Патент на изобретение №2202184
|
||||||||||||||||||||||||||
(54) КОМБИНАЦИИ ФЕНИЛСУЛЬФОНИЛМОЧЕВИННЫХ ГЕРБИЦИДОВ С АНТИДОТАМИ И СПОСОБ ЗАЩИТЫ КУЛЬТУРНЫХ РАСТЕНИЙ ОТ ПОБОЧНЫХ ФИТОТОКСИЧЕСКИХ ЭФФЕКТОВ ФЕНИЛСУЛЬФОНИЛМОЧЕВИННЫХ ГЕРБИЦИДОВ
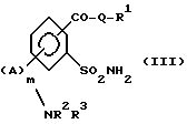
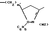
(57) Реферат: Описывается гербицидно-антидотная композиция, содержащая в качестве гербицида производное фенилсульфонилмочевины – соединение формулы А или его соли щелочных металлов, где W – атом кислорода, А – группа формулы CR1 R4, где R1 и R4 – атом водорода, Q – атом кислорода или группа NR6, М – 0 или 1, R1 – алкил с числом атомов углерода от 1 до 6, R2 – атом водорода, алкил с числом атомов углерода от 1 до 6, 3 – COR11, СОOR12, SO2R21, R11 – атом водорода, алкил с числом атомов углерода от 1 до 6, 12 – алкил с числом атомов углерода от 1 до 6, R5 – атом водорода, R6 – атом водорода, алкил с числом атомов углерода от 1 до 4, 1, Х2 независимо друг от друга – алкоксил с числом атомов углерода от 1 до 6, Z – группа СН, в качестве антидота соединение формулы Б1, где Х1 – атом галогена, Z1 – OR7, R7 – алкил с числом атомов углерода от 1 до 8, n1-1 или 2, W1 означает W1, W2, R9 – алкил с числом атомов углерода от 1 до 8, R10 – алкил с числом атомов углерода от 1 до 8, m1 – 0, при весовом соотношении соединения А к соединению Б1 от 10:1 до 1: 10. Описывается также способ защиты культурных растений от побочных фитотоксических эффектов гербицидов типа А путем нанесения на растения, части растений, на семена растений или на посевные площади одновременно с гербицидом эффективное количество антидота типа Б1 при весовом соотношении А и Б1 от 10:1 до 1:10. Технический результат – высокая гербицидная активность при отсутствии фитотоксичности. 2 с. и 5 з.п.ф-лы, 8 табл. ![]() ![]() ![]()
Изобретение относится к технической области средств защиты растений, конкретно к комбинациям из активных веществ и антидотов, которые прекрасно подходят для применения против сорной растительности, конкурирующей с культурами полезных растений. Некоторые новые гербицидные вещества показывают очень хорошие свойства в этой области техники. При очень низких нормах расхода они могут применяться против широкого спектра травянистых и широколиственных сорняков. Однако многие из высокоэффективных активных веществ не очень хорошо переносятся такими важными культурными растениями, как кукуруза, рис или другие зерновые (то есть они недостаточно селективны), и в результате области их применения оказываются сужены. Поэтому их нельзя применять на некоторых культурах или же их применяют при столь низких нормах расхода, что это не обеспечивает желаемого широкого спектра гербицидной активности по отношению к сорной растительности. Особо следует отметить, что многие гербициды приводимой далее формулы (А) не могут с достаточной селективностью по отношению к сорнякам применяться в посевах кукурузы, риса, других зерновых и некоторых других культур. В результате проведенных новых экспериментальных исследований было показано, что такие культурные растения, как кукуруза, рис, пшеница, ячмень и другие, могут быть удивительным образом защищены от вызываемых этими гербицидами нежелательных повреждений, если гербициды применяются совместно с определенными соединениями, которые действуют как антидоты гербицидов. Известна композиция, содержащая гербицид группы сульфонилмочевин и антидот группы производных пиразолин-, триазол- и пиразол-карбоновых кислот, замещенных фенилом, производных бензилизоксазолин-карбоновой кислоты и/или производных хинолин-8-оксиалкан-карбоновой кислоты при соотношении гербицида и антидота от 1:10 до 10:1 (см. Европейскую заявку 0492367 А2, A 01 N 47/36, 01.07.1992). Задачей изобретения является разработка новых гербицидных средств из активного вещества на основе фенилсульфонилмочевины и антидота на основе пиразолин- и изоксазолин-карбоновых кислот, которые проявляют повышенную синергетическую активность. Поставленная задача решается предлагаемыми гербицидно-антидотными комбинациями, содержащими в качестве производного фенилсульфонилмочевины соединение формулы (А) или его соли: ![]() где W означает атом кислорода, А означает группу формулы CR’R”, где R’ и R” означают атом водорода, Q означает атом кислорода, m равно 0 или 1, R1 означает алкил с числом атомов углерода от одного до шести, R2 означает атом водорода, алкил с числом атомов углерода от одного до шести, R3 означает CO-R11, COOR12 или SO2R21, где R11 означает атом водорода, алкил с числом атомов углерода от одного до шести, R12 означает алкил с числом атомов углерода от одного до шести, R21 означает алкил с числом атомов углерода от одного до шести, R5 означает атом водорода, R6 означает атом водорода, алкил с числом атомов углерода от одного до четырех, X1, X2 независимо друг от друга означают алкоксил с числом атомов углерода от одного до шести и Z означает группу СН, и антидот из группы соединений формулы (Б1) ![]() где X’ означает атом галогена, Z’ означает OR7, где R7 означает алкил с числом атомов углерода от одного до восьми, n’ означает целое число от 1 до 2, W’ означает остаток из группы остатков формул: ![]() ![]() где R9 означает алкил с числом атомов углерода от одного до восьми, R10 означает алкил с числом атомов углерода от одного до восьми, и m’ означает 0, при весовом соотношении соединения (А) к соединению (Б1) от 10:1 до 1: 10. Если специально не указано иначе, то для остатков в формулах для (А), (Б1) и приведенных ниже формул действуют следующие далее определения. Остатки алкил, алкоксил и алкиламиногруппа, а также соответствующие ненасыщенные и/или замещенные остатки могут быть по типу углеродного скелета как линейными, так и разветвленными. Если не указано особо, то из этих остатков более предпочтительны структуры с небольшим числом атомов углерода, например от одного для шести или соответственно от двух до шести для ненасыщенных фрагментов. Алкильные остатки, участвующие в образовании более сложных функциональных групп, например алкоксигруппы и другие, представлены, например, такими группами, как метил, этил, н- или изопропил, н-, изо- трет- или 2-бутил, пентилы, гексилы, такие как н-гексил, изогексил и 1,3-диметилбутил, гептилы, такие как н-гептил, 1-метилгексил и 1,4-диметилпентил. Понятие “галоген” означает, например, атом фтора, хлора, брома или иода. Формулы (А) и (Б1) охватывают также все стереоизомеры, которые показывают ту же самую топологию связей между атомами, и их смеси. Такие соединения содержат один или несколько асимметрических атомов углерода, а также двойные связи, которые при обычном написании формул никак не выделяются. Все возможные стереоизомеры, отличающиеся пространственным расположением атомов, такие как энантиомеры, диастереомеры, Z- и Е-изомеры, могут быть получены обычными способами из смесей стереоизомеров или же их можно синтезировать в стереоселективных превращениях в сочетании с использованием стереохимически чистых исходных соединений. Соединения формулы (А) могут образовывать соли, у которых атом водорода -SО2-NН-группы замещается допуститимым для сельскохозяйственного применения катионом. Эти соли могут быть представлены, например, солями с металлами, особенно солями щелочных или щелочноземельных металлов, особенно солями натрия и калия, но также и солями амммония или солями с участием органических аминов. Производные пиразолин-карбоновых кислот формулы (Б1) известны из европейской заявки на патент 333131, европейской заявки на патент 269806 (заявка США 4891057), европейской заявки на патент 346620 (заявка на патент Австралии 89/34951), европейской заявки на патент 174562, а производные изоксазолин-карбоновой кислоты формул (Б1) известны из международной заявки WO 91/08202 (заявки РСТ/ЕР 90/01966 и РСТ/ЕР 90/02020), а также заявки ФРГ Р. 4331448.1 и цитируемой в этих источниках литературы или же они могут быть также получены следующим способом: Соединение формулы (I) ![]() подвергают взаимодействию с нитрилоксидом формулы (II) (-)O-N=(+)C-COC(O)Z1 (II), где X’ означает атом галогена, n’ означает целое число 1 или 2, Z’ означает группу OR7, где R7 означает алкил с числом атомов углерода от одного до восьми. Реакцию соединений формул (I) и (II) проводят в среде органического растворителя, предпочтительно неполярного до малополярного растворителя, такого как, например, диэтиловый эфир или тетрагидрофуран (ТГФ). Исходные соединения формул (I) и (II) известны (см., например, “J. Оrg. Chem. 25, 1160 (1960)”; “J. Am. Chem. Soc. 46, 791 (1924)”) или могут быть получены способами-аналогами. Нитрилоксиды формулы (II) получают “in situ” из производных 2-галогено-2-гидроксииминоуксусной кислоты в присутствии основания и подвергают взаимодействию с соединением формулы (I), содержащимся в реакционной смеси, предпочтительно при температурах между -15oС и точкой кипения используемого растворителя, особенно при комнатной температуре. В качестве гербицидных активных веществ в рамках изобретения пригодны такие гербицидпроизводные формулы (А), применение которых в роли единственного активного вещества невозможно или неоптимально на зерновых культурах и/или на кукурузе из-за сильного повреждения культурных растений. Соединения формулы (А) известны, например, из международной заявки на патент 94/06778, заявок на патент ФРГ Р.4335297.9 (РСТ/ЕР 94/03369), Р. 4415049.0 и Р.4419259.2, а также заявки на патент США 5449812 или они могут быть получены следующим способом: Соединение формулы (III) ![]() подвергают взаимодействию с гетероциклическим карбаматом формулы (IV) ![]() где R* означает замещенный или незамещенный фенил или алкил с числом атомов углерода от одного до четырех, остальные остатки A, m, Q, R1, R2, R3, R5, X1, X2 и Z имеют вышеприведенные значения. Реакцию соединений формул (III) и (IV) проводят предпочтительно в присутствии основания в качестве катализатора в среде инертного органического растворителя, такого как, например, дихлорметан, ацетонитрил, диоксан или тетрагидрофуран (ТГФ) при температурах между 0oС и точкой кипения используемого растворителя. В качестве основания можно применять органические основания, например 1,8-диазабицикло[5.4.0]ундец-7-ен, тремэтилалюмний или триэтилалюминий. Особый интерес представляют соответствующие изобретению комбинации гербицида и антидота, если в антидотах (Б1) W’ означает ![]() X’ означает атом галогена, n’ равно 1 или 2, причем (X )n предпочтительно означает 2,4-Cl2,Z’ означает остаток формулы OR7, R7 означает алкил с числом атомов углерода от одного до восьми, R9 означает алкил с числом атомов углерода от одного до восьми, R10 означает алкил с числом атомов углерода от одного до восьми. Особенно предпочтительны при этом также антидоты, в формуле (Б1) которых W’ означает ![]() X’ означает атом галогена, n’ равно 1 или 2, m’ равно 0, Z’ означает остаток формулы OR7, R7 означает алкил с числом атомов углерода от одного до четырех, и R9 означает алкил с числом атомов углерода от одного до четырех. Следующие группы соединений пригодны, например, в качестве антидотов для приведенных выше гербицидных активных веществ начал формулы (А): а) Соединения типа дихлорфенилпиразолин-3-карбоновой кислоты (то есть формулы (Б1), в которой W’=W1 и (X )n = 2,4-Cl2), предпочтительно такие соединения, как этиловый эфир 1-(2,4-дихлорфенил)-5-метил-5-этокси-карбонил-2-пиразолин-3-карбоновой кислоты (Б1-1), и близкие по структуре соединения, описанные в международной заявке на патент РСТ/ЕР 90/02020.
б) Соединения типа 5,5-дифенил-2-изоксазолин-3-карбоновой кислоты, предпочтительно такие соединения, как этиловый эфир 5,5-дифенил-2-изоксазолинкарбоновой кислоты (Б1-9) или ее н-пропиловый эфир (Б1-10) или же этиловый эфир 5-(4-фторфенил)-5-фенил-2-изоксазолин-3-карбоновой кислоты (Б1-11), описанные в патенте ФРГ Р.4331448.1.
в) Активные вещества типа производных феноксиуксусной или соответственно пропионовой кислоты или же ароматических карбоновых кислот, как, например,(Эфир) 2,4-дихлорфеноксиуксусной кислоты (2,4-Д), Эфир 2-метил-4-хлорфеноксипропионовой кислоты (мекопроп, МСРА) или (Эфир) 2-метокси-3,6-дихлорбензойной кислоты (дикамба). Особый интерес представляют соответствующие изобретению комбинации гербицидов и антидотов, если в соединениях формулы (А) или в их солях R1 означает алкил с числом атомов углерода от одного до шести, R2 означает атом водорода, алкил с числом атомов углерода от одного до четырех, R3 означает CO-R11, CO-OR12, m равно 0 или 1, R5 означает атом водорода, R11 означает атом водорода, алкил с числом атомов углерода от одного до шести, R12 означает алкил с числом атомов углерода от одного до шести, R21 означает алкил с числом атомов углерода от одного до четырех, остатки X1 и X2 означают алкоксил с числом атомов углерода от одного до двух, Z означает СН-группу. Предпочтительны соответствующие изобретению соединения формулы (А) и их соли, в которых R1 означает алкил с числом атомов углерода от одного до четырех, предпочтительно метил или этил, R2 означает атом водорода, алкил с числом атомов углерода от одного до четырех, предпочтительно метил или этил, R3 означает формил-, ацетил-, н-пропионил-, изопропионил-, 2-метилпропионил, н-бутаноил, метоксикарбонил, этоксикарбонил, метилсульфонил, m равно 0 или 1, R5 означает атом водорода, А означает метиленовую группу, Q означает атом кислорода или метилиминогруппу (NСН3), X1 означает метоксигруппу, этоксигруппу, X2 означает метоксигруппу или этоксигруппу, Z означает СН-группу. Антидоты формулы (Б1), например антидоты вышеназванных групп от а) до в), снижают или снимают фитотоксические эффекты, которые могут проявиться в результате применения гербицидных активных веществ формулы (А) на культурах полезных растений, не оказывая при этом существенного влияния на эффективность этих гербицидных активных веществ по отношению к сорной растительности. В результате этого можно значительно расширить область применения традиционных средств защиты растений и распространить их, например, на такие культуры, как пшеница, ячмень, кукуруза и другие зерновые культуры, на которых до сих пор применение этих гербицидов было невозможно или ограничено, то есть их можно было применять только в заниженных дозировках с узким спектром действия. Гербицидные активные вещества и вышеназванные антидоты могут применяться вместе (в виде готовых препаративных форм или в баковых смесях), но они могут наноситься и раздельно одно за другим в любой последовательности. Соотношения масс антидота и активного вещества начала могут изменяться в широких пределах, предпочтительно от 1:100 до 100:1, особенно от 1:10 до 10:1. Оптимальные для каждого случая количества гербицидного активного вещества и антидота зависят от типа применяемого гербицидного активного вещества и применяемого антидота, а также от вида обрабатываемой растительности; их можно определить в каждом конкретном случае на основании соответствующих предварительных опытов. Главная область применения антидотов представлена прежде всего посевами кукурузы и зерновых культур (пшеницы, ржи, ячменя, овса), риса, сорго, а также хлопчатника и соевых бобов, предпочтительно это посевы зерновых и кукурузы. В зависимости от свойств антидотов формулы (Б1) их можно применять для предварительной обработки посевного материала культурных растений (протравливание семян) или вносить их перед посевом в подготовленные для этого борозды или же применять их вместе с гербицидом до или после появления всходов растений. Довсходовая обработка включает как обработку посевных площадей до посева, так и обработку засеянных площадей до появления всходов. Предпочтительно совместное применение с гербицидом. Для этого могут использоваться баковые смеси или готовые препаративные формы. Эффективные нормы расхода антидота могут колебаться в широких пределах в зависимости от показаний и применяемого гербицидного активного вещества. Как правило, они лежат в пределах от 0,001 до 5 кг, предпочтительно от 0,005 до 0,5 кг, активного вещества на гектар. Объектом настоящего изобретения является таким образом способ защиты культурных растений от побочных фитотоксических действий гербицидов формулы (А), отличающийся тем, что на растения, на семенной материал или на посевную площадь наносят эффективное количество соединения формулы (Б1) одновременно с гербицидным активным веществом формулы (А). В зависимости от биологических и/или физико-химических параметров на основе соединений формул (Б1) и их комбинаций с одним или с несколькими из названных гербицидных активных веществ могут быть приготовлены различные препаративные формы. Возможны, например, такие препаративные формы, как смачивающиеся порошки, концентраты эмульсий, водорастворимые порошки, водорастворимые концентраты, концентрированные эмульсии по типу эмульсий “масло-в-воде” или “вода-в-масле”, растворы и эмульсии для разбрызгивания, суспензии капсулированных препаратов, дисперсные системы на основе масла или воды, суспензионно-эмульсионные системы, концентраты суспензий, дусты, смешивающиеся с маслами растворы, протравители, грануляты в виде микрогранул, гранул для опрыскивания, гранул с нанесенным на поверхность и сорбированным действющим началом, грануляты для внесения в почву и для распыления, водорастворимые грануляты, диспергируемые в воде грануляты, составы для ультрамалообъемного опрыскивания, микрокапсулы и воски. Отдельные типы препаративных форм в принципе известны и они описываются, например, в книге Winnacker-Kuechler, “Chemische Technologie”, T.7, Изд. C. Hauser, Мюнхен, 4 издание 1986; Wade van Valkenburg, “Pesticide Formulations”, Marcel Dekker N.Y., 1973; K.Martens, “Spray Drying Handbook”, 3 издание, 1979, G.Goodwin LTD, Лондон. Необходимые для приготовления препаративных форм вспомогательные средства, такие как инертные материалы, поверхностно-активные вещества, растворители и другие добавки, также известны. Они описываются, например, в книге: Watkins, “Handbook of Insecticide Dust Diluents and Carriers”, 2 издание, Darland Boks, Caldwell N.J., H.v.Olphen, “Introduction to Clay Colloid Chemistry”, 2 издание, J. Willey & Sons, N.Y.; C.Marsden, “Solvents Guide”, 2 издание, Interscience, N.Y. 1963; McCutcheon’s “Detergents and Emulsifiers Annual”, MC Publ. Corp., Ridgewood N.J.; Sisley and Wood, “Encyclopedia of Surface Active Agents”, Chem. Publ. Co. Inc. , N.Y. 1964; Schoenfeldt, “Grenzflaechenactive Aethylenoxydadducte”, Wiss. Verlagsgesell., Stuttgart 1976; Winnacker-Kuechler, “Chemische Technologie”, T.7, Издат. C.Hauser, Мюнхен, 4 издание 1986. На основе этих препаративных форм могут быть приготовлены и комбинации с другими веществами с пестицидной активностью, например с инсектицидами, акарицидами, гербицидами, фунгицидами, а также с антидотами, удобрениями и/или с регуляторами роста, например, в виде готовых к употреблению составов или баковых смесей. Смачивающиеся порошки представляют собой равномерно распределяющиеся в воде препараты, которые наряду с активным веществом и, кроме разбавителя или инертного вещества, содержат еще и поверхностно-активные вещества ионной и/или неионогенной природы (смачиватели, диспергирующие средства), например полиоксиэтилированные алкилфенолы, полиоксиэтилированные жирные спирты, полиоксиэтилированные высшие алкиламины, сульфаты простых эфиров жирных спиртов и полиэтиленгликолей, алкансульфонаты, алкилбензолсульфонаты, натриевую соль сульфированного лигнина, натриевую соль 2,2′-динафтилметан-6,6′-дисульфокислоты, дибутилнафталинсульфокислый натрий или также натриевую соль олеоилметилтаурина. Для получения смачивающихся порошков гербицидные средства тонко измельчают, например, в такой обычной аппаратуре, как молотковые мельницы, мельницы-сушилки и воздухоструйные мельницы, и одновременно или в конце операции их смешивают с другими компонентами препаративной формы. Концентраты эмульсий готовят растворением активного вещества в органическом растворителе, например в бутаноле, циклогексаноне, диметилформамиде, ксилоле или в более высококипящих ароматических соединениях или углеводородах или же в смесях органических растворителей с добавлением одного или нескольких поверхностно-активных веществ ионной и/или неионогенной природы (эмульгаторы). В качестве эмульгаторов могут использоваться, например, кальциевые соли алкиларилсульфокислот (додецилбензолсульфонат кальция) или такие неионогенные эмульгаторы, как полигликолевые эфиры жирных кислот, алкилариловые эфиры полигликолей, простые эфиры полигликолей и жирных спиртов, продукты конденсации пропиленоксида и этиленоксида, простые полиалкиловые эфиры, сложные эфиры сорбитана, например эфиры сорбитана с жирными кислотами, или сложные эфиры на основе полиоксиэтилированного сорбитана, например полиоксиэтилированные эфиры сорбитана и жирных кислот. Дусты получают при размалывании действующего начала с тонко измельченными твердыми веществами, например с тальком, с такими естественными глинами, как каолин, бентонит и пирофиллит, или с инфузорной землей. Концентраты суспензий могут иметь водную или масляную основу. Они могут быть приготовлены, например, при влажном размалывании в обычных шаровых мельницах с добавлением при необходимости поверхностно-активных веществ, используемых, например, для приготовления других типов препаративных форм. Эмульсии, например эмульсии типа “масло-в-воде”, могут быть получены, например, с помощью мешалок, коллоидных мельниц и/или при статическом смешении с применением водных органических растворителей и с добавлением при необходимости поверхностно-активных веществ, используемых, например, для изготовления других типов препаративных форм. Грануляты могут быть получены или напылением активных веществ на гранулированный инертный материал с хорошей сорбирующей способностью или же нанесением концентратов активных веществ с помощью увеличивающих адгезию средств (прилипателей), например поливинилового спирта, полиакрилата натрия или также минеральных масел, на наповерхность таких веществ-носителей, как песок, каолиниты, или на поверность гранулированного инертного материала. Соответствующие активные вещества могут также подвергаться гранулированию способом, обычно используемым для производства гранулированных удобрений. При желании таким образом можно получать и их смеси с удобрениями. Расходящиеся в воде грануляты получают, как правило, такими обычными способами, как разбрызгивание раствора в сушилках, гранулирование в кипящем слое, на дисковых грануляторах, в высокоскоростных смесителях, и экструзия без добавления твердого инертного материала. О получении гранулятов на капельных сушилках, дисковых, конвейерных, экструзионных грануляторах см., например, “Spray-Drying Handbook”, 3 издание, 1979, G.Goodwin Ltd., Лондон; J.E.Browning, “Agglomeration”, Chemical and Engineering 1967, стр. 147 сл.; “Perry’s Chemical Engineer’s Handbook”, 5 издание, McGraw-Hill, New York 1973, стр. 8-57. Другие подробности о приготовлении препаративных форм средств защиты растений можно найти, например, в книге G.C.Klingman, “Weed Control as a Science”, John Wiley and Sons Inc., New York, 1961, стр. 81-96 и J.D.Freyer, S. A. Evans “Weed Control Handbook”, 5 издание, Blackwell Scientific Publications, Oxford, 1968, стр. 101-103. Агрохимические составы содержат, как правило, от 0,1 до 99 мас.%, главным образом от 0,1 до 95 мас.%, активных веществ формулы (Б1) или смеси активных веществ гербицид/антидот (А) и (Б1) и от 1 до 99,9 мас.%, главным образом от 5 до 99,8 мас.%, твердой или жидкой добавки и еще от 0 до 25 мас.%, главным образом от 0,1 до 25 мас.%, поверхностно-активного вещества. В смачивающихся порошках содержание активного вещества составляет примерно от 10 до 90 мас.%, а недостающее до 100 мас.% состоит из обычных составляющих препаративных форм. В концентратах эмульсий содержание активного вещества составляет от примерно 1 до 80 мас.%. Препаративные формы в виде порошков содержат примерно от 1 до 20 мас.% активного вещества. В растворах для опрыскивания содержится примерно от 0,2 до 20 мас.% активного вещества. У таких гранулятов, как диспергируемые в воде грануляты, содержание активного вещества частично определяется его агрегатным состоянием, то есть жидкое оно или твердое. Как правило, его содержание в диспергируемых в воде гранулятах лежит в пределах от 10 до 90 мас.%. Наряду с этим вышеназванные препаративные формы активных веществ могут содержать в отдельных случаях обычные прилипатели, смачиватели, диспергаторы, эмульгаторы, улучшающие текучесть составов средства, консерванты, средства для защиты от замерзания и растворители, наполнители, носители и красящие вещества, пеногасители, средства для уменьшения уноса пыли и средства, влияющие на значение рН и на вязкость. В качестве компонентов соответствующих изобретению комбинаций активных веществ в смесевых препаративных формах или в баковых смесях можно применять, например, известные активные вещества, например перечисленные в Weed Research 26, 441-445 (1986) или в “The Pesticide Manual”, 9 издание, The British Crop Protection Council, 1990/91, Bracknel, Англия и в цитируемой в этих источниках литературе. В качестве известных из литературы гербицидов, которые можно комбинировать с соединениями формулы (А), можно назвать, например, следующие соединения (примечание: соединения называются или тривиальным именем по рекомендациям Международной организации по стандартизации (ISO), или химическим названием вместе с обычным кодовым номером, если он имеется): Ацетохлор; ацифторфен; аклонифен; АКН 7088 или [[[1-[5-[2-хлор-4-(трифторметил)-фенокси] -2-нитрофенил] -2-метоксиэтилиден] -амино]-окси]-уксусная кислота и ее метиловый эфир; алахлор; аллоксидим; аметрин; амидосульфурон; амитрол; AMS или сульфамат аммония; анилофос; азулам; атразин; азимсульфурон (DPX-A8947); азипротрин; барбан; ВАЗ 516 Н или 2-фенил-5-фтор-4Н-3,1-бензоксазин-4-он; беназолин; бенфлуралин; бенфуресат; бенсульфурон-метил; бенсулид; бентазон; бензофенап; бензофтор; бензоилпропэтил; бензтиазурон; биалафос; бифенокс; бромацил; бромобутид; бромофеноксим; бромоксинил; бромурон; буминафос; бусоксинон; бутахлор; бутамифос; бутенахлор; бутидазол; бутралин; бутилат; кафенстрол (СН-900); карбэтамид; кафентразон (IСI-А0051); CDAA или N,N-ди-2-пропенил-2-хлорацетамид; CDEC или 2-хлораллиловый эфир диэтилдитиокарбаминовой кислоты; хлометоксифен; хлорамбен, хлоразифоп-бутил; хлормезулон (ICI-А0051); хлорбромурон; хлорбуфам; хлорфенак; хлорфторэкол-метил; хлоридазон; хлоримурон-этил; хлорнитрофен; хлортолурон; хлороксурон; хлорпрофам; хлорсульфурон; хлортал-диметил; хлортиамид; цинметилин; циносульфурон; клетодим; клодинафоп и сложные эфиры на его основе (например, клодинафоп-пропаргил); кломазон; кломепроп; клопроксидим; клопиралид; кумилурон (JC 940); цианазин; циклоат; циклосульфамурон (АС 104); циклоксидим; циклурон; цигалофоп и сложные эфиры на его основе (например, бутиловый эфир, DEH-112); циперкват; ципразин; ципразол; даимурон; 2,4-DB, далапон; десмедифам; десметрин; диаллат; дикамба; дихлорбенил; дихлорпроп; дихлофоп и такие его эфиры, как дихлофоп-метил; диэтатил; дифеноксурон; дифензокват; дифлуфеникан; димефурон; диметахлор; диметаметрин; диметенамид (SAN-582H); диметазон, кломазон; диметипин; диметрасульфурон; динитрамин; диносеб; динотерб; дифенамид; дипропэтрин; дикват; дитиопир; диурон; DNOC; эглиназин-этил; EL-177 или 1-(1,1-диметилэтил)-N-метил-5-циано-1Н-пиразол-4-карбоксамид; эндотал; ЕРТС; эспрокарб; эталфлуралин; этаметсульфурон-метил; этидимурон; этиозин; этофумезат; F5231 или N-[4-фтор-2-хлор-5-[4-(3-фторпропил)-4,5-дигидро-5-кето-1Н-тетразол-1-ил] -фенил] -этансульфонамид; этоксифен и сложные эфиры на его основе (например, этиловый эфир, HN-252); этобензанид (HW 52); фенопроп; феноксан; феноксапроп и феноксапроп-П, а также их сложные эфиры, например феноксапроп-П-этил и феноксапроп-этил; феноксидим; фенурон; флампроп-метил; флазасульфурон; флуазифоп и флуазифоп-П и их сложные эфиры, например флуазифоп-бутил и флуазифоп-П-бутил; флухлоралин; флуметсулам; флуметурон; флумиклорак и его сложные эфиры (например, пентиловый эфир, S-23031); флумиоксазин (S-482); флумипропин; флупоксам (KNW-739); фтородифен; фторогликофен-этил; флупропацил (UBIC-4243); флуридон; флурохлоридон; флуроксипир; флутрамон; фомесафен; фосамин; фурилоксифен; глуфосинат; глифосат; галосатен; галосульфурон и его сложные эфиры (например, метиловый эфир, NC-319); галоксифоп и его сложные эфиры; галоксифоп-П (= R-галоксифоп) и его сложные эфиры; гексазинон; имазаметабензметил; имазапир; имазаквин и его соли, например аммонийная соль; имазэтаметапир; имазэтапир; имазосульфурон; иоксинил; изокарбамид; изопропалин; изопротурон; изоурон; изоксабен; изоксапирифоп; карбутилат; лактофен; ленацил; линурон; МСРА; МСРВ; мекопроп; мефенацет; мефлуидид; метамитрон; метазахлор; метабензтиазурон; метам; метазол; метоксифенон; метилдимрон; метабензурон; метобензурон; метобромурон; метолахлор; метосулам (XRD 511); метоксурон; метрибузин; метсульфуронметил; МН; молинат; моналид; монокарбамид дибисульфат; монолинурон; монурон; МТ 128 или 5-метил-N-фенил-6-хлор-N-(3-хлор-2-пропенил)-3-пиридазинамин; МТ 5950 или N-[4-(1-метилэтил)-3-хлорфенил]-2-метилпентанамид; напроанилид; напропамид; напталам; NC 310 или 5-бензилокси-4-(2,4-дихлорбензоил)-1-метилпиразол; небурон; никосульфурон; нипираклофен; нитралин; нитрофен; нитрофторфен; норфлуразон; орбенкарб; оризалин; оксадиаргил (RP-020630), оксадиазон; оксифторфен; паракват; пебулат; пендиметалин; перфлуидон; фенизофам; фенмедифам; пиклорам; пиперофос; пирибутикарб; пирифеноп-бутил; претилахлор; примисульфурон-метил; проциазин; продиамин; профлуралин; проглиназин-этил; прометон; прометрин; пропахлор; пропанил; пропаквизафоп и его сложные эфиры; пропазин; профам; пропизохлор; пропизамид; просульфалин; просульфокарб; просульфурон (CGA-152005); принахлор; пиразолинат; пиразон; пиразосульфурон-этил; пиразоксифен; пиридат; пиритиобак (КIН-2031); пироксофоп и его сложные эфиры, например пропаргиловый эфир; хинклорак; хинмерак; хинофоп и сложные эфиры на его основе; хизалофоп и хизалофоп-П и сложные эфиры на их основе, например хизалофоп-этил; хизалофоп-П-тефурил и -этил; ренридурон; римсульфурон (DPX-E 9636); S 275 или 2-[5-(пропинилокси)-2-фтор-4-хлорфенил]-4,5,6,7-тетрагидро-2-индазол; секбуметон; сетоксидим; сидурон; симазин; симетрин; SN 106279 или 2-[[7-[4-(трифторметил)-2-хлорфен-окси] -2-нафталенил] -окси]-пропановая кислота и ее метиловый эфир; сульфентразон (FMC-97285, F-6285); сульфазурон; сульфометурон-метил; сульфосат (ICI-A0224); ТСА; тебутам (GCP-5544); тебутиурон; тербацил; тербукарб; тербухлор; тербуметон; тербутилазин; тербутрин; TFH 450 или N, N-ди-этил-3-(6-метил-2-этилфенил-сульфонил)-1Н-1,2,4-триазол-1-карбоксамид; тенилхлор (NSK-850); тиазафлурон; тизопир (Моn-13200); тидиазимин (SN-124085); тифенсульфурон-метил; тиобенкарб; тиокарбазил; тралкоксидим; триаллат; триасульфурон; триазофенамид; трибенурон-метил; триклопир; тридифан; триэтазин; трифлуралин; трифлусульфурон и сложные эфиры (например, метиловый эфир DPX-66037); триметурон; цитодеф; вернолат; WL 110547 или 1-(3-трифторметилфенил)-5-фенокси-1Н-тетразол; UBH-509; D-489; LS 82-556; КРР-300; NC-324; NC-330; KH-218; DPX-N8189; SC-0774; DOWCO-535; DK-8910; V-53482; РР-600; МВН-001; KIH-9201; ET-751; KIH-6127 и KIH-2023. Для непосредственного практического применения поступающие в продажу препаративные формы при необходимости обычным способом разбавляют, например, смачивающиеся порошки, концентраты эмульсий, диспергируемые составы и диспергируемые в воде грануляты разбавляют водой. Дусты, грануляты для внесения в почву и на ее поверхность, а также готовые растворы для опрыскивания перед применением обычно уже не разбавляются больше другими инертными веществами. С изменением внешних условий, таких как температура, влажность, вид применяемого гербицида и т.д., изменяется и норма расхода соответствующих изобретению соединений формулы (А). Она может изменяться в широких пределах, например от 0,001 до 10,0 кг или более активного вещества на гектар, но предпочтительно эта величина лежит в пределах от 0,005 до 5 кг/га. Следующие далее примеры служат для иллюстрации изобретения: А. Примеры препаративных форм а) Дуст получают смешением и измельчением в ударной мельнице 10 весовых частей соединения формулы (Б1) или смеси активных веществ из гербицида формулы (А) и антидота формулы (Б1) и 90 весовых частей талька в качестве инертной составляющей. б) Легко диспергируемый в воде смачивающийся порошок получают смешением и размалыванием в стержневой мельнице 25 весовых частей соединения формулы (Б1) или смеси активных веществ из гербицида формулы (А) и антидота формулы (Б1), 64 весовых частей содержащего каолин кварца в качестве инертной составляющей, 10 весовых частей лигнинсульфокислого калия и 1 весовой части натриевой соли олеоилметилтаурина в качестве смачивателя и диспергатора. в) Легко диспергируемый в воде концентрат дисперсии получают смешением и размалыванием в шаровой мельнице до размера частиц менее 5 микрон 20 весовых частей соединения формулы (Б1) или смеси активных веществ из гербицида формулы (А) и антидота формулы (Б1), 6 весовых частей полигликолевого эфира алкилфенола ( Тритон Х 207), 3 весовых частей полигликолевого эфира изотридеканола (8 ЕО) и 71 весовой части парафинового минерального масла (температура кипения, например, около 255-277oС).
г) Концентрат эмульсии получают из 15 весовых частей соединения формулы (Б1) или смеси активных веществ из гербицида формулы (А) и антидота формулы (Б1), 75 весовых частей циклогексанона в качестве растворителя и 10 весовых частей оксиэтилированного нонилфенола в качестве эмульгатора.
д) Диспергируемый в воде гранулят получают размалыванием в стержневой мельнице:75 весовых частей соединения формулы (Б1) или смеси активных веществ из гербицида формулы (А) и антидота формулы (Б1), 10 ” лигнинсульфокислого кальция, 5 ” лаурилсульфата натрия, 3 ” поливинилового спирта и 7 ” каолина с последующим гранулированием полученного порошка в грануляторе с кипящим слоем с разбрызгиванием воды в качестве гранулирующей жидкости. е) Диспергируемый в воде гранулят получают предварительным измельчением и гомогенизацией в коллоидной мельнице: 25 весовых частей соединения формулы (Б1) или смеси активных веществ из гербицида формулы (А) и антидота формулы (Б1), 5 ” 2,2′-динафтилметан-6,6′-дисульфоната натрия, 2 ” натриевой соли олеоилметилтаурина, 1 ” поливинилового спирта, 17 ” карбоната кальция и 50 ” воды с последующим размолом в шаровой мельнице и высушиванием полученной суспензии разбрызгиванием через форсунку в осушительной башне. Биологические примеры Пример 1 Различные культурные растения выращивают в теплице в пластиковых горшках диаметром 9 см до заданной фазы развития и затем их обрабатывают гербицидом или, соответственно, смесью гербицида и антидота. Гербицид формулы (А) и соединения формул (Б) наносят в виде водных суспензий или, соответственно, эмульсий с расходом воды из расчета 300 л/га. Через четыре недели после обработки проводят визуальную оценку на любой вид повреждений растений нанесенными гербицидами, принимая во внимание главным образом эффект и продолжительность задержки роста. Оценка проводится в процентах по шкале от 0 до 100% по сравнению с необработанными контрольными растениями. Результаты опытов, представленные в табл. 1-3, показывают, что различные соответствующие изобретению антидоты не оказывают отрицательного воздействия на гербицидную активность и позволяют селективно применять гербициды на таких культурах, как пшеница, ячмень и кукуруза. Пример 2 Повторяют пример 1 данной заявки с той лишь разницей, что определяют фитотоксичность в рисовых культурах, при этом применяют средства, состоящие исключительно из активных веществ А8, А10 и известного из заявки ЕР 04922367 активного вещества X, сложного метилового эфира 4-иод-2-[3-(4-метокси-6-метил-1,3,5-триазин-2-ил)-уреидосульфонил] -бензойной кислоты в виде натриевой соли, или средства, содержащие указанные активные вещества и антидот Б1-9. Средства, их доза и результаты опыта сведены в Таблице 4. Пример 3 Растения пшеницы, ячменя и Avena fatua (AVFA) выращивают в теплице (18oС днем, 12oС ночью) в пластиковых горшках диаметром 9 см до стадии 3-4 листьев и затем их обрабатывают известным средством из гербицида, хлоримурон-этила, и антидота, обозначенного в данной заявке как “Б1-1”, а также предлагаемым средством из гербицида А5 или А6 и антидота Б1-1. Все средства наносят в виде водных препаратов с расходом воды из расчета 300 л/га. Через две недели после обработки проводят визуальную оценку на фитотоксичность культурных растений по сравнению с необработанными контрольными растениями, а через четыре недели осуществляют визуальную оценку гербицидного действия в отношении AVFA по сравнению с необработанным контрольным растением. Оценки проводятся в процентах по шкале от 0 до 100%. При этом 0% означает, что повреждение не наблюдалось, а 100% – полная гибель растений. Результаты опытов, представляющие собой средние значения четырех испытаний, сведены в таблице 5. Результаты таблицы 5 свидетельствуют о лучшей активности предлагаемого средства при отсутствии фитотоксичности. Пример 4 Кукурузу и Sorghum halepense (SОНА) выращивают (22oС днем и 16oС ночью) в теплице в пластиковых горшках диаметром 9 см до стадии 4 листьев и затем их обрабатывают известным средством из гербицида хлоримурон-этила и антидота, обозначенного в данной заявке как “Б1-9”, а также предлагаемым средством из гербицида А7, А8, А9 или А13 и антидота Б1-9. Все средства наносят в виде водных препаратов с расходом воды из расчета 300 л/га. Через четыре недели после обработки проводят визуальную оценку на фитотоксичность и гербицидное действие по сравнению с необработанными контрольными растениями. Оценка проводится в процентах по шкале от 0 до 100%. При этом 0% означает, что повреждение не наблюдалось, а 100% – полная гибель растений. Результаты опытов, представляющие собой средние значения четырех испытаний, сведены в таблицу 6. Результаты таблицы 6 свидетельствуют о лучшей активности предлагаемого средства при отсутствии фитотоксичности. Пример 5 Указанные в таблице 7 растения выращивают (18oС днем и 12oС ночью) в теплице в пластиковых горшках диаметром 9 см до стадии 3-4 листьев и затем их обрабатывают известным средством из гербицида хлоримурон-этила и антидота, указанного в данной заявке как “Б1-1”, а также предлагаемым средством из гербицида А10 и антидота Б1 -1. Все средства наносят в виде водных препаратов с расходом воды из расчета 300 л/га. Через две недели после обработки проводят визуальную оценку на фитотоксичность по сравнению с необработанными контрольными растениями, а через 4 недели – на гербицидное действие по сравнению с необработанными контрольными растениями. Оценки проводятся в процентах по шкале от 0 до 100%. При этом 0% означает, что повреждение не наблюдалось, а 100% – полная гибель растений. Результаты опытов, представляющие собой средние значения четырех испытаний, сведены в таблицу 7. Результаты таблицы 7 свидетельствуют о лучшей активности предлагаемого средства при полном или практически полном отсутствии фитотоксичности. Все остальные комбинации из гербицидов вышеприведенной формулы (А) и антидотов вышеприведенной формулы (Б1) обладают аналогичной активностью. Пример 6 Обработка семян Семена кукурузы обрабатывают антидотом Б 1-9, взятым в количестве 4 г/кг семян, и сажают в незащищенный грунт. На гектар приходится 25 кг семян. Обработку гербицидом А8, взятым в количестве 90 г/га, осуществляют после всхода растений в стадии 2-4 листьев, при этом гербицид наносят в виде смеси с 300 л/га воды. Весовое соотношение гербицида к антидоту составляет 1 : 1,11. Через 6 недель после обработки растений проводят визуальную оценку повреждения растений и развития всех надземных частей растений по сравнению с контрольными растениями. Оценка проводится в процентах по шкале от 0 до 100% по сравнению с необработанными контрольными растениями. При этом 0% означает, что растения не повреждены, 50% – 50% растений и зеленые части растений отмерли, а 100% – все растения отмерли. Результаты опытов сведены в таблицу 8. Сравнение результата опыта III с результатами сравнительных опытов свидетельствует о достижении предлагаемым способом синергетического эффекта. Формула изобретения
![]() где W означает атом кислорода; А означает группу формулы CR’R”, где R’ и R” означают атом водорода; Q означает атом кислорода или группу NR6; m равно 0 или 1; R1 означает алкил с числом атомов углерода от одного до шести; R2 означает атом водорода, алкил с числом атомов углерода от одного до шести; R3 означает CO-R11, COOR12, SO2R21, где R11 означает атом водорода, алкил с числом атомов углерода от одного до шести, R12 означает алкил с числом атомов углерода от одного до шести, R21 означает алкил с числом атомов углерода от одного до шести; R5 означает атом водорода; R6 означает атом водорода, алкил с числом атомов углерода от одного до четырех; X1, X2 независимо друг от друга означают алкоксил с числом атомов углерода от одного до шести; Z означает группу СН, а в качестве антидота соединение формулы Б1 ![]() где X’ означает атом галогена; Z’ означает OR7, где R7 означает алкил с числом атомов углерода от одного до восьми; n’ означает целое число 1 или 2; W’ означает ![]() ![]() где R9 означает алкил с числом атомов углерода от одного до восьми; R10 означает алкил с числом атомов углерода от одного до восьми; m’ означает 0, при весовом соотношении соединения А и соединения Б1 от 10:1 до 1:10. 2. Гербицидно-антидотная комбинация по п.1, отличающаяся тем, что R1 означает алкил с числом атомов углерода от одного до шести, R2 означает атом водорода, алкил с числом атомов углерода от одного до четырех, R3 означает CO-R11, CO-OR12, и SO2R21, m равно 0 или 1, R5 означает атом водорода, R11 означает атом водорода, алкил с числом атомов углерода от одного до шести, R12 означает алкил с числом атомов углерода от одного до шести, R21 означает алкил с числом атомов углерода от одного до четырех, X1 и X2 означают алкоксил с числом атомов углерода от одного до двух, Z означает СН-группу. 3. Гербицидно-антидотная комбинация по п.1 или 2, отличающаяся тем, что она представлена в виде препаративной формы (гербицидного средства), содержащей от 0,1 до 99 мас.% активных веществ А и Б1 и от 1 до 99,9 мас.% обычных составляющих препаративных форм. 4. Гербицидно-антидотная комбинация по любому из пп.1-3, отличающаяся тем, что она содержит активные вещества типа А и Б1 в весовом соотношении от 1:2 до 2:1. 5. Способ защиты культурных растений от побочных фитотоксических эффектов гербицидов типа А, отличающийся тем, что на растения, части растений, на семена растений или на посевные площади одновременно с гербицидом наносят эффективное количество антидота типа Б1, причем комбинации из гербицида А и антидота Б1 определены по одному из пп.1-4 и антидот Б1 и гербицид А взяты в весовом соотношении от 1:10 до 10:1, предпочтительно от 1:2 до 2:1. 6. Способ по п.5, отличающийся тем, что культурные растения представлены зерновыми, растениями риса или растениями кукурузы. 7. Способ по п.5 или 6, отличающийся тем, что гербицид А применяют с нормой расхода от 0,001 до 10 кг/га. РИСУНКИ
PD4A – Изменение наименования обладателя патента СССР или патента Российской Федерации на изобретение
(73) Новое наименование патентообладателя:
Адрес для переписки:
Извещение опубликовано: 20.02.2009 БИ: 05/2009
|
||||||||||||||||||||||||||












)n
Тритон Х 207), 3 весовых частей полигликолевого эфира изотридеканола (8 ЕО) и 71 весовой части парафинового минерального масла (температура кипения, например, около 255-277oС).
г) Концентрат эмульсии получают из 15 весовых частей соединения формулы (Б1) или смеси активных веществ из гербицида формулы (А) и антидота формулы (Б1), 75 весовых частей циклогексанона в качестве растворителя и 10 весовых частей оксиэтилированного нонилфенола в качестве эмульгатора.
д) Диспергируемый в воде гранулят получают размалыванием в стержневой мельнице:


