Патент на изобретение №2201420
|
||||||||||||||||||||||||||
(54) НИТРИЛЫ ДИПЕПТИДОВ
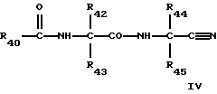
(57) Реферат: Изобретение относится к группе новых индивидуальных соединений формулы I ![]() где R обозначает необязательно замещенный арил, арил(низш.)алкил, (низш.)алкенил, (низш.)алкинил или N-содержащий гетероциклил; R2 и R3 каждый независимо друг от друга обозначает водород или необязательно замещенный (низш.)алкил, арил(низш.)алкил, циклоалкил(низш.)алкил или R2 и R3 совместно обозначают (низш. )алкилен таким образом, что вместе с атомом углерода, с которым они связаны, образуется кольцо; R4 и R5 каждый независимо друг от друга обозначает Н или необязательно замещенный (низш.)алкил, арил(низш. )алкил или R4 и R5 совместно обозначают (низш.)алкилен таким образом, что вместе с атомом углерода, с которым они связаны, образуется кольцо, или R4 обозначает Н, R5 обозначает заместитель формулы -Х2-Ar-Z, где X2 обозначает С2-С7алкилен, содержащий в цепи О, S или СОN, Ar обозначает арилен, Z обозначает карбоксил или этерифицированный карбоксил; X1 обозначает -С(О)- или -S(О)2-, Y обозначает кислород, L обозначает необязательно замещенный -Het-, -Het-CH2– или -СН2-Неt-, где Het обозначает гетероатом, выбранный из О и N, и х обозначает 0 или 1; а арилом в вышеприведенных определениях обозначен карбоциклический или гетероциклический арил, его физиологически приемлемый и расщепляемый сложный эфир или соль; трет-способом получения соединений формулы I по п. 1. Описываемые соединения являются эффективными ингибиторами цистеинкатепсинов. 5 с. и 5 з.п. ф-лы, 11 табл. Текст описания в факсимильном виде (см. графическую часть). Формула изобретения
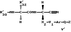
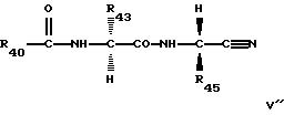
![]() где R обозначает необязательно замещенный арил, арил (низш. )алкил, (низш. )алкенил, (низш. )алкинил или N-содержащий гетероциклил; R2 и R3 каждый независимо друг от друга обозначает водород или необязательно замещенный (низш. )алкил, арил(низш. )алкил, циклоалкил (низш. ) алкил или R2 и R3 совместно обозначают (низш. )алкилен таким образом, что вместе с атомом углерода, с которым они связаны, образуется кольцо; R4 и R5 каждый независимо друг от друга обозначает Н или необязательно замещенный (низш. )алкил, арил (низш. )алкил или R4 и R5 совместно обозначают (низш. )алкилен таким образом, что вместе с атомом углерода, с которым они связаны, образуется кольцо, или R4 обозначает Н, R5 обозначает заместитель формулы -Х2-Ar-Z, где X2 обозначает С2-С7 алкилен, содержащий в цепи О, S или СОN, Ar обозначает арилен, Z обозначает карбоксил или этерифицированный карбоксил; X1 обозначает -С(О)- или -S(О)2-; Y обозначает кислород; L обозначает необязательно замещенный -Het-, -Het-CH2– или -СН2-Неt-, где Het обозначает гетероатом, выбранный из О и N; х обозначает 0 или 1; арилом в вышеприведенных определениях обозначен карбоциклический или гетероциклический арил, его физиологически приемлемый и расщепляемый сложный эфир или соль. 2. Соединение формулы II по п. 1 ![]() где R20 обозначает необязательно замещенный арил или N-замещенный гетероциклил; R22 и R23 совместно с атомом углерода, с которым они связаны, образуют необязательно замещенную циклоалкильную группу; R24 и R25 каждый независимо друг от друга обозначает Н или необязательно замещенный (низш. )алкил, арил(низш. )алкил или R24 и R25 совместно с атомом углерода, с которым они связаны, образуют необязательно замещенную циклоалкильную группу; Х1 обозначает -С(О)-; L’ обозначает необязательно замещенный -Неt-СН2– или -СН2-Неt, где Het обозначает гетероатом, выбранный из О и N; х обозначает 1 или 0, его фармацевтически приемлемый и расщепляемый сложный эфир или соль. 3. Соединение формулы III ![]() где R30 обозначает ацильную группу, дериватизированную из органической карбоновой или сульфоновой кислоты; R32 и R33 каждый независимо друг от друга обозначает водород, арил (низш. )алкил; R34 обозначает водород или (низш. )алкил; X2, Ar и Z имеют значения, указанные в п. 1, а также его физиологически приемлемые соли и сложные эфиры. 4. Соединение формулы IV по п. 1 ![]() где R40 обозначает замещенный фенил или гетероциклический арил, моно- или дикарбоциклический или гетероциклический арил(низш. )алкил или (низш. )алкенил или N-содержащий гетероциклил; R42 обозначает водород или (низш. )алкил; R43 обозначает карбоциклический или гетроциклический арил(низш. )алкил; R44 и R45 каждый независимо друг от друга обозначает водород или (низш. )алкил или R44 и R45 совместно обозначают (низш. )алкилен, а также его физиологически приемлемые соли и сложные эфиры. 5. Соединение по п. 2 формулы V ![]() в которых символы имеют значения, указанные в п. 1, и его физиологически приемлемые и расщепляемые сложные эфиры и соли. 6. Соединение по п. 3, формулы V’ ![]() в которых символы имеют значения, указанные в п. 3, и его физиологически приемлемые и расщепляемые сложные эфиры и соли. 7. Соединение по п. 4 формулы V” ![]() в которых символы имеют значения, указанные в п. 4, и его физиологически приемлемые и расщепляемые сложные эфиры и соли. 8. Способ получения соединения формулы I по п. 1, включающий превращение амида формулы VI ![]() в которой R, R2, R3, R4, R5, L, X1, и х имеют значения, указанные в п. 1, в нитрил формулы I, причем при необходимости предусмотрена временная защита всех препятствующих реакционноспособных групп с последующим выделением образующегося соединения по изобретению, а также при необходимости превращение любого образующегося соединения в другое соединение по изобретению и/или при необходимости превращение образующегося соединения в соль или образующейся соли в свободную кислоту, основание или другую соль. 9. Способ получения соединения формулы I по п. 1, включающий реакцию конденсации соединения формулы VII ![]() в которой R4 и R5 имеют значения, указанные в п. 1, с кислотой формулы VIII ![]() в которой R, R2, R3, L, X и х имеют значения, указанные в п. 1, если с ее реакционноспособным производным, причем при необходимости предусмотрена временная защита всех препятствующих реакционноспособных групп с последующим выделением образующегося соединения по изобретению, а также при необходимости превращение любого образующегося соединения в другое соединение по изобретению и/или при необходимости превращение образующегося соединения в соль или образующейся соли в свободную кислоту, основание или другую соль. 10. Способ получения соединения формулы I по п. 1, включающий реакцию конденсации соединения формулы Ia ![]() в которой R2, R3, R4 и R5 имеют значения, указанные в п. 1, с кислотой, которая соответствует группе R-[L] x-X1-, или с ее реакционноспособным производным, причем при необходимости предусмотрена временная защита всех предыдущих реакционноспособных групп с последующим выделением образующего соединения по изобретению, а также при необходимости превращение образующегося соединения в другое соединение по изобретению и/или необходимости превращения образующегося соединения в соль или образующейся соли в свободную кислоту, основание или другую соль. РИСУНКИ
|
||||||||||||||||||||||||||












