Патент на изобретение №2200823
|
||||||||||||||||||||||||||
(54) СПОСОБ ЦЕМЕНТИРОВАНИЯ ОБСАДНОЙ КОЛОННЫ В НАКЛОННО-НАПРАВЛЕННЫХ СКВАЖИНАХ
(57) Реферат: Изобретение относится к бурению скважин, в частности к способам цементирования обсадной колонны в наклонно-направленных и горизонтальных скважинах. Обеспечивает повышение качества цементажа и предотвращение аварий при его выполнении путем предотвращения разрывов столба цементного раствора под действием гидростатического давления в процессе закачки цементного раствора в обсадную колонну на основе математического описания физического процесса перетока цементного раствора в затрубное пространство под действием перепада давления и количественной оценки интенсивности перетока, которая, в свою очередь, определяет необходимую величину объемного расхода закачки цементного раствора при цементаже. Сущность изобретения: способ включает спуск обсадной колонны, закачку цементного раствора в обсадную колонну, сброс разделительной пробки, закачку промывочной жидкости и продавливание цементного раствора в затрубное пространство. Согласно изобретению перед закачкой цементного раствора определяют по аналитическому выражению минимальную величину объемного расхода закачки цементного раствора в обсадную колонну с учетом кривизны ствола скважины и выбирают производительность закачки цементного раствора больше этой величины. 1 табл., 4 ил. Изобретение относится к области бурения скважин, в частности к способам цементирования обсадных колонн в наклонно-направленных скважинах. Известен способ цементирования обсадных колонн, включающий спуск и цементирование обсадной колонны, при этом задаются значения скоростей подъема цементного раствора в затрубном пространстве, а объемный расход закачки продавочной жидкости определяют с учетом заданных величин скоростей подъема цементного раствора в кольцевом пространстве (1). Однако данный способ не учитывает возможность разрыва столба цементного раствора в процессе его закачки и как следствие этого самопроизвольное увеличение объемного расхода при движении столба цементного раствора в обсадной колонне, что может привести к разрыву столба цементного раствора, а следовательно, к некачественному цементированию. Наиболее близким по технической сущности и достигаемому результату является способ цементирования обсадной колонны, включающий спуск обсадной колонны, закачивание цементного раствора в обсадную колонну, сброс разделительной пробки, закачивание цементного раствора в затрубное пространство (пат. РФ 2095545) (2). Однако известный способ не предотвращает возможность разрыва столба цементного раствора в процессе его закачивания в обсадную колонну, а так же самопроизвольное увеличение объемного расхода закачки цементного раствора в обсадную колонну, что приводит к некачественному цементированию и авариям. Целью настоящего изобретения является повышение качества цементажа и предотвращение аварий при его выполнении путем предотвращения разрывов столба цементного раствора под действием гидростатического давления в процессе закачки цементного раствора в обсадную колонну на основе математического описания физического процесса перетока цементного раствора в затрубное пространство под действием перепада давления и количественной оценки интенсивности перетока, которая в свою очередь определяет необходимую величину объемного расхода закачки цементного раствора при цементаже. Поставленная цель достигается тем, что перед процессом закачки цементного раствора определяют минимальную величину объемного расхода закачки цементного раствора в обсадную колонну, которую рассчитывают по формуле: ![]() где c, p – плотность цементного и бурового растворов, кг/м3;h1 – высота столба цементного раствора, закаченного в обсадную колонну, по вертикали, м; L – общая длина обсадной колонны, м; d – наружный диаметр обсадной колонны, м; D – диаметр ствола скважины, в который спущена обсадная колонна, м; Dv – внутренний диаметр обсадной колонны, м; dc – внутренний диаметр обратного клапана, м; Db – диаметр башмака обсадной колонны, м, и выбирают объемный расход закачки цементного раствора в обсадную колонну больше расчетной величины Q1(hx). Сущность изобретения заключается в следующем. Во время закачки более тяжелого цементного раствора в обсадную колонну, по мере увеличения высоты его столба создается перепад давления P(hx), определяемый в наклонно-направленной скважине следующей формулой:![]() где c, p – плотность цементного и бурового раствора, кг/м3;hx – глубина уровня цементного раствора в обсадной колонне по вертикали, м; 1, 2 – начальный и конечный зенитный угол ствола скважины, град;R – радиус кривизны ствола скважины, м; Lv – вертикальный участок ствола скважины, м; P(hx) – перепад давления в обсадной колонне скважины, возникающий за счет разности плотностей жидкостей в колонне и затрубном пространстве.
Высоту столба цементного раствора в наклонном стволе определяют по формуле:Ls = (Lv-hx)+R (sin 2-sin 1) (2)где Lv – вертикальный участок ствола скважины, м; 1, 2 – начальный и конечный зенитный угол ствола скважины, град.
Давление закачки в это время снижается на величину создаваемого перепада.
Величиной перепада определяется интенсивность перетока раствора из трубного пространства в затрубное.
Во время промывки, при движении в скважине с определенным расходом гидросопротивления ![]() P определяются следующим образом:![]() P = Pt+ Pz,где Pt – гидросопротивления в трубах; Pz – гидросопротивления в затрубном пространстве.
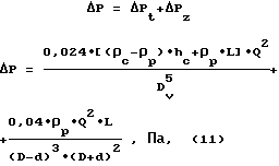
![]() где Q – расход жидкости при прокачке, м3/с; – плотность жидкости, кг/м3;L – длина колонны обсадных труб, м; Dv – внутренний диаметр обсадных труб, м; ![]() где D – диаметр скважины, м; d – наружный диаметр обсадных труб, м. Суммарные гидросопротивления будут равны: ![]() Следовательно, при прокачке жидкости в скважине с заданным объемным расходом Q мы будем иметь определенные гидросопротивления ![]() P.
Или, говоря иначе, чтобы прокачать жидкость через скважину с заданным расходом Q, необходимо создать давление равное ![]() P.
Исходя из этого, задаваясь давлением ![]() P из формулы (5), определим объемный расход закачки цементного раствора![]() Переходя к нашим условиям задачи, имеем ![]() P= P – перепад давления из-за разницы плотностей растворов в трубном и затрубном пространствах.
![]() где ср – средняя плотность жидкости в трубах, кг/м3.
![]() где hc – высота столба цементного раствора в трубах, м, ![]() Подставляя ср из формулы (8) в (7) и сокращая L, получаем:для затрубного пространства: ![]() при условии, что цементный раствор не вышел в затрубное пространство: ![]() Отсюда находим интенсивность перетока (обозначив ее Q1) при известном перепаде P:![]() Подставляя выражение P из формулы (1) с учетом потерь давления в обратном клапане, получим основную рабочую формулу для определения количественной оценки интенсивности перетока:![]() где Dc – внутренний диаметр обратного клапана, м. Если интенсивность перетока Q1 станет больше объемного расхода закачки Q и произойдет разрыв столба цементного раствора, или после остановки циркуляции, например, во время сброса пробки – в трубах возникает опорожненная часть внутритрубного пространства при самопроизвольном движении раствора вниз. Обозначим эту величину hx. По мере увеличения hx перепад давления будет закономерно уменьшаться за счет снижения гидростатики в трубном до равновесия давлений в трубном и затрубном пространстве. С учетом величины hx выражение для определения Q1 примет вид: ![]() Ниже приведен пример расчета интенсивности перетока для реальных условий цементирования эксплуатационной колонны скважины в зависимости от продолжительности остановки циркуляции и глубины уровня цементного раствора. На фиг. 1 представлен график зависимости объемного расхода перетока цементного раствора от глубины его уровня; на фиг.2 – зависимость во времени объемного расхода перетока цементного раствора; на фиг.3 – зависимость глубины уровня во времени, а именно с увеличением глубины уровня цементного раствора увеличивается время его закачки до равенства давлений в трубном и затрубном пространстве; на фиг.4 – начальные и конечные углы границ пачки цементного раствора. Полученные расчетные результаты (Q1=27,6 л/с) позволяют сделать однозначный вывод о том, что не учитывать данный фактор при расчете цементажей просто недопустимо. Объемный расход закачки цементного раствора и его продавки в затрубное пространство должен быть всегда больше интенсивности перетока. Использование предлагаемого изобретения позволит повысить качество цементажа наклонно-направленных и горизонтальных скважин и предотвратить аварии при его выполнении. Данный способ предотвращает разрыв столба цементного раствора в наклонно-направленных и горизонтальных скважинах. Предлагаемый способ позволяет математически описать физический процесс перетока цементного раствора в затрубное пространство под действием перепада давления и дать количественную оценку интенсивности этого перетока, которая определяет необходимую величину объемного расхода закачки цементного раствора при цементаже наклонно-направленных и горизонтальных скважин. Источники информации: 1. K.B. Иогансен. Спутник буровика – М.: Недра, 1990, с.176. 2. Патент РФ 2095545, 6 Е 21 В 33/14, опубл. 10. 11. 1997 г. Формула изобретения
![]() где c, p – плотность цементного и бурового растворов, кг/м3;h1 – высота столба цементного раствора, закачанного в обсадную колонну, по вертикали, м; L – общая длина обсадной колонны, м; d – наружный диаметр обсадной колонны, м; D – диаметр ствола скважины, в который спущена обсадная колонна, м; Dv – внутренний диаметр обсадной колонны, м; hx – глубина уровня цементного раствора в обсадной колонне по вертикали, м; dc – внутренний диаметр обратного клапана, м; Db – диаметр башмака обсадной колонны, м, и выбирают объемный расход закачки цементного раствора в обсадную колонну больше расчетной величины Q1. РИСУНКИ
MM4A – Досрочное прекращение действия патента СССР или патента Российской Федерации на изобретение из-за неуплаты в установленный срок пошлины за поддержание патента в силе
Дата прекращения действия патента: 17.06.2008
Извещение опубликовано: 27.06.2010 БИ: 18/2010
|
||||||||||||||||||||||||||


c,
P(hx), определяемый в наклонно-направленной скважине следующей формулой:
1,
(sin












