Патент на изобретение №2201418
|
||||||||||||||||||||||||||
(54) ПРОИЗВОДНЫЕ АМИНОФЕНИЛКЕТОНА И СПОСОБ ИХ ПОЛУЧЕНИЯ
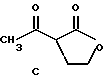
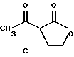
(57) Реферат: Изобретение относится к производным аминофенилкетона формулы I ![]() где R представляет фенил, замещенный С1-С6 алкилом; R1 представляет водород; Х представляет -(CH2)3-Y, циклопропил или тетрагидро-2-оксо-3-фуроил; Y представляет хлор, бром или гидрокси, или к их кислотно-аддитивным солям. Соединения I являются промежуточными для полуряда соединений, например, способ получения соединения формулы А ![]() включает взаимодействие соединения формулы В ![]() с соединением формулы С ![]() в присутствии основания и органического растворителя с образованием смеси, включающей соединение формулы Е ![]() выделение соединения Е путем гидролиза или кристаллизации, взаимодействие соединения Е с концентрированной НСl в присутствии органического растворителя с образованием соединения формулы F ![]() обработку соединения F водным раствором основания при повышенной температуре, выделение соединения формулы G ![]() где в формулах Е, F, G радикалы R и R1 – такие, как определено в п.1, обработку соединения G сильной кислотой, выделение соединения формулы Н ![]() и взаимодействие соединения формулы Н с HCl с образованием соединения формулы А. Полученные промежуточные соединения используют для получения гербицидных сульфамоилмочевин. 2 с. и 5 з.п.ф-лы. Изобретение относится к производным о-аминофенилкетона формулы I ![]() где R, R1 и X – такие, как указано ниже. Соединения формулы I полезны в качестве промежуточных продуктов при получении широкого спектра гербицидных производных сульфамоилмочевины и, в частности, при производстве избирательного по отношению к сельскохозяйственным культурам гербицида 1-{[о-(циклопропилкарбонил)фенил]сульфамоил}-3-(4,6-диметокси-2-пиримидинил)мочевины. Предлагается также способ получения указанного промежуточного соединения формулы I. В соответствии с настоящим изобретением предлагается соединение формулы I ![]() где R представляет неразветвленный или разветвленный C1-C6 алкил или фенил, необязательно замещенный C1-С3 алкилом, C1-С3 алкокси, хлором или бромом; R1 представляет водород, циано, нитро, галоген, формил, C1-C4 алкил, необязательно замещенный одной или несколькими группами, представляющими собой галоген, C1-С3 алкокси, C1-С3 алкилтио, C1-С3 алкилсульфинил или C1-С3 алкилсульфонил, C1-С4 алкокси, необязательно замещенный одной или несколькими группами, представляющими собой галоген, C1-С3 алкокси, C1-С3 алкилтио, C1-С3 алкилсульфинил или C1-С3 алкилсульфонил, C1-С4 алкилтио, необязательно замещенный одной или несколькими группами, представляющими собой галоген, C1-С3 алкокси, C1-С3 алкилтио, C1-С3 алкилсульфинил или C1-С3 алкилсульфонил, C1-С4 алкилсульфинил, необязательно замещенный одной или несколькими группами, представляющими собой: галоген, C1-С3 алкокси, C1-С3 алкилтио, C1-С3 алкилсульфинил или C1-С3 алкилсульфонил, C1-С4 алкилсульфонил, необязательно замещенный одной или несколькими группами, представляющими собой галоген, C1-С3 алкокси, C1-С3 алкилтио, C1-С3 алкилсульфинил или C1-С3 алкилсульфонил, C1-С4 алкилкарбонил, необязательно замещенный одной или несколькими группами, представляющими собой галоген, C1-С3 алкокси, C1-С3 алкилтио, C1-С3 алкилсульфинил или C1-С3 алкилсульфонил, C1-С4 алкоксикарбонил, необязательно замещенный одной или несколькими группами, представляющими собой галоген или C1-С3 алкокси, ди(C1-С4 алкил)амино, необязательно замещенный одной или несколькими группами, представляющими собой галоген или C1-С3 алкокси, ди(C1-С4 алкил)аминокарбонил, необязательно замещенный одной или несколькими группами, представляющими собой галоген или C1-С3 алкокси, ди(C1-С4 алкил)аминосульфонил, необязательно замещенный одной или несколькими группами, представляющими собой галоген или C1-С3 алкокси, или гетероциклическое кольцо, имеющее 2-6 атомов углерода и 1-3 атома азота, кислорода или серы и являющееся необязательно замещенным у атомов углерода одной или несколькими группами, представляющими собой галоген, C1-С4 алкил или C1-С4 галогеналкил; Х представляет -(СН2)3-Y, циклопропил или тетрагидро-2-оксо-3-фуроил и Y представляет хлор, бром или гидрокси, или его кислотно-аддитивная соль. В соответствии с настоящим изобретением предлагается также способ получения соединения формулы А ![]() где R1 – такой, как определено в п.1, включающий следующие стадии: i) взаимодействия соединения формулы В ![]() где R и R1 – такие, как определено в п.1, с соединением формулы С ![]() в присутствии основания и органического растворителя с образованием смеси, содержащей соединение формулы Е ![]() ii) выделения соединения Е путем гидролиза или кристаллизации; iii) взаимодействия соединения Е с концентрированной НСl в присутствии органического растворителя с образованием соединения формулы F ![]() iv) обработки соединения F водным раствором основания при повышенной температуре; v) выделения соединения формулы G ![]() vi) обработки соединения G сильной кислотой; vii) выделения соединения формулы Н ![]() viii) и взаимодействия соединения формулы Н с НСl с образованием соединения формулы А. Соединение А, где R1 представляет водород, т.е. 1-(о-аминофенил)-4-хлор-1-бутанонгидрохлорид, используют для получения гербицидного промежуточного продукта – о-(аминофенил)циклопропилкетона. Описание о-(аминофенил)циклопропилкетона и применения его в производстве гербицида 1-{ [о-(циклопропилкарбонил)фенил] сульфамоил} -3-(4,6-диметокси-2-пиримидинил)мочевины приведено в известном уровне техники. Настоящее изобретение позволяет избежать использования в качестве промежуточного соединения о-нитробензоилхлорида, которое является взрывчатым веществом. Основанием, используемым на стадии i), может быть C1-C4 алкоксид (алкоголят) магния, предпочтительно легко доступный, такой как метилат магния или этилат магния. Органическим растворителем, используемым на стадии i), может быть ароматический углеводород или диалкиловый эфир, такой как толуол, ксилол или тетрагидрофуран. Органическим растворителем, используемым на стадии iii) для получения соединения F, может быть инертный органический растворитель, такой как толуол или ксилол, а кислотой, используемой на стадии iii), может быть минеральная кислота, такая как концентрированная НСl. Основанием, используемым на стадии iv) для получения соединения G, может быть гидроксид щелочного металла, такой как гидроксид натрия или гидроксид калия. Повышенная температура на стадии iv) может представлять собой любую температуру выше 25oС, предпочтительно примерно 90-130oС. В качестве сильной кислоты, используемой на стадии vi) для получения соединения Н, может служить серная кислота. Кислотой, используемой для получения соединения А на стадии viii), может быть минеральная кислота, такая как концентрированная НСl. Соединения по настоящему изобретению могут быть использованы для получения гербицидных соединений (К) сульфамоилмочевины путем использования способа по настоящему изобретению для получения соединения формулы А и превращения этих соединений формулы А в соответствующие о-(аминофенил)циклопропилкетоны (J) традиционными способами, описанными в уровне техники, с превращением указанных фенилкетонов в целевые гербицидные продукты сульфамоилмочевины, предпочтительно в избирательную по отношению к зерновым культурам гербицидную сульфамоилмочевину, 1-{[о-(циклопропилкарбонил)фенил] сульфамоил} -3-(4,6-диметокси-2-пиримидинил)мочевину. Превращение производных фенилкетона в сульфамоилмочевинные гербициды может быть осуществлено известными способами. Получение показано на схеме технологического процесса, приведенной в конце описания. Способом по настоящему изобретению соединение формулы А получают так, как описано выше, и обычными методами дегидрогалогенирования преобразуют в о-(аминофенил)циклопропилкетон формулы J, который в свою очередь может быть подвергнут взаимодействию с 2-аминоарилом формулы L и хлорсульфонилизоцианатом в присутствии триэтиламина и растворителя с получением целевой гербицидной сульфамоилмочевины формулы К. Далее изобретение проиллюстрировано примерами, которые не следует рассматривать как ограничивающие изобретение. Термины ЯМР и МС означают спектроскопию магнитного резонанса на ядрах протона и масс-спектрометрию соответственно. ПРИМЕР 1 Получение -2′-(тетрагидро-2-оксо-3-фуроил)-п-толуолсульфонанилида (см. схему к примеру 1). К смеси 40 мл толуола и 2,03 г (178 ммоль) этоксида (этилата) магния в колбе под азотом при 5-10oС добавляют 4,6 г (36 ммоль) 2-ацетилбутиролактона в течение 2 минут. Полученную суспензию перемешивают 10 минут при 5-10oС и еще примерно 1,5 часа при 20oС. Реакционную смесь обрабатывают раствором 10,0 г (32 ммоль) N-п-толилсульфонилантраноилхлорида в 20 мл толуола, перемешивают несколько часов при температуре окружающей среды и примерно 2 часа при 45-50oС. Добавляют воду (120 мл) и серую суспензию перемешивают в течение примерно 4 часов при 65-70oС. Концентрированной серной кислотой доводят рН до 1. Разделяют фазы и органический слой фильтруют с получением 7,6 г 2′-(тетрагидро-2-оксо-3-фуроил)-п-толуолсульфонанилида. Остальной продукт извлекают из фильтрата органического слоя путем концентрирования в вакууме, в результате которого получают еще 2,1 г продукта с общим (суммарным) выходом 83% (т. пл. 138-141oС). Продукт идентифицируют методами ЯМР- и МС-анализов. ПРИМЕР 2 Получение 2′-(циклопропилкарбонил)-п-толуолсульфонанилида (см. схему к примеру 2). Двухфазную суспензионную смесь 3,56 г (1,0 ммоль) продукта из примера 1, 25 мл толуола и 20 мл 37%-ной НСl нагревают с обратным холодильником в течение примерно 12 часов, охлаждают и полученную суспензию фильтруют с получением 1,98 г 4-хлор-1-(2-N-тозиламинофенил)-1-бутанона. Разделяют фазы фильтрата и водную фазу экстрагируют толуолом. Органические фазы объединяют и концентрируют в вакууме с получением остального продукта – 4-хлор-1- (2-N-тозиламинофенил)-1-бутанона (1,15 г) при общем выходе 90% (т.пл. 108-113oС). Продукт идентифицируют методами ЯМР- и МС-анализов. В раствор 1,62 г (4,6 ммоль) 4-хлор-1-(2-N-тозиламинофенил)-1-бутанона в 10 мл толуола загружают 17,3 г (28,7 ммоль) 6,6%-ного раствора гидроксида натрия. Полученную двухфазную смесь нагревают с обратным холодильником в течение примерно 1 часа, охлаждают и доводят до рН 1 посредством концентрированной серной кислоты. Органический слой отделяют и концентрируют в вакууме с получением 1,50 г 2′-(циклопропилкарбонил)-п-толуолсульфонанилида при 100%-ном выходе (т.пл. 92-100oС). Продукт идентифицируют методами ЯМР- и МС- анализов. ПРИМЕР 3 Получение 1-(о-аминофенил)-4-хлор-1-бутанонгидрохлорида (см. схему к примеру 3). Продукт примера 2 (1,5 г, 4,7 ммоль) обрабатывают 96%-ной серной кислотой и нагревают до 90oС в течение 15 минут. Раствор охлаждают, доводят рН до 9 посредством гидроксида аммония и экстрагируют метиленхлоридом. Объединенные экстракты концентрируют в вакууме с получением 1-(о-аминофенил)-4-гидрокси-1-бутанона (выход 80%, т.пл. 58-61oС). Продукт идентифицируют методами ЯМР- и МС-анализов. Смесь 9,3 г (5,1 ммоль) 1-(о-аминофенил)-4-гидрокси-1-бутанона, 26 мл воды и 90 мл 37%-ной НС1 нагревают с обратным холодильником в течение примерно 6,5 часов, охлаждают и фильтруют с получением 8,0 г гидрохлорида 1-(о-аминофенил)-4-хлор-1-бутанона. Экстрагирование водного маточного раствора метиленхлоридом дает еще 1,10 г указанного в заголовке продукта с общим выходом 73% (т.пл.142-145oС). Продукт идентифицируют методами ЯМР- и МС-анализов. ПРИМЕР 4 Получение о-аминофенилциклопропилкетона (см. схему к примеру 4). Раствор 0,30 г (1,3 ммоль) гидрохлорида 1-(о-аминофенил)-4-хлор-1-бутанона в 3 мл метиленхлорида и 3 мл этилендихлорида обрабатывают 1,2 г (3 ммоль) 10%-ного раствора гидроксида натрия и 0,05 г (0,2 ммоль) 75%-ного водного раствора метилтрибутиламмонийхлорида и нагревают до 50oС в течение примерно 5 часов. После охлаждения до комнатной температуры разделяют фазы. Водный слой экстрагируют метиленхлоридом. Объединенные органические экстракты промывают водой и концентрируют в вакууме с получением 0,14 г (выход 70%) о-аминофенилциклопропилкетона (т.пл. 46-48oС). Продукт идентифицируют методами ЯМР- и МС-анализов. Формула изобретения
![]() где R представляет фенил, замещенный C1-C6 алкилом; R1 представляет водород; Х представляет -(СН2)3-Y, циклопропил или тетрагидро-2-оксо-3-фуроил; Y представляет хлор, бром или гидрокси, или его кислотно-аддитивная соль. 2. Соединение по п. 1, в котором R представляет п-толил. 3. Соединение по п. 2, в котором Х представляет циклопропил, -(СН2)3-Y или тетрагидро-2-оксо-3-фуроил. 4. Способ получения соединения формулы А ![]() отличающийся тем, что включает: i) взаимодействие соединения формулы В ![]() с соединением формулы С ![]() в присутствии основания и органического растворителя с образованием смеси, содержащей соединение формулы Е ![]() ii) выделение соединения Е путем гидролиза или кристаллизации; iii) взаимодействие соединения Е с концентрированной НСl в присутствии органического растворителя с образованием соединения формулы F ![]() iv) обработку соединения F водным раствором основания при повышенной температуре; v) выделение соединения формулы G ![]() vi) обработку соединения G сильной кислотой; vii) выделение соединения формулы Н ![]() где в формулах Е-Н радикалы R и R1 такие, как определено в п. 1; viii) взаимодействие соединения формулы Н с НСl с образованием соединения формулы А. 5. Способ по п. 4, в котором основанием на стадии i) является этилат магния, а органическим растворителем – толуол; органическим растворителем на стадии iii) является толуол; основанием на стадии v) – NaOH и сильной кислотой на стадии vi) – серная кислота. 6. Способ по п. 5, в котором используют соединение формулы В, где R1 представляет собой водород. 7. Способ по п. 5, в котором используют соединение формулы В, где R представляет п-толил. РИСУНКИ
|
||||||||||||||||||||||||||

























