Патент на изобретение №2201926
|
||||||||||||||||||||||||||
(54) ПОЛИЭТИЛЕНГЛИКОЛЕВЫЕ ЭФИРЫ ТОКОФЕРОЛА И СПОСОБ ИХ ПРОМЫШЛЕННОГО ПОЛУЧЕНИЯ
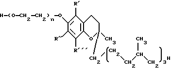
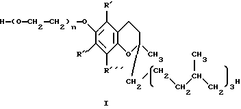
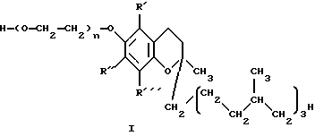
(57) Реферат: Изобретение относится к новым полиэтиленгликолевым эфирам токоферола формулы I, которые могут быть использованы в химии, медицине, косметологии и пищевой промышленности, благодаря их витаминной активности (витамин Е) и водорастворимости, а также к промышленному способу их получения. Этот способ заключается в том, что сложный эфир токоферола подвергают взаимодействию с окисью этилена в присутствии щелочи при температуре 120-150oС, причем окись этилена подают с такой скоростью, чтобы температура реакционной массы оставалась в указанных пределах. Процесс проводят в автоклаве при давлении 1-3 атм и мольном соотношении окиси этилена к токоферолу, равном 25:1-150:1. Технический результат – получение промышленным способом новых водорастворимых производных токоферола, содержащих длинные полиэтиленгликолевые цепочки, благодаря чему стоимость этих продуктов падает, а витаминная активность сохраняется. Использование полиэтиленгликолевых эфиров токоферола позволяет получать водные растворы жирорастворимых препаратов, в частности витаминов. 5 з.п. ф-лы, 1 табл. Изобретение относится к химии, в том числе к бытовой, косметологии, медицине, пищевой промышленности. Изобретение может быть использовано для организации массового выпуска водорастворимых производных токоферола, в частности, полиэтиленгликолевых эфиров токоферола, которые, сохраняя свойства исходных веществ, обладают поверхностной активностью. Такие эфиры могут быть использованы в качестве эмульгаторов, диспергаторов, смачивателей, моющих веществ, пенообразователей, стабилизаторов при получении водных растворов жирорастворимых препаратов: витаминов А, Е, D, F, К и проч.; коэнзимов, например, Q10; красителей; лекарственных препаратов и т.д. Уровень техники Известны полиэтиленгликолевые эфиры токоферола общей формулы ![]() где параметр n принимает значения от нижнего – 25 до верхнего – 100, а R’ – CH3; CH3; H; CH3; CH3; H; H. R” – CH3; H; CH3; CH3; H; CH3; H. R”’ – CH3; CH3; CH3; H; H; H; CH3. Токоферолы ; ; ; ; ; ; ,и способ его получения, заключающийся в том, что в рабочей емкости в условиях высоких температуры и давления в присутствии щелочи проводят оксиэтилирование токоферолов (патент US 5235073). Данное вещество, а соответственно, и способ его промышленного получения имеют широкий спектр применения в указанных областях. Однако, для решения ряда практических задач, например, для повышения пенообразующей способности, необходимы соединения, содержащие более длинные полиэтиленгликолевые цепочки. При этом указанный способ пригоден лишь для лабораторных условий. Это объясняется тем, что используемое исходное сырье, стабильно поддающееся оксиэтилированию, неустойчиво. Также он не позволяет получать стабильный выход готового продукта при низком качестве исходного сырья. Сущность изобретения Задача группы изобретений – получение полиэтиленгликолевых эфиров токоферола, содержащих длинные полиэтиленгликолевые цепочки, и разработка способа их промышленного производства. Технический результат использования изобретений заключается, с одной стороны, в повышении пенообразующей способности полиэтиленгликолевых эфиров токоферола, а с другой – в расширении номенклатуры исходного сырья – использовании широко распространенных (доступных) материалов, использовании материалов, допускающих хранение при нормальных условиях на открытом воздухе, и снижении трудоемкости производства целевого продукта: исключении затрат времени на межоперационные мероприятия (транспортировку, загрузку, контроль и проч. ), сокращении затрат времени на задание рабочих режимов (температуры и давления), повышении выхода целевого продукта. Заявляемый технический результат достигается следующим. Полиэтиленгликолевые эфиры токоферола формулы 1 имеют следующий вид ![]() где параметр n принимает значения от нижнего – 101 до верхнего – 150, и см. таблицу к формуле I. В способ получения полиэтиленгликолевого эфира токоферола формулы I, заключающийся в том, что используют сложный эфир токоферола, щелочь и окись этилена, введен следующий отличительный признак: сложный эфир токоферола и щелочь загружают в автоклав, после чего реакционную смесь нагревают до 120-150oС и затем, для предотвращения быстрого окисления токоферола, подают окись этилена с такой скоростью, чтобы температура реакционной массы оставалась в указанных пределах. Окись этилена берут в мольном отношении к токоферолу 25:1-150:1. В автоклаве поддерживают давление в пределах 1,0-3,0 атм. Полученный продукт растворяют в этаноле, нейтрализуют фосфорной кислотой и фильтруют, после чего растворитель отгоняют под вакуумом. Очистку полученного продукта от солей проводят методом электродиализа. Сведения, подтверждающие возможность осуществления изобретения Заявляемая группа изобретений может быть реализована, например, следующим образом. В рабочей емкости в условиях высоких температуры и давления в присутствии щелочи проводят оксиэтилирование токоферола, который в той же емкости непосредственно перед его оксиэтилированием получают деацилированием сложного эфира токоферола. При этом для проведения деацилирования используют 11,7..13,2 или 11,5.. 13,0% щелочи от загрузки токоферола, тогда как для проведения оксиэтилирования, соответственно 0,3..0,5%. Щелочь в рабочую емкость загружают одновременно с исходным сырьем. Окись этилена с контролируемой скоростью подают в рабочую емкость по мере протекания реакции деацилирования в мольном отношении к токоферолу 25:1.. 150:1. При оксиэтилировании температуру реакционной массы поддерживают в пределах 120..180oС, а давление в рабочей емкости в пределах 1..3 атм. Скорость подачи окиси этилена согласовывают с определяющей требуемое ее количество в рабочей емкости скоростью протекания реакции деацилирования, т. е. с количеством имеющегося в емкости токоферола. Полученный продукт растворяют в этаноле, нейтрализуют фосфорной кислотой и фильтруют, после чего растворитель отгоняют под вакуумом. Очистку полученного продукта от солей могут проводить и методом электродиализа. Полученное соединение представляет собой полиэтиленгликолевые эфиры токоферола формулы I (см. табл. к формуле I) ![]() где параметр n принимает значения от нижнего – 101 до верхнего – 150, и см. таблицу к формуле I. Возможность получения предлагаемых соединений подтверждается следующими примерами, но не ограничивается ими. Пример 1. В автоклав вместимостью 1 л загружают 47,2 г альфа-токоферола ацетата и едкий калий в количестве 0,4 г. Реакционную смесь нагревают до 140-150oС и подают окись этилена с такой скоростью, чтобы температура реакционной массы оставалась в тех же пределах, а давление не превышало 1-3 атм. После добавления 484,0 г окиси этилена (соотношение токоферол: окись этилена равно 1:110) реакционную массу охлаждают. Полученный продукт растворяют в этаноле, нейтрализуют фосфорной кислотой до рН 7,2-7,4 и фильтруют. Растворитель отгоняют под вакуумом. Получают 442 г целевого продукта (в химической формуле n=110). Выход 84% от теоретического. Характеристика продукта: УФ-спектр (растворитель этанол) max 1=206 нм, max 2=288 нм. Тпл. = 83-87oС.
Пример 2. Целевой продукт получают, как описано в примере 1, но берут альфа-токоферола ацетат и окись этилена в мольном соотношении 1 : 145, а КОН в количестве 0,4 г. Очистку полученного продукта от солей проводят методом электродиализа (Патент РФ 2139294, кл. С 08 В 31/08, 10.10.99). Получают 949,30 г целевого продукта (в химической формуле n = 145). Выход 81% от теоретического.
Характеристика продукта: УФ-спектр (растворитель – этанол) max 1=206 нм, max 2=288 нм. Т.пл. 87-93oС.
Пример 3. Целевой продукт получают, как описано в примере 1, но берут 7,84 г бета-токоферола ацетата и 94,05 г окиси этилена (мольное соотношение 1: 125), а КОН в количестве 0,04 г. Получают 81,5 г целевого продукта (в химической формуле n=125). Выход 80% от теоретического.
Характеристка продукта: УФ-спектр (растворитель – этанол) max 1=206 нм, max 2=292 нм. Тпл. = 43-50oС.
Таким образом, предлагаемое изобретение позволяет получать полиэтиленгликолевые эфиры токоферола, которые являются водорастворимыми простыми эфирами, сохраняющими витаминную активность исходного ацетат токоферола. Использование полиэтиленовых эфиров токоферола позволяет получать водные растворы жирорастворимых препаратов, в частности витаминов.
Формула изобретения
РИСУНКИ
PD4A – Изменение наименования обладателя патента Российской Федерации на изобретение
(73) Новое наименование патентообладателя:
Извещение опубликовано: 27.10.2004 БИ: 30/2004
|
||||||||||||||||||||||||||


;
;
;
;
;
;
,

max 1=206 нм,