Патент на изобретение №2201566
|
||||||||||||||||||||||||||
(54) УСТАНОВКА МИКРОВОЛНОВАЯ ДЛЯ СУШКИ СЫПУЧИХ МАТЕРИАЛОВ
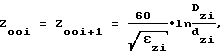
(57) Реферат: Установка микроволновая для сушки сыпучих материалов относится к устройствам сушки сыпучих материалов (семян подсолнечника, зерна и т.п.). Установка содержит вертикальную сушильную камеру 1, снабженную загрузочным и расположенным в ее нижней части разгрузочными устройствами 2, 3 с бункерами, подключенные к камере СВЧ-генератор 9 с устройством связи и нагнетательный вентилятор 6. Новым в установке является то, что в состав сушильной камеры введены полости 16, 8 поддува и отсоса, кожух над СВЧ-генератором 9 с входным и выходным патрубками, инжектор 10 с двумя входами и одним выходом, циклон 11, разветвитель 12 воздуха с одним входом и двумя выходами, причем сушильная камера 1 имеет прямоугольную форму и сужающуюся нижнюю часть с перфорированными стенками с разгрузочным устройством в виде шнека с приводом, заключенную в кожух, образующий камеру поддува, загрузочное устройство, выполненное в виде труб с клапанами, опущенными внутрь сушильной камеры на 0,1 – 0,15 высоты камеры, образующими полость отсоса над материалом, СВЧ-генератор 9 выполнен из множества (более 2) магнетронов с индивидуальными источниками питания и устройствами связи, расположенными под кожухом равномерно на боковых поверхностях сушильной камеры, при этом выходной патрубок кожуха над СВЧ-генератором 9 соединен со входом вентилятора 6, выход которого соединен со входом разветвителя 12 воздуха, один выход которого соединен с камерой 16 поддува, а второй – с первым входом инжектора 10, второй вход которого соединен с воздушной полостью над материалом, а выход инжектора соединен со входом циклона 11. Изобретение должно обеспечить повышение кпд и улучшение экологической обстановки. 2 ил. Изобретение относится к устройствам сушки сыпучих материалов (семян подсолнечника, зерна и т.п.). Известна сушилка (аналог) для сверхвысокочастотной сушки сыпучих материалов (см. АС 1816943, кл. F 26 В 3/347, 18.12.89), содержащая вертикальную камеру нагрева, выполненную в виде внешнего и внутреннего конусных проводников, образующих между собой обогреваемую шахту для перемещения высушиваемого материала. По оси внутреннего конусного проводника установлен воздушный коллектор и оба конусных проводника снабжены системой поярусно расположенных радиальных каналов, которые во внутреннем проводнике сообщены с воздушным коллектором, а во внешнем – с атмосферой, при этом внутренний диаметр внешнего и наружный диаметр внутреннего конусных проводников в любом сечении выполнены в соответствии с равенством волновых сопротивлений, определяемых по формуле ![]() где Zooi – волновое сопротивление камеры в i-м сечении; Zooi+1 – волновое сопротивление камеры нагрева в (i+1)-м сечении; zi – эквивалентная диэлектрическая проницаемость среды внутри камеры в ее i-м сечении; Dzi – диаметр внешнего проводника камеры в ее i-м сечении; dzi – диаметр внутреннего проводника камеры в ее (i+1) сечении.
Недостатком данной сушилки является низкий коэффициент полезного действия из-за продувки холодным атмосферным воздухом и потерь тепла, получаемого при охлаждении СВЧ-генератора.
Наиболее близким по технической сущности к предлагаемому является установка для сушки сыпучих материалов (см. АС 1522006, кл. F 26 В 3/347, 10.03.87 – прототип), содержащая вертикальную сушильную камеру в виде волновода, снабженную загрузочным и расположенным в ее нижней части разгрузочным устройствами с бункерами, подключенные к камере СВЧ-генератор с устройством связи и нагнетательный вентилятор, приемник утилизатор СВЧ-энергии со своим устройством связи, подключенным к нижней части камеры, а разгрузочное устройство выполнено в виде тройника с перекидным клапаном и подсоединено к нагнетательной стороне вентилятора.
Недостатком прототипа являются недостаточный кпд и плохая экологическая обстановка.
Причиной указанных недостатков является то, что передача энергии СВЧ-излучения высушиваемому материалу, находящемуся во взвешенном разрыхленном состоянии, происходит неэффективно, а использование остаточной СВЧ-энергии для нагрева воды в утилизаторе, а затем подогрева воздуха этой водой посредством радиатора приводит к дальнейшим потерям тепла из-за низкого кпд этого дополнительного устройства. Кроме того, не используется тепло, выделяемое при работе генератора СВЧ.
Отсутствие устройств очистки воздуха, продуваемого через высушиваемый материал, приводит к ухудшению экологической обстановки.
Задачей, на решение которой направлено заявляемое устройство, состоит в повышении кпд и улучшении экологической обстановки.
Поставленная задача решается за счет того, что в известную установку для сушки сыпучих материалов, содержащую вертикальную сушильную камеру, снабженную загрузочным и расположенным в ее нижней части разгрузочным устройствами с бункерами, подключенные к камере СВЧ-генератор с устройством связи и нагнетательный вентилятор, дополнительно в состав сушильной камеры введены полости поддува и отсоса, кожух над СВЧ-генераторами с входным и выходным патрубками, инжектор с двумя входами и одним выходом циклон, разветвитель воздуха с одним входом и двумя выходами, причем сушильная камера имеет прямоугольную форму и сужающуюся нижнюю часть перфорированными стенками с разгрузочным устройством в виде шнека с приводом, заключенную в кожух, образующий камеру поддува, загрузочное устройство, выполненное в виде труб с клапанами, опущенными внутрь сушильной камеры на 0,1-0,15 высоты камеры, образующими полость отсоса над материалом, СВЧ-генератор выполнен из множества (более двух) маломощных магнетронов с индивидуальными источниками питания и устройством связи, расположенным под кожухом равномерно на боковых поверхностях сушильной камеры, при этом выходной патрубок кожуха над СВЧ-генератором соединен со входом вентилятора, выход которого соединен со входом разветвителя воздуха, один выход которого соединен с камерой поддува; а второй – с первым входом инжектора, второй вход которого соединен с воздушной полостью над материалом, а выход инжектора соединен со входом циклона.
На чертеже схематически изображена предлагаемая установка в двух проекциях (фиг. 1 и 2).
Установка содержит сушильную камеру 1, загрузочное устройство 2, разгрузочное устройство 3 в виде шнека 13 с приводом 14, загрузочный 4 и разгрузочный 5 бункеры, вентилятор 6, магнетроны с источниками питания 7, полость отсоса 8, кожух под СВЧ-генераторами 9 с входным 17 и выходным 18 патрубками, инжектор 10, циклон 11.
Установка работает следующим образом.
Сушильная камера 1 заполняется материалом из загрузочного бункера 4 с помощью загрузочных устройств 2 с клапанами 15. В сушильной камере 1 материал нагревается СВЧ-энергией, вырабатываемой СВЧ-генераторами 9, и под собственным весом опускается к разгрузочному устройству 3, где разгружается с помощью шнека 13 с приводом 14 в бункер 5.
В процессе нагрева материал продувается подогретым воздухом вентилятором 6. При этом воздух засасывается под кожух над СВЧ-генераторами 9 через патрубок 17, нагревается, охлаждая СВЧ-генераторы, и подается в камеру поддува 16 и через перфорацию в материал. Часть нагнетаемого вентилятором воздуха отводится разветвителем 12 и поступает в инжектор 10, где выполняет две функции: создает разрежение в камере отсоса, улучшая продувку, и закручивает воздух в циклоне 11, улучшая отделение твердых частиц.
Формула изобретения
РИСУНКИ
MM4A Досрочное прекращение действия патента Российской Федерации на изобретение из-за неуплаты в установленный срок пошлины за поддержание патента в силе
Дата прекращения действия патента: 05.09.2003
Извещение опубликовано: 20.11.2004 БИ: 32/2004
|
||||||||||||||||||||||||||


zi – эквивалентная диэлектрическая проницаемость среды внутри камеры в ее i-м сечении; Dzi – диаметр внешнего проводника камеры в ее i-м сечении; dzi – диаметр внутреннего проводника камеры в ее (i+1) сечении.
Недостатком данной сушилки является низкий коэффициент полезного действия из-за продувки холодным атмосферным воздухом и потерь тепла, получаемого при охлаждении СВЧ-генератора.
Наиболее близким по технической сущности к предлагаемому является установка для сушки сыпучих материалов (см. АС 1522006, кл. F 26 В 3/347, 10.03.87 – прототип), содержащая вертикальную сушильную камеру в виде волновода, снабженную загрузочным и расположенным в ее нижней части разгрузочным устройствами с бункерами, подключенные к камере СВЧ-генератор с устройством связи и нагнетательный вентилятор, приемник утилизатор СВЧ-энергии со своим устройством связи, подключенным к нижней части камеры, а разгрузочное устройство выполнено в виде тройника с перекидным клапаном и подсоединено к нагнетательной стороне вентилятора.
Недостатком прототипа являются недостаточный кпд и плохая экологическая обстановка.
Причиной указанных недостатков является то, что передача энергии СВЧ-излучения высушиваемому материалу, находящемуся во взвешенном разрыхленном состоянии, происходит неэффективно, а использование остаточной СВЧ-энергии для нагрева воды в утилизаторе, а затем подогрева воздуха этой водой посредством радиатора приводит к дальнейшим потерям тепла из-за низкого кпд этого дополнительного устройства. Кроме того, не используется тепло, выделяемое при работе генератора СВЧ.
Отсутствие устройств очистки воздуха, продуваемого через высушиваемый материал, приводит к ухудшению экологической обстановки.
Задачей, на решение которой направлено заявляемое устройство, состоит в повышении кпд и улучшении экологической обстановки.
Поставленная задача решается за счет того, что в известную установку для сушки сыпучих материалов, содержащую вертикальную сушильную камеру, снабженную загрузочным и расположенным в ее нижней части разгрузочным устройствами с бункерами, подключенные к камере СВЧ-генератор с устройством связи и нагнетательный вентилятор, дополнительно в состав сушильной камеры введены полости поддува и отсоса, кожух над СВЧ-генераторами с входным и выходным патрубками, инжектор с двумя входами и одним выходом циклон, разветвитель воздуха с одним входом и двумя выходами, причем сушильная камера имеет прямоугольную форму и сужающуюся нижнюю часть перфорированными стенками с разгрузочным устройством в виде шнека с приводом, заключенную в кожух, образующий камеру поддува, загрузочное устройство, выполненное в виде труб с клапанами, опущенными внутрь сушильной камеры на 0,1-0,15 высоты камеры, образующими полость отсоса над материалом, СВЧ-генератор выполнен из множества (более двух) маломощных магнетронов с индивидуальными источниками питания и устройством связи, расположенным под кожухом равномерно на боковых поверхностях сушильной камеры, при этом выходной патрубок кожуха над СВЧ-генератором соединен со входом вентилятора, выход которого соединен со входом разветвителя воздуха, один выход которого соединен с камерой поддува; а второй – с первым входом инжектора, второй вход которого соединен с воздушной полостью над материалом, а выход инжектора соединен со входом циклона.
На чертеже схематически изображена предлагаемая установка в двух проекциях (фиг. 1 и 2).
Установка содержит сушильную камеру 1, загрузочное устройство 2, разгрузочное устройство 3 в виде шнека 13 с приводом 14, загрузочный 4 и разгрузочный 5 бункеры, вентилятор 6, магнетроны с источниками питания 7, полость отсоса 8, кожух под СВЧ-генераторами 9 с входным 17 и выходным 18 патрубками, инжектор 10, циклон 11.
Установка работает следующим образом.
Сушильная камера 1 заполняется материалом из загрузочного бункера 4 с помощью загрузочных устройств 2 с клапанами 15. В сушильной камере 1 материал нагревается СВЧ-энергией, вырабатываемой СВЧ-генераторами 9, и под собственным весом опускается к разгрузочному устройству 3, где разгружается с помощью шнека 13 с приводом 14 в бункер 5.
В процессе нагрева материал продувается подогретым воздухом вентилятором 6. При этом воздух засасывается под кожух над СВЧ-генераторами 9 через патрубок 17, нагревается, охлаждая СВЧ-генераторы, и подается в камеру поддува 16 и через перфорацию в материал. Часть нагнетаемого вентилятором воздуха отводится разветвителем 12 и поступает в инжектор 10, где выполняет две функции: создает разрежение в камере отсоса, улучшая продувку, и закручивает воздух в циклоне 11, улучшая отделение твердых частиц.