Патент на изобретение №2200866
|
||||||||||||||||||||||||||
(54) РЕГУЛИРУЕМЫЙ ЖИДКОСТНЫЙ РАКЕТНЫЙ ДВИГАТЕЛЬ
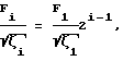
(57) Реферат: Регулируемый жидкостный ракетный двигатель включает камеру, газогенератор, турбонасосный агрегат с центробежными насосами и турбиной. Система автоматики содержит клапаны, регуляторы потока жидкости и устройство для стабилизации потока жидкости. Топливные магистрали высокого и низкого давления включают не менее двух жидкостных топливных магистралей высокого давления с указанными регуляторами потока жидкости, которые управляются приводами путем подачи соответствующих электрических команд. Двигатель снабжен электроклапанами регулирования и блоком формирования команд, в том числе на электроклапаны регулирования. Не менее двух жидкостных топливных магистралей высокого давления выполнены разветвленными на параллельные ветви, имеющие общий вход и общий выход для каждой магистрали. Каждый регулятор потока жидкости выполнен в виде установленных в соответствующих ветвях этих магистралей гидроклапанов, управляемых электроклапанами регулирования, причем гидроклапаны имеют два фиксированных положения – открыто и закрыто. Изобретение направлено на повышение быстродействия системы регулирования жидкостного ракетного двигателя с целью более быстрого изменения величины вектора тяги. 3 з.п. ф-лы, 6 ил. Область техники Изобретение относится к ракетному двигателестроению и может быть использовано в авиадвигателестроении. Предшествующий уровень техники В технике нашли широкое распространение жидкостные ракетные двигатели (ЖРД) с регулированием тяги путем регулирования расходов компонентов топлива, подаваемых в камеру, и газогенератор ЖРД. Так, известна схема регулирования тяги ЖРД путем регулирования расходов компонентов топлива в газогенератор на основе регуляторов давления и изменения соотношения компонентов топлива в камере по сигналу системы опорожнения баков с помощью регулятора. В этом ЖРД имеются не менее двух жидкостных магистралей топлива высокого давления с регуляторами потока жидкости (см. Конструкция и проектирование жидкостных ракетных двигателей. /Под общей редакцией проф. Г.Г.Гахуна. М.: Машиностроение, 1989, стр. 51, 52, параграф “Регулирование тяги двигателя”). Это техническое решение принимаем за аналог предлагаемого изобретения. Недостаток аналога в том, что в нем сложно обеспечить высокое быстродействие системы регулирования в реальных габаритах ЖРД. Кроме того, представленный на стр. 51 указанной монографии исполнительный механизм дросселя как регулятор потока жидкости во многих случаях требует мощного электропривода, что не только приводит к большим габаритам и массе, но и требует специального электротехнического производства для его изготовления. Это бывает трудно организовать на ракетных двигателестроительных заводах. Еще один недостаток аналога в сложности схемы регулирования, основанной на использовании трех регуляторов в ЖРД, работающем на двух компонентах топлива. Известен ЖРД РД-253 (см. энциклопедию: Космонавтика. /Под редакцией В.П. Глушко. М., 1985, стр. 331) на двухкомпонентном топливе. Этот ЖРД принимаем за прототип предлагаемого изобретения. Прототип имеет камеру, газогенератор, турбонасосный агрегат с турбиной и центробежными насосами, систему автоматики с клапанами, регуляторами потока жидкости и устройством для стабилизации потока жидкости, имеет топливные магистрали высокого и низкого давления, при этом не менее двух магистралей являются топливными жидкостными магистралями высокого давления, в которых установлены регуляторы потока жидкости. Недостаток прототипа в том, что у него невелико быстродействие системы регулирования при реальных габаритах ЖРД. Кроме того, регуляторы потока жидкости (дроссель и регулятор расхода) снабжены электроприводами, разработка и изготовление которых требует специального производства, что усложняет и удорожает процесс изготовления ЖРД. Раскрытие изобретения В основу настоящего изобретения ЖРД положена задача повышения быстродействия системы регулирования ЖРД с целью более быстрого изменения величины вектора тяги. Необходимость создания такого ЖРД продиктована целесообразностью большей маневренности ракетного летательного аппарата и более точного его выведения на орбиту. Сущность изобретения регулируемого ЖРД заключается в том, что ЖРД включает в себя камеру, газогенератор, турбонасосный агрегат с центробежными насосами и турбиной. Имеются также система автоматики, которая содержит клапаны, регуляторы потока жидкости и устройство для стабилизации расхода жидкости, а также топливные магистрали высокого и низкого давления. При этом двигатель содержит не менее двух жидкостных топливных магистралей высокого давления, на которых установлены указанные регуляторы потока жидкости и устройство для стабилизации потока жидкости. Причем регуляторы потока жидкости управляются приводами путем подачи соответствующих электрических команд. Отличительной особенностью заявляемого ЖРД является то, что он снабжен электроклапанами регулирования, подача команд на которые обеспечивает возможность изменения режима работы ЖРД, то есть регулирования как по скорости ракеты, так и по опорожнению топливных баков ракетной двигательной установки. Электроклапаны регулирования получают команды от имеющегося на двигателе блока формирования команд. Этот блок не обязательно должен быть монтирован на двигателе. Он может быть монтирован также и в каком-либо другом месте ракеты. В заявляемом ЖРД не менее двух жидкостных топливных магистралей высокого давления выполнены разветвленными на параллельные ветви, имеющие общий вход и общий выход для каждой из магистралей. Каждый агрегат регулирования выполнен в виде установленных в соответствующих ветвях магистралей гидроклапанов. Эти гидроклапаны управляются электроклапанами регулирования (то есть электроклапаны регулирования могут подключать управляющие полости гидроклапанов к магистралям низкого или высокого давления, обеспечивая их открытие или закрытие, изменяя гидравлические сопротивления соответствующей магистрали). Это приводит к соответствующему изменению величины вектора тяги двигателя и заданному согласованию в опорожнении баков ракетной двигательной установки. Как электроклапаны, так и гидроклапаны имеют два фиксированных положения “открыто” и “закрыто”. Электроклапаны управляются путем подачи на их электромагниты электрического тока. Электроклапаны получают команды от блока формирования команд, который усиливает слаботочные команды, поступающие, например, от системы регулирования кажущейся скорости ракеты и системы опорожнения баков. В принципе наиболее эффективна схема с электрогидроклапанами в качестве электроклапанов, хотя возможно построение схем с газовым балоном и электропневмоклапанами. В частном случае число электроклапанов регулирования для каждого агрегата регулирования соответствует числу независимых ветвей его гидромагистрали с установленными в них гидроклапанами. Следует отметить, что число электроклапанов не обязательно должно быть равно числу гидроклапанов соответствующей топливной магистрали. Возможно, когда электроклапан регулирования может управлять более чем одним гидроклапаном, например двумя гидроклапанами. Возможно также, когда одним гидроклапаном будут управлять более одного электроклапана регулирования, например два электроклапана. Это может объясняться условиями компоновки двигателя, а также технологическими соображениями. Следует отметить, что для нас в настоящем случае важным являются независимые ветви с гидроклапанами соответствующего регулятора потока жидкости. Под такими ветвями мы подразумеваем ветви, открываемые по одной единичной команде, управляющей регулятором потока жидкости и поступаемой из блока формирования команд на соответствующий электроклапан (или электроклапаны). Гидравлически в открытом положении соответствующего гидроклапана (гидроклапанов) такая ветвь характеризуется соотношением ![]() где индекс i обозначает соответствующую ветвь магистрали и ее гидроклапан; Fi – площадь проходного сечения открытого соответствующего i-го гидроклапана; i – суммарный коэфициент гидравлического сопротивления i-й ветви магистрали с ее гидроклапаном.
Для разных ветвей отношения образуют геометрическую прогрессию со знаменателем 2, то есть отношение для каждой ветви магистрали определяется выражением![]() где индекс 1 относится к 1-й ветви магистрали со своим гидроклапаном. В качестве устройства для стабилизации потока жидкости может быть использован стабилизатор перепада давлений, по крайней мере, на одном из регуляторов потока жидкости. Для стабилизации потоков в магистралях заявляемого ЖРД могут быть использованы и специальные сопла. Еще в одном частном случае разветвленная жидкостная топливная магистраль высокого давления может быть выполнена байпасно по отношению к основной магистрали подачи этого топлива. Следует отметить, что принципиальная схема заявляемого регулируемого ЖРД особого значения не имеет. ЖРД может быть выполнен как по схеме с дожиганием газогенераторного газа, так и по открытой схеме. Важно в ней выполнение жидкостной топливной магистрали разветвленной, а также установка в ветвях этой магистрали гидроклапанов и наличие электроклапанов регулирования. Нужно сказать, что заявляемый регулируемый ЖРД для трехкомпонентного двигателя по существу не будет отличаться от рассмотренного нами принципиального решения по двухкомпонентному ЖРД. В этом случае целесообразно выполнять разветвленными три жидкостные топливные магистрали высокого давления, а каждый агрегат регулирования устанавливать в соответствующей магистрали в виде гидроклапанов в соответствующих ее параллельных ветвях. Это позволяет обеспечить надежное регулирование двигателя по кажущейся скорости ракеты и соответствующую одновременность опорожнения топливных баков ракеты. Не составляет труда использование предложенного технического решения и в однокомпонентном ЖРД с балонной системой подачи топлива. В этом случае может оказаться целесообразным использование в таком ЖРД только одного регулятора потока жидкости или вообще любой текучей среды, выполненного аналогично предложенному в настоящей заявке техническому решению. Технический результат от предлагаемого изобретения заключается в том, что прежде всего повышается быстродействие агрегатов регулирования, особенно при перекладке регулятора из одного крайнего положения в другое (на два порядка). Точность регулирования по сравнению с регуляторами, управляемыми аналоговыми приводами, возрастает в два раза. В связи с отсутствием электропривода в заявленном ЖРД обеспечивается снижение массы. При этом обеспечивается также упрощение конструкции. Следует отметить, что заявляемое изобретение имеет преимущества по сравнению с цифровым электрогидроприводом, который требует специальной сложной гидросистемы. Заявленное устройство и проще, и легче. Заявляемый регулируемый ЖРД удобно изготавливать на ракетно-двигательном заводе, в то время как для ЖРД с известной системой регулирования требуется специальное производство, где мог бы быть спроектирован и изготовлен электропривод. Следует отметить, что предложенный ЖРД позволяет обеспечить практически любые изменения программы его запуска и останова без внесения каких-либо изменений в конструкцию двигателя. Это все является дополнительным техническим результатом. Краткое описание чертежей На фиг.1 изображена принципиальная схема регулируемого ЖРД; на фиг. 2 – блок формирования команд с подключенными к нему электрогидроклапанами; на фиг.3 – электрогидроклапан; на фиг.4 – регулятор потока жидкости в разветвленной магистрали; на фиг. 5 – регулятор потока жидкости в разветвленной магистрали со стабилизатором перепада давлений; на фиг. 6 – регулятор потока жидкости в разветвленной магистрали, подключенный байпасно. Пример реализации изобретения Принципиальная схема предложенного двухкомпонентного регулируемого ЖРД представлена на фиг.1, где 1 – камера, а 2 – газогенератор, который сообщен с камерой 1 через газоводы 3 и 4 и турбину 5 турбонасосного агрегата, включающего также центробежный насос окислителя 6 и центробежный насос горючего первой ступени 7 и второй ступени 8. На входе в газогенератор 2 установлен клапан горючего 9 и клапан окислителя 10. С рубашкой охлаждения (позиция не обозначена) камеры 1 сообщен главный клапан горючего 11. На ЖРД имеется трубопровод высокого давления окислителя 12, установленный на выходе из центробежного насоса окислителя 6 перед газогенератором 2. Имеется также магистраль высокого давления горючего 13, расположенная на выходе из второй ступени центробежного насоса горючего. На выходе из первой ступени 7 центробежного насоса горючего расположена магистраль высокого давления горючего 14, которая гидравлически сообщена со входом во вторую ступень 8 насоса горючего трубопроводом 15, а между выходом насоса горючего первой ступени 7 и камерой 1 установлен также трубопровод высокого давления 16. Со стороны входа в ЖРД расположены трубопроводы пониженного давления – входные в ЖРД трубопроводы окислителя 17 и горючего 18, которые гидравлически сообщены со входами в насос окислителя 6 и первую ступень насоса горючего 7 соответственно. В магистрали высокого давления горючего первой ступени 8 насоса между трубопроводами 14 и 16 установлен регулятор потока жидкости 19 (см. также фиг. 4), а в трубопроводе высокого давления горючего 13 установлен регулятор потока жидкости 20 со стабилизатором перепада давлений на нем 21, объединенные в блок 22 (см. также фиг.5). Регуляторы потока жидкости 19 и 20 в принципиальном конструктивном отношении аналогичны. В нашем случае они содержат по восемь гидроклапанов. В принципе это число может быть и другим целым числом. Конструктивная схема регулятора потока жидкости 19 представлена на фиг. 4, где магистраль высокого давления горючего 14 разветвлена на параллельные ветви 23, 24, 25, 26, 27, 28, 29, 30, которые имеют также общий выход 16 (здесь и далее позиции восьми ветвей данной гидравлической магистрали и элементов ее ветвей располагаем в порядке уменьшения их гидравлических сопротивлений, кроме трех последних ветвей из указанных восьми, которые по конструктивным соображениям в нашем конкретном случае имеют равные между собой гидравлические сопротивления). В указанных ветвях соответственно установлены гидравлические шайбы 31, 32, 33, 34, 35, 36, 37, 38 (в принципе возможно конструктивное исполнение и без гидравлических шайб) и гидроклапаны 39, 40, 41, 42, 43, 44, 45, 46. К этим гидроклапанам, к их управляющим полостям (позициями не обозначены) подведены соответствующие магистрали 47, 48, 49, 50, 51, 52, 53, 54 подачи управляющего давления (см. также фиг.2, 3). В рассматриваемой конструкции регулятора потока жидкости 19 (равно, как и регулятора потока жидкости 20) важным является то, что соответствующие их ветви между выходом из магистрали 14 и входом в магистраль 16 включают также входящие в каждую соответствующую ветвь гидравлические шайбы (если они имеются) и гидроклапаны. Так, например, первая ветвь 23 (см. фиг.4) с наибольшим гидравлическим сопротивлением с шайбой 31 и гидроклапаном 39 определяется некоторым соотношением ![]() где F1– площадь проходного сечения открытого гидроклапана; а 1 – суммарный коэфициент гидравлического сопротивления этой первой ветви, включая eе гидравлическую шайбу и гидроклапан.
Соотношение других ветвей определяется как![]() где индекс i обозначает соответствующую ветвь с гидроклапаном и шайбой (если таковая имеется); F – площадь проходного сечения открытого гидроклапана; – суммарный коэфициент гидравлического сопротивления ветви с гидроклапаном и гидравлической шайбой (если такая имеется).
Это значит, что, например, для ветви 28![]() Ветви 29 и 30 в принципе могут иметь такое же значение этого соотношения, как и ветвь 28, что справедливо для фиг. ![]() Впрочем работоспособность устройства может быть обеспечена и при замене этого выражения выражением ![]() так как в нашем случае на гидроклапаны 45 и 46 подается одна общая команда. Они могут функционировать от общего электрогидроклапана регулирования, например 61. Магистрали 47, 48, 49, 50, 51, 52, 53, 54 соответственно сообщены с злектрогидроклапанами регулирования 55, 56, 57, 58, 59, 60, 61, 62. Принципиальное конструктивное исполнение одного из этих клапанов (а именно электрогидроклапана 55) представлено на фиг.3, где 63 – корпус, 64 – электромагнит, 65 – золотник, 66 – пружина, 67 – штуцер высокого давления, 68 – штуцер низкого давления, например, в дренаж или в трубопровод 18. Гидроклапаны 39, 40, 41, 42, 43, 44, 45, 46 регуляторов потока жидкости 19 и 20 имеют затворы, в закрытом положении гидроклапана обозначенные позицией 69а, а в открытом положении – позицией 69в (см. фиг.4). Стрелками показано направление потоков жидкости при открытых соответствующих клапанах. Следует отметить, что настройка ветвей 23, 24, 25 и т.д. может быть произведена или за счет изменения гидравлического сопротивления соответствующих гидроклапанов 39, 40, 41 и т.д., или за счет соответствующих гидравлических шайб 31, 32, 33 и т.д., или за счет каналов ветвей магистрали путем проведения соответствующих проливок, либо путем теоретических расчетов. На фиг.5 дана конструктивная схема блока 22, содержащего регулятор потока жидкости 20 и стабилизатор перепада давлений 21 на этом регуляторе (см. также фиг.1). Хотя на фиг.4 и фиг.5 гидроклапаны 39, 40, 41, 42, 43, 44, 45, 46 выполнены одинаковыми, они могут отличаться и по габаритам, и по конструктивному исполнению для обеспечения оптимальных массовых характеристик, так как рассчитаны на различные гидравлические сопротивления и рабочие давления при различных гидравлических шайбах 31, 32, 33, 34, 35, 36, 37, 38 как в регуляторах потока жидкости 19, так и в регуляторах потока жидкости 20. ЖРД имеет блок формирования команд 70 (см. фиг.1, 2) на электроклапаны, на которые подаются сигналы 71, 72 для управления клапанами и регуляторами соответственно с ракетного летательного аппарата (на чертежах не приводится). Эти сигналы преобразуются и усиливаются в блоке формирования команд 70. Этот блок электрически соединен также с электрогидроклапанами 73, управляющими гидроклапанами регуляторов потока жидкости 19 и 20, и с электроклапанами 74, управляющими топливными клапанами 9, 10, 11. К блоку формирования команд 70 подведено также электропитание 75. В схеме ЖРД опущены из рассмотрения ряд элементов и систем, не имеющих в данном случае принципиального значения (таких как система зажигания, аварийного включения ЖРД и другие). В этом случае блок формирования команд 69 будет электрически соединен также и с другими соответствующими элементами и агрегатами автоматики, которые в схеме ЖРД на фиг.1 отсутствуют, а дополнительными электроклапанами управления, например, могут быть дополнены электрогидроклапаны группы 74. В качестве варианта конструктивного исполнения установки регулятора потока жидкости на ЖРД на фиг.6 приведено байпасное расположение этого регулятора в магистрали высокого давления. Ветви магистрали высокого давления здесь в принципе аналогичны изображенным на фиг.1 регуляторам потока жидкости 19 и 20. Однако регулятор потока жидкости (см. фиг.6) установлен байпасно основной магистрали 76 и может содержать гидравлическую шайбу 77. Настоящее изобретение может быть использовано и в однокомпонентом, и в трехкомпонентном ЖРД с требуемой корректировкой количества соответствующих регуляторов. Работает заявляемый регулируемый ЖРД следующим образом. В исходном положении магистрали горючего и окислителя заполнены через трубопроводы пониженного давления горючего 18 и окислителя 17 вплоть до клапанов 9, 10, 11, которые в исходном положении закрыты. Регуляторы потока жидкости 19 и 20 поставлены в положение запуска. Это значит, что подано питание только на те электроклапаны 55, 56, 57, 58, 59, 60, 61, 62 (73), которые обеспечивают закрытое положение соответствующих гидроклапанов 39, 40, 41, 42, 43, 44, 45, 46 (как у регуляторов 19, так и у регуляторов 20) и, следовательно, соответсвующее гидравлическое сопротивление регуляторов потоков жидкости 19 и 20 их ветвей 23, 24, 25, 26, 27, 28, 29, 30 вместе с шайбами 31, 32, 33, 34, 35, 36, 37, 38. На запуске ЖРД осуществляется подача в соответствующей последовательности команд на клапан группы 74, управляющие клапанами 9, 10, 11. Это обеспечивает открытие указанных клапанов. В ЖРД обеспечивается воспламенение компонентов топлива и завязывание процессов в газогенераторе 2 и камере 1, а также разгон турбонасосного агрегата от турбины 5, приводящей в действие центробежные насосы 6, 7, 8 и запуск ЖРД. В процессе запуска возможно изменение гидравлических сопротивлений магистралей, в которых установлены регуляторы потока жидкости 19 и 20, путем подачи соответствующих команд через блок формирования команд 70 на электрогидроклапаны 55, 56, 57, 58, 59, 60, 61, 62 (73), управляющие соответствующими гидроклапанами регуляторов 19 и 20. ЖРД выходит на режим. При необходимости изменения режима работы ЖРД через блок формирования команд 70 подаются команды по системе “да-нет” через электрогидроклапаны 55, 56, 57, 58, 59, 60, 61, 62 (73) на гидроклапаны 39, 40, 41, 42, 43, 44, 45, 46 регуляторов потока жидкости 19 и 20. Из указанных гидроклапанов открытыми и закрытыми бывают только те, которые обеспечивают заданные гидравлические сопротивления магистралей горючего, в которых установлены регуляторы 19 и 20. Электрогидроклапаны 55, 56, 57, 58, 59, 60, 61, 62 (73) все одновременно или заданная часть из них могут находиться в открытом или закрытом положении, что обеспечивает различные режимы работы ЖРД благодаря различным сочетаниям гидравлических сопротивлений регуляторов потока жидкости 19 и 20 из-за соответствующих в них положений “открыто” или “закрыто” гидроклапанов 39, 40, 41, 42, 43, 44, 45, 46. Одним из таких режимов может быть режим конечной ступени ЖРД. Стабилизатор перепада давлений 21 обеспечивает заранее настроенную величину перепада давлений на регуляторе потока жидкости 20. Таким образом, в заявляемом ЖРД использованы по существу цифровые регуляторы 19 и 20. Это дает возможность прежде всего обеспечить быстродействие перекладки ЖРД с одного режима на другой. В принципе такой ЖРД может иметь не турбонасосную систему подачи, а балонную систему подачи. Кроме того, возможно применение в заявляемом ЖРД приводимых жидкостью или газом бустерных насосных агрегатов и подбаковых клапанов на входе в двигатель. В ряде случаев бустерные насосные агрегаты необходимы для обеспечения повышенной величины входных давлений в центробежные насосы для обеспечения их бескавитационной работы. Промышленная применимость Изобретение предназначено для применения в ЖРД различной тяги и работающих на различных компонентах топлива. Изобретение готово к промышленному использованию. Формула изобретения
![]() где индекс i обозначает соответствующую ветвь и гидроклапан, Fi – площадь проходного сечения открытого соответствующего гидроклапана, а i– суммарный коэффициент гидравлического сопротивления ветви с ее гидроклапаном, для разных ветвей образуют геометрическую прогрессию со знаменателем 2, то есть отношение![]() для каждой ветви магистрали определяется выражением ![]() где индекс 1 – относится к 1-й ветви магистрали со своим гидроклапаном. 3. Жидкостный ракетный двигатель по п. 2, отличающийся тем, что в нем в качестве устройства для стабилизации потока жидкости выполнен стабилизатор перепада давления по крайней мере на одном из регуляторов потока жидкости. 4. Жидкостный ракетный двигатель по п. 1, отличающийся тем, что разветвленная магистраль подачи жидкого топлива выполнена байпасно относительно основной магистрали подачи этого топлива. РИСУНКИ
|
||||||||||||||||||||||||||


i – суммарный коэфициент гидравлического сопротивления i-й ветви магистрали с ее гидроклапаном.
Для разных ветвей отношения
образуют геометрическую прогрессию со знаменателем 2, то есть отношение
для каждой ветви магистрали определяется выражением







