Патент на изобретение №2200738
|
||||||||||||||||||||||||||
(54) СПОСОБ СИНТЕЗА НУКЛЕОЗИДНЫХ АНАЛОГОВ
(57) Реферат: Изобретение относится к способу получения 2′,3′-О-алкилиден- -нуклеозидного аналога, включающему взаимодействие 2′, 3′-О-алкилиден -фуранозилгалогенида формулы 1, где R3 и R4 представляют собой водород или (CH2)nQ, где n является целым числом от 1 до 6; Q представляют собой водород или -OR7; R5 и R6 представляют собой (С1-С6) алкил; R7 представляет собой водород или защитную группу; Y представляет хлор или бром, с гетероциклом формулы 2, где каждый из R8 представляет собой водород, фенил, фенил, замещенный галогеном, OR7 или NR7R7; R7 представляет собой водород, фенил, фенил, замещенный галогеном или защитную группу. Реакцию проводят в диметилсульфоксиде или в смеси полярных растворителей, в которой объем диметилсульфоксида составляет, по крайней мере, примерно 15%, в присутствии сильного основания, представляющего собой т-бутоксид натрия или т-бутоксид калия. Молярное отношение 2′,3′-O-алкилиден- -фуранозилгалогенида к гетероциклу составляет около (1:1) – (3:1). Молярное отношение сильного основания к гетероциклу составляет около (1:1) – (8:1). Технический результат – снижение соотношения аномеров : . 16 з.п. ф-лы, 1 табл.
Область изобретения Данное изобретение относится к области синтетической органической химии. В частности, оно относится к усовершенствованному способу синтеза -нуклеозидов или -нуклеозидных аналогов на основе усовершенствованной реакции сочетания между гетероциклом и фуранозилгалогенидом.
Предпосылки создания изобретенияНуклеозидные аналоги представляют важный класс соединений, которые потенциально полезны для лечения различных заболеваний. Некоторые нуклеозидные аналоги могут быть эффективны вследствие их способности ингибировать аденозинкиназу. Аденозинкиназа катализирует фосфорилирование аденозина в аденозин-5′-монофосфат (АМР). Ингибирование аденозинкиназы может эффективно увеличивать внеклеточный уровень аденозина у человека и, таким образом, потенциально служит в качестве средства для лечения ишемических болезненных состояний, таких как удар, воспаление, артрит, судороги и эпилепсия. Смотри, например, патент США 5674998. Нуклеозидные аналоги могут также обладать потенциалом для лечения хронических болей. Однако, для того чтобы проводить клинические испытания для определения клинической эффективности нуклеозидных аналогов, также как и удовлетворения спроса, коль скоро препарат уже поступил на рынок, необходимы крупномасштабные количества очищенного, представляющего интерес нуклеозидного аналога. Нуклеозидные аналоги, которые могут быть синтезированы по способу данного изобретения, состоят из фуранозы, ковалентно связанной с гетероциклом (В), как это представлено следующей формулой: ![]() Заместители в положении С4′ фуранового кольца R1 и R2 могут быть необязательно и независимо замещены такими группами, как (С1-С6)алкил или замещенный (С1-С6)алкил. Если R1 представляет -СН2-ОН и R2 представляет -Н, в этом случае нуклеозидный сахар является рибозой. Фураноза содержит аномерный углерод (в положении С1′), Вследствие наличия аномерного углерода существует два стереоизомера или аномера фуранозы: -аномер и -аномер. Смотри, например, Streitweiser and Heathcock, 1985, Introduction to Organic Chemistry, Macmillan. Стероизомерия фуранозы приводит в результате к соответствующим – и -изомерам нуклеозида. Обычно -нуклеозидный аномер является аномером, представляющим биологический интерес.
Синтез чистых -нуклеозидов и -нуклеозидных аналогов оказался трудным. Множество опубликованных схем синтеза нуклеозидных аналогов приводит к : аномерным смесям. Обычно трудно выделить -аномер из таких : смесей, особенно, если требуются количества чистого -нуклеозидного аналога в экономических масштабах. Для того, чтобы избежать нежелательных смесей : нуклеозидного аналога, в данной области техники придается особое внимание использованию исходных реагентов, которые способствуют получению -нуклеозидных аналогов по сравнению с -нуклеозидными аналогами. Известные способы могут быть подразделены на три категории: (i) способы с использованием тяжелого металла (ii), способы с использованием -фуранозилгалогенида и (iii) способ, основанный на использовании гидрида натрия/N,N-диметилформамида.
Способы с использованием тяжелого металла используют гетероанион в сочетаний с тяжелым металлом, таким как ртуть или серебро. Например, Лернеру (Lerner) удалось применить способ с использованием тяжелого металла для получения выходов 9-( , )-L-эритрофуранозиладенина, в которых -аномер преобладал над -аномером в соотношении почти тридцать к одному. Lerner, 1969, Carbohydr. Res. , 9, 1-4. По способу Лернера комплекс хлорртутного гетероцикла вводился в реакцию с -фуранозилхлоридом в присутствии горячего углеводородного растворителя с получением аналога нуклеозида. Движущей силой этой реакции являлось образование соли дихлорида ртути. Из-за токсичности ртути способ Лернера не является оптимальным для крупномасштабного синтеза -нуклеозидов. Однако в данной области хорошо известно, что вместо ртути в реакциях, таких как описаны Lerner et al., часто может использоваться серебро. Таким образом, можно избежать токсичности ртути.
Вообще способы с использованием тяжелого металла являются в общем адекватными, но менее, чем удовлетворительными на практике. Требуются стехиометрические количества тяжелого металла по отношению к сахару или гетероциклу. В крупномасштабных реакциях использование молярных соотношений 1:1 тяжелого металла к гетероциклическому аниону дорогостояще и обычно не обеспечивает экономичного решения для стереоспецифического синтеза для биологически активных нуклеозидных аналогов. Более того, в случае представляющих интерес некоторых нуклеозидных аналогов, способ с использованием тяжелых металлов часто совершенно неприменим.
Способы с использованием -фуразонилгалогенида используют -фуразонилгалогенид в качестве исходного реагента. В таких способах при сочетании фуранозила с гетороанионом проходит инверсия аномерного центра -фуранозилхлорида. Например, Ramasay et al. стереоспецифически синтезировали -7-деазагуанозин и родственные нуклеозидные аналоги с помощью способа с использованием -фуранозилгалогенида. Ramasay et al., 1987, Tetrahedron Letters, 28, 5107-5110. Способ Ramasay et al. иллюстрируется на схеме I (см. в конце описания), где TBDS представляет т-бутилдиметилсилил. На реакционной схеме (I), натриевую соль гетероцикла (2) генерируют с помощью обработки гидридом натрия (NaH) в ацетонитриле и затем вводят в реакцию с -фуранозилхлоридом (1) с получением защищенного -нуклеозидного аналога (3). С защищенного -нуклеозидного аналога (3) затем снимают защитную группу с получением -нуклеозида (4). -Фуранозилхлорид (1) может быть получен согласно способам, описанным в Wilcox et al., 1986, Tetrahedron Lett., 27, 1011.
Как и способы с использованием тяжелого металла, способы с использованием -фуранозилгалогенида функциональны, но не всегда удовлетворительны на практике. Например, такие способы не всегда могут быть приспособлены для крупномасштабного применения, поскольку исходный материал, -фуранозилгалогенид, обычно нестабилен и быстро изомеризуется в -изомер. Более того, -фуранозилгалогенид сложнее получать по сравнению с -фуранозилгалогенидным аномером. Например, для синтеза -фуранозилгалогенида обычно необходимы особые условия реакции, такие как низкая температура. По этим причинам способы которые используют -фуранозилгалогенидный аномер в качестве исходного реагента, являются предпочтительными по сравнению со способами, в которых используется -фуранозилгалогенид.
Способ с использованием гидрида натрия/N,N-диметилформамида не влечет за собой использование тяжелых металлов или -фуранозилгалогенидов. Kondo et al., 1986, Tetrahedron, 42, 199-205. В Kondo, : смесь нуклеозидного аналога (8) синтезировалась сочетанием -фуранозилхлорида (5) с гетероциклическим анионом (6) с получением защищенного -нуклеозидного аналога (7) согласно схеме II, где Тr представляет тритил и DMF (ДМФ) представляет N,N-диметилформамид. С защищенного -нуклеозидного аналога (7) затем снимают защитную группу с использованием стандартных способов с получением -нуклеозидного аналога (8). Kondo et al. обнаружили, что сочетание -фуранозилхлорида (5) с гетероциклом (6) в присутствии гидрида натрия и ДМФ приводит к крайне нежелательной смеси 3: 1 ( , )-нуклеозидного аналога (8). Для улучшения : аномерной селективности Kondo et al. проводили опыты с использованием NaBr, NaI, MgBr2OEt2 или (H-Bu)4NBr в качестве добавок к реакции (II). Наилучшим результатом, полученным в этих опытах Kondo et al., была 1:2 : смесь нуклеозидного аналога (8), когда реакция сочетания проводилась в присутствии гидрида натрия, порошка бромида натрия и ДМФ.
Как было показано Kondo et al., способ с использованием NaH/ДМФ в общем случае не желателен для крупномасштабного производства -нуклеозидных аналогов, поскольку способ не обеспечивает селективного получения в качестве продукта -нуклеозидного аналога. Скорее в качестве продукта образуется смесь и аномеров нуклеозидного аналога. Таким образом, нуклеозиды, синтезированные по способу с использованием NaH/ДМФ должны очищаться от смеси : нуклеозидных аналогов. Такая стадия очистки может быть особенно затруднительной в случае, если необходим крупномасштабный синтез нуклеозида. В заключение следует отметить, что способ с использованием NaH/ДМФ по Kondo et al. не вполне отвечает требованиям, существующим в данной области, для экономичных способов селективного синтеза -нуклеозидов и -нуклеозидных аналогов.
Как описано выше, цитированные ссылки относятся к многочисленным способам получения -нуклеозидных аналогов. Каждый способ, хотя и является функциональным во многих случаях, имеет свои недостатки. Некоторые нуклеозидные аналоги не могут синтезироваться известными способами. Часто известные способы не обеспечивают достаточно хорошей : аномерной селективности. Во многих из известных способов требуются исходные материалы, которые требуют специальных стадий синтеза и/или нестабильны. Соответственно в данной области существует потребность в усовершенствованных масштабируемых способах селективного синтеза -аномера нуклеозидов и нуклеозидных аналогов.
Краткое изложение изобретенияВ одном из аспектов настоящее изобретение предоставляет усовершенствованный способ получения 2′, 3′-O-алкилиден- -нуклеозидных аналогов и -нуклеозидных аналогов. Способ в общем включает реакцию 2′,3′-алкилиденфуранозилгалогенида с соответствующим образом защищенным гетероциклом в нуклеофильном полярном растворителе в присутствии сильного основания с получением -2′,3′-O-алкилиденнуклеозидного аналога. В предпочтительном воплощении молярное отношение сильного основания к гетероциклу составляет примерно от 1:1 до примерно 8:1. 2′,3′-O-Алкилиден затем может удаляться, давая соответствующий -нуклеозидный аналог.
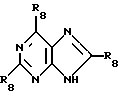
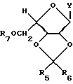
В общем случае 2′, 3′-О-алкилиденфуранозилгалогенид имеет структурную формулу![]() в которой R3 и R4 независимо выбраны из группы, состоящей из водорода, (С2-С6) алкенила и (CH2)nQ, в которой n представляет целое число от 1 до 6; или R3 и R4 вместе образуют кольцо из 3-6 атомов углерода, причем кольцо, цикл, содержит от 0 до 3 гетероатомов, выбранных из кислорода и азота, и необязательно замещено одним или несколькими Q; R5 и R6 каждый независимо выбран из группы, состоящей из водорода, Q, (C1-C6) алкила и (C1-С6) алкила, замещенного одним или более Q; Q выбран из группы, состоящей из водорода, -NO2, -N3, -CN, -SR7, -СХ3, -СF3, -X, -OR7, -C(O)OR7, -C(O)R7, -NR7R7, -NH-SO2-R7 и -SO2R7; X представляет галоген; Y представляет хлор или бром и каждый R7 независимо выбран из группы, состоящей из водорода, (C1-С6) алкила, (С2-С6) алкенила, (C5-C20) арила, замещенного (C5-C20)арила, 5-20 членного гетероарила, замещенного 5-20 членного гетероарила или R7 представляет защитную группу. Предпочтительно R3 и R4 представляют водород. Гетероциклом является любой гетероцикл, содержащий кольцевой азот, способный образовывать ковалентную связь с аномерным углеродом фуранозы или фуранозного аналога. В предпочтительном воплощении гетероцикл имеет структурную формулу ![]() ![]() ![]() ![]() ![]() или ![]() в которой каждый R8 независимо выбран из группы, состоящей из Q, (C1-С6) алкила, (C1-C6) алкила, замещенного одним или несколькими Q, (С5-С20) арила, (C5-C20) арила, замещенного одним или несколькими Q, 5-20-членного гетероарила, 5-20-членного гетероарила, замещенного одним или несколькими Q, (С6-С26)алкарила, (С6-С26) алкарила, замещенного одним или несколькими Q, 6-26-членного алкгетероарила и 6-26-членного алкгетероарила, замещенного одним или несколькими Q, и Q имеет значения, определенные выше. В предпочтительном воплощении сильным основанием является т-бутоксид натрия или т-бутоксид калия. В еще одном предпочтительном воплощении полярным растворителем является нуклеофильный полярный растворитель, выбранный из группы, состоящей из ДМСО или ДМСО, смешанного с ДМФ, ацетонитрилом, тетрагидрофураном или простым метил-т-бутиловым эфиром. Подробное описание изобретения Используемые здесь термины имеют следующие значения. “Алкил” относится к насыщенным радикалам с неразветвленной или разветвленной цепью или к циклическим углеводородным радикалам. Типичные алкильные группы включают, но не ограничиваются ими, метил, этил, пропил, изопропил, циклопропил, бутил, изобутил, т-бутил, циклобутил, пентил, изопентил, циклопентил, гексил, циклогексил и т.п. В предпочтительных воплощениях алкильные группы представляют (C1-C8)алкил, более предпочтительно (C1-C6) алкил и наиболее предпочтительно (C1-С3)алкил. “Замещенный алкил” относится к алкильному радикалу, в котором один или более атомов водорода, каждый независимо, замещен другим заместителем. Типичные заместители включают, но не ограничиваются ими, -X, -SR, -CN, -NO2, -NRR, -OR, -СХ3, -СF3, -C(O)R, -C(O)OR, -C(O)NRR, -C(NRR)=NR, -C(O)NROR, -C(NRR)= NOR, -NR-C(O)R, -NR-C(O)-NRR, -NR-C(O)-OR или -NR-SO2-R, где Х представляет галоген и каждый R независимо выбран из группы, состоящей из -Н, -(C1-С6) алкила, -(C2-C6) алкенила, -(C2-C6) алкинила, -(C5-C20) арила, замещенного -(C5-C20) арила, 5-20-членного гетероарила, замещенного 5-20-членного гетероарила, -(С6-С26) алкарила, замещенного (C6-C26) алкарила, 6-26-членного алкгетероарила и замещенного 6-26-членного алкгетероарила, как определено здесь. “Алкенил” относится к ненасыщенным углеводородным радикалам с неразветвленной или разветвленной цепью или циклическим углеводородным радикалам, имеющим, по крайней мере, одну углерод-углеродную двойную связь. Радикалы могут иметь или цис- или транс-конформацию относительно двойной связи(ей). Типичные алкенильные группы включают, но не ограничиваются ими, этенил, винилиден, пропенил, пропилиден, изопропенил, изопропилиден, бутенил, бутенилиден, изобутенил, трет-бутенил, циклобутенил, пентенил, изопентенил, циклопентенил, гексенил, циклогексенил и т.п. В предпочтительных воплощениях алкенильная группа представляет (C2-C8) алкенил, более предпочтительно (C2-C6) алкенил и наиболее предпочтительно (С2-С3)алкенил. “Замещенный алкенил” относится к алкенильному радикалу, в котором один или более атомов водорода, каждый независимо, замещен другим заместителем. Типичные заместители включают, но не ограничиваются ими, -X, -SR, -CN, -NO2, -NRR, -OR, -СХ3, -СF3, -C(O)R, -C(O)OR, -C(O)NRR, -C(NRR)=NR, -C(O)NROR, -C(NRR)= NOR, -NR-C(O)R, -NR-C(O)-NRR, -NR-C(O)-OR или -NR-SO2-R, где Х представляет галоген и каждый R независимо выбран из группы, состоящей из -Н, -(C1-С6) алкила, -(C2-С6) алкенила, -(С2-С6) алкинила, -(C5-C20) арила, замещенного -(С5-С20) арила, 5-20-членного гетероарила, замещенного 5-20-членного гетероарила, -(С6-С26) алкарила, замещенного (С6-С26) алкарила, 6-26-членного алкгетероарила и замещенного 6-26-членного алкгетероарила, как определено здесь. “Алкинил” относится к ненасыщенному радикалу с разветвленной или неразветвленной цепью или к циклическому углеводородному радикалу, содержащему, по крайней мере, одну тройную углерод-углеродную связь. Типичные алкинильные группы включают, но не ограничиваются ими, этинил, пропинил, бутинил, изобутинил, пентинил, гексинил и т.п. В предпочтительных воплощениях алкинильные группы представляют (C2-C8) алкинил, более предпочтительно (С2-С6) алкинил и наиболее предпочтительно (С2-С3)алкинил. “Замещенный алкинил” относится к алкинильному радикалу, в котором один или более атомов водорода, каждый независимо, замещен другим заместителем. Типичные заместители включают, но не ограничиваются ими, -X, -SR, -CN, -NO2, -NRR, -OR, -СХ3, -CF3, -C(O)R, -C(O)OR, -C(O)NRR, -C(NRR)=NR, -C(O)NROR, -C(NRR)= NOR, -NR-C(O)R, -NR-C(O)-NRR, -NR-C(O)-OR или -NR-SO2-R, где Х представляет галоген и каждый R независимо выбран из группы, состоящей из -Н, -(C1-С6) алкила, -(С2-С6) алкенила, -(С2-С6) алкинила, -(C5-C20) арила, замещенного -(C5-C20) арила, 5-20-членного гетероарила, замещенного 5-20-членного гетероарила, -(С6-С26) алкарила, замещенного (С6-С26) алкарила, 6-26 членного алкгетероарила и замещенного 6-26 членного алкгетероарила, как определено здесь. “Арил” относится к ненасыщенным циклическим углеводородным радикалам, имеющим сопряженную -электронную систему. Типичные арильные группы включают, но не ограничиваются ими, пента-2,4-диенил, фенил, нафтил, ацеантрил, аценафтил, антрацил, азуленил, хризенил, индаценил, инданил, оваленил, периленил, фенантренил, феналенил, пиценил, пиренил, пирантренил, рубиценил и т. п. В предпочтительных воплощениях арильной группой является (С5-С20)арил, более предпочтительно (С5-С10)арил и наиболее предпочтительно фенил.
“Замещенный арил” относится к арильному радикалу, в котором один или более атомов водорода, каждый независимо, замещен другим заместителем. Типичные заместители включают, но не ограничиваются ими, -X, -SR, -CN, -NO2, -NRR, -OR, -СХ3, -СF3, -C(O)R, -С(О)OR, -С(О)NRR, -C(NRR)=NR, -C(O)NROR, -C(NRR)=NOR, -NR-C(O)R, -NR-C(О)-NRR, -NR-C(O)-OR или -NR-SO2-R, где Х представляет галоген и каждый R независимо выбран из группы, состоящей из -Н, -(C1-С6) алкила, -(C2-С6) алкенила, -(С2-С6) алкинила, -(C5-C20) арила, замещенного -(C5-C20) арила, 5-20-членного гетероарила, замещенного 5-20-членного гетероарила, -(С6-С26) алкарила, замещенного (C6-C26) алкарила, 6-26-членного алкгетероарила и замещенного 6-26-членного алкгетероарила, как определено здесь.
“Алкарил” относится к алкильной, алкенильной или алкинильной группе с неразветвленной цепью, в которой один из атомов водорода, связанных с концевым углеродом, замещен арильным фрагментом. Алкарил также относится к алкильной, алкенильной или алкинильной группе с разветвленной цепью, в которой один из атомов водорода, связанных с концевым углеродом, замещен арильным фрагментом. Типичные алкарильные группы включают, но не ограничиваются ими, бензил, бензилиден, бензилидин, бензолбензил, нафталинобензил и т.п. В предпочтительных воплощениях алкарильная группа представляет (С6-С26) алкарил, т. е. алкильный, алкенильный или алкинильный фрагмент алкарильной группы представляет (C1-C6) и арильный фрагмент представляет (C5-C20). В особенно предпочтительных воплощениях алкарильная группа представляет (С6-C13), т.е. алкильный, алкенильный или алкинильный фрагмент алкарильной группы представляет (C1-С3) и арильный фрагмент представляет (C5-С10).
“Замещенный алкарил” относится к алкарильному радикалу, в котором один или более атомов водорода в арильном фрагменте, каждый независимо, замещен другим заместителем. Типичные заместители включают, но не ограничиваются ими, -X, -SR, -CN, -NO2, -NRR, -OR, -СХ3, -СF3, -C(O)R, -С(О)OR, -C(O)NRR, -C(NRR)=NR, -C(O)NROR, -C(NRR)=NOR, -NR-C(O)R, -NR-C(O)-NRR, -NR-C(O)-OR или -NR-SO2-R, где Х представляет галоген и каждый R независимо выбран из группы, состоящей из -Н, -(C1-C6) алкила, -(C2-C6) алкенила, -(С2-С6) алкинила, -(C5-C20) арила, замещенного -(C5-C20) арила, 5-20-членного гетероарила, замещенного 5-20-членного гетероарила, -(С6-С26) алкарила, замещенного (C6-C26) алкарила, 6-26-членного алкгетероарила и замещенного 6-26-членного алкгетероарила, как определенно здесь.
“Гетероарил” относится к арильному фрагменту, в котором один или более атомов углерода замещены другим атомом, таким как N, Р, О, S, As, Ge, Se, Si, Те и т.д. Типичные гетероарильные группы включают, но не ограничиваются ими, акридарсин, акридин, арсантридин, арсиндол, арсиндолин, бензодиоксол, бензотиадиазол, карбозол, -карболин, хроман, хромен, циннолин, фуран, имидазол, индазол, индол, (1,3)-бензодиоксол, оксиндол, азаиндол, изоиндол, индоли-зин, изоарсиндол, изоарсинолин, изобензофуран, изохроман, изохромен, изоиндол, изофосфоиндол, изофосфинолин, изохинолин, изотиазол, изоксазол, нафтиридин, перимидин, фенантридин, фенантролин, феназин, фосфоиндол, фосфинолин, фталазин, пиаэтиол, птеридин, пурин, пиран, пиразин, пиразол, пиридазин, пиридин, пиримидин, пиррол, пирролизин, хиназолин, хинолин, хинолизин, хиноксалин, селенофен; теллурофен, тиазопирролизин, тиофен и ксантен. В предпочтительных воплощениях гетероарильная группа представляет собой 5-20-членный гетероарил, причем 5-10-членный гетероарил особенно предпочтителен.
“Замещенный гетероарил” относится к гетероарильному радикалу, в котором один или более атомов водорода, каждый независимо, замещен другим заместителем. Типичные заместители включают, но не ограничиваются ими, -X, -SR, -CN, -NO2, -NRR, -OR, -СХ3, -СF3, -C(O)R, -С(О)OR, -C(O)NRR, -C(NRR)=NR, -C(O)NROR, -C(NRR)= NOR, -NR-C(O)R, -NR-C(O)-NRR, -NR-C(O)-OR или -NR-SO2-R, где Х представляет галоген и каждый R независимо выбран из группы, состоящей из -Н, -(C1-С6) алкила, -(С2-С6) алкенила, -(С2-С6) алкинила, -(C5-C20) арила, замещенного -(C5-C20) арила, 5-20-членного гетероарила, замещенного 5-20-членного гетероарила, -(С6-С26) алкарила, замещенного (С6-С26) алкарила, 6-26-членного алкгетероарила и замещенного 6-26-членного алкгетероарила, как определенно здесь.
“Алкгетероарил” относится к алкильной, алкенильной или алкинильной группе с неразветвленной или разветвленной цепью, в которой один из атомов водорода, связанных с концевым атомом углерода, замещен гетероарильным фрагментом. В предпочтительных воплощениях алкгетероарильная группа представляет 6-26-членный алкгетероарил, т.е. алкильный, алкенильный или алкинильный фрагмент алкгетероарила представляет (C1-С6), а гетероарильный фрагмент представляет 5-20-членный гетероарил. В особенно предпочтительных воплощениях алкгетероарил представляет 6-13-членный алкгетероарил, т.е. алкильный, алкенильный или алкинильный фрагмент представляет (C1-С3) и гетероарильный фрагмент представляет 5-10-членный гетероарил.
“Замещенный алкгетероарил” относится к алкгетероарильному радикалу, в котором один или более атомов водорода в гетероарильном фрагменте, каждый независимо, замещен другим заместителем. Типичные заместители включают, но не ограничиваются ими, -X, -SR, -CN, -NO2, -NRR, -OR, -СХ3, -СF3, -C(O)R, -C(O)OR, -C(O)NRR, -C(NRR)= NR, -C(O)NROR, -C(NRR)=NOR, -NR-C(O)R, -NR-C(O)-NRR, -NR-C(O)-OR или -NR-SO2-R, где X представляет галоген и каждый R независимо выбран из группы, состоящей из -Н, -(C1-C6) алкила, -(С2-С6) алкенила, -(С2-С6) алкинила, -(C5-C20) арила, замещенного -(С5-С20)арила, 5-20-членного гетероарила, замещенного 5-20-членного гетероарила, -(С6-С26)алкарила, замещенного (С6-С26)алкарила, 6-26-членного алкгетероарила и замещенного 6-26-членного алкгетероарила, как определено здесь.
“Гидроксильная защитная группа” включает, но не ограничивается ею, группу, которая превращает гидроксил в простой или сложный эфир. Представители простых эфиров, образуемые гидроксильными защитными группами, включают метиловый эфир, метоксиметиловый эфир, метилтиометиловый эфир; 2-метоксиэтоксиметиловый эфир, бис(2-хлорэтокси)метиловый эфир; тетрагидропираниловый эфир, тетрагидротиопираниловый эфир, метокситетрагидропираниловый эфир, 4-метокситетрагидротиопираниловый эфир, тетрагидрофураниловый эфир, тетрагидротиофураниловый эфир, 1-этоксиэтиловый эфир, 1-метил-1-метоксиэтиловый эфир, 2-(фенилселенил)этиловый эфир, т-бутиловый эфир; аллиловый эфир, бензиловый эфир, o-нитробензиловый эфир, трифенилметиловый эфир, -нафтилдифенилметиловый эфир, п-метоксифенилдифенилметиловый эфир, 9-(9-фенил-10-оксо)антриловый эфир, триметиловый эфир, изопропилдиметилсилиловый эфир, т-бутилдиметилсилиловый эфир, т-бутилдифенилсилиловый эфир, трибензилсилиловый эфир, триизопропилсилиловый эфир, п-метоксибензиловый эфир, 3,4-диметоксибензиловый эфир; о-нитробензиловый эфир, п-нитробензиловый эфир; п-галогенбензиловый эфир, 2,6-дихлорбензиловый эфир; п-цианобензиловый эфир, п-фенилбензиловый эфир, 2- и 4-пиколиловый эфир, N-оксидо-3-метил-2-пиколиловый эфир, дифенилметиловый эфир, трифенилметиловый эфир; производный трифенилметилового эфира, п-метоксифенилдифенилметиловый эфир, ди(п-метоксифениловый) эфир, фенилметиловый эфир, три(п-метоксифенил)метиловый эфир, 9-антриловый эфир, 9-(9-фенил)ксантениловый эфир, (9-фенил-10-оксо)антриловый эфир, 1,3-бензодитиолан-2-иловый эфир, S,S-диоксидобензоизотиазолиловый эфир; триметилсилиловый эфир, триэтилсилиловый эфир, триизопропилсилиловый эфир, диметилизопропилсилиловый эфир; диэтилизопропилсилиловый эфир; диметилгексилсилиловый эфир, т-бутилдиметилсилиловый эфир, т-бутилдифенилсилиловый эфир; трибензилсилиловый эфир, три-п-ксилилсилиловый эфир, трифенилсилиловый эфир, дифенилметилсилиловый эфир и т-бутилметоксифенилсилиловый эфир. Представители сложных эфиров, образуемых гидроксильными защитными группами, включают ацетатный эфир, трихлорацетатный эфир, феноксиацетатный эфир, изобутиратный эфир, пивалоатный эфир, адамантоатный эфир, бензоатный эфир, 2,4,5-триметилбензоатный эфир, карбонатные эфиры, N-фенилкарбаматный эфир, нитратный эфир и 2,4-динитрофенилсульфенатный эфир. Смотри, например, Greene & Wuts, Protective Groups in Organic Synthesis, 1991, John Wiley & Sons, New York.
“Галоген”, используемый здесь, если не оговорено особо, включает хлор, фтор, бром и иод.
Настоящее изобретение представляет усовершенствованный способ сочетания сахаров с гетероциклами для селективного образования -нуклеозидов и/или -нуклеозидных аналогов. В способе по настоящему изобретению -нуклеозиды или -нуклеозидные аналоги селективно синтезируют сочетанием гетероцикла с фуранозилгалогенидом в нуклеофильном полярном растворителе в присутствии сильного основания. Реакция сочетания по настоящему изобретению дает преимущества, поскольку нет необходимости в -фуранозилгалогениде, и данная реакция приводит к образованию нуклеозидов и нуклеозидных аналогов с высокой селективностью. Поскольку реагенты, используемые в способах по настоящему изобретению, стабильны и не используются тяжелые металлы, данный способ легко может использоваться в крупных масштабах для получения представляющих интерес -нуклеозидных аналогов в килограммовых количествах.
Способ по данному изобретению представлен на реакционной схеме III, где R3 и R4 каждый независимо выбран из группы, состоящей из водорода, (С2-С6) алкенила и (CH2)nQ, где n является целым числом от 1 до 6,или R3 и R4 вместе образуют кольцо из 3-6 атомов углерода, причем кольцо содержит от 0 до 3 гетероатомов, выбираемых из кислорода и азота, и необязательно замещено одним или более Q; R5 и R6 оба независимо выбраны из группы, состоящей из водорода, Q, (C1-С6) алкила и (C1-C6) алкила, замещенного одним или более Q; Q выбирают из группы, состоящей из водорода, -NO2, -N3, -CN, -SR7, -СХ3, -СF3, -X, -OR7, -C(O)OR7, -C(O)R7, -NR7R7, -NH-SO2-R7 и -SO2R7; каждый R7 независимо выбран из группы, состоящей из водорода, (C1-С6) алкила, (С2-С6) алкенила, (C5-C20) арила, замещенного (С5-С20) арила, 5-20-членного гетероарила и замещенного 5-20-членного гетероарила или R7 представляет защитную группу; Х представляет галоген; Y представляет хлор или бром и В представляет гетероцикл, содержащий циклический азот, способный образовывать ковалентную связь с аномерным углеродом фуранозы или фуранозного аналога. В предпочтительном воплощении R3 и R4 каждый представляет водород. В более предпочтительном воплощении R3 представляет -СН2ОR7 и R4 представляет Н или R3 представляет Н и R4 представляет -CH2OR7, где R7 является защитной группой. В более предпочтительном воплощении R5 и R6 каждый представляет метил. В более предпочтительном воплощении 2′,3′-O-алкилинденфуранозилгалогенид представляет 2,3-O-изопропилиден- -D-эритрофуранозилхлорид.
Фуранозилгалогенид (9) может быть смесью фуранозилгалогенида или чистым -фуранозилгалогенидом. Таким образом, реакция (III) не требует никакого -фуранозилгалогенида. Не связывая себя с какой-либо конкретной теорией, считается, что если используется смесь фуранозилгалогенида (9), -аномер превращается в -аномер перед реакцией с гетероанионом в реакции (III). Вне зависимости от того, используется ли в реакции (III) смесь фуранозилгалогенидов, -фуранозилгалогенид или -фуранозилгалогенид, гетероанионное основание (В) будет транс- по отношению к 2′,3′-О-алкилидену в соединениях (11), синтезированных при использовании реакции (III).
С 2′,3′-О-алкилиден- -нуклеозидных аналогов (11) может быть снята защита с образованием соответствующих -нуклеозидных аналогов с помощью общепринятых средств. Например, с них может быть снята защитная группа путем растворения 2′,3′-О-алкилиден- -нуклеозидных аналогов (11) в гидроксильном растворителе в присутствии кислоты согласно реакционной схеме (IV) и, как подробно обсуждается ниже и в примерах.
В данной области известны и другие подходящие способы снятия защитной группы. Смотри, например, Greene and Wuts, Protective Groups in Organic Synthesis, 1991, John Wiley & Sons, New York.
Используемая здесь система нумерации фуранозильного кольца традиционна и является следующей:![]() где С1′ определен как аномерный углерод. Таким образом, термины “ -нуклеозид” и “ -нуклеозидный аналог”, используемые здесь, относятся к соединениям формулы (12), в которых стереохимия С1′ аномерного углерода соответствует . Дополнительно термин “2′,3′-O-алкилиден- -нуклеозид” и “2′, 3′-O-алкилиден- -нуклеозидный аналог”, используемые здесь, относятся к соединениям формулы (12), в которых стереохимия С1′ аномерного углерода соответствует . Более того, все упоминаемые здесь “нуклеозидные аналоги” включают “нуклеозиды”, а все упоминаемые “2′,3′-O-алкилиден- -нуклеозидные аналоги” включают “2′,3′-O-алкилиден- -нуклеозиды”.
Гетероциклы, охватываемые объемом настоящего изобретения, включают все гетероциклы, используемые в синтезе нуклеозидов или нуклеозидных аналогов. Все такие гетероциклы содержат циклический NH, способный к образованию ковалентной связи с аномерным С1′ углеродом фуранозы (9). Этот циклический NH здесь называют “потенциальным NH”. Следовательно, гетероциклы по настоящему изобретению включают, но не ограничиваются ими, пиримидины, такие как цитозин, тимин и урацил, пирины, такие как аденин, гуанин, кофеин и теобромин, пирролопиримидины, пирролопиримидин-4-оны, пиразолопиримидины и 3-галогеналлопуринолы. Смотри, например, патент США 5674998; Ramasay et al., см. выше, Kondo et al., см. выше, и Cottam et al., см. выше. Другие примеры гетероциклов, входящих в объем изобретения, описаны в Fasman, 1980, Biochemistry and Molecular Biology, CRC Press. Дополнительно патенты США 5852027, 5840743, 5837871, 5830881, 5808147, 5763596, 5747473, 5744596, 5726174, 5693771, 5605903, 5246931, 5110926, 4859677 и 4751292 дают несколько примеров представителей нуклеозидных аналогов и их соответствующих гетероциклов, которые входят в объем настоящего изобретения.
В общем случае предпочтительны гетероциклы, в которых потенциальный NH находится в 5-членном ароматическом кольце. Таким образом, предпочтительны гетероциклы, такие как пирролопиримидины, пирролопиримидин-4-оны, пиразолопиримидины и пурины. Более предпочтительно гетероциклом является пирроло(2,3-d)пиримидин, пирроло(2,3-d)пиримидин-4-он или пиразоло(3,4-d)пиримидин.
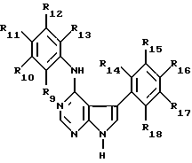
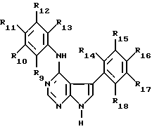
В предпочтительном воплощении гетероцикл имеет структурную формулу![]() ![]() ![]() ![]() ![]() или ![]() где каждый R8 независимо выбран из группы, состоящей из Q, (C1-С6) алкила, (C1-C6) алкила, замещенного одним или несколькими Q, (С5-С20) арила, (C5-C20) арила, замещенного одним или несколькими Q, 5-20-членного гетероарила, 5-20-членного гетероарила, замещенного одним или несколькими Q, (С6-С26) алкарила, (C6-C26) алкарила, замещенного одним или несколькими Q, 6-26-членного алкгетероарила и 6-26-членного алкгетероарила, замещенного одним или несколькими Q, и Q имеет определенные выше значения. В другом предпочтительном воплощении гетероцикл имеет структурную формулу: ![]() в которой R9, R10, R11, R12, R13, R14, R15, R16, R17 и R18 каждый независимо выбран из группы, состоящей из Q, (C1-С6) алкила, (C1-C6) алкила, замещенного одним или несколькими Q, (C5-C20) арила, (C5-C20) арила, замещенного одним или несколькими Q, 5-20-членного гетероарила, 5-20-членного гетероарила, замещенного одним или несколькими Q, (С6-С26) алкарила, (С6-С26) алкарила, замещенного одним или несколькими Q, 6-26-членного алкгетероарила и 6-26-членного алкгетероарила, замещенного одним или несколькими Q, и Q имеет определенные выше значения. В предпочтительном воплощении R9, R10, R11, R12 и R13 каждый независимо выбран из группы, состоящей из водорода, галогена, -NH2, -NO2, -CN, -CF3 и -ОСН3, и каждый из R14, R15, R16, R17 и R18 представляет водород. В более предпочтительном воплощении R11 представляет фтор и каждый из R9, R10, R12 и R13 представляет водород. В еще более предпочтительном воплощении гетероцикл представляет 5-фенил-4-N-(4-фторфенил)аминопирроло(2,3-d)пиримидин. Некоторые гетероциклы и сахара данного изобретения требуют введения одной или нескольких защитных групп перед реакцией сочетания (III). Например, может требоваться защита амидных кислородов и гидроксильных групп. Подходящими защитными группами являются группы, устойчивые к расщеплению в сильно основных условиях реакции сочетания (III). В сахарах данного изобретения алкилиден используется для защиты С2′ и С3′ гидроксилов путем образования простых эфиров по обоим гидроксилам. Другие гидроксилы, присутствующие в сахаре или гетероцикле, могут быть защищены при использовании обычных способов, включающих превращение гидроксилов в простые и сложные эфиры с использованием стандартных гидроксильных защитных групп. Фактическая защитная группа, используемая для защиты конкретных гетероциклов, в значительной степени зависит от точной природы сахара и гетероцикла, которые должны вводиться в реакцию сочетания. Если гидроксил защищают превращением его в простой или сложный эфир, существует несколько различных типов простых и сложных эфиров, которые могут образовываться. Смотри, например, определение “гидроксильная защитная группа”, представленное выше, или Greene & Wuts, Protective Groups in Organic Synthesis, см. выше. Способ, используемый для защиты амида, в значительной степени зависит от природы сочетаемых гетероцикла и сахара. Амиды могут быть защищены N- или О-алкилированием. В некоторых случаях обычные амидные защитные группы включают, но не ограничиваются ими, силильные группы, могут использоваться фосфинотиоильная, 2-нитрофенильная, цианоэтильная или нитрофенилэтильная группы. Смотри, например, Daskalov et al., 1981, Bull Chem. Soc. Japan, 54, 3076, Jones et al. , 1981, Tetrahedron Lett., 22, 4755, Gaffney and Jones, 1982. Tetrahedron Lett. , 23, 2257; Trichtinger et al., 1983, Tetrahedron Lett., 24, 211. В зависимости от заместителей, присоединенных к гетероциклу, и функциональных групп R3 и R4 сахара, могут быть необходимы дополнительные защитные группы. Такие защитные группы хорошо известны в данной области. Например, широкий выбор стабильных к основаниям защитных групп может быть найден в Greene and Wuts, Protective Groups in Organic Synthesis, John Wiley & Sons, New York. Как только реакция сочетания (III) завершается, защитные группы удаляют. Алкилиденовую группу, которая защищает фуранозильные С2′ и С3′ гидроксилы в течение реакции (III), удаляют в кислых условиях в присутствии гидроксильного растворителя. Подходящие кислоты для данной стадии снятия защитной группы включают любую кислоту, которая является достаточно сильной для катализа удаления алкилиденовой группы, включая, но не ограничиваясь ими, НС1, серную кислоту или трифторуксусную кислоту. Подходящие гидроксильные растворители включают спирты и Н2О. Защитные группы, связывающие гидроксил, образуя простой эфир, могут быть удалены с использованием мягких кислых условий с получением свободного гидроксила. Смотри, например, Gait, 1984, Oligonucleotide Synthesis, см. выше. Ацилзащищенные экзоциклические амины обычно деацилируют путем добавления концентрированного аммиака. См., например, Gait, 1984, Oligonucleotide Synthesis, см. выше. Альтернативные способы снятия защитной группы известны специалистам в данной области. Примеры способов снятия защитной группы могут быть найдены в Greene and Wuts, Protective Groups in Organic Synthesis, см. выше. Углероды С2′ и С3′ фуранозилгалогенида связываются алкилиденом с образованием пятичленного кольца согласно структурной формуле (9) ![]() в которой R3, R4, R5, R6 и Y имеют значения, определенные выше. В предпочтительном воплощении R5 и R6 представляют метил и алкилиден, таким образом, представляет изопропилиден. Реакционная схема (III) не зависит от абсолютной стереохимии пятичленного кольца формулы (9). Специалисты в данной области понимают, что атом углерода, к которому присоединены R5 и R6, является хиральным центром, если R5 и R6 являются различными. Реакционная схема (III) не зависит от хиральности данного центра. Более того, хиральность данного центра сохраняется в течение реакции (III) и, следовательно, стереохимия этого хирального центра будет сохраняться в соответствующем -2′,3′-O-алкилиденнуклеозидном аналоге (11).
Для того чтобы осуществить аномер-специфическую реакцию, изображенную на схеме (III), следует использовать нуклеофильный полярный растворитель. Не ограничиваясь какой-либо определенной теорией, считается, что нуклеофильный полярный растворитель необходим, поскольку он вовлекается в реакционный механизм реакционной схемы (III). Подходящие нуклеофильные полярные растворители включают любые растворители, которые позволяют растворять гетероцикл, сахарные субстраты и сильное основание, примеры которых включают, но не ограничиваются ими, N,N-диметилформамид (ДМФ), ацетонитрил, тетрагидрофуран (ТГФ), диметилсульфоксид (ДМСО) и их смеси. В предпочтительном воплощении такими смесями, являются смесь ДМСО : растворитель.
Неожиданно было обнаружено, что ДМСО и смеси ДМСО растворитель работают значительно лучше, чем другие нуклеофильные полярные растворители. Таким образом, нуклеофильный полярный растворитель предпочтительно представляет ДМСО или смесь ДМСО : растворитель. Использование смеси ДМСО : растворитель, а не ДМСО, приводит к несущественным улучшениям в отношении : селективности реакции. Однако использование смеси ДМСО : растворитель, а не ДМСО может, в зависимости от используемых субстратов, улучшить эффективность реакции (III). Если используется смесь ДМСО : растворитель, предпочтительно, чтобы использовались ДМФ, ацетонитрил, ТГФ и/или т-бутилметиловый эфир (МТВЕ) для приготовления смеси ДМСО: растворитель. Ожидается, что может использоваться любое количество ДМСО по отношению к растворителю для приготовления смеси ДМСО : растворитель, пока в смеси ДМСО : растворитель присутствует заметное количество ДМСО, т.е., по крайне мере, примерно 15% ДМСО (по объему) от общего объема, такое, как например, примерно от 15% до 25% ДМСО (по объему). Такая смесь ДМСО : растворитель может включать 1 часть ДМСО, смешанную с 0-3 частями раствора, включающего один или более растворителей, выбранных из группы, состоящей из ДМФ, ацетонитрила, ТГФ и МТВЕ. Так, например, смесь ДМСО : растворитель, состоящая из 1 части ДМСО и 3 частей МТВЕ, отвечает требованиям для обеспечения реакционной схемы (III). Таблица дает подробности некоторых иллюстративных нуклеофильных полярных растворителей настоящего изобретения.
В реакционной схеме (III) допускаются количества воды в виде следов. Однако было обнаружено, что присутствие одной части воды на две части сахарного субстрата значительно затрудняет реакцию сочетания. Таким образом, полярные нуклеофильные растворители предпочтительно являются безводными, и реакция проводится в безводных условиях, особенно, когда используются гигроскопичные растворители. Поскольку предпочтительны безводные условия, реакцию предпочтительно проводят в инертной атмосфере, такой как гелий, азот или аргон.
В предпочтительном воплощении способ по данному изобретению проводится, когда 2′, 3′-O-алкилиденфуранозилгалогенид представляет 2,3-O-изопропилиден- -D-эритрофуранозилхлорид; подходящим защищенным гетероциклом является 5-фенил-4-N-(4-фторфенил)аминопирроло(2,3-d)пиримидин и нуклеофильный полярный растворитель представляет ДМСО.
Сочетание 2′,3′-O-алкилиденфуранозилгалогенида с гетероциклом проводится в присутствии сильного основания. Сильное основание вызывает анионизацию кольцевых азотов, которые способны к образованию анионов. Фуранозилгалогенид реагирует с анионизированным кольцевым азотом, приводя к алкилированию азота кольца фуранозилом. Если в гетероцикле присутствует только один анионизированный кольцевой азот, будет образовываться только один алкилированный гетероцикл. Если гетероцикл содержит два кольцевых азота, которые способны анионизироваться сильным основанием, будет образовываться смесь гетероциклического аниона, в котором некоторые гетероциклы анионизированы по первому кольцевому азоту, а некоторые из гетероциклов анионизированы по второму кольцевому азоту. Такая смесь гетероциклического аниона приведет к соответствующей смеси алкилированных гетероциклических продуктов. Если гетероцикл содержит более чем два кольцевых амина, могут образовываться более сложные смеси алкилированных гетероциклических продуктов. Поскольку каждый алкилированный продукт в смеси представляет сочетание сахара с различными азотами гетероцикла, алкилированные продукты будут иметь отличные друг от друга химические свойства. Следовательно, даже, если образуется нежелательный алкилированный гетероцикл, он может обычно отделяться от желаемого нуклеозидного аналога с использованием обычных способов очистки, таких как кислотная экстракция. Однако желательно минимизировать нежелательные алкилированные продукты для того, чтобы сохранить фуранозилгалогенидный и гетероциклический исходные реагенты.
Образование нежелательных алкилированных гетероциклических продуктов сводится до минимума оптимизацией количества гетероцикла, который образует анион, по желаемому азоту гетероцикла. Например, когда 5-фенил-4-N-(4-фторфенил)аминопирроло(2,3-d)пиримидин смешивается с сильным основанием, образуется анион, который существует в резонансных формах между первым и седьмым азотом кольца. Алкилирование седьмого азота (N7-алкилирование) дает желаемый нуклеозид, тогда как алкилирование первого азота (N1-алкилирование) приводит к нежелательному побочному продукту. Было неожиданно обнаружено, что при использовании т-бутоксида натрия или т-бутоксида калия может оптимизироваться количество N7-аклирования по отношению к N1-алкилированию. Соответственно, как описано в примере 2 ниже, 3:1 смесь N7-N1-алкилированного гетероцикла может получаться при использовании т-бутоксида натрия. Поскольку N1-алкилированный гетероцикл более основен, чем N7-алкилированный гетероцмкл, N1-алкилированный гетероцикл легко удаляется из смеси N7:N1 алкилированного гетероцикла с помощью кислотной экстракции.
Любое сильное основание, способное образовывать анион гетероцикла, содержащий кольцевой NH, входит в объем изобретения. Подходящие основания в общем включают щелочные гидроксиды, такие как гидроксид натрия или гидроксид калия, (С4-С10) щелочные алкоксиды, такие как щелочной т-бутоксид и щелочной т-пентоксид (щелочной амилат), а также и щелочные гидриды. В некоторых случаях, гидроксиды щелочноземельных металлов, такие как Мg(ОН)2 или Ca(OH)2 могут в ограниченной степени обеспечивать реакционную схему (III). Однако ожидается, что основания щелочноземельных металлов в общем не будут работать достаточно хорошо. Хотя, сильными основаниями по данному изобретению являются в общем основания щелочных металлов, ожидается, что из щелочных металлов литий будет работать очень плохо из-за его физических свойств. Предпочтительным сильным основанием является гидрид щелочного металла или т-бутоксид щелочного металла. Более предпочтительно сильное основание представляет гидрид натрия, гидрид калия, т-бутоксид натрия, т-пентоксид натрия, т-бутоксид калия или т-пентоксид калия. Более предпочтительно сильным основанием является т-бутоксид натрия или т-бутоксид калия. Наиболее предпочтительно сильным основанием является т-бутоксид натрия.
Kondo et al., см. выше, описывают способ синтеза нуклеозидных аналогов, который использует сильное основание, гидрид натрия и нуклеофильный полярный растворитель, ДМФ. Однако Kondo et al. не смогли синтезировать нуклеозиды, которые имеют низкое : соотношение. Для того чтобы решить эту проблему селективности, Kondo et al. попытались использовать различные соли в качестве добавок. Однако даже после многочисленных попыток улучшить аномерную селективность, они смогли достичь только : соотношение нуклеозидных продуктов 1:2, применяя способ с использованием гидрида натрия/ДМФ. Способы по настоящему изобретению обеспечивают гораздо лучшие (то есть меньшие) соотношения : нуклеозидных продуктов, чем Kondo et al. В случае синтеза 4-N-(4-фторфенил)амино-5-фенил-1- -D-эритрофуранозил)пирроло-(2,3-d)пиримидина (целевое соединение в примере 4 ниже) при использовании ДМСО и т-бутоксида натрия, отношение : нуклеозидного продукта было ниже чем 1:100. В зависимости от используемого конкретного сахара и гетероанионного субстрата способы по данному изобретению могут обеспечить даже лучшие соотношения : нуклеозидного продукта. Однако в зависимости от используемого конкретного сахара и гетероанионного субстрата способы по данному изобретению в общем дают : соотношение нуклеозидного продукта менее чем 1:2, более типично менее чем 1:50 и часто менее чем 1:100 или лучше. Способы по данному изобретению показывают, что комбинация гидрида натрия и ДМФ, используемая Kondo et al. , является неудовлетворительной. Обычно, способы данного изобретения дают лучшие (т.е. меньшие) : соотношения нуклеозидного продукта, чем Kondo et al., независимо от используемого сахарного и гетероанионного субстрата.
Обычно молярное отношение сильного основания к гетероциклу составляет в диапазоне примерно от 1:1 до 8:1. Было установлено, что молярное отношение сильного основания к гетероциклу, по крайней мере, 1:1 является необходимым для эффективного протекания реакции (III). Использование менее чем примерно 1: 1 молярного отношения сильного основания к гетероциклу приводит к образованию некоторого количества нуклеозидного аналога. Однако реакция (III) преждевременно заканчивается и приводит к потере значительного количества реагентов. Для предотвращения этого обычно используют молярное отношение сильного основания к гетероциклу примерно от 2:1 до 4:1.
Реакционную схему (III) обычно проводят при комнатной температуре (примерно 20-30oС). Было обнаружено, что повышенные температуры, такие как примерно от 40 до 50oС, не оказывают никакого благотворного влияния ни на выход реакции (III), ни на соотношение : нуклеозидного продукта или нуклеозидного аналога.
Реакция (III) не зависит от молярного отношения 2′,3′-O-алкилиденфуранозилгалогенида к гетероциклу. Может использоваться молярное отношение 2′, 3′-O-алкилиденфуранозилгалогенида к гетероциклу примерно от 1:1 до 3:1 и обычно используется молярное отношение от 3:2 до 2:1. Предпочтительное молярное отношение 2′,3′-O-алкилиденфуранозилгалогенида к гетероциклу составляет примерно 3:2.
Реакция (III) может проводиться в крупных масштабах без потери выхода. Например, реакция (III) успешно завершилась с использованием граммовых количеств (Пример 2 ниже) и килограммовых количеств (пример 3 ниже) 2′,3′-O-алкилиденфуранозилгалогенида и гетероцикла. Соотношение : нуклеозидных аналогов, полученных при использовании способов данного изобретения, обычно значительно лучше (т.е. меньше), чем соотношения, полученные в случае известных ранее реакций. Например, в примере 2 соотношение : было меньше чем 1:100. Данное соотношение является осторожной оценкой, поскольку высокоэффективная жидкостная хроматография (HPLC) конечного продукта не дала возможности определить наличие какого-либо -нуклеозидного продукта. На самом деле : соотношение может быть значительно ниже чем 1:100.
Продолжительность времени, необходимого для завершения реакции (III), зависит от используемых сильного основания и конкретного 2′,3′-O-алкилиденфуранозилгалогенида и гетероцикла. Однако по общим оценкам реакция (III) завершается примерно через два часа. В случае 4-N-(4-фторфенил)амино-5-фенил-1-(2,3-О-изопропилиден- -D-эритрофуранозил)пирроло(2,3-d)пиримидина найдено, что время реакции порядка 14-15 часов не приводит к улучшению выхода по сравнению с двумя часами протекания реакции. За ходом реакции следят с помощью проверки исчезновения исходных материалов в образцах реакции при использовании HPLC.
В дополнительном воплощении настоящее изобретение предоставляет способ синтеза рибопуринов и рибопиримидинов. В данном воплощении рибопурины синтезируют исходя из соединения схемы V,где Y, R5 и R6 имеют значения, определенные выше; P3 представляет защитную гидроксильную группу, устойчивую к основанию, включающую, но не ограничивающуюся ею, группу, которая может образовывать простой или сложный эфир с гидроксилом и Р-В’ представляет подходящим образом защищенный пурин или пиримидин. По реакционной схеме (V) защищенный -рибозилгалогенид (13) вводится в реакцию с подходящим образом защищенным пурином или пиримидином (Р-В’), давая соответствующий защищенный -рибопурин иди -рибопиримидин (14). 2′,3′-O-Алкилиденовая группа, 5′ защитная группа гидроксила Р3 и любые защитные группы, находящиеся в пуриновом или пиримидиновом основании (Р), затем удаляют на одной или более стадиях снятия защитной группы. Р3 защитные группы включают, но не ограничиваются ими, любые обычные защитные группы, образующие простые или сложные эфиры, описанные выше и в Greene & Wuts, Protective Groups in Organic Synthesis, cм. выше, при условии, что защитная группа является стабильной по отношению к основанию.
Нуклеозидные аналоги, синтезированные способами по данному изобретению, являются полезными реагентами для маркировки, детектирования и анализа нуклеиновых кислот. Дополнительно нуклеозидные аналоги могут использоваться для генерирования комбинаторной библиотеки нуклеозидных аналогов с целью тестирования их на ингибирующую активность против важных макромолекулярных мишеней, таких как киназы, гиразы и обратная транскриптаза. Нуклеозидные аналоги в библиотеке, которые обладают ингибирующей активностью против таких макромолекулярных мишеней, могут служить в качестве ведущих соединений в разработке фармацевтических средств, которые ослабляют клинические показания, такие как воспаления или инфекционные заболевания, такие как, например, среди прочего, синдром приобретенного иммунодефицита.
Несколько нуклеозидных аналогов, синтезированных по реакционной схеме (III), особенно полезны в качестве ингибиторов аденозинкиназы. Смотри, например, патент США 5674998. Ингибиторы аденозинкиназы являются перспективными при лечении неврологических состояний, таких как судороги (Id.). Патент США 5674998 раскрывает, что 4-фениламино-5-фенил-7-(4-гидроксиметил-1- -D-рибофуранозил)пирроло(2,3-d)пиримидин, 4-N-(4-фторфениламино)-5-фенил-7-(4-спироциклопропил- -D-фуранозил)пирроло(2,3-d)пиримидин и 4-фениламин-5-фенил-7-(1- -D-эритрофуранозил)пирроло(2,3-d)пиримидин – все являются наномолярными ингибиторами частично очищенной аденозинкиназы сердца свиньи. Дополнительно несколько из нуклеозидных аналогов, синтезированных но реакции (III), могут использоваться для лечения хронической боли.
Химические структурные формулы, представленные здесь, могут показывать таутомерию, конформационную изомерию, геометрическую изомерию и/или стереоизомерию. Поскольку рисунки структурных формул в данном описании могут только представлять одну из возможных таутомерных, конформационно изомерных, геометрически изомерных или стереоизомерных форм, следует понимать, что изобретение охватывает любые таутомерные, конформационно изомерные, геометрически изомерные или стереоизомерные формы, которые проявляют биологическую или фармакологическую активность, определенную выше.
ПРИМЕР 1Синтез 2,3-О-изопропилиден- -D-эритрофуранозилхлорида (10а)![]() где Y=Cl(10a), Y=Br(10b). Промежуточное соединение – 2,3-О-изопропилиден-D-эритроза 2,3-О-изопропилиден-D-эритрозу закупали у Pfansteihl или получали восстановлением гидридом диизобутилалюминия 2,3-О-изопропилиден-D-эритронлактона согласно способам Cohen et al. , 1983, J. Am. Chem. Soc., 105, 3661-3672. Реагент 2,3-О-изопропилиден-D-эритронлактон доступен от А1-drich или может быть синтезирован из изоаскорбиновой кислоты, как описано в Organic Synthesis Coll. Vol. VII, page 297. Указанное в заголовке соединение Синтез названного в заголовке соединения проводили согласно способам Ireland et al., 1978, Org. Chem., 43, 786-787, и Lerner et al., 1969, Carbohydr. Res., 9, 1-4. Конкретно раствор 2,3-О-изопропилиден-О-эритрозы (20,0 г, 125 ммоль) в CH2Cl2 (250 мл) и пиридине (40 мл) охлаждали в ванне лед/вода. К смеси добавляли SOC12 (10 мл, 137,8 ммоль) по каплям с такой скоростью, чтобы внутренняя температура поддерживалась ниже 5oС (добавление занимало 35 минут). Исчезновение исходного материала подтверждалось удалением аликвоты и проверкой реакции с помощью 1Н ЯМР. Через пятнадцать минут после завершения добавления SOCl2 холодный раствор добавляли к Н2O(500 мл) и диизопропиловому эфиру (500 мл). Слои разделяли и органический слой экстрагировали 0,5 М НС1 (500 мл) для удаления оставшегося пиридина. Органический слой затем экстрагировали насыщенным NaHCO3 (300 мл) и далее сушили над К2СО3. Раствор фильтровали и концентрировали, получая 16,96 г (76%) указанного в заголовке соединения, в виде белого кристаллического твердого вещества. Т. пл. 57,0-58,3oС (литературные данные (лит. ) 60-61,5oС, лит. для энантиомера 59-60oС). [ ]D -167 (с 2,0, СН2Сl2) [лит. [ ]D -167 (с 0,8, СНСl3), лит. для энантиомера [ ]D +168 ( 2.0, CH2Cl2)].
1H ЯМР (300 МГц, d6-ДМСО): 1,28 (с, 3), 1,38 (с, 3), 4,05 (дд, 1, J=3,4, 10,9), 4,13 (д, 1, J=10,9), 4,95 (д, 1, J=5,9), 5,00 (дд, 1, J=3,3, 5,9), 6,46 (с, 1).
13С ЯМР (75 МГц, d6-ДМСО): 25,83, 27,16, 74,74, 79,38, 89,44, 101,07, 113,17.
Аналит. рассчит. для С7Н11О3Сl: С 47,07; Н 6,21. Найдено: С 47,24; Н 6,20.
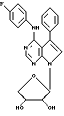
ПРИМЕР 2Синтез4-N-(4-фторфенил)амино-5-фенил-1-(2,3-0-изопропилиден- -D-эритрофуранозил)пирроло(2,3-d)пиримидин (CJ-19039)![]() Промежуточное соединение – 5-фенил-4-N-(4-фторфенил)аминопирроло(2,3-d)пиримидин Синтез 5-фенил-4-N-(4-фторфенил)аминопирроло(2,3-d)пиримидина проводили согласно способам патента США 5674998. Указанное в заголовке соединение К раствору 5-фенил-4-N-(4-фторфенил)аминопирроло (2,3-d)пиримидина (9,00 г, 29,6 ммоль) в ДМСО (75 мл), добавлялся т-бутоксид натрия (8,56 г, 89,1 ммоль), вызывая подъем внутренней температуры от 20 до 28oС. К раствору добавляли 2,3-О-изопропилиден- -D-эритрофуранозилхлорид (соединение 10а, 7,97 г, 44,6 ммоль). Внутренняя температура поднялась от 26 до 44oС в течение 2-3 минут. После суммарного времени реакции 30 минут раствор добавляли к H2O (400 мл) и метил-т-бутиловому эфиру (275 мл). Фазы разделяли и органический слой экстрагировали 0,5 М НС1 (1 х 200 мл, 1 х 100 мл), насыщенным водн. NaHCO3 (100 мл), сушили (MgSO4), фильтровали и концентрировали до желтого влажного твердого вещества. К этому материалу добавляли изопропиловый эфир (70 мл) и гетерогенную смесь затем нагревали при кипении с обратным холодильником в течение 2 часов. После охлаждения до 0oС раствор фильтровали и твердое вещество промывали холодным диизопропиловым эфиром (75 мл), получая (после сушки) 6,2122 г (47%) указанного в заголовке соединения в виде желтого порошка. Экстракция с помощью НС1 эффективно удалила весь нежелательный N-1 алкилированный гетероцикл. Для дополнительной чистоты указанное соединение может быть перекристаллизовано из примерно 25 объемов диизопропилового эфира, : аномерное отношение соединения было менее чем 1:100.
Т. пл. 143,0-144,1oС. [ ]D -77,2 (с 1,0, СН3СОСН3).
1H ЯМР (300 МГц, d6-ДМСО): 1,33 (с, 3), 1,51 (с, 3), 4,08 (д, 1, J= 10,6), 4,20 (дд, 1, J=3,7, 10,7), 5,29 (дд, 1, J=3,4, 5,8), 5,42 (д, 1, J= 5,9), 6,32 (с, 1), 7,12-7,20 (м, 2), 7,40-7,47 (м, 1), 7,51-7,65 (м, 8), 8,39 (с, 1).
13С ЯМР (75 МГц, d6-ДМСО): 24,79, 26,47, 74,38, 81,11, 84,47, 90,08, 101,93, 112,10, 115,40 (д, J=22), 116,21, 123,34, (д, J=8), 123,71, 127,47, 128,91, 129,23, 134,17, 135,80, 150,48, 151,41, 153,95, 158,06 (д, J=238).
Аналит. рассчит. для С25Н23N4O3F: С 67,25; Н 5,19; N 12,55. Найдено: С 67,11; Н 5,17; N 12,60.
Масс спектр: АР+=447,2, АР-=445,2.
ПРИМЕР 3Синтез 4-N-(4-фторфенил)амино-5-фенил-1-(2,3-О-изопропилиден- -D-эритрофуранозил)пирроло(2,3-d)пиримидина(CJ-19039)-в масштабе опытного производстваНачальному масштабу данной реакции ~ 2 кг 5-фенил-4-N-(4-фторфенил)аминопирроло(2,3-d)пиримидина предшествовала опытная партия ~ 500 г. Чистый продукт опытной партии объединяли с продуктом реакции, описанной ниже, перед окончательной очисткой продукта от крупномасштабной реакции с получением одной партии продукта. Выход устанавливался с учетом сочетания 500 г и 2 кг партий. Условия для получения обеих партий, за исключением масштаба, были идентичны. Таким образом ниже подробно описывается только 2 кг партия. Промежуточное соединение 1 – 2,3-О-изопропилиден-D-эритроза 2,3-О-Изопропилиден-D-эритрозу получали согласно способам, описанным в примере 1 выше. Промежуточное соединение 2 – 2,3-О-изопропилиден- -D-эритрофуранозилхлорид (10а).
Раствор 2,3-О-изопропилиден-D-эритрозы (2 кг, 12,5 моль) в тетрагидрофуране (ТГФ) (19 л) в пиридине (1,1 л) охлаждали до 0-5oС. К смеси медленно добавляли SOCl2 (960 мл, 13,1 моль), с такой скоростью, чтобы внутренняя температура поддерживалась ниже 15oС. Добавление занимало 50 минут. Исчезновение исходного материала подтверждалось отбором аликвоты продукта реакции и контролем аликвоты при помощи 1H ЯМР через 10 минут после того, как завершилось добавление SOClz. Раствор затем фильтровали через 0,5 кг целита и прополаскивали ТГФ. Данный раствор ТГФ указанного в заголовке соединения использовали неочищенным в реакции сочетания для синтеза CJ-19039, как описано ниже.
Промежуточное соединение 3 –5-фенил-4-N-(4-фторфенил)аминопирроло(2,3-d)пиримидин Синтез 5-фенил-4-N-(4-фторфенил)аминопирроло(2,3-d)пиримидина проводился согласно способам патента США 5674998. Указанное в заголовке соединение К раствору 5-фенил-4-N-(4-фторфенил)аминопирроло(2,3-d)пиримидина (2,2 кг, 7,23 моль) в ДМСО (20 л) добавляли т-бутоксид натрия (3,6 кг, 37,5 моль), вызывающий повышение температуры на 5oС. К реакционному раствору добавляли ТГФ раствор 2,3-О-изопропилиден- -D-эритрофуранозилхлорида (в расчете на указанный выше, теоретически 2,2 кг, 12,5 моль) на протяжении 45 минутного периода. Реакционную смесь оставляли перемешиваться в течение ночи, затем гасили водой (100 л) и метил-т-бутиловым эфиром (100 л). Фазы разделяли и органический слой экстрагировали 1М НС1 (3 х 25 л) и фильтровали через 4 кг силикагельный слой. Фильтрат концентрировали при атмосферном давлении до ~15 л, добавляли диизопропиловый эфир (70 л) и продолжали концентрирование до окончательного объема ~30 л. В данный момент 325 г чистого соединения из ~500 г опытной партии смешивали с неочищенным соединением перед окончательной кристаллизацией. Раствор охлаждали до 0-5oС с образованием гранул и фильтровали, получая 1,87 кг указанного в заголовке соединения (48% за вычетом добавленных 325 г соединения из ~500 г опытной партии). Фильтрат концентрировали и брали в метил-т-бутиловый эфир (18 л). Данный органический слой экстрагировали 1М НС1 (4 х 3 л) и затем концентрировали до 2 л при атмосферном давлении. К смеси добавляли диизопропиловый эфир (6 л) и объем раствора уменьшали до 4 л. После гранулирования при 0oС в течение 2 часов твердое вещество отфильтровывали, получая 198 г (6%) второй порции указанного в заголовке соединения, с получением объединенного выхода 54% для ~2 кг реакции. Экстракцией НС1 эффективно удаляли весь нежелательный Nl-алкилированный гетероцикл.
ПРИМЕР 4Синтез4-N-(4-фторфенил)амино-5-фенил-1-( -D-эритрофуранозил)пирроло(2,3-d)пиримидина![]() К раствору CJ-19039 (пример 3, выше) (2,6680 г, 5,975 ммоль) в изопропаноле (15 мл) добавляли 0,5 М НС1 (15 мл). Гетерогенный раствор нагревали до 80oС. Через 50 минут раствор становился гомогенным. Суммарно через 3 часа при 80oС добавляли активированный уголь Darco (360 мг) и нагревание прекращали. После перемешивания в течение 1,75 часа после добавления активированного угля раствор фильтровали через целит и твердые вещества прополаскивали 1:1 изопропанолом/Н2О (15 мл). Продукт осаждали из объединенных фильтратов добавлением 1М NaOH (7,5 мл) при быстром перемешивании с последующим добавлением Н2О (20 мл) для облегчения перемешивания взвеси. Твердое вещество затем фильтровали и осадок на фильтре промывали Н2О (15-20 мл). К пастообразному слегка розовому порошку добавляли 50 мл абс. EtOH и раствор затем нагревали до кипения с обратным холодильником. Горячий этанол добавляли порциями до полного растворения всех твердых веществ (всего добавляли 15 мл EtOH в течение 15 мин). Перемешивание прекращали и раствор оставляли медленно остывать до комнатной температуры. После охлаждения до комнатной температуры колбу хранили в холодильнике (~0oС) в течение.ночи, получая кристаллы. Затем кристаллы собирали фильтрованием и твердое вещество промывали холодным EtOH (20 мл), получая 2,1044 г (87%) указанного в заголовке соединения в виде слегка розовых кристаллов. Т. пл. 194,8-195,2oС. [ ]D-91,7 (с 1,0, СН3СОСН3).
1H ЯМР (300 МГц, d6-ДМСО): 3,82 (д, 1, J=9,2) 4,24-4,31 (м, 1), 4,38 (дд, 1, J= 3,7, 9,4) 4,70-4,78 (м, 1), 5,23 (д, 1, J=3,9), 5,44 (д, 1, J= 6,7), 6,20 (д, 1, J=6,9), 7,15 (вероятно т, 2, J=8,7), 7,42 (вероятно т, 1, J=7,2), 7,50-7,66 (м, 7), 7,76 (с, 1), 8,40 (с, 1).
13С ЯМР (75 МГц, d6-ДМСО): 70,56, 73,47, 74,99, 87,16, 102,03, 115,41 (д, J-22), 116,36, 122,17 (д, J=8), 122,74, 127,38, 128,88, 129,39, 134,38, 136,01, 151,27, 151,54, 153,92, 158,01 (д, J=240).
Аналит. рассчитано для С22H19N4O3F: С 65,02; Н 4,71; N 13,79. Найдено: С 64,96; Н 4,64; N 13,92.
Масс-спектроскопия: АР+=407,1, АР-405,2.
Настоящее изобретение не ограничивается по объему продемонстрированными в примерах воплощениями изобретения, которые предназначены для иллюстрации отдельных аспектов данного изобретения, и любые соединения и способы их использования, которые функционально эквивалентны, охватываются объемом изобретения. В действительности различные модификации данного изобретения в дополнении к тем, которые описаны здесь, очевидны специалистам в данной области из предшествующего описания и сопутствующих рисунков. Подразумевается, что такие модификации входят в объем прилагаемой формулы изобретения. Все указания на стереохимию, если не оговорено особо, являются точными указаниями на и аномеры нуклеозидов и/или фуранозилгалогенидов.
Все ссылки и патенты, цитированные здесь, включены полностью для сведения.
Формула изобретения
-нуклеозидного аналога, включающий взаимодействие 2′, 3′-О-алкилиден -фуранозилгалогенида структурной формулы:![]() в которой R3 и R4 каждый независимо выбран из группы, состоящей из водорода и (СН2)nQ, где n является целым числом от 1 до 6; Q выбран из группы, состоящей из водорода и -OR7; R5 и R6 каждый независимо представляет собой (C1-C6) алкил; R7 представляет собой водород или защитную группу; Y представляет хлор или бром, с гетероциклом, имеющим структурную формулу ![]() в которой каждый из R8 независимо выбран из группы, состоящей из водорода, фенила, фенила, замещенного галогеном, OR7 и NR7R7; R7 представляет собой водород, фенил, фенил, замещенный галогеном, или защитную группу, в диметилсульфоксиде (ДМСО) или в смеси полярных растворителей, в которой объем диметилсульфоксида составляет, по крайней мере, примерно 15%, в присутствии сильного основания, представляющего собой т-бутоксид натрия или т-бутоксид калия. 2. Способ по п. 1, в котором молярное отношение 2′, 3′-O-алкилиден -фуранозилгалогенида к гетероциклу составляет около (1: 1)-(3: 1).
3. Способ по п. 1, в котором молярное отношение сильного основания к гетероциклу составляет около (1: 1) -(8: 1).
4. Способ по п. 1, в котором реакцию осуществляют в ДМСО.
5. Способ по п. 1, в котором смесь растворителей включает ДМСО и растворитель, выбранный из группы, состоящей из N, N-диметилформамида (ДМФ), ацетонитрила, тетрагидрофурана (ТГФ) и метил трет-бутилового эфира (МТБЭ).
6. Способ по п. 5, в котором растворителем или смесью растворителей является 1 часть ДМСО, смешанная примерно с 0-3 частями раствора, включающего один или несколько растворителей, выбранных из группы, состоящей из ДМФ, ацетонитрила, ТГФ и МТБЭ.
7. Способ по п. 5, в котором растворитель или смесь растворителей выбирают из группы, состоящей из ДМСО, 1: 1 (об. /об. ) ДМСО: ацетонитрил, 1: 1 ДМСО: ТГФ, 1: 1 ДМСО: МТБЭ и 1: 3 ДМСО: МТБЭ.
8. Способ по п. 1, дополнительно включающий стадию удаления 2′, 3′-0-алкилиденовой группы в кислотных условиях в присутствии гидроксильного растворителя с получением -нуклеозидного аналога.
9. Способ по п. 1, в котором каждый R3 и R4 представляет водород.
10. Способ по п. 1, в котором каждый R5 и R6 представляет метил.
11. Способ по п. 1, в котором 2′, 3′-О-алкилиден -фуранозилгалогенидом является 2,3-O-изопропилиден- -О-эритрофуранозилхлорид.
12. Способ по п. 1, в котором гетероцикл имеет структурную формулу![]() в которой каждый R9, R10, R11, R12, R13, R14, R15, R16, R17 и R18 независимо представляют собой водород или галоген. 13. Способ по п. 12, в котором каждый R9, R10, R11, R12 и R13 независимо выбран из группы, состоящей из водорода или галогена, и каждый R14, R15, R16, R17 и R18 представляет водород. 14. Способ по п. 12, в котором R11 представляет фтор и каждый R9, R10, R12 и R13 представляет водород. 15. Способ по п. 1, в котором гетероцикл представляет 5-фенил-4-N-(4-фторфенил)аминопирроло(2,3-d)пиримидин. 16. Способ по п. 1, в котором 2′, 3′-O-алкилиден -фуранозилгалогенидом является 2,3-O-изопропилиден- -О-эритрофуранозилхлорид; гетероциклом является 5-фенил-4-N-(4-фтор-фенил)аминопирроло(2,3-d)пиримидин; и растворителем является ДМСО.
17. Способ по п. 1, в котором 2′, 3′-O-алкилиден -фуранозилгалогенид имеет структурную формулу, выбранную из группы, состоящей из![]() и ![]() в которой R7 представляет защитную группу. РИСУНКИ
MM4A Досрочное прекращение действия патента Российской Федерации на изобретение из-за неуплаты в установленный срок пошлины за поддержание патента в силе
Дата прекращения действия патента: 11.05.2005
Извещение опубликовано: 20.10.2006 БИ: 29/2006
|
||||||||||||||||||||||||||

-D and
-D Ribofuranosides Related to 7-Deaza-guanosine”, Helv. Chim. Acta, 1990, v.73, p. 1879- 1887. 2. US 5674998, 07.10.1997. 3. US 5726302, 10.03.1998. 4. МИХАЙЛОВ С.Н. Использование 2,3-O-изопропилиден-D-рибофуранозы в синтезе нуклеозидов. Стереоселективное образование








-электронную систему. Типичные арильные группы включают, но не ограничиваются ими, пента-2,4-диенил, фенил, нафтил, ацеантрил, аценафтил, антрацил, азуленил, хризенил, индаценил, инданил, оваленил, периленил, фенантренил, феналенил, пиценил, пиренил, пирантренил, рубиценил и т. п. В предпочтительных воплощениях арильной группой является (С5-С20)арил, более предпочтительно (С5-С10)арил и наиболее предпочтительно фенил.
“Замещенный арил” относится к арильному радикалу, в котором один или более атомов водорода, каждый независимо, замещен другим заместителем. Типичные заместители включают, но не ограничиваются ими, -X, -SR, -CN, -NO2, -NRR, -OR, -СХ3, -СF3, -C(O)R, -С(О)OR, -С(О)NRR, -C(NRR)=NR, -C(O)NROR, -C(NRR)=NOR, -NR-C(O)R, -NR-C(О)-NRR, -NR-C(O)-OR или -NR-SO2-R, где Х представляет галоген и каждый R независимо выбран из группы, состоящей из -Н, -(C1-С6) алкила, -(C2-С6) алкенила, -(С2-С6) алкинила, -(C5-C20) арила, замещенного -(C5-C20) арила, 5-20-членного гетероарила, замещенного 5-20-членного гетероарила, -(С6-С26) алкарила, замещенного (C6-C26) алкарила, 6-26-членного алкгетероарила и замещенного 6-26-членного алкгетероарила, как определено здесь.
“Алкарил” относится к алкильной, алкенильной или алкинильной группе с неразветвленной цепью, в которой один из атомов водорода, связанных с концевым углеродом, замещен арильным фрагментом. Алкарил также относится к алкильной, алкенильной или алкинильной группе с разветвленной цепью, в которой один из атомов водорода, связанных с концевым углеродом, замещен арильным фрагментом. Типичные алкарильные группы включают, но не ограничиваются ими, бензил, бензилиден, бензилидин, бензолбензил, нафталинобензил и т.п. В предпочтительных воплощениях алкарильная группа представляет (С6-С26) алкарил, т. е. алкильный, алкенильный или алкинильный фрагмент алкарильной группы представляет (C1-C6) и арильный фрагмент представляет (C5-C20). В особенно предпочтительных воплощениях алкарильная группа представляет (С6-C13), т.е. алкильный, алкенильный или алкинильный фрагмент алкарильной группы представляет (C1-С3) и арильный фрагмент представляет (C5-С10).
“Замещенный алкарил” относится к алкарильному радикалу, в котором один или более атомов водорода в арильном фрагменте, каждый независимо, замещен другим заместителем. Типичные заместители включают, но не ограничиваются ими, -X, -SR, -CN, -NO2, -NRR, -OR, -СХ3, -СF3, -C(O)R, -С(О)OR, -C(O)NRR, -C(NRR)=NR, -C(O)NROR, -C(NRR)=NOR, -NR-C(O)R, -NR-C(O)-NRR, -NR-C(O)-OR или -NR-SO2-R, где Х представляет галоген и каждый R независимо выбран из группы, состоящей из -Н, -(C1-C6) алкила, -(C2-C6) алкенила, -(С2-С6) алкинила, -(C5-C20) арила, замещенного -(C5-C20) арила, 5-20-членного гетероарила, замещенного 5-20-членного гетероарила, -(С6-С26) алкарила, замещенного (C6-C26) алкарила, 6-26-членного алкгетероарила и замещенного 6-26-членного алкгетероарила, как определенно здесь.
“Гетероарил” относится к арильному фрагменту, в котором один или более атомов углерода замещены другим атомом, таким как N, Р, О, S, As, Ge, Se, Si, Те и т.д. Типичные гетероарильные группы включают, но не ограничиваются ими, акридарсин, акридин, арсантридин, арсиндол, арсиндолин, бензодиоксол, бензотиадиазол, карбозол,
фуранозилгалогенида или чистым
фуранозилгалогенида (9),
фуранозилгалогенидов, 









25,83, 27,16, 74,74, 79,38, 89,44, 101,07, 113,17.
Аналит. рассчит. для С7Н11О3Сl: С 47,07; Н 6,21. Найдено: С 47,24; Н 6,20.
ПРИМЕР 2





