Патент на изобретение №2202602
|
||||||||||||||||||||||||||
(54) ПРИМЕНЕНИЕ ПОЛИДИОРГАНОСИЛОКСАНА В КАЧЕСТВЕ ДОБАВКИ В КОМПОЗИЦИЮ МЯГЧИТЕЛЕЙ ТКАНИ И КОМПОЗИЦИЯ МЯГЧИТЕЛЕЙ ТКАНИ
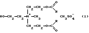
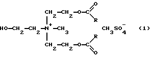
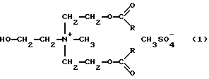
(57) Реферат: Описывается свободный от азота полидиорганосилоксан с концевыми гидроксильными группами, связанными с кремнием, имеющий молекулярную массу по меньшей мере 750, при этом по меньшей мере 50% органических заместителей в полидиорганосилоксане составляют метиловые радикалы, а все другие органические заместители представлены моновалентными углеводородами с 2-30 атомами углерода в виде водной эмульсии как добавка в композицию для мягчения ткани и композиция мягчителей ткани, включающая: а) четвертичное аммониевое соединение, в) свободный от азота полидиорганосилоксан с концевыми гидроксильными группами. Композиции мягчителя ткани придают обработанной ими ткани приятную на ощупь поверхность и легко биологически разлагаются, а материалы, обработанные новыми композициями мягчителя ткани, особенно отличаются хорошей повторной смачиваемостью. 2 с. и 5 з.п. ф-лы, 5 табл. Изобретение относится к полидиорганосилоксанам в качестве добавки в композиции для мягчения ткани и к композициям для мягчения ткани, содержащим эти полидиорганосилоксаны. Композиции для мягчения ткани, которые можно вводить в воду для полоскания после стирки домашнего белья, хорошо известны как “мягчители”. Такие композиции, как правило, включают в качестве активного вещества водонерастворимое соединение четвертичного аммония. Имеющиеся в продаже композиции для мягчения ткани имеют в своей основе водные дисперсии водонерастворимых четвертичных соединений. В последнее время повысился интерес к активным веществам биологического разложения. Такими соединениями являются, например, соединения сложных эфиров четвертичного аммония, так называемые “эстеркварты”, которые имеют по меньшей мере одну гидрофобную алкиловую или алкениловую группу с длинной цепью, прерванную карбоксильными группами. Такие соединения описаны, например, в ЕР-А-0239910 или WO 95/24460. Наиболее подходящие соединения сложных эфиров четвертичного аммония соответствуют формуле ![]() в которой R – алифатический радикал жирной кислоты таллового масла, в частности, моно- или полиненасыщенный алифатический С17 радикал. Активные вещества в композициях для мягчения ткани, придающие приятную на ощупь поверхность обработанной ткани, обладают тем недостатком, что они снижают водную абсорбционную способность текстильных изделий, в частности хлопка, обработанного мягчителем ткани. В частности, этот недостаток особенно проявляется в случае вышеупомянутых эстерквартов. Таким образом, задачей настоящего изобретения является найти добавку в композиции для мягчения ткани, которая бы улучшала повторную смачиваемость обработанных текстильных изделий и которая в то же время не затрагивала бы другие положительные свойства обработанных изделий, такие, как мягкость на ощупь и статические свойства. Неожиданно было выявлено, что некоторые полисилоксаны обладают такими свойствами. Таким образом, настоящее изобретение предлагает свободный от азота полидиорганосилоксан с концевыми гидроксильными группами, связанными с кремнием, имеющий молекулярную массу по меньшей мере 750, при этом по меньшей мере 50% органических заместителей в полидиорганосилоксане составляют метиловые радикалы, а все другие органические заместители представлены моновалентными углеводородами с 2-30 атомами углерода, как добавку в композицию для мягчения ткани. Полидиорганосилоксаны представляют собой линейные или практически линейные полимеры силоксана с концевыми гидроксильными радикалами, связанными с кремнием. Полидиорганосилоксаны этого типа имеют около 2, в частности от около 1,9 до 2, органических радикалов на атом кремния и их получают известными специалистам способами. Новые полидиорганосилоксаны имеют среднюю молекулярную массу по меньшей мере 750 и по меньшей мере 50% органических заместителей в полидиорганосилоксане представляют собой радикалы метила, а все другие органические заместители являются моновалентными углеводородами с 2-30 атомами углерода. Примерами подходящих моновалентных углеводородных радикалов с 2-30 атомами углерода являются алкиловые или циклоалкиловые радикалы, такие, как этил, пропил, бутил, н-октил, тетрадецил или циклогексил, алкениловые радикалы, такие, как винил или аллил, и ариловые или аралкиловые радикалы, такие, как фенил или толил. Молекулярная масса полидиорганосилоксанов предпочтительно составляет от 20000 до 90000. Предпочтительные полидиорганосилоксаны представляют собой полидиметилсилоксаны, соответствующие формуле ![]() в которой x составляет от 300 до 1000, предпочтительно от 400 до 800. Среднее число гидроксильных групп на атом кремния можно определить следующим образом: для определения соотношения числа атомов кремния, с которыми связаны гидроксильные группы, в некоторых случаях через алкиленовые мостики, с числом атомов кремния, с которыми не связаны группы ОН или радикалы, содержащие группы ОН, применяют 29Si-ЯMP спектроскопию. Подходящие соединения описаны, например, в DE-B-2459936. В получении мягчителей ткани полидиорганосилоксаны по изобретению лучше применять в виде водных эмульсий. Их можно приготовить следующим образом. Полидиорганосилоксаны эмульгируют в воде с применением одного или нескольких днспергаторов и сдвигающих усилий, например, посредством коллоидальной мельницы. Подходящие диспергаторы известны специалистам данной области, например можно применять этоксилированные спирты или поливиниловый спирт. Диспергатор(ы) применяют в обычных количествах, известных специалистам, и вводят либо в полисилоксан, либо в воду до эмульгирования. При необходимости эмульгирование можно проводить или должно проводить в определенных случаях при повышенной температуре. При желании дисперсии полидиорганосилоксанов могут дополнительно включать диспергированные полиалкиленовые воски. Примерами подходящих полиалкиленовых восков являются окисленные полиэтиленовые воски. Дисперсии с полисилоксаном и таким воском готовят приготовлением дисперсии полисилоксана описанным выше способом, а затем соединением ее с приготовленной отдельно дисперсией окисленного полиэтиленового воска. Такие восковые дисперсии имеются в продаже. Состав полисилоксановой дисперсии по изобретению может быть, например, следующим: от 1 до 60, лучше от 5 до 25 вес.%, , -дигидроксидиметилполисилоксана,от 0 до 20, лучше от 5 до 15 вес.%, полиэтиленового воска, от 0,5 до 15, лучше от 1 до 10 вес.%, этоксилата спирта жирного ряда (C16-C18, насыщенного), от 0 до 5, лучше от 0,1 до 2 вес.%, октаэтоксилата стеариламина, и вода до 100 %. Текстильные материалы, которые можно обрабатывать новой композицией для мягчения, это – шелк, шерсть, полиамид или полиуретаны и, в частности, материалы из целлюлозных волокон всех типов. Такими материалами являются, например, природные целлюлозные волокна, такие, как хлопок, лен, джут и пенька и регенерированная целлюлоза. Предпочтение отдают текстильным материалам из хлопка. Новые композиции для мягчения ткани также пригодны для гидроксилсодержащих волокон, которые присутствуют в смесовых тканях, например в смесях хлопка с полиэфирными волокнами или полиамидными волокнами. Кроме того, изобретение предлагает композицию для мягчения ткани, включающую (а) 1-20 вес.%, предпочтительно 5-20 вес.% четвертичного аммониевого соединения формулы ![]() где R – алифатический радикал жирной кислоты таллового масла, в частности моно- или полиненасыщенный алифатический 17 радикал; (b) 0,1-20 вес. %, предпочтительно 0,5-10 вес.%, свободного от азота полидиорганосилоксана с концевыми гидроксильными группами, связанными с кремнием, имеющего молекулярную массу по меньшей мере 750, при этом по меньшей мере 50% органических заместителей в полидиорганосилоксане составляют метиловые радикалы, а все другие органические заместители представлены моновалентными углеводородами с 2-30 атомами углерода, в виде водной эмульсии. Компонентом (б) в новой композиции для мягчения ткани предпочтительно является полидиорганосилоксан формулы ![]() в которой x составляет число от 300 до 1000, предпочтительно от 400 до 800. Кроме того, новая композиция для мягчения ткани может включать типичные для стандартных коммерческих мягчителей ткани добавки, например спирты, такие, как этанол, н-пропанол, и-пропанол, многоатомные спирты, например глицерол и пропиленгликоль; амфотерные и неионные ПАВ, например карбоксильные производные имидазола, оксэтилированные спирты жирного ряда, гидрированное и этоксилированное касторовое масло, алкиловые полигликозиды, например децилполиглюкозу и додецилполиглюкозу, спирты жирного ряда, сложные эфиры жирных кислот, жирные кислоты, этоксилированные глицериды жирных кислот или частичные глицериды жирных кислот; кроме того, неорганические или органические соли, например водорастворимые соли калия, натрия или магния, неводные растворители, буферы рН, отдушки, красители, гидротропные агенты, противовспенивающие агенты, агенты, препятствующие повторному осаждению, полимерные или другие сгустители, ферменты, оптические осветлители, агенты, препятствующие усадке ткани, агенты, удаляющие пятна, гермициды, фунгициды, антиокислители, ингибиторы коррозии и противосминающие агенты. Композицию для мягчения ткани по изобретению вначале готовят перемешиванием активного вещества, т.е. соединения четвертичного аммония формулы (1) в расплавленном состоянии в воде, затем, при необходимости, вводят другие нужные добавки и, наконец, после охлаждения добавляют эмульсию полидиорганосилоксана. Композиции для мягчения ткани по изобретению придают обработанному текстильному материалу мягкость на ощупь и легко биологически разлагаются. Волокнистые материалы, обработанные новой мягчительной композицией, особенно отличаются хорошей повторной смачиваемостью. Следующие примеры иллюстрируют изобретение, не ограничивая его. Пример 1. Получение композиции для мягчения ткани по изобретению. Композицию, представленную в табл. 1, готовят так: 80% воды нагревают до 60oС. С перемешиванием вводят расплавленный эстеркварт и смесь перемешивают 30 мин. Затем нагревание прекращают. Остальную воду смешивают с солью и вводят в смесь двумя этапами с перемешиванием. Смесь перемешивают 30 мин, после чего ее охлаждают также с перемешиванием. Масляную отдушку вводят при температуре <30oС. Наконец, добавляют эмульсию полидиорганосилоксана. Эмульсия полидиорганосилоксана имеет приблизительно следующий состав: 12,5 вес.% , -дигидроксидиметилполисилоксана,12,5 вес.% полиэтиленового воска, 1,0 вес.% этоксилата спирта жирного ряда (C16-C18, насыщенного), 1,0 вес.% октаэтоксилата стеариламина, и 73,0 вес.% воды. Пример 2. Тест на абсорбционную способность по DIN 53924. Кусок контрольной ткани Molton и Krefeld размером 40х40 см обрабатывали в аппарате Wacker (описание аппарата дается у К. Brauer, H. Fehr, R. Puchta, Tens. Dct. 17, 281 (1980) в холодной воде при соотношении жидкости 5:1 (5 вес. частей обрабатывающей жидкости на 1 вес. часть сухого белья) в течение 5 мин. Концентрации мягчительных композиций (а)-(f) выбирали таким образом, чтобы на 1 кг сухого белья приходилось 30 г мягчителя ткани. После обработки ткань вынимали, 15 с отжимали в центрифуге и вывешивали для сушки. Композиции тестировали на абсорбционную способность по DIN 53924. Этот стандарт определяет скорость абсорбции, т.е. скорость, с которой вода передается в структуры поверхности ткани как результат капиллярных сил. Определяли только скорость передачи воды против силы притяжения. Измеряемый параметр представлен в возрастании высоты [мм] в течение различных временных интервалов. Результаты теста представлены в табл. 2. Результаты, представленные в Таблице, показывают, что абсорбционную способность обработанных тканей можно значительно повысить добавлением эмульсии полидиметилсилоксана. Пример 3. А. Приготовление состава основных композиций мягчителя 1А-3В. 10,0% Rewoquat WE 18 [Ди(этиловый эфир норталловой кислоты) гидроксиэтилметиламмоний метасульфат]; 90,0% АВ; 1,00% полидиметилсилоксана (ПДМС) (активное вещество); 0,06% HCl; 0,06% CaCl2 (25% раствор); 88,88% деионизированной воды. Характеристики и свойства композиций представлены в табл. 3. Способы получения композиций представлены в табл. 4. В. Фитильное тестирование согласно DIN 53924 и статистическая интерпретация (t-тест). Условия промывки и полоскания. Стадии промывки выполняются на промывной установке, а стадии полоскания – на лабораторной промывной машине Linitest. Используют предварительно промытый, отбеленный образец хлопка “cotton-Renforce” (размеры: 300х20 мм для теста на гидрофильность). Промывная ванна: жидкостной модуль: 10:1 (вода:ткань); расход детергента: 20 г ЕСЕ детергента/кг ткани; температура: 60oС; время: 3 15 мин.
Промежуточная ванна для полоскания:жидкостной модуль: 5:1 (вода:ткань); расход детергента: 2 г активного вещества (АВ)/кг ткани [= 0,18 г концентрата для полоскания (около 11 % АВ/10 г ткани)]; температура: 20oС; время: 5 мин. Сушка: сушильная линия при комнатной температуре. Фитильное тестирование. Гидрофильность обработанной ткани измеряли путем подсчета поглощенной воды с использованием теста с фитилем. Тестируемые полоски в виде фитилей фиксировались на металлический кромке и погружались в окрашенный раствор. Длина окрашенной части хлопка измерялась по истечение 20 мин и записывалась в порядке возрастания в см. Статистические результаты t-теста. Сравнение двух независимых образцов характеризовалось путем: ![]() где x = среднему числу испытуемых образцов (масла ПДМС или эмульсии ПДМС), s = стандартному отклонению, n – число измерений (8) Степень набухания: n1+n2-2=14 Рассчитанное t-значение далее сравнивают с критическим t-значением (t95%=1,761-95% уровень). Если tpacч tкрит, между 2 образцами имеется достаточное различие.
С. Результаты.
Фитильное тестирование: cтатистическая интерпретация t-тест. Результаты представлены в табл. 5.
Мягчитель с маслом ПДМС в соответствии с WO 95/24460.
Мягчитель с эмульгированным ПДМС в соответствии с настоящим изобретеним (с той же самой молекулой ПДМС).
tкрити ческий = tкрит. = 1,761Согласно t-тесту с точностью 95% все мягчители, полученные способом по настоящему изобретению, неожиданно обладают значительно лучшей гидрофобностью, чем соответствующие композиции ближайшего аналога. Мягчительные композиции по настоящему изобретению значительно улучшают смачиваемость обработанных тканей. Формула изобретения
![]() в которой x – от 300 до 1000, предпочтительно от 400 до 800. 4. Свободный от азота полидиорганосилоксан по любому из пп.1-3 в качестве добавки в композицию для мягчения хлопка. 5. Композиция для мягчения ткани, включающая (а) 1-20 вес.% четвертичного аммониевого соединения формулы ![]() где R алифатический радикал жирной кислоты таллового масла, (b) 0,1-20 вес.% свободного от азота полидиорганосилоксана с концевыми гидроксильными группами, связанными с кремнием, имеющего молекулярную массу, по меньшей мере, 750, при этом, по меньшей мере, 50% органических заместителей в полидиорганосилоксане составляют метиловые радикалы, а все другие органические заместители представлены моновалентными углеводородами с 2-30 атомами углерода, в виде водной эмульсии. 6. Композиция для мягчения ткани по п.5, в которой в компоненте (а) R – моно- или полиненасыщенный алифатический 17 радикал. 7. Композиция для мягчения ткани по п.5, включающая полидиорганосилоксан формулы ![]() в которой x – от 300 до 1000, предпочтительно от 400 до 800.2 РИСУНКИ
MM4A Досрочное прекращение действия патента Российской Федерации на изобретение из-за неуплаты в установленный срок пошлины за поддержание патента в силе
Дата прекращения действия патента: 22.04.2004
Извещение опубликовано: 10.08.2005 БИ: 22/2005
|
||||||||||||||||||||||||||



,
-дигидроксидиметилполисилоксана,

15 мин.
Промежуточная ванна для полоскания:
tкрит, между 2 образцами имеется достаточное различие.
С. Результаты.
Фитильное тестирование: cтатистическая интерпретация t-тест. Результаты представлены в табл. 5.
Мягчитель с маслом ПДМС в соответствии с WO 95/24460.
Мягчитель с эмульгированным ПДМС в соответствии с настоящим изобретеним (с той же самой молекулой ПДМС).
tкрити ческий = tкрит. = 1,761

