя. Пример Ж: Капсулы Из 2 кг активного вещества формулы I по обычной технологии изготавливают капсулы с твердожелатиновым покрытием таким образом, что каждая капсула содержит 20 мг активного вещества. Пример 3: Ампулы Раствор из 1 кг активного вещества формулы I в 60 л дважды дистиллированной воды стерильно фильтруют, разливают в ампулы, в стерильных условиях лиофилизуют и стерильно укупоривают. В каждой ампуле содержится 10 мг активного вещества. Формула изобретения
![]() его энантиомеры и физиологически приемлемые соли. 2. Энантиомеры соединений формулы I по п. 1. 3. Способ получения соединения формулы I по п. 1, отличающийся тем, что соединение формулы II ![]() в которой L обозначает Сl, Вr, I или свободную либо реакционноспособно функционально модифицированную ОН-группу, подвергают взаимодействию с соединением формулы III ![]() и при необходимости полученное основное соединение формулы I за счет обработки кислотой переводят в одну из его солей. 4. Способ получения фармацевтических композиций, обладающей нейролептическим действием, отличающийся тем, что из соединения формулы I по п. 1 и/или одной из его физиологически приемлемых солей совместно с по меньшей мере одним твердым, жидким либо полужидким носителем и/или вспомогательным веществом изготавливают соответствующую дозированную форму. 5. Фармацевтическая композиция, обладающая нейролептическим действием, содержащая активное вещество и по меньшей мере один твердый, жидкий или полужидкий носитель и/или вспомогательное вещество, отличающаяся тем, что в качестве активного вещества содержит соединение формулы I по п. 1 и/или его физиологически приемлемую соль в эффективном количестве. 6. Соединение формулы I по п. 1 и его физиологически приемлемые соли в качестве нейролептического средства для борьбы с шизофренией. РИСУНКИ
MM4A Досрочное прекращение действия патента Российской Федерации на изобретение из-за неуплаты в установленный срок пошлины за поддержание патента в силе
Дата прекращения действия патента: 27.08.2003
Извещение опубликовано: 10.08.2005 БИ: 22/2005
|
||||||||||||||||||||||||||












] D-значения определяли при 20oС в диметилсульфоксиде.
Пример 1
2H2O, 28,48 г Na2HP04

