Патент на изобретение №2202556
|
||||||||||||||||||||||||||
(54) ФОСФОРИЛИРОВАННЫЕ ПРОИЗВОДНЫЕ ФЕНИЛУКСУСНОЙ КИСЛОТЫ, ЛЕКАРСТВЕННОЕ СРЕДСТВО ДЛЯ ЛЕЧЕНИЯ АЛЛЕРГИЧЕСКИХ ЗАБОЛЕВАНИЙ
(57) Реферат: Изобретение относится к новым фосфорилированным производным фенилуксусной кислоты формулы (II), где R1 означает -СН2ОР(О)(ОН)2 и R2 означает ОН; R1 означает -СН3 и R2 означает -ОР(О)(ОН)2. Описывается лекарственное средство для лечения аллергических заболеваний, содержащее эффективное количество соединения формулы (II) вместе с фармацевтически пригодным и физиологически приемлемым носителем. Технический результат: соединения действуют быстрее и более эффективны, чем Терфенадин. 2 с. и 1 з.п.ф-лы, 3 табл.
Изобретение относится к микробному способу получения 4-(4-(4-(гидроксидифенил)-1 -пиперидинил)-1 гидроксибутил) , -диметилфенилуксусной кислоты (соединение 1) и фосфорилированных производных из -(п-трет.-бутилфенил) -4-( -гидрокси- -фенилбензил)-1-пиперидин-бутанола (соединение 2), а также к их применению в качестве лекарственных средств. Далее, изобретение относится к микробному способу фосфорилирования соединения 1.
Известно, что в человеческом организме соединение 2 превращается в соединение 1 (патент ФРГ 2303306; патент США 4254129; патент США 4285957; патент ФРГ 3007498). Далее, известно, что эбастин окисляется до каребастина с помощью микроорганизмов, например, рода Cunninghamella (патент ФРГ 4034218; Scwarz и др., Appl. Microbiol. Biotechnol. 44, 731-735 (1996)).
В настоящее время найдено, что грибы родов Cunninghamella или Absidia селективно превращают соединение 2 в соединения формулы (I) или (II). Селективное окисление только п-трет.-бутилфенильного остатка соединения 2 до соответствующей карбоксильной группы является неожиданным, так как обе гидроксильные группы в соединении 2, которые также могут окисляться, не окисляются.
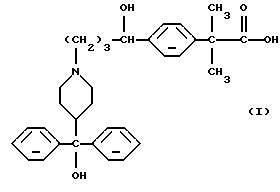
Поэтому изобретение относится к способу получения соединения формулы (I)![]() отличающемуся тем, что -(п-трет.-бутилфенил)-4-( -гидрокси- -фенилбензил)-1-пиперидин-бутанол инкубируют с грибом рода Cunninghamella или Absidia.
Предпочтительно используют гриб из группы Cunninghamella blakesleeana. Cunninghamella elegans и Cunninghamella echinulata, в особенности АТСС 8688а, DSM 1905. DSM 1908 и АТСС 9244. Далее, пригодны для использования в предлагаемом согласно изобретению способе мутанты и селектанты грибов рода Cunninghamella, поскольку они превращают соединение 2 в соединение формулы (I) и/или формулы (II). Далее, грибы рода Cunninghamella можно использовать для фосфорилирования соединения 1.
Жидкая питательная среда содержит источники углерода, такие как сахароза, кукурузный крахмал, декстроза или меласса, и источники азота, такие как соевая мука, арахисовая мука, солодовый экстракт или ацетат аммония.
Питательная среда содержит также неорганические соли, такие как гидрофосфат натрия, хлорид натрия, хлорид кальция, сульфат кальция, карбонат кальция, сульфат магния или гидрофосфат калия. Далее, к питательной среде также можно добавлять жиры, такие как метиловый эфир олеиновой кислоты или соевое масло. Наряду с этим также можно добавлять микроэлементы, такие как соли железа, марганца, меди, цинка, кобальта или других металлов.
Культивирование грибов осуществляют при температурах от 20oС до 35oС, предпочтительно при 28oС, и при значениях рН от 5 до 9, предпочтительно при рН 8. Культивирование осуществляют аэробно сначала во встряхиваемых колбах и затем в ферментере при перемешивании и аэрации с помощью воздуха или чистого кислорода. Культивирование микроорганизмов в ферментерах осуществляют в течение периода времени от 48 до 240 часов, предпочтительно от 70 до 110 часов. Соединение 2 добавляют непосредственно в начале культивирования, однако его можно добавлять также позднее, предпочтительно спустя примерно 48 часов. Соединение 2 добавляют в виде твердого вещества, в виде суспензии или в виде раствора.
Пригодными растворителями являются этанол, диметилформамид(ДМФА), однако также диметилсульфоксид (ДМСО), диметилацетамид (ДМА), диметоксиэтан (ДМЭ), тетрагидрофуран (ТГФ), а также дибутил-, диизопропил-, диэтил-формамид; 1-метил-, ‘ 1-этил-, 1-циклогексилпирролидон; 4-формилморфолин, 1-формилпиперидин, 1-формилпирролидин; тетраметил-, тетраэтил-, тетрабутилмочевина; трипиперидинофосфиноксид, трипирролидинофосфиноксид, сульфолан, или N-метилкапролактам, или смеси указанных растворителей. Можно добавлять также агенты растворения, такие как Твин или додецилсульфат натрия.
Соединение 1 выделяют непосредственно из питательного раствора или после отделения клеток, например, путем центрифугирования или фильтрации. Соединение 1 можно выделять путем экстракции с помощью растворителей или путем адсорбции на гидрофобных смолах, таких как XAD 16, HP 20, или при использовании ионообменников.
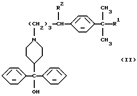
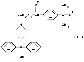
Изобретение, далее, относится к способу получения соединения формулы (II)![]() где R1 означает -ОН или -CH2-O-P(O) (ОН)2 и R2 означает -ОН; R1 означает -СН3 и R2 означает -О-Р(О)(ОН)2; или R2 означает -O-Р(O)(ОН)2 и R1 означает -С(O)ОН; отличающемуся тем, что -(п-трет. -бутилфенил)-4-( -гидрокси- -фенилбензил)-1-пиперидин-бутанол или, при необходимости, 4-(4-(4-(гидроксидифенил)-1пиперидинил)-1-гидроксибутил)- , -диметилуксусную кислоту инкубируют с грибом рода Cunninghamella или Absidia.
Превращение происходит, по существу, как и в способе получения соединения формулы (I). Для получения соединения формулы (II), где R1 означает -СООН и R2 означает -O-Р(O)(ОН)2, в качестве субстрата для превращения используют, предпочтительно, соединение 1. Изобретение, далее, относится к новым соединениям формулы (II), где R1 означает -СН2-О-Р (О) (ОН)2 и R2 означает -ОН (соединение 3); R1 означает -СН3 и R2 означает-О-Р(О)(OH)2 (соединение 4);или R2 означает -О-Р(О)(ОН)2 и R1 означает -СООН. Изобретение, далее, относится к способу получения соединения формулы (II), где R1 означает -ОН и R2 означает -ОН (Триол), отличающемуся тем, что -(п-трет. -бутилфенил)-4-( -гидрокси- -фенилбензил)-1-пиперидин-бутанол инкубируют с грибом рода Cunninghamella или Absidia.
Изобретение относится также к лекарственным средствам, отличающимся тем, что они содержат эффективное количество, по крайней мере, одного соединения формулы (II) и/или физиологически приемлемой соли соединения формулы (II) вместе с фармацевтически пригодным и физиологически приемлемым носителем.
Изобретение относится также к фармацевтически приемлемым солям соединения формулы (II). Фармацевтически приемлемые соли присоединения кислот предлагаемых согласно изобретению соединений представляют собой таковые с пригодными неорганическими или органическими кислотами. Пригодными неорганическими кислотами являются, например, соляная кислота, бромводородная кислота, серная кислота и фосфорная кислота. К пригодным органическим кислотам относятся карбоновые кислоты, такие как уксусная кислота, пропионовая кислота, гликолевая кислота, молочная кислота, пировиноградная кислота, малоновая кислота, янтарная кислота, фумаровая кислота, яблочная кислота, винная кислота, лимонная кислота, цикламеновая кислота, аскорбиновая кислота, гидроксималеиновая кислота, дигидроксималеиновая кислота, бензойная кислота, фенилуксусная кислота, 4-аминобензойная кислота, 4-гидроксибензойная кислота, антраниловая кислота, коричная кислота, салициловая кислота, 4-аминосалициловая кислота, 2-феноксибензойная кислота, 2-ацетоксибензойная кислота и миндальная кислота; сульфокислоты, такие как метансульфокислота, этансульфокислота и -гидроксиэтансульфокислота. Также в рамки изобретения входят нетоксичные соли соединений вышеуказанных формул с неорганическими или органическими основаниями. К ним относятся, например, соли щелочных металлов, таких как натрий, калий и литий; соли щелочноземельных металлов, таких как кальций и магний; соли легких металлов группы IIIA, как алюминий; соли органических аминов, как первичные, вторичные или третичные амины, например, как циклогексиламин, этиламин, пиридин, метиламиноэтанол и пиперазин. Соли получают обычным образом, например, тем, что соединение формулы (II) вводят во взаимодействие с соответствующей кислотой или основанием.
Благодаря фармакологическим свойствам предлагаемые согласно изобретению соединения формулы (II) пригодны в качестве противогистаминных средств, противоаллергических средств и бронхолитических средств.
Предлагаемые согласно изобретению соединения формулы (II) пригодны для лечения аллергического ринита, астмы или других аллергических заболеваний.
Предлагаемые согласно изобретению соединения формулы (II) можно вводить перорально, парентерально, например, подкожно, внутривенно, внутримышечно, интраперитонеально, путем введения через нос или путем нанесения на слизистые оболочки, например, носа, глотки или дыхательного тракта, например, в форме аэрозоля-спрея, который содержит маленькие частицы предлагаемого согласно изобретению соединения в виде порошка или тумана.
Количества вводимых соединений зависят от пациента и способа введения. Вводимое количество может колебаться в широких пределах, так что для достижения желательного эффекта вводят разовые дозы с эффективным количеством примерно от 0,01 до 20 мг/кг массы тела/день. Например, желательного противогистаминного, противоаллергического или бронхолитического действия достигают путем приема разовой дозы, например, таблетки, с содержанием от 5 до 300 мг предлагаемого согласно изобретению соединения, предпочтительно от 10 до 200 мг, от одного до четырех раз в день.
Изобретение относится также к способу получения лекарственного средства, отличающемуся тем, что, по крайней мере, одно соединение формулы (II) с помощью фармацевтически пригодного и физиологически приемлемого носителя и, при необходимости, других пригодных биологически активных веществ, добавок или вспомогательных веществ переводят в пригодную лекарственную форму.
Пригодными твердыми или галеновыми лекарственными формами являются, например, грануляты, порошки, драже, таблетки, (микро)капсулы, суппозитории, сиропы, соки, суспензии, эмульсии, капли или растворы для инъекции, а также препараты с замедленным высвобождением биологически активного вещества, при получении которых находят применение обычные вспомогательные средства, такие как носители, наполнители, связующие, средства для покрытия, способствующие набуханию средства, придающие скользкость (таблеткам) или смазочные средства, корригирующие непрятный вкус лекарства средства, подслащивающие средства и агенты растворения. В качестве часто используемых вспомогательных веществ следует назвать карбонат магния, диоксид титана, лактозу, маннит и другие сахара, тальк, молочный белок, желатин, крахмал, целлюлозу и ее производные; растительные и животные масла, как рыбий жир, подсолнечное масло, арахисовое масло или кунжутное масло; полиэтиленгликоль и растворители, такие как, например, стерильная вода и одно- или многоатомные спирты, такие как глицерин.
Предлагаемые согласно изобретению соединения формулы (II) можно также вводить в виде растворов или суспензий для инъекций в физиологически приемлемом разбавителе с фармацевтическим носителем, который представляет собой стерильную жидкость, как вода или масло, причем можно добавлять поверхностно-активные и другие фармацевтически допустимые вспомогательные средства. Примерами пригодных масел являются таковые из нефти, животного, растительного или синтетического происхождения, как, например, арахисовое масло, соевое масло или минеральное масло. В общем, в качестве жидких носителей предпочтительны вода, раствор хлорида натрия, водный раствор декстрозы или подобные растворы сахаров или гликоли, как пропиленгликоль или полиэтиленгликоль, в особенности растворы для инъекций.
Для применения в качестве аэрозолей предлагаемые согласно изобретению соединения используют в виде раствора или суспензии в резервуаре для аэрозоля вместе с пригодными пропеллентами, как, например, углеводородные пропелленты, как пропан, бутан или изобутан, или диоксид углерода, или азот, или другие экологически допустимые пропелленты, и обычными вспомогательными средствами под давлением. Соединения можно также вводить без использования давления, например, с помощью ингаляторов. Лекарственные средства используют для введения теплокровным животным, птицам, млекопитающим, как, например, люди, кошки, собаки, лошади, овцы, крупный рогатый скот, коровы, свиньи, ягнята, крысы, мыши и морские свинки.
Пример 1Получение штамма 100 мкл Суспензии спор Cunninghamella штаммов Cunninghamella blakesleeana FH 001, Cunninghamella blakesleeana FH 002, Cunninghamella blakesleeana FH 003, Cunnunghamella echinulata DSM 1905, Counninghamella echinulata Variante elegans ATCC 8688a, Cunninghamella elegans DSM 1908 и Cunninghamella echinulata Variante echinulata ATCC 9244 помещают на агаровую пластинку (20 г/л солодового экстракта, 2 г/л пептона и 20 г/л агара; рН 6,5) и инкубируют в течение 72 часов при температуре 28oС. Затем пластинку можно хранить, по крайней мере, в течение восьми недель при температуре 4oС. Альтернативно штаммы можно культивировать в той же самой среде без добавления погружного агара. После культивирования в течение 72 часов при температуре 28oС культуру смешивают с глицерином (20%) и суспензию хранят примерно при – 120oС над жидким азотом. Пример 2 Аналитическая часть: Высокоэффективная жидкостная хроматография (ВЭЖХ) Подготовка пробы: культуральный бульон разбавляют метанолом в соотношении 1:1 и суспензию перемешивают в течение 30 минут. Прозрачную фазу отделяют путем центрифугирования. Растворитель А: 900 мл воды; ацетонитрила; 1 мл трифторуксусной кислоты (ТФУК).; Растворитель Б: 900 мл ацетонитрила; 100 мл воды; 1 мл ТФУК; Детектирование: 215 нм Поток: 1 мл/мин Градиент: 0 мин 50% Б 10 мин 80% Б 15 мин 80% Б 16 мин 50% Б 21 мин 50% Б Температура колонки: 55oС Колонка: Merck RP 185 мкм Licrospher 100; длина 25 см; диаметр 4 мм Времена удерживания: соединение 1=5,4 минуты; соединение 2=9 минут: Триол=5,7 минут; соединение 3=3,5 минуты; соединение 4=6, 9 минут. Пример 3 Скрининг со штаммами Cunninghamella 100 мл Среды для скрининга (5 г/л соевого пептона; 5 г/л дрожжевого экстракта; 5 г/л хлорида натрия; 5 г/л К2НРO4; 3 г/л агара и 20 г/л глюкозы) отдельно выдерживают в автоклаве; рН 5,0; в колбе Эрленмейера объемом 1000 мл) инфицируют с помощью куска агара с одним из указанных в примере 1 штаммов. Культивирование осуществляют сначала в течение 48 часов при температуре 28oС и при скорости вращения 180 оборотов в минуту (об/ мин) на вращающемся устройстве для встряхивания. Спустя это время, добавляют раствор 20 мг соединения 2 в 100 мкл диметилформамида или этанола. Спустя 72 часа или по выбору в более ранний момент времени отбирают аликвоту культуры и смешивают с метанолом (50%). Полученную суспензию суспендируют в течение 30 секунд с помощью аппарата Ультра-Турракс и затем суспензию центрифугируют при ускорении 10000 g. Полученный прозрачный супернатант затем анализируют с помощью ВЭЖХ (см. Пример 2). В культуральном бульоне всех штаммов после времени инкубации 72 часа можно обнаружить соединение 1 в концентрации вплоть до 5 мг/л. Пример 4 Получение соединения 1 в масштабе колбы с помощью различных штаммов Cunninghamella 100 мл Среды для предварительного культивирования (5 г/л соевого пептона; 5 г/л дрожжевого экстракта; 5 г/л хлорида натрия; 5 г/л К2НРО4; 3 г/л агара и 20 г/л глюкозы / отдельно выдерживают в автоклаве; рН 5,0; в колбе Эрленмейера объемом 1000 мл) инфицируют с помощью куска агара, на котором выращен в каждом случае один из указанных в Примере 1 штаммов. Культивируют в течение 48 часов при температуре 28oС и при скорости 180 об/мин на вращающемся устройстве для встряхивания. 100 мл Производственной питательной среды (5 г/л соевого пептона; 10 г/л жидкость замачивания кукурузы; 20 г/л глюкозы; 5 г/л хлорида натрия; 1 г/л К2НР04; 3 г/л агара; 25,1 г/л 2-([гидрокси-1,1-бис-(гидроксиметил)этил]амино)этансульфокислоты (TES)(натриевая соль); 100 мкл десмофена; рН 8,0; в колбе Эрленмейера объемом 500 мл) инфицируют с помощью 10 мл вышеописанной предварительной культуры. Культивирование осуществляют сначала в течение 48 часов при температуре 28oС и при скорости 180 об/мин на вращающемся устройстве для встряхивания. Спустя это время добавляют раствор 20 мг соединения 1 в 100 мкл ДМФА. Спустя 72 часа отбирают аликвоту культуры и смешивают с метанолом (50%). Полученную суспензию суспендируют в течение 30 секунд с помощью аппарата Ультра-Турракс и затем суспензию центрифугируют при ускорении 10 000 g. Полученный прозрачный супернатант затем анализируют с помощью ВЭЖХ(Пример 2). Анализом определен выход, представленный в Таблице 1, обнаружены следующие соединения: соединение 1 представляет собой соединение формулы (I); соединение 2 представляет собой соединение формулы (II), где R1 означает -СН3 и R2 означает -ОН; соединение 3 представляет собой соединение формулы (II), где R1 означает -СН2-О-Р (О) (ОН)2 и R2 означает -ОН; соединение 4 представляет собой соединение формулы (II), где R1 означает -СН3 и R2 означает -О-Р(О)(OH)2; и Триол означает соединение формулы (II), где R1 означает -ОН и R2 означает -ОН. Пример 5 Улучшенный вариант получения соединения 1 в масштабе колбы с помощью Cunninghamella echinulata Variante elegans ATCC 8688а 100 мл Среды для предварительного культивирования (5 г/л соевого пептона; 5 г/л дрожжевого экстракта; 5 г/л хлорида натрия; 5 г/л К2НРО4; 3 г/л агара и 20 г/л глюкозы [отдельно выдерживают в автоклаве]; рН 5,0; в колбе Эрленмейера объемом 1000 мл) инфицируют с помощью куска агара, на котором в каждом случае выращен один из указанных в Примере 1 штаммов. Культивирование осуществляют в течение 48 часов при температуре 28oС и при скорости 180 оборотов в минуту на вращающемся устройстве для встряхивания. 100 мл Производственной питательной среды (5 г/л соевого пептона; 5 г/л казеинового пептона; 20 г/л крахмала; 5 г/л хлорида натрия; 1 г/л К2НРО4; 1 г/л сульфата аммония; 3 г/л агара; 25,1 г/л TES (натриевая соль); 100 мкл десмофена; рН 8,0; в колбе Эрленмейера объемом 500 мл) инфицируют с помощью 10 мл вышеполученной предварительной культуры. Культивирование осуществляют сначала в течение 24 часов при температуре 28oС и при скорости 180 об/ мин на вращающемся устройстве для встряхивания. Спустя это время добавляют раствор 20 мг соединения 2 в 800 мкл этанола. Спустя 72 часа отбирают аликвоту культуры и смешивают с метанолом (50%). Полученную суспензию суспендируют в течение 30 секунд с помощью аппарата Ультра-Турракс и затем суспензию центрифугируют при ускорении 10 000 g. Полученный прозрачный супернатант затем анализируют с помощью ВЭЖХ (Пример 2). Анализ показывает выход 145 мг/л соединения 1; 6,5 мг/л Триола (2); 22 мг/л соединения 3 и 5 мг/л соединения 4. Пример 6 Получение соединений формулы (II) в ферментере емкостью 10 100 мл Среды для предварительного культивирования (5 г/л соевого пептона; 5 г/л дрожжевого экстракта; 5 г/л хлорида натрия; 5 г/л К2НРО4; 3 г/л агара и 20 г/л глюкозы отдельно выравнивают в автоклаве; рН 5,0; в колбе Эрленмейера объемом 1000 мл) инфицируют с помощью куска агара, на котором выращен штамм Cunninghamella echinulata Var. elegans ATCC 8688а. Культивирование осуществляют в течение 48 часов при температуре 28oС и при скорости 180 об/мин на вращающемся устройстве для встряхивания. 10 л Производственной питательной среды (5 г/л соевого пептона; 5 г/ л дрожжевого экстракта; 20 г/ л глюкозы [отдельно выдерживают в автоклаве], 5 г/л хлорида натрия: 1 г/л К2НРО4; 100 мкл десмофена; рН 5,0) инфицируют с помощью 100 мл вышеописанной предварительной культуры. Затем туда добавляют соединение 2, так что в ферментере достигается конечная концентрация 200 мг/л производственной питательной среды. Ферментацию осуществляют при температуре 28oС, скорости 700 об/ мин и 0,5 объема на один объем в минуту в течение 96 часов. Согласно ВЭЖХ-анализу культуральный бульон содержит примерно 10 мг/л соединения 1; 10 мг/л Триола (2); 100 мг/л соединения 3 и 100 мг/л соединения 4. Пример 7 Выделение соединений формулы (II) Полученный согласно Примеру 6 культуральный бульон (8800 мл) с помощью центрифуги со стеклянными стаканами (5000 g/10 минут) разделяют на супернатант (8000 мл) и биомассу (800 г) и обе фазы обрабатывают отдельно. К супернатанту добавляют 160 г макропористой акриламид-полистирольной адсорбирующей смолы, такой как XAD 7. Адсорбцию осуществляют легким перемешиванием при рН 2,5 и при комнатной температуре в течение двух часов. Адсорбирующую смолу отфильтровывают и 4 раза элюируют с помощью 160 мл метанола. Элюаты объединяют и концентрируют при пониженном давлении досуха (примерно 50 г маслянистого твердого вещества после лиофилизации). Тонкую очистку осуществляют с помощью препаративной ВЭЖХ по следующему способу: Растворитель А: 800 мл воды; 200 мл ацетонитрила;1 мл ТФУК; Растворитель Б: 1000 мл ацетонитрила; 0,9 мл ТФУК; Детектирование: 215 нм Поток: 50 мл/мин Градиент: 0 мин 0% Б 60 мин 0% Б 133 мин 43% Б 134 мин 100% Б 157 мин 100% Б Температура колонки: комнатная температура Колонка: Kromasil, С 18,7 мкм; длина 350 мм; диаметр 50 мм Проба: 5 г сырого продукта, растворенные в 350 мл смеси метанола с водой в соотношении 1:1. В результате двух пропусканий, после очистки соответствующих фракций, концентрирования при пониженном давлении и лиофилизации водного остатка получают 20 мг соединения 1 и 160 мг соединения 3. Биомассу (800 г) экстрагируют с помощью 30%-ного и 100%-ного н-пропанола (в целом 1500 мл) и твердое вещество отделяют путем фильтрации через фильтрующие слои (К 300). Фильтраты концентрируют при пониженном давлении и получают 26,2 г маслянистого твердого вещества. Тонкую очистку осуществляют с помощью препаративной ВЭЖХ по следующему способу: Растворитель А: 800 мл воды; 200 мл ацетонитрила; 1 мл ТФУК; Растворитель Б: 1000 мл ацетонитрила; 0,9 мл ТФУК: Детектирование: 215 нм Поток: 50 мл/ мин. Градиент: 0 мин 0% Б 34 мин 0% Б 121 мин 51% Б 122 мин 100% Б 148 мин 100% Б Температура колонки: комнатная температура Колонка: Kromasil, С 18,7 мкм; длина 350 мм; диаметр 50 мм Проба: 5 г сырого продукта, растворенные в 400 мл смеси метанола с водой в соотношении 1:1. В результате двух пропусканий, после очистки соответствующих фракций, концентрирования при пониженном давлении и лиофилизации водного остатка, получают 4 мг Триола (2); 20 мг соединения 4 и 80 мг соединения 1. Пример 8 Характеристика соединений формулы (II) Наряду с характеристикой посредством UV/VIS-спектроскопии компоненты характеризуют путем 1H-ЯМР-спектроскопии и масс-спектрометрии с ионизацией электронным распылением или масс-спектрометрии с бомбардировкой быстрыми атомами. Данные масс-спектрометрии следующие: Триол (2): масс-спектр (ионизация электронным распылением): м/e=488,4(M+H)+ Соединение 1: масс-спектр (ионизация электронным распылением): м/е=502,3 (М+Н)+ Соединение 3: масс-спектр (ионизация электронным распылением): м/е=568,3(M+H)+ масс-спектр высокого разрешения (бомбардировка быстрыми атомами): м/е= 568,2827(М+H)+ Соединение 4: масс-спектр (ионизация электронным распылением): м/е=552,3(М+Н)+ Данные 1Н-ЯМР представлены в Таблице 2: 1H- Химические сдвиги в диметилсульфоксиде при 27oC. Пример 9 Действие на ширину бронхов наркотизированной морской свинки Исследования проводят по методу (Arch. exp. Path. U. Pharmak. , 195. 71 – 74(1940)) на самцах морских свинок-альбиносов с массой тела 312-415 г. Испытуемые препараты вводят в дозе 10 мг/кг в виде суспензии с вводимым объемом 2 мл/кг массы тела. После двух предварительных значений, полученных с помощью гистамина в количестве 20 мкг/кг внутривенно, вводят однократно вещество с помощью зонда для двенадцатиперстной кишки и тестирование астмы повторяют спустя 15, 30, 60, 90, 120, 150, 180, 210 и 240 минут после введения препарата. Изменения ширины бронхов по сравнению с контрольным измерением указывают в процентах. На одну дозу используют 6 животных. Статистику осуществляют путем t-теста. Результаты представлены в табл.3.0
Формула изобретения
![]() где R1 означает -СН2ОР(О)(ОН)2 и R2 означает ОН; R1 означает -СН3 и R2 означает -ОР(О)(ОН)2. 2. Соединение формулы (II) по п.1 для получения лекарственных средств для лечения аллергических заболеваний, аллергического ринита или астмы. 3. Лекарственное средство для лечения аллергических заболеваний, отличающееся тем, что оно содержит эффективное количество соединения формулы (II) по п.1, вместе с фармацевтически пригодным и физиологически приемлемым носителем. Приоритет по пунктам: 11.03.1997 по п.1; 21.11.1997 по пп.2 и 3. РИСУНКИ
|
||||||||||||||||||||||||||

,
или додецилсульфат натрия.
Соединение 1 выделяют непосредственно из питательного раствора или после отделения клеток, например, путем центрифугирования или фильтрации. Соединение 1 можно выделять путем экстракции с помощью растворителей или путем адсорбции на гидрофобных смолах, таких как XAD 16, HP 20, или при использовании ионообменников.
Изобретение, далее, относится к способу получения соединения формулы (II)
-гидроксиэтансульфокислота. Также в рамки изобретения входят нетоксичные соли соединений вышеуказанных формул с неорганическими или органическими основаниями. К ним относятся, например, соли щелочных металлов, таких как натрий, калий и литий; соли щелочноземельных металлов, таких как кальций и магний; соли легких металлов группы IIIA, как алюминий; соли органических аминов, как первичные, вторичные или третичные амины, например, как циклогексиламин, этиламин, пиридин, метиламиноэтанол и пиперазин. Соли получают обычным образом, например, тем, что соединение формулы (II) вводят во взаимодействие с соответствующей кислотой или основанием.
Благодаря фармакологическим свойствам предлагаемые согласно изобретению соединения формулы (II) пригодны в качестве противогистаминных средств, противоаллергических средств и бронхолитических средств.
Предлагаемые согласно изобретению соединения формулы (II) пригодны для лечения аллергического ринита, астмы или других аллергических заболеваний.
Предлагаемые согласно изобретению соединения формулы (II) можно вводить перорально, парентерально, например, подкожно, внутривенно, внутримышечно, интраперитонеально, путем введения через нос или путем нанесения на слизистые оболочки, например, носа, глотки или дыхательного тракта, например, в форме аэрозоля-спрея, который содержит маленькие частицы предлагаемого согласно изобретению соединения в виде порошка или тумана.
Количества вводимых соединений зависят от пациента и способа введения. Вводимое количество может колебаться в широких пределах, так что для достижения желательного эффекта вводят разовые дозы с эффективным количеством примерно от 0,01 до 20 мг/кг массы тела/день. Например, желательного противогистаминного, противоаллергического или бронхолитического действия достигают путем приема разовой дозы, например, таблетки, с содержанием от 5 до 300 мг предлагаемого согласно изобретению соединения, предпочтительно от 10 до 200 мг, от одного до четырех раз в день.
Изобретение относится также к способу получения лекарственного средства, отличающемуся тем, что, по крайней мере, одно соединение формулы (II) с помощью фармацевтически пригодного и физиологически приемлемого носителя и, при необходимости, других пригодных биологически активных веществ, добавок или вспомогательных веществ переводят в пригодную лекарственную форму.
Пригодными твердыми или галеновыми лекарственными формами являются, например, грануляты, порошки, драже, таблетки, (микро)капсулы, суппозитории, сиропы, соки, суспензии, эмульсии, капли или растворы для инъекции, а также препараты с замедленным высвобождением биологически активного вещества, при получении которых находят применение обычные вспомогательные средства, такие как носители, наполнители, связующие, средства для покрытия, способствующие набуханию средства, придающие скользкость (таблеткам) или смазочные средства, корригирующие непрятный вкус лекарства средства, подслащивающие средства и агенты растворения. В качестве часто используемых вспомогательных веществ следует назвать карбонат магния, диоксид титана, лактозу, маннит и другие сахара, тальк, молочный белок, желатин, крахмал, целлюлозу и ее производные; растительные и животные масла, как рыбий жир, подсолнечное масло, арахисовое масло или кунжутное масло; полиэтиленгликоль и растворители, такие как, например, стерильная вода и одно- или многоатомные спирты, такие как глицерин.
Предлагаемые согласно изобретению соединения формулы (II) можно также вводить в виде растворов или суспензий для инъекций в физиологически приемлемом разбавителе с фармацевтическим носителем, который представляет собой стерильную жидкость, как вода или масло, причем можно добавлять поверхностно-активные и другие фармацевтически допустимые вспомогательные средства. Примерами пригодных масел являются таковые из нефти, животного, растительного или синтетического происхождения, как, например, арахисовое масло, соевое масло или минеральное масло. В общем, в качестве жидких носителей предпочтительны вода, раствор хлорида натрия, водный раствор декстрозы или подобные растворы сахаров или гликоли, как пропиленгликоль или полиэтиленгликоль, в особенности растворы для инъекций.
Для применения в качестве аэрозолей предлагаемые согласно изобретению соединения используют в виде раствора или суспензии в резервуаре для аэрозоля вместе с пригодными пропеллентами, как, например, углеводородные пропелленты, как пропан, бутан или изобутан, или диоксид углерода, или азот, или другие экологически допустимые пропелленты, и обычными вспомогательными средствами под давлением. Соединения можно также вводить без использования давления, например, с помощью ингаляторов. Лекарственные средства используют для введения теплокровным животным, птицам, млекопитающим, как, например, люди, кошки, собаки, лошади, овцы, крупный рогатый скот, коровы, свиньи, ягнята, крысы, мыши и морские свинки.
Пример 1
(Arch. exp. Path. U. Pharmak. , 195. 71 – 74(1940)) на самцах морских свинок-альбиносов с массой тела 312-415 г. Испытуемые препараты вводят в дозе 10 мг/кг в виде суспензии с вводимым объемом 2 мл/кг массы тела. После двух предварительных значений, полученных с помощью гистамина в количестве 20 мкг/кг внутривенно, вводят однократно вещество с помощью зонда для двенадцатиперстной кишки и тестирование астмы повторяют спустя 15, 30, 60, 90, 120, 150, 180, 210 и 240 минут после введения препарата. Изменения ширины бронхов по сравнению с контрольным измерением указывают в процентах. На одну дозу используют 6 животных. Статистику осуществляют путем t-теста. Результаты представлены в табл.3.0
