Патент на изобретение №2202539
|
||||||||||||||||||||||||||
(54) ПРОИЗВОДНЫЕ N-(4-КАРБАМИМИДОФЕНИЛ)ГЛИЦИНАМИДА, ПРОМЕЖУТОЧНЫЕ СОЕДИНЕНИЯ, СПОСОБ ПОЛУЧЕНИЯ И ФАРМКОМПОЗИЦИЯ
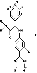
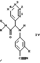
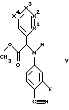
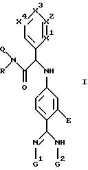
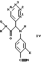
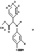
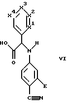
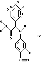
(57) Реферат: Изобретение относится к производным N-(4-карбамимидофенил) глицинамида формулы (I), где Е обозначает водород или ОН, Q обозначает водород или алкил, R обозначает арил, циклоалкил или алкил, замещенный радикалами R1, R2, R3, R1 обозначает водород, СООН, СОО-алкил или арил, R2 обозначает водород, арил, циклоалкил или гетероарил, R3 обозначает водород, арил или ОН (в положении, отличном от -положения по отношению к атому азота, к которому присоединена алкильная группа R), или необязательно замещенную аминогруппу, три из радикалов X1-X4 обозначают группу C(Ra), C(Rb) или C(Rc), а четвертый обозначает С(Rd), Ra-Rd обозначают Н, ОН, NO2, диалкиламиногруппу, галоген, алкил, алкокси, арилокси, аралкилокси, гетероарилалкилокси, гетероциклилалкилоксигруппу, СООН, СОО-алкил, NH-SO2-алкил, NH-SO2-арил, две соседние группы Ra-Rb обозначают алкилендиоксигруппу, G1 и G2 обозначают водород, ОН, также изобретение относится к промежуточным соединениям формулы (IV), (V), (VI), которые используются в способах получения соединений формулы (I), и заключаются во взаимодействии альдегида формулы (II) с изонитрилом формулы R1NC и аминобензамидином формулы (III), а также цианогруппу CN, в нитриле формулы (IV) превращают в амидиногруппу C(N-G1)NH-G2. Кроме этого, соединения формулы (I) обладают ингибирующей амидолитической активностью в отношении комплекса фактор VIIа/тканевой фактор и благодаря этому свойству могут быть действующим веществом в фармкомпозиции. 5 с. и 7 з.п.ф-лы.
![]() ![]() ![]() ![]() ![]()
Текст описания в факсимильном виде (см. чертежи) Т Тк Формула изобретения
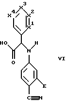
![]() где Е обозначает водород или ОН; Q обозначает водород или алкил; R обозначает арил, циклоалкил или алкил, замещенный радикалами R1, R2 и R3; R1 обозначает водород, СООН, СОО-алкил или арил; R2 обозначает водород, арил, циклоалкил или гетероарил; R3 обозначает водород, арил или ОН (в положении, отличном от -положения по отношению к атому азота, к которому присоединена алкильная группа R) или необязательно защищенную аминогруппу;N(Q, R) обозначает замещенный СООН- или СОО-алкилом пирролидино, пиперидино или 1,2,3,4-тетрагидроизохинолин-3-ил; три из радикалов Х1-Х4 независимо друг от друга обозначают группу C(Ra), С(Rb) или C(Rc), а четвертый радикал обозначает группу C(Rd) или N; Ra-Rd независимо друг от друга обозначают Н, ОН, NO2, диалкиламиногруппу, галоген, алкил, алкокси-, арилокси-, аралкилокси-, гетероарилалкилокси-, гетероциклилалкилоксигруппу, СООН, СОО-алкил, NH-SO2-алкил, NH-SO2-арил, NHCO-алкил, NHCO-арил, NHCOO-алкил, NHCO-алкил-NH2, NHCO-алкил-NH-G, аралкил-CONH, алкил-О-алкил-CONH, алкил-СООН, O-алкил-СООН или O-алкил-СОО-алкил, или две соседние группы Ra-Rd вместе обозначают алкилендиоксигруппу, причем не более трех радикалов из Ra-Rd могут иметь одинаковое значение и X1 не может обозначать ССООН или ССОО-алкил; G обозначает аминозащитную группу; один из радикалов G1 и G2 обозначает водород, а другой радикал обозначает водород, алкил, ОН, алкоксигруппу, ароил, алканоил-ОСН2, ароил-OCH2 или группу СОО-Rg или OCO-Rg, где Rg обозначает алкил, необязательно замещенный галогеном, ОН, алкоксигруппой, СООН или СОО-алкилом, где гетероарил обозначает 5-10-членную ароматическую группу, которая содержит один или два атома азота, где гетероциклил обозначает 5-10-членную насыщенную или ненасыщенную неароматическую группу, которая включает одно или два кольца и содержит один или несколько гетероатомов N, О и/или S, и их гидраты или сольваты и физиологически приемлемые соли. 2. Соединения по п. 1, где Е, G2 и Q обозначают водород, R обозначает алкил, арил, аралкил, бензгидрил, циклоалкилалкил или гетероарилалкил, G1 обозначает водород, ОН или СОО-алкил, Х1-Х4 обозначают группу С(Ra)-С(Rd) и Ra-Rd независимо друг от друга обозначают Н, ОН, NO2, диалкиламиногруппу, галоген, алкил, алкокси-, арилокси-, аралкилокси-, гетероарилалкилокси-, гетероциклилалкилоксигруппу, СОО-алкил, NHSO2-алкил или NHSO2-арил, причем не более трех радикалов из Ra-Rd могут иметь одинаковое значение и Х1 не может обозначать ССОО-алкил. 3. Соединения по п.1 или 2, где Е, G1, G2 и Q обозначают водород. 4. Соединения по п.1 или 3, где R обозначает алкил, в частности метил или этил, замещенный R1, R2 и R3, где, в частности, R1 обозначает арил, прежде всего фенил или СООН, R2 обозначает водород или арил, прежде всего фенил, и R3 обозначает водород. 5. Соединения по пп.1, 3 или 4, где Х1-Х4 обозначают группу С(Ra)-C(Rd), в частности группу, где R3 обозначает Н, аралкилоксигруппу, прежде всего карбоксибензилоксигруппу; NHSO2-арил, прежде всего фенилсульфониламино; аралкил-CONH, прежде всего фенилацетиламино, или О-алкил-СООН, прежде всего карбоксиметоксигруппу, Rb обозначает Н, алкоксигруппу, прежде всего метокси- или этоксигруппу; Rc обозначает Н, алкоксигруппу, прежде всего метоксигруппу; или аралкилоксигруппу, прежде всего бензилоксигруппу, и Rd обозначает Н или алкоксигруппу, прежде всего метоксигруппу. 6. Соединения по любому из пп.1-5, например, (R, S)-N-бензил-2-(4-бензилокси-3-этоксифенил)-2-(4-карбамимидоилфениламино)ацетамид, 2-(2-фенилсульфониламино-4-бензилокси-5-метоксифенил)-N-бензил-2-(4-карбамимидоилфениламино)ацетамид. 7. Соединения по любому из пп.1 и 3-5, например, (RS)-[2-(4-бензилокси-3-метоксифенил)-2-(4-карбамимидоилфениламино)ацетиламино]дифенилуксусная кислота, (RS)- и (SR)-3-[(RS)-2-(4-бензилокси-3-метоксифенил)-2-(4-карбамимидоилфениламино)ацетиламино]-3-фенилпропионовая кислота, (S)-[(R)-2-(4-бензилокси-3-метоксифенил)-2-(4-карбамимидоилфениламино)ацетиламино]фенилуксусная кислота, (S)-[(S)-2-(4-карбамимидоилфениламино)-2-(3,5-диметоксифенил)ацетиламино]фенилуксусная кислота, (RS)-3-[2-[бензилкарбамоил-(4-карбамимидоилфениламино)метил] -4,5-диметоксифеноксиметил]бензойная кислота, (RS)-[2-[бензилкарбамоил-(4-карбамимидоилфениламино)метил] -4,5-диметоксифенокси]уксусная кислота, (S)-[(R)-2-(2-фенилсульфониламино-4-бензилокси-5-метоксифенил)-2-(4-карбамимидоилфениламино)ацетиламино]фенилуксусная кислота, (S)-[(S)-2-(2-фенилсульфониламино-4-бензилокси-5-метоксифенил)-2-(4-карбамимидоилфениламино)ацетиламино]фенилуксусная кислота, (S)-[(R)-2-(4-бензилокси-5-метокси-2-фенилацетиламинофенил)-2-(4-карбамимидоилфениламино)ацетиламино]фенилуксусная кислота, (S)-[(S)-2-(4-бензилокси-5-метокси-2-фенилацетиламинофенил)-2-(4-карбамимидоилфениламино)ацетиламино]фенилуксусная кислота. 8. Соединения формулы I и их соли по пп.1-7, действующие как ингибиторы образования факторов коагуляции Ха, IХа и тромбина, индуцируемого фактором VIIa и тканевым фактором, предназначенные для получения фармацевтического средства для лечения и профилактики заболеваний, связанных с нарушением фактора свертываемости крови. 9. Соединения формулы ![]() ![]() или ![]() где Е, Q, R и Х1-X4 имеют значения, указанные в п.1. 10. Фармацевтическая композиция, обладающая ингибирующей амидолитической активностью в отношении комплекса фактор VIIa/тканевой фактор, содержащая действующее вещество и фармацевтически приемлемые эксципиенты, отличающаяся тем, что в качестве действующего вещества она содержит соединение по любому из пп.1-7. 11. Способ получения соединений формулы I по п.1, отличающийся тем, что альдегид формулы ![]() подвергают взаимодействию с изонитрилом формулы R1NC и 4-аминобензамидином формулы III ![]() с последующим при необходимости переведением функциональной реакционноспособной группы в полученном соединении формулы I в ее производное и превращением соединения формулы I в физиологически приемлемую соль или превращением соли соединения формулы I в свободную кислоту или основание. 12. Способ получения соединений формулы I по п.1, отличающийся тем, что цианогруппу CN, присутствующую в соответствующем нитриле формулы ![]() превращают в амидиногруппу C(N-G1)NH-G2 с последующим при необходимости переведением функциональной реакционноспособной группы в полученном соединении формулы I в ее производное и превращением соединения формулы I в физиологически приемлемую соль или превращением соли соединения формулы I в свободную кислоту или основание. РИСУНКИ
MM4A – Досрочное прекращение действия патента СССР или патента Российской Федерации на изобретение из-за неуплаты в установленный срок пошлины за поддержание патента в силе
Дата прекращения действия патента: 04.12.2007
Извещение опубликовано: 20.07.2010 БИ: 20/2010
|
||||||||||||||||||||||||||

-положения по отношению к атому азота, к которому присоединена алкильная группа R), или необязательно замещенную аминогруппу, три из радикалов X1-X4 обозначают группу C(Ra), C(Rb) или C(Rc), а четвертый обозначает С(Rd), Ra-Rd обозначают Н, ОН, NO2, диалкиламиногруппу, галоген, алкил, алкокси, арилокси, аралкилокси, гетероарилалкилокси, гетероциклилалкилоксигруппу, СООН, СОО-алкил, NH-SO2-алкил, NH-SO2-арил, две соседние группы Ra-Rb обозначают алкилендиоксигруппу, G1 и G2 обозначают водород, ОН, также изобретение относится к промежуточным соединениям формулы (IV), (V), (VI), которые используются в способах получения соединений формулы (I), и заключаются во взаимодействии альдегида формулы (II) с изонитрилом формулы R1NC и аминобензамидином формулы (III), а также цианогруппу CN, в нитриле формулы (IV) превращают в амидиногруппу C(N-G1)NH-G2. Кроме этого, соединения формулы (I) обладают ингибирующей амидолитической активностью в отношении комплекса фактор VIIа/тканевой фактор и благодаря этому свойству могут быть действующим веществом в фармкомпозиции. 5 с. и 7 з.п.ф-лы.











