Патент на изобретение №2202540
|
||||||||||||||||||||||||||
(54) ТИОЛСУЛЬФОНАМИДНЫЕ ИНГИБИТОРЫ МЕТАЛЛОПРОТЕАЗЫ
(57) Реферат: Изобретение относится к тиолсульфонамидам формул ![]() ![]() или ![]() ![]() ![]() где R1 представляет собой радикал, имеющий длину больше, чем насыщенная цепь из четырех атомов углерода, и короче, чем насыщенная цепь из восемнадцати атомов углерода, и при вращении вокруг оси, проходящей через положение 1, связанное с SO2, и положение 4 6-членного кольца или через положение 1, связанное с SO2-группой и связанное с заместителем положения 3 или 5 5-членного кольца, определяет трехмерный объем, самый большой размер которого в ширину составляет примерно от одного фенильного кольца до примерно трех фенильных колец в направлении, поперечном оси вращения; R2 означает гидридо, С1-С6 алкил, фенил-С1-С4 алкил, гетероарил-С1-С4 алкил, С2-С4 алкил, замещенный амино; С2-С4 алкил, замещенный монозамещенным амино или дизамещенным амино, где заместители у азота монозамещенной или дизамещенной аминогруппы выбраны из С1-С6 алкила, ар (С1-С6) алкила, С5-С8 циклоалкила и С1-С6 алкилкарбонила, или где два заместителя и азот, к которому они присоединены, вместе образуют пирролидинил, пиперидинил, пиперазинил, морфолинил, тиоморфолинил, пирролил, имидазолил, пиразолил, пиридил, пиразинил, пиримидинил и другие. R2 может быть гидридо только тогда, когда R1 представляет 4-(фенилазо)фенил, R4 означает гидроксикарбонил, аминокарбонил, С1-С6 алкил, R9 означает С1-С6 алкил, фенил и другие. Предлагаемые соединения являются ингибиторами металлопротеаз, что позволяет использовать их при лечении состояний, связанных патологической активностью матриксной металлопротеазы. 6 с. и 24 з.п. ф-лы, 99 табл. Текст описания в факсимильном виде (см. чертежи) Т Т Т То Формула изобретения
![]() ![]() ![]() ![]() ![]() где R1 представляет собой замещенный 5- или 6-членный арил или гетероарил, имеющий длину больше, чем насыщенная цепь из четырех атомов углерода, и короче, чем насыщенная цепь из восемнадцати атомов углерода, и при вращении вокруг оси, проходящей через положение 1, связанное с SО2-группой, и положение 4 6-членного кольца, или через положение 1, связанное с SО2-группой, и связанное с заместителем положение 3 или 5 5-членного кольца, определяет трехмерный объем, самый большой размер которого в ширину составляет примерно от одного фенильного кольца до примерно трех фенильных колец в направлении поперечном к оси вращения; R2 выбран из группы, состоящей из гидридо, C1-С6-алкила, фенил-C1-С4-алкила, гетероарил-C1-С4-алкила, С2-С4-алкила, замещенного амино; С2-С4-алкила, замещенного монозамещенным амино; и С2-С4-алкила, замещенного дизамещенным амино, где заместитель(и) на азоте монозамещенной или дизамещенной аминогруппы независимо выбран(ы) из группы, состоящей из C1-С6-алкила, ap-C1-С6-алкила, C5-С8-циклоалкила и C1-С6-алкилкарбонила, или азот дизамещенной аминогруппы и два его заместителя вместе образуют пирролидинил, пиперидинил, пиперазинил, морфолинил, тиаморфолинил, пирролил, имидазолил, пиразолил, пиридил, пиразинил, пиримидинил, оксазолил или тиазолил; R2 может быть гидридо только тогда, когда R1 представляет собой 4 -(фенилазо)фенил; R4 выбран из группы, состоящей из гидроксикарбонила, аминокарбонила и C1-С6-алкила; W выбран из группы, состоящей из кислорода и серы; R9 выбран из группы, состоящей из C1-С6-алкила, C1-С6-алкокси, фенила и гетероарила; если не указано иное, каждый названный арил независимо выбирают из группы, состоящей из фенила, инденила и нафтила; и если не указано иное, каждый названный гетероарил независимо выбирают из группы, состоящей из пирролила, имидазолила, пиразолила, пиридила, пиразинила, пиримидинила, фурила, тиенила, триазолила, оксазолила, оксадиазолила, тиазолила и тиадиазолила. 2. Соединение или соль по п.1, где R1 имеет длину более чем длина пентильной группы и менее чем длина лаурильной группы. 3. Соединение или соль по п.1, где R1 выбран из группы, состоящей из фенила, пирролила, имидазолила, пиразолила, пиридила, пиразинила, пиримидинила, фурила, тиенила, триазолила, оксазолила, оксадиазолила, тиазолила и тиадиазолила, где названный фенил, пирролил, имидазолил, пиразолил, пиридил, пиразинил, пиримидинил, фурил, тиенил, триазолил, оксазолил, оксадиазолил, тиазолил или тиадиазолил сами являются замещенными в их 4 положении, если кольцо 6-членное, или в их 3 положении, если кольцо 5-членное, заместителем, выбранным из группы, состоящей из фенила, пирролила, имидазолила, пиразолила, пиридила, пиразинила, пиримидинила, фурила, тиенила, триазолила, оксазолила, оксадиазолила, тиазолила, тиадиазолила, алкила, содержащего неразветвленную цепь из 3 до примерно 7 атомов углерода, алкокси, содержащего неразветвленную цепь из 3 до примерно 7 атомов углерода, фенокси, тиофенокси, фенилазо и бензамидо. 4. Соединение или его соль, причем соединение соответствует нижеприведенной формуле ![]() ![]() или ![]() где PhR11 представляет собой фенил, замещенный группой R11 в положении 4; R11 выбран из группы, состоящей из C3-С8-алкокси, C3-С8-алкила, фенокси, тиофенокси, бензамидо, фенилазо и фенила, где фенокси, тиофенокси, бензамидо, фенилазо или фенил являются необязательно замещенными в положении 3 или 4 или в обоих положениях одним атомом или заместителем, у которого наиболее длинная цепь состоит из 5 атомов, за исключением водорода; R2 выбран из группы, состоящей из гидридо, C1-С6-алкила, 5-6 членного гетероцикло-C2-С3-алкила, где одним кольцевым атомом гетероцикла является азот, один кольцевой атом гетероцикла выбран из группы, состоящей из азота, углерода и кислорода, и остальные кольцевые атомы гетероцикла представляют собой углерод, и моноциклического гетероарил-C1-С4-алкила, где один кольцевой атом гетероарила является азотом, один кольцевой атом гетероарила выбран из группы, состоящей из азота и углерода, и остальные кольцевые атомы гетероарила представляют собой углерод; R2 может быть гидридо, только когда R11 является фенилазо; R4 выбран из группы, состоящей из C1-С6-алкила и аминокарбонила; R9 выбран из группы, состоящей из C1-С6-алкила, C1-С6-алкокси, фенила, пирролила, имидазолила, пиразолила, пиридила, пиразинила, пиримидинила, фурила, тиенила, триазолила, оксазолила, оксадиазолила, тиазолила и тиадиазолила. 5. Соединение или соль по п.4, где R9 выбран из группы, состоящей из фенила, 2-пиридила, 3-пиридила, 4-пиридила, тиофен-2-ила, 3-тиофен-3-ила, метила, этила, метокси и этокси. 6. Соединение или соль по п.4, где R11 выбран из группы, состоящей из фенокси, тиофенокси, бензамидо, фенилазо и фенила, где фенокси, тиофенокси, бензамидо, фенилазо или фенил являются замещенными в положении 3 или 4 или в обоих положениях одним атомом или заместителем, у которого наиболее длинная цепь состоит из 5 атомов, за исключением водорода. 7. Соединение или соль по п.6, где R11 выбран из группы, состоящей из фенокси, тиофенокси, бензамидо, фенилазо или фенила, где фенокси, тиофенокси, бензамидо, фенилазо или фенил являются замещенными в положении 4 заместителем, выбранным из группы, состоящей из галогена, C1-С4-алкокси, C1-С4-алкила, диметиламино и карбокси-С1-С2-алкила; или 3,4-метилендиоксигруппой. 8. Соединение или его соль по п.1, причем соединение соответствует нижеприведенной формуле ![]() или ![]() 9. Соединение или соль по п.8, где R1 выбран из групп, состоящей из фенила, пирролила, имидазолила, пиразолила, пиридила, пиразинила, пиримидинила, фурила, тиенила, триазолила, оксазолила, оксадиазолила, тиазолила и тиадиазолила, где названные фенил, пирролил, имидазолил, пиразолил, пиридил, пиразинил, пиримидинил, фурил, тиенил, триазолил, оксазолил, оксадиазолил, тиазолил и тиадиазолил сами являются замещенными в их 4 положении, если кольцо 6-членное, или в их 3 лоложении, если кольцо 5-членное, заместителем, выбранным из группы, состоящей из фенила, пирролила, имидазолила, пиразолила, пиридила, пиразинила, пиримидинила, фурила, тиенила, триазолила, оксазолила, оксадиазолила, тиазолила и тиадиазолила, алкила, имеющего неразветвленную цепь из 3 до примерно 7 атомов углерода, алкокси, имеющего неразветвленную цепь из 3 до примерно 7 атомов углерода, фенокси, тиофенокси, фенилазо и бензамидо. 10. Соединение или его соль, причем соединение соответствует нижеприведенной формуле ![]() или ![]() где PhR11 представляет собой фенил, замещенный группой R11 в положении 4; R11 выбран из группы, состоящей из С3-С8-алкокси, С3-С8-алкила, фенокси, тиофенокси, бензамидо, фенилазо и фенила, где фенокси, тиофенокси, бензамидо, фенилазо или фенил являются необязательно замещенными в положении 3 или 4 или в обоих положениях одним атомом или заместителем, у которого наиболее длинная цепь состоит из 5 атомов, за исключением водорода; R2 выбран из группы, состоящей из гидридо, C1-С6-алкила, 5-6 членного гетероцикло-С2-С3-алкила, где одним кольцевым атомом гетероцикла является азот, один кольцевой атом гетероцикла выбран из группы, состоящей из азота, углерода и кислорода, и остальные кольцевые атомы гетероцикла представляют собой углерод, и моноциклического гетероарил-С1-С4-алкила, где один кольцевой атом гетероарила является азотом, один кольцевой атом гетероарила выбран из группы, состоящей из азота и углерода, и остальные кольцевые атомы гетероарила представляют собой углерод; R9 выбран из группы, состоящей из C1-С6-алкила, C1-С6-алкокси, фенила, пирролила, имидазолила, пиразолила, пиридила, пиразинила, пиримидинила, фурила, тиенила, триазолила, оксазолила, оксадиазолила, тиазолила и тиадиазолила. 11. Соединение или соль по п.10, где R2 выбран из группы, состоящей из гидридо, C1-С6-алкила, 5-6-членного гетероцикло-С2-С3-алкила, где одним кольцевым атомом гетероцикла является азот, один кольцевой атом гетероцикла выбран из группы, состоящей из азота, углерода и кислорода, и остальные кольцевые атомы гетероцикла представляют собой углерод, и моноциклического гетероарил-С1-С4-алкила, где: один кольцевой атом гетероарила является азотом, один кольцевой атом гетероарила выбран из группы, состоящей из азота и углерода, и остальные кольцевые атомы гетероарила представляют собой углерод. 12. Способ лечения млекопитающего, имеющего состояние, связанное с патологической активностью матриксной металлопротеазы, включающий введение млекопитающему, имеющему такое состояние, ингибирующего металлопротеазу соединения или его соли в терапевтически эффективном количестве, где указанное соединение соответствует по своей структуре нижеприведенным формулам I, II или III ![]() ![]() ![]() где x выбран из группы, состоящей из 0, 1 или 2; W выбран из группы, состоящей из кислорода и серы; помеченные звездочками R или х являются такими же или отличными от непомеченных звездочками R или х; R9 выбран из группы, состоящей из C1-С12-алкила, арила, С1-С12-алкокси, C3-С8-циклоалкила, арилокси, ар-C1-С12-алкокси, ар-С1-С12-алкила, амино-С1-С12-алкила, гетероарила, N-монозамещенного амино-С1-С12-алкила и N,N-дизамещенного амино-С1-С12-алкила, где заместитель(и) на азоте монозамещенного или дизамещенного амино-С1-С12-алкила независимо выбран(ы) из группы, состоящей из С1-С12-алкила, арила, ар-С1-С12-алкила, С3-С8-циклоалкила, ар-С1-С12-алкоксикарбонила, С1-С12-алкоксикарбонила и С1-С12-алкилкарбонила, или азот дизамещенного амино-С1-С12-алкила и два его заместителя образуют 5-8-членное гетероциклическое или гетероарильное кольцо; R1 выбран из группы, состоящей из С1-С12-алкила, С3-С8-циклоалкила, гетероцикла, ар-С1-С12-алкила, гeтepoap-С1-С12-алкила, ар-С1-С12-алкокси-С1-С12-алкила, арилокси-С1-С12-алкила, гидрокси-С1-С12-алкила, С1-С12-алкилкарбонил-С1-С12-алкила, ар-С1-С12-алкилкарбонил-С1-С12-алкила, арилкарбонил-С1-С12-алкила, галоген-С1-С12-алкила, ар-С1-С12-алкиларила, арилокси-С1-С12-алкиларила, ар-С1-С12-алкоксиарила, арилазоарила, арилгидразиноарила, С1-С12-алкилтио-С1-С12-алкила, С1-С12-алкилтиоарила, арилтио-С1-С12-алкила, С1-С12-алкилтиоар-С1-С12-алкила, ар-С1-С12-алкилтио-С1-С12-алкила и ap-С1-С12-алкилтиоарила, сульфоксида любого из названных тио-заместителей, сульфона любого из названных тио-заместителей, арила, гетероарила, и конденсированной циклической структуры, содержащей два или более 5- или 6-членных колец, выбранных из группы, состоящей из арила, гетероарила, карбоцикла или гетероцикла, где арильные и гетероарильные заместители, которые может включать R1, являются незамещенными или замещенными одним или более заместителями, независимо выбранными из группы, состоящей из галогена, С1-С10-алкила, С1-С10-алкокси, нитро, циано, перфтор-С1-С12-алкила, трифторметил-С1-С12-алкила, гидрокси, тиола, гидроксикарбонила, арилокси, арилтио, ариламино, ар-С1-С12-алкила, арила, гетероарилокси, гетероарилтио, гетероариламино, гетероар-С1-С12-алкила, С3-С8-циклоалкила, гетероциклоокси, гетероциклотио, гетероциклоамино, С3-С8-циклоалкилокси, С3-С8-циклоалкилтио, С3-С8-циклоалкиламино, гетероар-С1-С12-алкокси, гeтepoap-С1-С12-алкилтио, гетероар-С1-С12-алкиламино, ар-С1-С12-алкокси, ap-С1-С12-алкилтио, ар-С1-С12-алкиламино, гетероцикло, гетероарила, арилазо, гидроксикарбонил-С1-С12-алкокси, С1-С12-алкоксикарбонил-С1-С12-алкокси, С1-С12-алкилкарбонила, арилкарбонила, ар-С1-С12-алкилкарбонила, С1-С12-алкилкарбонилокси, ар-С1-С12-алкилкарбонилокси, гидрокси-С1-С12-алкила, гидрокси-С1-С12-алкокси, С1-С12-алкилтио, С1-С12-алкокси-С1-С12-алкилтио, С1-С12-алкоксикарбонила, арилокси-С1-С12-алкоксиарила, арилтио-С1-С12-алкилтиоарила, арилокси-С1-С12-алкилтиоарила, арилтио-С1-С12-алкоксиарила, гидроксикарбонил-С1-С12-алкокси, гидроксикарбонил-С1-С12-алкилтио, С1-С12-алкоксикарбонил-С1-С12-алкокси, С1-С12-алкоксикарбонил-С1-С12-алкилтио, амино, С1-С12-алкилкарбониламино, арилкарбониламино, ар-С1-С12-алкилкарбониламино, гетероарилкарбониламино, гетероар-С1-С12-алкилкарбониламино, N-монозамещенного амино-С1-С12-алкила и N, N-дизамещенного амино-С1-С12-алкила, где заместитель(и) на азоте монозамещенного и дизамещенного амино-С1-С12-алкила независимо выбран(ы) из группы, состоящей из С1-С12-алкила, арила, ap-С1-С12-алкила, С3-С8-циклоалкила, ар-С1-С12-алкоксикарбонила, С1-С12-алкоксикарбонила и С1-С12-алкилкарбонила, или азот дизамещенного амино-С1-С12-алкила и два его заместителя образуют 5-8-членное гетероциклическое или гетероарильное кольцо; R2 выбран из группы, состоящей из водорода, С1-С12-алкила, арила, ар-С1-С12-алкила, гетероарила, гетероар-С1-С12-алкила, С2-С12-алкинил-С1-С12-алкила, С2-С12-алкенил-С1-С12-алкила, тиол-С1-С12-алкила, С3-С8-циклоалкила, С3-С8-циклоалкил-С1-С12-алкила, гетероцикло-С1-С12-алкила, С1-С12-алкокси-С1-С12-алкила, ap-С1-С12-алкокси-С1-С12-алкила, амино-С1-С12-алкила, С1-С12-алкокси-С1-С12-алкокси-С1-С12-алкила, арилокси-С1-С12-алкила, гидрокси-С1-С12-алкила, гидроксикарбонила, гидроксикарбонил-С1-С12-алкила, гидроксикарбонилар-С1-С12-алкила, N-монозамещенного амино-С1-С12-алкила и N,N-дизамещенного амино-С1-С12-алкила, где заместитель(и) на азоте монозамещенного и дизамещенного амино-С1-С12-алкила независимо выбран(ы) из группы, состоящей из С1-С12-алкила, ар-С1-С12-алкила, С3-С8-циклоалкила и С1-С12-алкилкарбонила, или азот дизамещенного амино-С1-С12-алкила и два его заместителя образуют 5-8-членное гетероциклическое или гетероарильное кольцо; или R2 и R4, R2 и R5 или R2 и R7 вместе с атомами, к которым они присоединены, образуют 4-8-членное кольцо; R3 выбран из группы, состоящей из водорода, С1-С12-алкила, С3-С8-циклоалкила, С3-С8-циклоалкил-С1-С12-алкила, С1-С12-алкокси-С1-С12-алкила, гидрокси-С1-С12-алкила, арилокси-С1-С12-алкила, ар-С1-С12-алкокси-С1-С12-алкила, ар-С1-С12-алкила, арила, гетероарила, гетероар-С1-С12-алкила, гидроксикарбонил-С1-С12-алкила, С1-С12-алкоксикарбонил-С1-С12-алкила, ap-С1-С12-алкоксикарбонил-С1-С12-алкила, гидроксикарбонила, С1-С12-алкоксикарбонила, перфтор-С1-С12-алкила, трифторметил-С1-С12-алкила, тиол-С1-С12-алкила, С1-С12-алкилтио-С1-С12-алкила, арилтио-С1-С12-алкила, ар-С1-С12-алкилтио-С1-С12-алкила, гетероар-С1-С12-алкилтио-С1-С12-алкила, сульфоксида любого из названных тио-заместителей, сульфона любого из названых тио-заместителей, аминокарбонила, аминокарбонил-С1-С12-алкила, N-монозамещенного аминокарбонила, N,N-дизамещенного аминокарбонила, N-монозамещенного аминокарбонил-С1-С12-алкила и N, N-дизамещенного аминокарбонил-С1-С12-алкила, где заместитель(и) на азоте монозамещенного и дизамещенного аминокарбонила или аминокарбонил-С1-С12-алкила независимо выбран(ы) из группы, состоящей из С1-С12-алкила, ар-С1-С12-алкила, С3-С8-циклоалкила и С1-С12-алкилкарбонила, или азот дизамещенного аминокарбонила или аминокарбонил-С1-С12-алкила и два его заместителя образуют 5-8-членное гетероциклическое или гетероарильное кольцо; или R3 и R4, R3 и R5 или R3 и R7 вместе с атомами, к которым они присоединены, образуют 3-8-членное кольцо; R4 выбран из группы, состоящей из водорода, С1-С12-алкила, С3-С8-циклоалкила, С3-С8-циклоалкил-С1-С12-алкила, С1-С12-алкокси-С1-С12-алкила, гидрокси-С1-С12-алкила, арилокси-С1-С12-алкила, ар-С1-С12-алкокси-С1-С12-алкила, ар-С1-С12-алкила, арила, гетероарила, гетероар-С1-С12-алкила, гидроксикарбонил-С1-С12-алкила, С1-С12-алкоксикарбонил-С1-С12-алкила, ap-С1-С12-алкоксикарбонил-С1-С12-алкила, гидроксикарбонила, С1-С12-алкоксикарбонила, перфтор-С1-С12-алкила, трифторметил-С1-С12-алкила, тиол-С1-С12-алкила, С1-С12-алкилтио-С1-С12-алкила, арилтио-С1-С12-алкила, ар-С1-С12-алкилтио-С1-С12-алкила, гетероар-С1-С12-алкилтио-С1-С12-алкила, сульфоксида любого из названных тио-заместителей, сульфона любого из названых тио-заместителей, аминокарбонила, аминокарбонил-С1-С12-алкила, N-монозамещенного аминокарбонила, N,N-дизамещенного аминокарбонила, N-монозамещенного аминокарбонил-С1-С12-алкила и N, N-дизамещенного аминокарбонил-С1-С12-алкила, где заместитель(и) на азоте монозамещенного и дизамещенного аминокарбонила или аминокарбонил-С1-С12-алкила независимо выбран(ы) из группы, состоящей из С1-С12-алкила, ap-С1-С12-aлкила, С3-С8-циклоалкила и С1-С12-алкилкарбонила, или азот дизамещенного аминокарбонила или аминокарбонил-С1-С12-алкила и два его заместителя образуют 5-8-членное гетероциклическое или гетероарильное кольцо; или R2 и R4 вместе с атомами, к которым они присоединены, образуют 4-8-членное кольцо; или R3 и R4 вместе с атомами, к которым они присоединены, образуют 3-8-членное кольцо; R5 выбран из группы, состоящей из водорода, С1-С12-алкила, С3-С8-циклоалкила, С3-С8-циклоалкил-С1-С12-алкила, С1-С12-алкокси-С1-С12-алкила, гидрокси-С1-С12-алкила, арилокси-С1-С12-алкила, ар-С1-С12-алкокси-С1-С12-алкила, ар-С1-С12-алкила, арила, гетероарила, гетероар-С1-С12-алкила, гидроксикарбонил-С1-С12-алкила, С1-С12-алкоксикарбонил-С1-С12-алкила, ap-С1-С12-алкоксикарбонил-С1-С12-алкила, гидроксикарбонила, С1-С12-алкоксикарбонила, перфтор-С1-С12-алкила, трифторметил-С1-С12-алкила, тиол-С1-С12-алкила, С1-С12-алкилтио-С1-С12-алкила, арилтио-С1-С12-алкила, ар-С1-С12-алкилтио-С1-С12-алкила, гетероар-С1-С12-алкилтио-С1-С12-алкила, сульфоксида любого из названных тио-заместителей, сульфона любого из названных тио-заместителей, аминокарбонила, аминокарбонил-С1-С12-алкила, N-монозамещенного аминокарбонила, N,N-дизамещенного аминокарбонила, N-монозамещенного аминокарбонил-С1-С12-алкила и N, N-дизамещенного аминокарбонил-С1-С12-алкила, где заместитель(и) на азоте монозамещенного и дизамещенного аминокарбонила или аминокарбонил-С1-С12-алкила независимо выбран(ы) из группы, состоящей из С1-С12-алкила, ар-С1-С12-алкила, С3-С8-циклоалкила и С1-С12-алкилкарбонила, или азот дизамещенного аминокарбонила или аминокарбонил-С1-С12-алкила и два его заместителя образуют 5-8-членное гетероциклическое или гетероарильное кольцо; или R5 и R2 вместе с атомами, к которым они присоединены, образуют 4-8-членное кольцо; или R5 и R3, R5 и R6 или R5 и R7 вместе с атомами, к которым они присоединены, образуют 3-8-членное кольцо; R6 выбран из группы, состоящей из водорода, С1-С12-алкила, С3-С8-циклоалкила, С3-С8-циклоалкил-С1-С12-алкила, С1-С12-алкокси-С1-С12-алкила, гидрокси-С1-С12-алкила, арилокси-С1-С12-алкила, ар-С1-С12-алкокси-С1-С12-алкила, ар-С1-С12-алкила, арила, гетероарила, гетероар-С1-С12-алкила, гидроксикарбонил-С1-С12-алкила, С1-С12-алкоксикарбонил-С1-С12-алкила, ap-С1-С12-алкоксикарбонил-С1-С12-алкила, гидроксикарбонила, С1-С12-алкоксикарбонила, перфтор-С1-С12-алкила, трифторметил-С1-С12-алкила, тиол-С1-С12-алкила, С1-С12-алкилтио-С1-С12-алкила, арилтио-С1-С12-алкила, ар-С1-С12-алкилтио-С1-С12-алкила, гетероар-С1-С12-алкилтио-С1-С12-алкила, сульфоксида любого из названных тио-заместителей, сульфона любого из названных тио-заместителей, аминокарбонила, аминокарбонил-С1-С12-алкила, N-монозамещенного аминокарбонила, N, N-дизaмeщeннoгo аминокарбонила, N-монозамещенного аминокарбонил-С1-С12-алкила и N,N-дизaмeщeннoгo аминокарбонил-С1-С12-алкила, где заместитель(и) на азоте монозамещенного и дизамещенного аминокарбонила или аминокарбонил-С1-С12-алкила независимо выбран(ы) из группы, состоящей из С1-С12-алкила, ар-С1-С12-алкила, С3-С8-циклоалкила и С1-С12-алкилкарбонила, или азот дизамещенного аминокарбонила или аминокарбонил-С1-С12-алкила и два его заместителя образуют 5-8-членное гетероциклическое или гетероарильное кольцо; или R6 и R5 вместе с атомами, к которым они присоединены, образуют 3-8-членное кольцо; R7 выбран из группы, состоящей из водорода, С1-С12-алкила, С3-С8-циклоалкила, С3-С8-циклоалкил-С1-С12-алкила, С1-С12-алкокси-С1-С12-алкила, гидрокси-С1-С12-алкила, арилокси-С1-С12-алкила, ар-С1-С12-алкокси-С1-С12-алкила, ap-С1-С12-алкила, арила, гетероарила, гетероар-С1-С12-алкила, гидроксикарбонил-С1-С12-алкила, С1-С12-алкоксикарбонил-С1-С12-алкила, ap-С1-С12-алкоксикарбонил-С1-С12-алкила, гидроксикарбонила, С1-С12-алкоксикарбонила, перфтор-С1-С12-алкила, трифторметил-С1-С12-алкила, тиол-С1-С12-алкила, С1-С12-алкилтио-С1-С12-алкила, арилтио-С1-С12-алкила, ар-С1-С12-алкилтио-С1-С12-алкила, гетероар-С1-С12-алкилтио-С1-С12-алкила, сульфоксида любого из названных тио-заместителей, сульфона любого из названных тио-заместителей, аминокарбонила, аминокарбонил-С1-С12-алкила, N-монозамещенного аминокарбонила, N,N-дизамещенного аминокарбонила, N-монозамещенного аминокарбонил-С1-С12-алкила и N, N-дизамещенного аминокарбонил-С1-С12-алкила, где заместитель(и) на азоте монозамещенного и дизамещенного аминокарбонила или аминокарбонил-С1-С12-алкила независимо выбран(ы) из группы, состоящей из С1-С12-алкила, ap-С1-С12-алкила, С3-С8-циклоалкила и С1-С12-алкилкарбонила, или азот дизамещенного аминокарбонила или аминокарбонил-С1-С12-алкила и два его заместителя образуют 5-8-членное гетероциклическое или гетероарильное кольцо; или R7 и R2 вместе с атомами, к которым они присоединены, образуют 4-8-членное кольцо; или R7 и R3, R7 и R5 или R7 и R8 вместе с атомами, к которым они присоединены, образуют 3-8-членное кольцо; R8 выбран из группы, состоящей из водорода, С1-С12-алкила, С3-С8-циклоалкила, С3-С8-циклоалкил-С1-С12-алкила, С1-С12-алкокси-С1-С12-алкила, гидрокси-С1-С12-алкила, арилокси-С1-С12-алкила, ар-С1-С12-алкокси-С1-С12-алкила, ар-С1-С12-алкила, арила, гетероарила, гeтepoap-С1-С12-алкила, гидроксикарбонил-С1-С12-алкила, С1-С12-алкоксикарбонил-С1-С12-алкила, ap-С1-С12-алкоксикарбонил-С1-С12-алкила, гидроксикарбонила, С1-С12-алкоксикарбонила, перфтор-С1-С12-алкила, трифторметил-С1-С12-алкила, тиол-С1-С12-алкила, С1-С12-алкилтио-С1-С12-алкила, арилтио-С1-С12-алкила, ар-С1-С12-алкилтио-С1-С12-алкила, гетероар-С1-С12-алкилтио-С1-С12-алкила, сульфоксида любого из названных тио-заместителей, сульфона любого из названных тио-заместителей, аминокарбонила, аминокарбонил-С1-С12-алкила, N-монозамещенного аминокарбонила, N,N-дизамещенного аминокарбонила, N-монозамещенного аминокарбонил-С1-С12-алкила и N, N-дизaмeщeннoгo аминокарбонил-С1-С12-алкила, где заместитель(и) на азоте монозамещенного и дизамещенного аминокарбонила или аминокарбонил-С1-С12-алкила независимо выбран(ы) из группы, состоящей из С1-С12-алкила, ар-С1-С12-алкила, С3-С8-циклоалкила и С1-С12-алкилкарбонила, или азот дизамещенного аминокарбонила или аминокарбонил-С1-С12-алкила и два его заместителя образуют 5-8-членное гетероциклическое или гетероарильное кольцо; или R8 и R7 вместе с атомами, к которым они присоединены, образуют 3-8-членное кольцо; если не указано иное, каждый названный арил независимо выбирают из группы, состоящей из фенила, инденила и нафтила; если не указано иное, каждый названный гетероарил независимо выбирают из группы, состоящей из пирролила, имидазолила, пиразолила, пиридила, пиразинила, пиримидинила, фурила, тиенила, триазолила, оксазолила, оксадиазолила, тиазолила, тиадиазолила, индолила, хинолинила, изохинолинила, хиноксалинила, бензотиофенила, -карболинила, 2-бензофуранкарбонила, 1-бензимидазолила, 2-бензимидазолила, 3-бензимидазолила, 4-бензимидазолила и 5-бензимидазолила; если не указано иное, каждый названный гетероцикл независимо выбирают из группы, состоящей из пирролидинила, пиперидинила, пиперазинила, морфолинила, тиаморфолинила, тетрагидрофурила, тетрагидрохинолинила и 1,2,3,4-тетрагидроизохинолинила; и ни один атом углерода не является геминально замещенным более чем одной сульфгидрильной группой.
13. Способ по п.12, где х=0.
14. Способ лечения млекопитающего, имеющего состояние, связанное с патологической активностью матриксной металлопротеазы, включающий введение млекопитающему, имеющему такое состояние, ингибирующего металлопротеазу соединения или его соли в терапевтически эффективном количестве, где указанное соединение по структуре соответствует нижеприведенной формуле![]() где х выбран из группы, состоящей из 0, 1 и 2; Y выбран из группы, состоящей из водорода, галогена, С1-С12-алкила, С1-С12-алкокси, нитро, циано, карбокси и амино; R10 выбран из группы, состоящей из водорода и -C(O)-R9; R9 выбран из группы, состоящей из С1-С12-алкила, арила, С1-С12-алкокси, С3-С8-циклоалкила, арилокси, ар-С1-С12-алкокси, ар-С1-С12-алкила, амино-С1-С12-алкила, гетероарила, N-монозамещенного амино-С1-С12-алкила и N,N-дизамещенного амино-С1-С12-алкила, где заместитель(и) на азоте монозамещенного или дизамещенного амино-С1-С12-алкила независимо выбран(ы) из группы, состоящей из С1-С12-алкила, арила, ар-С1-С12-алкила, С3-С8-циклоалкила, ар-С1-С12-алкоксикарбонила, С1-С12-алкоксикарбонила и С1-С12-алкилкарбонила, или азот дизамещенного амино-С1-С12-алкила и два его заместителя образуют 5-8-членное гетероциклическое или гетероарильное кольцо; R1 выбран из группы, состоящей из С1-С12-алкила, С3-C8-циклоалкила, гетероцикла, ар-С1-С12-алкила, гeтepoap-С1-С12-алкила, ар-С1-С12-алкокси-С1-С12-алкила, арилокси-С1-С12-алкила, гидрокси-С1-С12-алкила, С1-С12-алкилкарбонил-С1-С12-алкила, ар-С1-С12-алкилкарбонил-С1-С12-алкила, арилкарбонил-С1-С12-алкила, галоген-С1-С12-алкила, ар-С1-С12-алкиларила, арилокси-С1-С12-алкиларила, ар-С1-С12-алкоксиарила, арилазоарила, арилгидразиноарила, С1-С12-алкилтио-С1-С12-алкила, С1-С12-алкилтиоарила, арилтио-С1-С12-алкила, С1-С12-алкилтиоар-С1-С12-алкила, ар-С1-С12-алкилтио-С1-С12-алкила и ap-С1-С12-алкилтиоарила, сульфоксида любого из названных тио-заместителей, сульфона любого из названных тио-заместителей, арила, гетероарила, и конденсированной циклической структуры, содержащей два или более 5- или 6-членных колец, выбранных из группы, состоящей из арила, гетероарила, карбоцикла или гетероцикла, где арильные и гетероарильные заместители, которые может включать R1, являются незамещенными или замещенными одним или более заместителями независимо выбранными из группы, состоящей из галогена, С1-С10-алкила, С1-С10-алкокси, нитро, циано, перфтор-С1-С12-алкила, трифторметил-С1-С12-алкила, гидрокси, тиола, гидроксикарбонила, арилокси, арилтио, ариламино, ар-С1-С12-алкила, арила, гетероарилокси, гетероарилтио, гетероариламино, гeтepoap-С1-С12-алкила, С3-С8-циклоалкила, гетероциклоокси, гетероциклотио, гетероциклоамино, С3-С8-циклоалкилокси, С3-С8-циклоалкилтио, С3-С8-циклоалкиламино, гетероар-С1-С12-алкокси, гетероар-С1-С12-алкилтио, гетероар-С1-С12-алкиламино, ар-С1-С12-алкокси, ар-С1-С12-алкилтио, ар-С1-С12-алкиламино, гетероцикло, гетероарила, арилазо, гидроксикарбонил-С1-С12-алкокси, С1-С12-алкоксикарбонил-С1-С12-алкокси, С1-С12-алкилкарбонила, арилкарбонила, ар-С1-С12-алкилкарбонила, С1-С12-алкилкарбонилокси, ар-С1-С12-алкилкарбонилокси, гидрокси-С1-С12-алкила, гидрокси-С1-С12-алкокси, С1-С12-алкилтио, С1-С12-алкокси-С1-С12-алкилтио, С1-С12-алкоксикарбонила, арилокси-С1-С12-алкоксиарила, арилтио-С1-С12-алкилтиоарила, арилокси-С1-С12-алкилтиоарила, арилтио-С1-С12-алкоксиарила, гидроксикарбонил-С1-С12-алкокси, гидроксикарбонил-С1-С12-алкилтио, С1-С12-алкоксикарбонил-С1-С12-алкокси, С1-С12-алкоксикарбонил-С1-С12-алкилтио, амино, С1-С12-алкилкарбониламино, арилкарбониламино, ap-С1-С12-алкилкарбониламино, гетероарилкарбониламино, гетероар-С1-С12-алкилкарбониламино, N-монозамещенного aмино-С1-С12-алкила и N, N-дизамещенного амино-С1-С12-алкила, где заместитель(и) на азоте монозамещенного или дизамещенного амино-С1-С12-алкила независимо выбран(ы) из группы, состоящей из С1-С12-алкила, арила, ар-С1-С12-алкила, С3-С8-циклоалкила, ар-С1-С12-алкоксикарбонила, С1-С12-алкоксикарбонила и С1-С12-алкилкарбонила, или азот дизамещенного амино-С1-С12-алкила и два его заместителя образуют 5-8-членное гетероциклическое или гетероарильное кольцо; R2 выбран из группы, состоящей из водорода, С1-С12-алкила, арила, ар-С1-С12-алкила, гетероарила, гетероар-С1-С12-алкила, С2-С12-алкинил-С1-С12-алкила, С2-С12-алкенил-С1-С12-алкила, тиол-С1-С12-алкила, С3-С8-циклоалкила, С3-С8-циклоалкил-С1-С12-алкила, гетероцикло-С1-С12-алкила, С1-С12-алкокси-С1-С12-алкила, ap-С1-С12-алкокси-С1-С12-алкила, амино-С1-С12-алкила, С1-С12-aлкокси-С1-С12-алкокси-С1-С12-алкила, арилокси-С1-С12-алкила, гидрокси-C1-С12-алкила, гидроксикарбонил-С1-С12-алкила, гидроксикарбонилар-С1-С12-алкила, N-монозамещенного амино-С1-С12-алкила и N,N-дизамещенного амино-С1-С12-алкила, где заместитель(и) на азоте монозамещенного и дизамещенного амино-С1-С12-алкила независимо выбран(ы) из группы, состоящей из С1-С12-алкила, ар-С1-С12-алкила, С3-С8-циклоалкила и С1-С12-алкилкарбонила, или азот дизамещенного амино-С1-С12-алкила и два его заместителя образуют 5-8-членное гетероциклическое или гетероарильное кольцо; или R2 и R4, R2 и R5 или R2 и R7 вместе с атомами, к которым они присоединены, образуют 4-8-членное кольцо; R3 выбран из группы, состоящей из водорода, С1-С12-алкила, С3-С8-циклоалкила, С3-С8-циклоалкил-С1-С12-алкила, С1-С12-алкокси-С1-С12-алкила, гидрокси-С1-С12-алкила, арилокси-С1-С12-алкила, ар-С1-С12-алкокси-С1-С12-алкила, ар-С1-С12-алкила, арила, гетероарила, гетероар-С1-С12-алкила, гидроксикарбонил-С1-С12-алкила, С1-С12-алкоксикарбонил-С1-С12-алкила, ap-С1-С12-алкоксикарбонил-С1-С12-алкила, гидроксикарбонила, С1-С12-алкоксикарбонила, перфтор-С1-С12-алкила, трифторметил-С1-С12-алкила, тиол-С1-С12-алкила, С1-С12-алкилтио-С1-С12-алкила, арилтио-С1-С12-алкила, ар-С1-С12-алкилтио-С1-С12-алкила, гетероар-С1-С12-алкилтио-С1-С12-алкила, сульфоксида любого из названных тио-заместителей, сульфона любого из названых тио-заместителей, аминокарбонила, аминокарбонил-С1-С12-алкила, N-монозамещенного аминокарбонила, N, N-дизамещенного аминокарбонила, N-монозамещенного аминокарбонил-С1-С12-алкила и N,N-дизамещенного аминокарбонил-С1-С12-алкила, где заместитель(и) на азоте монозамещенного и дизамещенного аминокарбонила или аминокарбонил-С1-С12-алкила независимо выбран(ы) из группы, состоящей из С1-С12-алкила, ap-С1-С12-алкила, С3-С8-циклоалкила и С1-С12-алкилкарбонила, или азот дизамещенного аминокарбонила или аминокарбонил-С1-С12-алкила и два его заместителя образуют 5-8-членное гетероциклическое или гетероарильное кольцо; или R3 и R4, R3 и R5 или R3 и R7 вместе с атомами, к которым они присоединены, образуют 3-8-членное кольцо; R4 выбран из группы, состоящей из водорода, С1-С12-алкила, С3-С8-циклоалкила, С3-С8-циклоалкил-С1-С12-алкила, С1-С12-алкокси-С1-С12-алкила, гидрокси-С1-С12-алкила, арилокси-С1-С12-алкила, ар-С1-С12-алкокси-С1-С12-алкила, ар-С1-С12-алкила, арила, гетероарила, гетероар-С1-С12-алкила, гидроксикарбонил-С1-С12-алкила, С1-С12-алкоксикарбонил-С1-С12-алкила, ap-С1-С12-алкоксикарбонил-С1-С12-алкила, гидроксикарбонила, С1-С12-алкоксикарбонила, перфтор-С1-С12-алкила, трифторметил-С1-С12-алкила, тиол-С1-С12-алкила, С1-С12-алкилтио-С1-С12-алкила, арилтио-С1-С12-алкила, ар-С1-С12-алкилтио-С1-С12-алкила, гетероар-С1-С12-алкилтио-С1-С12-алкила, сульфоксида любого из названных тио-заместителей, сульфона любого из названых тио-заместителей, аминокарбонила, аминокарбонил-С1-С12-алкила, N-монозамещенного аминокарбонила, N,N-дизамещенного аминокарбонила, N-монозамещенного аминокарбонил-С1-С12-алкила и N, N-дизaмeщeннoгo аминокарбонил-С1-С12-алкила, где заместитель(и) на азоте монозамещенного и дизамещенного аминокарбонила или аминокарбонил-С1-С12-алкила независимо выбран(ы) из группы, состоящей из С1-С12-алкила, ар-С1-С12-алкила, С3-С8-циклоалкила и С1-С12-алкилкарбонила, или азот дизамещенного аминокарбонила или минокарбонил-С1-С12-алкила и два его заместителя образуют 5-8-членное гетероциклическое или гетероарильное кольцо; или R2 и R4 вместе с атомами, к которым они присоединены, образуют 4-8-членное кольцо; R3 и R4 вместе с атомами, к которым они присоединены, образуют 3-8-членное кольцо; R5 выбран из группы, состоящей из водорода, С1-С12-алкила, С3-С8-циклоалкила, С3-С8-циклоалкил-С1-С12-алкила, С1-С12-алкокси-С1-С12-алкила, гидрокси-С1-С12-алкила, арилокси-С1-С12-алкила, ар-С1-С12-алкокси-С1-С12-алкила, ар-С1-С12-алкила, арила, гетероарила, гетероар-С1-С12-алкила, гидроксикарбонил-С1-С12-алкила, С1-С12-алкоксикарбонил-С1-С12-алкила, ap-С1-С12-алкоксикарбонил-С1-С12-алкила, гидроксикарбонила, С1-С12-алкоксикарбонила, перфтор-С1-С12-алкила, трифторметил-С1-С12-алкила, тиол-С1-С12-алкила, С1-С12-алкилтио-С1-С12-алкила, арилтио-С1-С12-алкила, ар-С1-С12-алкилтио-С1-С12-алкила, гетероар-С1-С12-алкилтио-С1-С12-алкила, сульфоксида любого из названных тио-заместителей, сульфона любого из названых тио-заместителей, аминокарбонила, аминокарбонил-С1-С12-алкила, N-монозамещенного аминокарбонила, N,N-дизамещенного аминокарбонила, N-монозамещенного аминокарбонил-С1-С12-алкила и N, N-дизамещенного аминокарбонил-С1-С12-алкила, где заместитель(и) на азоте монозамещенного и дизамещенного аминокарбонила или аминокарбонил-С1-С12-алкила независимо выбран(ы) из группы, состоящей из С1-С12-алкила, ap-С1-С12-алкила, С3-С8-циклоалкила и С1-С12-алкилкарбонила, или азот дизамещенного аминокарбонила или аминокарбонил-С1-С12-алкила и два его заместителя образуют 5-8-членное гетероциклическое или гетероарильное кольцо; или R5 и R2 вместе с атомами, к которым они присоединены, образуют 4-8-членное кольцо; или R5 и R3, R5 и R6 или R5 и R7 вместе с атомами, к которым они присоединены, образуют 3-8-членное кольцо; R6 выбран из группы, состоящей из водорода, С1-С12-алкила, С3-С8-циклоалкила, С3-С8-циклоалкил-С1-С12-алкила, С1-С12-алкокси-С1-С12-алкила, гидрокси-С1-С12-алкила, арилокси-С1-С12-алкила, ар-С1-С12-алкокси-С1-С12-алкила, ар-С1-С12-алкила, арила, гетероарила, гетероар-С1-С12-алкила, гидроксикарбонил-С1-С12-алкила, С1-С12-алкоксикарбонил-С1-С12-алкила, ap-С1-С12-алкоксикарбонил-С1-С12-алкила, гидроксикарбонила, С1-С12-алкоксикарбонила, перфтор-С1-С12-алкила, трифторметил-С1-С12-алкила, тиол-С1-С12-алкила, С1-С12-алкилтио-С1-С12-алкила, арилтио-С1-С12-алкила, ар-С1-С12-алкилтио-С1-С12-алкила, гетероар-С1-С12-алкилтио-С1-С12-алкила, сульфоксида любого из названных тио-заместителей, сульфона любого из названых тио-заместителей, аминокарбонила, аминокарбонил-С1-С12-алкила, N-монозамещенного аминокарбонила, N,N-дизамещенного аминокарбонила, N-монозамещенного аминокарбонил-С1-С12-алкила и N, N-дизамещенного аминокарбонил-С1-С12-алкила, где заместитель(и) на азоте монозамещенного и дизамещенного аминокарбонила или аминокарбонил-С1-С12-алкила независимо выбран(ы) из группы, состоящей из С1-С12-алкила, ар-С1-С12-алкила, С3-С8-циклоалкила и С1-С12-алкилкарбонила, или азот дизамещенного аминокарбонила или аминокарбонил-С1-С12-алкила и два его заместителя образуют 5-8-членное гетероциклическое или гетероарильное кольцо; или R6 и R5 вместе с атомами, к которым они присоединены, образуют 3-8-членное кольцо; R7 выбран из группы, состоящей из водорода, С1-С12-алкила, С3-С8-циклоалкила, С3-С8-циклоалкил-С1-С12-алкила, С1-С12-алкокси-С1-С12-алкила, гидрокси-С1-С12-алкила, арилокси-С1-С12-алкила, ар-С1-С12-алкокси-С1-С12-алкила, ар-С1-С12-алкила, арила, гетероарила, гетероар-С1-С12-алкила, гидолксикарбонил-С1-С12-алкила, С1-С12-алкоксикарбонил-С1-С12-алкила, ap-С1-С12-алкоксикарбонил-С1-С12-алкила, гидроксикарбонила, С1-С12-алкоксикарбонила, перфтор-С1-С12-алкила, трифторметил-С1-С12-алкила, тиол-С1-С12-алкила, С1-С12-алкилтио-С1-С12-алкила, арилтио-С1-С12-алкила, ар-С1-С12-алкилтио-С1-С12-алкила, гетероар-С1-С12-алкилтио-С1-С12-алкила, сульфоксида любого из названных тио-заместителей, сульфона любого из названых тио-заместителей, аминокарбонила, аминокарбонил-С1-С12-алкила, N-монозамещенного аминокарбонила, N, N-дизaмeщeннoгo аминокарбонила, N-монозамещенного аминокарбонил-С1-С12-алкила и N,N-дизамещенного аминокарбонил-С1-С12-алкила, где заместитель(и) на азоте монозамещенного и дизамещенного аминокарбонила или аминокарбонил-С1-С12-алкила независимо выбран(ы) из группы, состоящей из С1-С12-алкила, ар-С1-С12-алкила, С3-С8-циклоалкила и С1-С12-алкилкарбонила, или азот дизамещенного аминокарбонила или аминокарбонил-С1-С12-алкила и два его заместителя образуют 5-8-членное гетероциклическое или гетероарильное кольцо; или R7 и R2 вместе с атомами, к которым они присоединены, образуют 4-8-членное кольцо; или R7 и R3, R7 и R5 или R7 и R8 вместе с атомами, к которым они присоединены, образуют 3-8-членное кольцо, R8 выбран из группы, состоящей из водорода, С1-С12-алкила, С3-С8-циклоалкила, С3-С8-циклоалкил-С1-С12-алкила, С1-С12-алкокси-С1-С12-алкила, гидрокси-С1-С12-алкила, арилокси-С1-С12-алкила, ар-С1-С12-алкокси-С1-С12-алкила, ар-С1-С12-алкила, арила, гетероарила, гетероар-С1-С12-алкила, гидроксикарбонил-С1-С12-алкила, С1-С12-алкоксикарбонил-С1-С12-алкила, ap-С1-С12-алкоксикарбонил-С1-С12-алкила, гидроксикарбонила, С1-С12-алкоксикарбонила, перфтор-С1-С12-алкила, трифторметил-С1-С12-алкила, тиол-С1-С12-алкила, С1-С12-алкилтио-С1-С12-алкила, арилтио-С1-С12-алкила, ар-С1-С12-алкилтио-С1-С12-алкила, гетероар-С1-С12-алкилтио-С1-С12-алкила, сульфоксида любого из названных тио-заместителей, сульфона любого из названых тио-заместителей, аминокарбонила, аминокарбонил-С1-С12-алкила, N-монозамещенного аминокарбонила, N,N-дизамещенного аминокарбонила, N-монозамещенного аминокарбонил-С1-С12-алкила и N, N-дизамещенного аминокарбонил-С1-С12-алкила, где заместитель(и) на азоте монозамещенного и дизамещенного аминокарбонила или аминокарбонил-С1-С12-алкила независимо выбран(ы) из группы, состоящей из С1-С12-алкила, ap-С1-С12-алкила, С3-С8-циклоалкила и С1-С12-алкилкарбонила, или азот дизамещенного аминокарбонила или аминокарбонил-С1-С12-алкила и два его заместителя образуют 5-8-членное гетероциклическое или гетероарильное кольцо; или R8 и R7 вместе с атомами, к которым они присоединены, образуют 3-8-членное кольцо; если не указано иное, каждый названный арил независимо выбирают из группы, состоящей из фенила, инденила и нафтила; если не указано иное, каждый названный гетероарил независимо выбирают из группы, состоящей из пирролила, имидазолила, пиразолила, пиридила, пиразинила, пиримидинила, фурила, тиенила, триазолила, оксазолила, оксадиазолила, тиазолила, тиадиазолила, индолила, хинолинила, изохинолинила, хиноксалинила, бензотиофенила, -карболинила, 2-бензофуранкарбонила, 1-бензимидазолила, 2-бензимидазолила, 3-бензимидазолила, 4-бензимидазолила и 5-бензимидазолила; если не указано иное, каждый названный гетероцикл независимо выбирают из группы, состоящей из пирролидинила, пиперидинила, пиперазинила, морфолинила, тиаморфолинила, тетрагидрофурила, тетрагидрохинолинила и 1,2,3,4-тетрагидроизохинолинила; и ни один атом углерода не является геминально замещенным более чем одной сульфгидрильной группой.
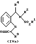
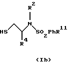
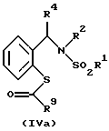
15. Соединение или соль по п.1, где названное соединение соответствует по структуре нижеприведенной формуле![]() ![]() ![]() 16. Способ лечения млекопитающего, имеющего состояние, связанное с патологической активностью матриксной металлопротеазы, включающий введение млекопитающему, имеющему такое состояние, терапевтически эффективного количества ингибирующего металлопротеазу соединения или его соли по любому из пп.1, 2, 3, 4, 5, 6, 7, 8, 9, 10, 11 или 15. 17. Способ по п.16, где вводят соединение или соль по п.1. 18. Способ по п.16, где вводят соединение или соль по п.4. 19. Способ по п.16, где вводят соединение или соль по п.10. 20. Способ по п.17, где R1 выбран из группы, состоящей из фенила, пирролила, имидазолила, пиразолила, пиридила, пиразинила, пиримидинила, фурила, тиенила, триазолила, оксазолила, оксадиазолила, тиазолила и тиадиазолила, где названный фенил, пирролил, имидазолил, пиразолил, пиридил, пиразинил, пиримидинил, фурил, тиенил, триазолил, оксазолил, оксадиазолил, тиазолил или тиадиазолил сами являются замещенными в их 4-м положении, если кольцо 6-членное, или в их 3-м положении, если кольцо 5-членное, заместителем, выбранным из группы, состоящей из фенила, пирролила, имидазолила, пиразолила, пиридила, пиразинила, пиримидинила, фурила, тиенила, триазолила, оксазолила, оксадиазолила, тиазолила, тиадиазолила, алкила, содержащего неразветвленную цепь из 3 до примерно 7 атомов углерода, алкокси, содержащего неразветвленную цепь из 3 до примерно 7 атомов углерода, фенокси, тиофенокси, фенилазо и бензамидо. 21. Способ по п.17, где соединение соответствует по структуре формулам IVa или IVb ![]() или ![]() 22. Способ по п.17, где соединение соответствует по структуре формулам ![]() ![]() ![]() 23. Способ по п.22, где R1 выбран из группы, состоящей из фенила, пирролила, имидазолила, пиразолила, пиридила, пиразинила, пиримидинила, фурила, тиенила, триазолила, оксазолила, оксадиазолила, тиазолила и тиадиазолила, где названный фенил, пирролил, имидазолил, пиразолил, пиридил, пиразинил, пиримидинил, фурил, тиенил, триазолил, оксазолил, оксадиазолил, тиазолил или тиадиазолил сами являются замещенными в их 4-м положении, если кольцо 6-членное, или в их 3-м положении, если кольцо 5-членное, заместителем, выбранным из группы, состоящей из фенила, пирролила, имидазолила, пиразолила, пиридила, пиразинила, пиримидинила, фурила, тиенила, триазолила, оксазолила, оксадиазолила, тиазолила, тиадиазолила, алкила, содержащего неразветвленную цепь из 3 до примерно 7 атомов углерода, алкокси, содержащего неразветвленную цепь из 3 до примерно 7 атомов углерода, фенокси, тиофенокси, фенилазо и бензамидо. 24. Способ по п.12, где состояние, связанное с активностью матриксной металлопротеазы, представляет ангиогенез. 25. Способ по п.14, где состояние, связанное с активностью матриксной металлопротеазы, представляет ангиогенез. 26. Способ по п.16 лечения млекопитающего, имеющего ангиогенез, включающий введение указанному млекопитающему терапевтически эффективного количества соединения или его фармацевтически приемлемой соли по любому из пп.1, 2, 3, 4, 5, 6, 7, 8, 9, 10, 11 или 15. 27. Способ по п.26, где вводят соединение или соль по п.1. 28. Способ по п.26, где вводят соединение или соль по п.4. 29. Способ по п.26, где вводят соединение или соль по п.10. 30. Способ по п.26, где вводят соединение или соль по п.15. РИСУНКИ
MM4A – Досрочное прекращение действия патента СССР или патента Российской Федерации на изобретение из-за неуплаты в установленный срок пошлины за поддержание патента в силе
Дата прекращения действия патента: 23.07.2006
Извещение опубликовано: 20.12.2007 БИ: 35/2007
|
||||||||||||||||||||||||||





















-карболинила, 2-бензофуранкарбонила, 1-бензимидазолила, 2-бензимидазолила, 3-бензимидазолила, 4-бензимидазолила и 5-бензимидазолила; если не указано иное, каждый названный гетероцикл независимо выбирают из группы, состоящей из пирролидинила, пиперидинила, пиперазинила, морфолинила, тиаморфолинила, тетрагидрофурила, тетрагидрохинолинила и 1,2,3,4-тетрагидроизохинолинила; и ни один атом углерода не является геминально замещенным более чем одной сульфгидрильной группой.
13. Способ по п.12, где х=0.
14. Способ лечения млекопитающего, имеющего состояние, связанное с патологической активностью матриксной металлопротеазы, включающий введение млекопитающему, имеющему такое состояние, ингибирующего металлопротеазу соединения или его соли в терапевтически эффективном количестве, где указанное соединение по структуре соответствует нижеприведенной формуле







