Патент на изобретение №2201382
|
||||||||||||||||||||||||||
(54) СПОСОБ РЕГУЛИРОВАНИЯ ДАВЛЕНИЯ ВОЗДУХА В ГЕРМЕТИЧНЫХ ПОМЕЩЕНИЯХ И СИСТЕМА РЕГУЛИРОВАНИЯ ДАВЛЕНИЯ ВОЗДУХА В ГЕРМЕТИЧНЫХ ПОМЕЩЕНИЯХ
(57) Реферат: Изобретение относится к средствам жизнеобеспечения персонала и может быть использовано в составе стартовых комплексов ракетно-космической техники. Предлагаемый способ включает подачу в помещение воздуха из атмосферы. К моменту и во время старта ракеты в помещение дополнительно подают кондиционный воздух от индивидуального источника давления. При этом в помещении поддерживают оптимальное избыточное давление в пределах 30-70 Па. Предлагаемая система обеспечена приточно-вытяжной вентиляцией и содержит баллоны сжатого кондиционного воздуха, командный прибор, выпускной клапан в виде пневмоглушителя, сигнализатор давления и нормально закрытый электропневмоклапан. Причем баллоны через газовый редуктор и электропневмоклапан сообщены с пневмоглушителем. Сигнализатор давления подает сигнал на командный прибор при падении избыточного давления ниже 30 Па и его повышении до 70 Па. Изобретение обеспечивает безопасность обслуживающего персонала стартового комплекса на всех этапах работ. 2 с.п.ф-лы, 2 ил. Предлагаемое изобретение относится к ракетно-космической технике, а точнее к жизнеобеспечению обслуживающего персонала при проведении штатных работ на наземных стартовых комплексах. Известен способ регулирования давления воздуха, осуществляемый устройством для регулирования давления воздуха в герметичиной кабине летательного аппарата, согласно описанию изобретения к а.с. 173616, кл. B 64 D 13/04, 1985 г. Известный способ заключается в регулировании давления в герметичной кабине летательного аппарата при подаче воздуха из источника давления – атмосферы. Устройство, осуществляющее известный способ, состоит из источника давления, командного прибора, выпускного клапана, электропневмопереключателя, связанного с командным прибором, и системы воздухообмена. Однако данный способ и устройство регулирования давления из-за невозможности исключения попадания паров токсичных веществ извне внутрь помещения не обеспечивают безопасность обслуживающего персонала на ракетно-космических комплексах при проведении запусков ракет-носителей и космических аппаратов. Известен также способ регулирования давления воздуха на летательном аппарате, осуществляемый системой регулирования давления воздуха на летательном аппарате согласно описанию изобретения к а.с. 900537, кл. B 64 D 13/04, 1997 г. Известный способ заключается в регулировании давления воздуха на летательном аппарате при подаче воздуха из источника давления – атмосферы. Система, осуществляющая известный способ, состоит из источника давления, командного прибора, сигнализатора давления, электропневмопереключателя, связанного с командным прибором, и системы воздухообмена. Указанные способ и система являются наиболее близкими к заявляемому техническому решению. Однако известные способ и система регулирования давления воздуха на летательном аппарате в экстремальных условиях (утечка горючих веществ, взрыв и т. п. ) не обеспечивают безопасность обслуживающего персонала при проведении штатных работ из-за невозможности исключения попадания вредных для здоровья человека паров токсичных веществ внутрь гермопомещения. Задачей данного изобретения является обеспечение безопасности обслуживающего персонала в любых условиях. Требуемый технический результат достигается тем, что в способе регулирования давления воздуха, заключающемся в подаче воздуха из атмосферы в гермопомещение, дополнительно подают кондиционный воздух от индивидуального ампульного источника давления и при этом контролируют и поддерживают давление воздуха в пределах 30-70 Па (3-7 мм вод. ст.). Для осуществления данного способа регулирования давления воздуха в герметичных помещениях предложена система регулирования давления воздуха в герметичных помещениях, содержащая источник давления, командный прибор, сигнализатор давления, электропневмопереключатель, связанный с командным прибором, и систему воздухообмена и снабженная дополнительным источником давления в виде баллонов сжатого воздуха, соединенных посредством трубопровода через понижающий газовый редуктор с электропневмопереключателем, выполненным в виде нормально-закрытого электропневмоклапана, выпускной клапан выполнен в виде пневмоглушителя, а система воздухообмена – в виде приточно-вытяжной вентиляции. Отличительные от прототипа признаки заключаются в том, что дополнительно подают кондиционный воздух от индивидуального ампульного источника давления и при этом контролируют и поддерживают избыточное давление в пределах 30-70 Па. Кроме того, система регулирования давления воздуха в герметичных помещениях снабжена дополнительным источником давления в виде баллонов сжатого воздуха, соединенных посредством трубопровода через понижающий газовый редуктор с электропневмопереключателем, выполненным в виде нормально-закрытого электропневмоклапана, выпускной клапан выполнен в виде пневмоглушителя, а система воздухообмена – в виде приточно-вытяжной вентиляции. Авторам не известны технические решения с существенными признаками, приведенными в отличительной части формул. Устройство, осуществляющее предлагаемый способ, поясняется чертежом, изображенным на фиг. 1. Характер изменения избыточного давления воздуха в помещении приведен на фиг.2. Система регулирования давления воздуха в герметичных помещениях состоит из командного прибора 1 (см. фиг.1), выпускного клапана, выполненного в виде пневмоглушителя 2, сигнализатора давления 3, связанного с командным прибором 1, электропневмопереключателя, выполненного в виде нормально-закрытого электропневмоклапана 4, электрически связанного с командным прибором 1, системой воздухообмена – в виде приточно-вытяжной вентиляции 5, дополнительного источника давления в виде баллонов сжатого воздуха 6. соединенных посредством трубопровода 7 через понижающий газовый редуктор давления 8 с электропневмоклапаном 4. Конкретный пример реализации предложенных способа и системы регулирования давления воздуха в герметичных помещениях рассмотрим при проведении работ по запуску ракеты-носителя с наземного стартового комплекса. При подготовке к запуску ракеты-носителя с наземного стартового комплекса приведена в готовность система подпора воздухом, являющаяся частью системы регулирования давления воздуха и состоящая из индивидуального ампульного источника давления в виде баллонов сжатого воздуха 6, соединенных посредством трубопровода 7 через понижающий газовый редуктор 8 с электропневмоклапаном 4. При этом воздух подается от источника сжатого газа давлением 4,7 МПа, проходит через понижающий газовый редуктор, где дросселируется до давления 0,3 МПа, и поступает к электропневмоклапану, выполняющему функции запорного органа. В гермопомещениях, где находится обслуживающий персонал (командный пункт, пульты управления и др.) работает приточно-вытяжная вентиляция 5, обеспечивающая воздухообмен. За расчетное время, в зависимости от кубатуры вентилируемого помещения, прекращается работа вытяжной вентиляции (применительно к нижеприведенным стартовым комплексам не более чем за 5 мин до команды КП – контакт подъема). В оставшееся до КП время работает только приточная вентиляция, обеспечивающая в помещении избыточное давление до 70 Па. При достижении в вентилируемом помещении указанного давления приточная вентиляция отключается и герметизируется от внешней среды, но не позднее команды КП. Осуществляется штатный режим работы системы регулирования давления воздуха. Выбор избыточного давления воздуха в помещении в диапазоне 30-70 Па обусловлен тем, что этот диапазон давления является, во-первых, физиологически безопасным для жизни обслуживающего персонала, во-вторых, оптимальным, так как обеспечивает достижение наилучших результатов, а именно: – в процессе регулирования период компрессии, когда отмечается медленное нарастание давления сверх атмосферного (101325 Па) до 70 Па и период декомпрессии, когда происходит последующее медленное снижение давления от 70 до 30 Па, как показывают исследования, не вызывают острых болезненных явлений в суставах и тканях организма человека, а стало быть не влияют существенным образом на самочувствие и работоспособность обслуживающего персонала, работающего в помещении в период подготовки и пуска ракеты-носителя (Е.П. Вишневская, Т.А. Козлов, Г.И. Румянцев и др. Общая гигиена / Под ред. Г.А. Митерева. М.: Медицина, 1973. – 328 с., см. с. 71-72). При этом гарантией безопасности персонала служит тот факт, что избыточные давления 30 и 70 Па соответственно в 110,8 и 47,5 раз меньше максимально допустимого избыточного давления в легких (3325 Па), выдерживаемого человеком без существенных физиологических расстройств (Г.И. Воронин, М.И. Верба. Кондиционирование воздуха на летательных аппаратах. М.: Машиностроение, 1965. – 470 с., см. с.30); – обеспечивается допустимое по условиям прочности давление на единицу поверхности оболочек чувствительных приборов, устройств, спецаппаратуры и т. п., которые могут эксплуатироваться в помещении; – исключается возможность проникновения в помещение загрязненного атмосферного воздуха и токсичных газов, что также повышает безопасность персонала: – при давлениях 30 и 70 Па требуемые количества воздуха и баллонного оборудования получаются минимально возможными, что повышает компактность и экономичность системы регулирования давления. При проведении непосредственно запуска ракеты-носителя (после команды КП) в случае разного рода неисправностей в работе: утечки агрессивных компонентов, взрыва на стартовой площадке или на траектории полета во избежании попадания вредных паров (например, гептила) в помещение обслуживающего персонала сигнализатор давления отслеживает избыточное давление в пределах 30-70 Па. При взрыве ракеты-носителя на пусковой установке создается избыточное давление, которое выражается в “тротиловом эквиваленте” – количестве тротила, эквивалентного энергии взрыва. Для оценки параметров взрыва проведен расчет, результаты которого применительно к помещению приведены ниже: – избыточное давление возможного взрыва ракеты-носителя типа “Протон” вблизи помещения составляет р=0,06 МПа;– время действия взрывной волны в = 0,12 с;– расстояние от места взрыва до помещения равно l=170 м; – сопротивление воздухопроницанию четырехслойного бетонного ограждения помещения (толщина каждого слоя =0,1 м) составляет R=8000 Па ч м2/кг;– расход инфильтрующегося воздуха G=112,5 кг/ч или 0,031 кг/с; – время инфильтрации ин 5 с;– при отсутствии избыточного давления в помещении количество поступающего в него наружного воздуха, загрязненного токсичными продуктами сгорания компонентов топлива, составляет M = G ![]() ин = 0,031 5 = 0,155 кг. При этом согласно уравнению состоянию давление в помещении повысится на![]() где Rв – газовая постоянная воздуха, равная 287 Дж/кг К (О.М. Рабинович. Сборник задач по технической термодинамике. М.: Машиностроение, 1973. – 328 с., см. с. 318. табл. IV);Т – абсолютная температура воздуха, равная 293 К; V – объем помещения, равный 500 м3. Как видно из данного примера, без заблаговременного создания избыточного давления в помещении невозможно гарантировать безопасность обслуживающего персонала. При наддуве помещения кондиционным сжатым воздухом давлением 30 Па инфильтрация заменяется эксфильтрацией и обеспечивается безопасность обслуживающего персонала. Верхний уровень избыточного давления воздуха в помещении выбран из условия оптимальности равным 70 Па, так как при более высоком избыточном давлении неизбежно возникают серьезные физиологические нарушения в организме человека, из-за которых обслуживающий персонал не сможет выполнять своих функций. Таким образом, при падении избыточного давления ниже 30 Па вследствие возможной негерметичности воздуховодов, гермолюков, гермодверей и т.п.сигнализатор давления 3 передает команду на командный прибор 1, который электрически связан с электромагнитом электропневмоклапана, воздействует на него и открывает нормально-закрытый электропневмоклапан 4. Воздух поступает в приточную вентиляцию через пневмоглушитель 2. Применение пневмоглушителя обусловлено относительно бесшумной подачей воздуха в помещение для удобства работы обслуживающего персонала. В зависимости от его местоположения для снижения шумового эффекта возможно использование одновременно нескольких пневмоглушителей. При достижении в помещении избыточного давления 70 Па сигнализатор давления 3 также передает команду на командный прибор 1, который в свою очередь, воздействуя на электромагнит электропневмоклапана 4 закрывает его. Осуществляется аварийный режим работы системы регулирования давления воздуха в герметичных помещениях. В качестве сигнализатора давления и командного прибора может быть использован преобразователь типа “Сапфир- 22ДД”, выполняющий их функции. Таким образом, обеспечивается регулирование давление воздуха в помещении при работе обслуживающего персонала во время проведения штатных работ на ракетно-космических комплексах. В качестве примера определим время изменения давления воздуха в помещении от 70 до 30 Па и, наоборот, от 30 до 70 Па. При объеме помещения 500 м3, давлении 30 Па и температуре 293 К масса воздуха в помещении по уравнению состояния составляет M1=0,178 кг, а при давлении 70 Па-M2=0,416 кг. Следовательно, при изотермическом расширении воздуха в помещении от 70 до 30 Па количество воздуха, выходящего из помещения через его неплотности, составит М=М2-M1=0,416-0,178=0,238 кг.
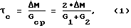
Время снижения давления определяют по формуле![]() где c – время снижения давления, ч; М – количество воздуха, кг;Gcp – средний расход воздуха, кг/ч; G1 – мгновенный расход воздуха при разности внутреннего и наружного давлений p1 = 70 Па, кг/ч;G2 – то же при p2 = 30 Па.
![]() где F – площадь неплотностей, м2; А и Б – параметры, определяемые по данным книги: В.Н. Богословский, В.П. Щеглов, Н.Н. Разумов. Отопление и вентиляция. М.: Стройиздат, 1980, с.34 или СНиП II – 3 – 79: Строительная теплотехника. М.: Стройиздат, 1979. При А=0,065, Б=0,0075, F=0,008 м2 и p1 = 70 Па по формуле (2) G1=0,212 кг/ч, а при p2 = 30 Па G2=0,129 кг/ч.
Время снижения давления составляет:![]() По истечении этого времени начинается подача воздуха в помещение. Время нарастания давления определяют по формуле: ![]() где н – время нарастания давления, ч; М – количество воздуха, кг;Gn – расход воздуха, подаваемого в помещение, кг/ч. Из формулы (3) следует, что чем меньше расход воздуха Gn, тем больше время нарастания, а чем больше время нарастания, тем меньше градиент давления, что в конечном итоге повышает физиологическую безопасность обслуживающего персонала. В рассматриваемом примере Gn=3,6 кг/ч. Следовательно, время нарастания давления составит или 3,97 мин.
После этого времени подача воздуха в помещение прекращается, далее цикл повторяется. Характер изменения избыточного давления воздуха в помещении в процессе работы системы регулирования давления показан на диаграмме, где атмосферное давление принято равным нулю (совпадает с осью ).
Положительный эффект предлагаемого способа регулирования давления воздуха в герметичных помещениях, осуществляемый системой регулирования давления воздуха в герметичных помещениях заключается в поддержании в помещении с обслуживающим персоналом постоянного избыточного давления в пределах 30-70 Па, что обеспечивает безопасность обслуживающего персонала при проведении работ по запуску ракет-носителей и космических аппаратов на стартовых комплексах.
В настоящее время способ и система регулирования давления воздуха в герметичных помещениях прошли заводские испытания и в дальнейшем предполагается использование на наземных стартовых комплексах космодрома “Байконур”, в частности, на Гагаринском старте и других российских космодромах.
Формула изобретения
РИСУНКИ
|
||||||||||||||||||||||||||

р=0,06 МПа;
в = 0,12 с;
=0,1 м) составляет R=8000 Па
ч
5 с;




или 3,97 мин.
После этого времени подача воздуха в помещение прекращается, далее цикл повторяется. Характер изменения избыточного давления воздуха в помещении в процессе работы системы регулирования давления показан на диаграмме, где атмосферное давление принято равным нулю (совпадает с осью