Патент на изобретение №2200737
|
||||||||||||||||||||||||||
(54) ПИРИМИДО[4,5-B]ИНДОЛЫ И ПРОМЕЖУТОЧНОЕ СОЕДИНЕНИЕ (ВАРИАНТЫ)
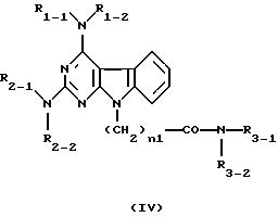
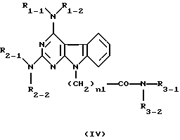
(57) Реферат: Изобретение относится к новым пиримидо[4,5-b]индолам общей формулы (I) или их фармацевтически приемлемым солям, которые могут быть использованы при лечении и/или профилактике астмы, а также к промежуточным соединениям для их получения. Указанные соединения являются нетоксичными соединениями. В пиримидо[4,5-b]индолах общей формулы (I) R1-1 и R1-2 вместе с присоединенным к ним атомом азота образуют 1-пирролидинил, R2-1 и R2-2 вместе с присоединенным к ним атомом азота образуют 1-пирролидинил, n число от 1 до 3, R3-1 означает Н и R3-2 означает (1) -Н, (2) -(СН2)-(2-пиридил), (3) -(СН2)-(3-пиридил), (4) -(СН2)-(4-пиридил), (5) -(СН2)-[СН(ОН)]4-CH2OH, (6) СН2СН2СН2СН2 ОН, или R3-1 и R3-2 вместе с присоединенным к ним атомом азота образуют гетероциклическое кольцо, выбранное из (1) 1-пирролидинила, (2) 1-пиперидинила, (3) 4-морфолинила, (4) 2-гидрокси-1-пирролидинила, (5) 3-гидрокси-1-пирролидинила, (6) 1-пролинила. 3 с. и 8 з.п.ф-лы, 3 табл.
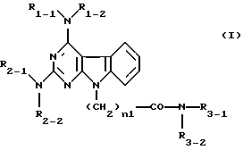
Предпосылки создания изобретения 1. Область изобретения Фармацевтически активные пиримидо[4,5-b] индолы (IV) по настоящему изобретению являются полезными в качестве лекарственных препаратов для лечения ряда заболеваний и повреждений. 2. Описание близкой области техники В Международной публикации WO 92/02500-A раскрыты производные 2-фенилиндола, полезные при лечении астмы, аллергических нарушений, тромбоза и ишемии. В работе J. Heterocyclic.Chem., 24, 425 (1987) описаны пирролопиримидины, в которых аминогруппы пиримидинового фрагмента являются свободными и незамещенными, тогда как соединения по настоящему изобретению представляют собой замещенные аминопирролопиримидины. В Международной публикации WO 91/04254 раскрыты пирроло[2,3-d]пиримидины, в которых группы, замещающие пирроловое кольцо, являются простыми. В двух положениях эти группы представляют собой Н, галоген или алкил. В третьем положении это Н, алкил или аралкил. В Международной публикации WO 93/20078, основанной на заявке PCT/US93/02188, и Международной публикации WO 96/26941, основанной на заявке PCT/US96/02397, раскрыты различные пиримидо[4,5-b] индолы, имеющие фармацевтическую полезность. Настоящее изобретение представляет выборочное изобретение из Международных публикаций WO 93/20078 и W 096/26941. Сущность изобретения Раскрыты пиримидо[4,5-b]индолы формулы (IV) ![]() где R1-1 и R1-2 взяты вместе с присоединенным атомом азота с образованием гетероциклического кольца, выбранного из группы, состоящей из 1-пирролидинила, 1-пиперидинила и 4-морфолинила; где R2-1 и R2-2 взяты вместе с присоединенным атомом азота с образованием гетероциклического кольца, выбранного из группы, состоящей из 1-пирролидинила, 1-пиперидинила и 4-морфолинила, при условии, что гетероциклическое кольцо из R1-1/R1-2 является таким же, что и из R2-1/R2-2 где n1 принимает значения от 1 до 3; где R3-1 представляет: (1) -Н, (2) -C1-С3алкил, (3) -ф; где R3-2 представляет: (1) -Н, (2) -СН2-[2-пиридинил], (3) -CH2-[3-пиридинил], (4) -CH2-[4-пиридинил], (5) -СН2-[СН(ОН)]4-СН2-ОН, (7) -CH2-COOH, (8) -ОН, (9) -СН2-СН2-СН2-СН2-ОН, (10) -СН2-СН2-СН2-СО-ОН, и где R3-1 и R3-2 взяты вместе с присоединенным атомом азота с образованием гетероциклического кольца, выбранного из группы, состоящей из: (1) 1-пирролидинила, (2) 1-пиперидинила, (3) 4-морфолинила, (4) 2-гидрокси-1-пирролидинила, (5) 3-гидрокси-1-пирролидинила, (6) 1-пролинила и их фармацевтически приемлемые соли. Также раскрыт трет-бутиловый эфир (2,4-ди-1-пирролидинил-9Н-пиримидо[4,5-b]индол-9-ил)уксусной кислоты. Дополнительно раскрыта (2,4-ди-1-пирролидинил-9Н-пиримидо[4,5-b]индол-9-ил)уксусная кислота и ее фармацевтически приемлемые соли. Подробное описание изобретения Пиримидо[4,5-b] индолы (IV) и их фармацевтически приемлемые соли (V) по настоящему изобретению получают способами, известными специалистам в данной области, из известных исходных соединений. Предметом изобретения являются пиримидо[4,5-b] индолы (IV) и их фармацевтически приемлемые соли (V), а не химические способы их получения. Пиримидо[4,5-b]индолы (IV) по настоящему изобретению могут быть получены способами, указанными в Международных публикациях WO 93/20078 и WO 92/26941, и способами, приведенными на схемах А-С в конце описания. Имеется два предпочтительных способа получения пиримидо[4,5-b]индолов (IV) по настоящему изобретению. В первом способе используют химические реакции, показанные на схемах А и В. Во втором способе используют химические реакции, представленные на схемах А и С. В обоих способах используется две стадии, указанные на схеме А. На схеме А исходные спирты известны специалистам в данной области или могут быть легко получены из известных соединений с помощью способов, известных специалистам в данной области. Смотри, например, J. Med. Chem., 38, 4161-3 (1995). Спирт (I) превращают в производное (II) с уходящей группой способами, известными специалистам в данной области. Подходящие уходящие группы, -X1, включают мезилат, тозилат и пара-SO2-ф-NO2. Предпочтительно, чтобы X1 представлял мезилат. Затем спирт с уходящей группой (II) превращают в соответствующий вторичный амин (III) посредством обработки цианидом натрия и следовым количеством пространственно-затрудненного ненуклеофильного третичного амина (в растворителях, таких как ДМФ, ДМСО или ацетонитрил). Вторичный амин (III) алкилируют двумя способами. В первом способе, схема В, вторичный амин (III) алкилируют фрагментом молекулы, который содержит боковую алкильную цепь и амид, -(CH2)n1-CO-N(R3-1)(R3-2), где n1 принимает значения от одного до трех, таким образом непосредственно получая целевой пиримидо[4,5-b] индол (IV). Предпочтительно, чтобы n1 равнялось одному. Пиримидо[4,5-b]-индол (IV) представляет собой аминное основание и, в силу этого, обычным образом образует соли пиримидо[4,5-b]индола (V), смотри примеры 2-6. Альтернативно, когда n1 равен 1, вторичный амин (III) алкилируют трет-бутилбромацетатом с образованием бутилового сложного эфира (VI). Затем бутиловый сложный эфир (VI) гидролизуют известными способами до соответствующей кислоты (VII). Затем кислоту (VII) превращают известными способами в соответствующие амиды пиримидо[4,5-b]индола (IV) и/или соль пиримидо[4,5-b] индола (V). Предпочтительно, чтобы пиримидо[4,5-b] индолы (IV) находились в виде фармацевтически приемлемой соли, соли пиримидо[4,5-b] индола (V), предпочтительно, чтобы соль была выбрана из группы, состоящей из гидрохлорида, гидробромида, малеата и метансульфоната. Пиримидо[4,5-b]индолы (IV) применяются для лечения/профилактики астмы (и снижения образования/выделения слизи в легких); идиопатической, воспалительной, аллергической или контактной форм дерматита (и снижения зуда, образования выделений и утолщения кожи, сопутствующих заболеванию дерматитом); идиопатической, воспалительной или сезонной аллергической формы ринита (и для уменьшения зуда, образования влаги, просачивания и выделения слизи слизистой оболочкой носа, сопутствующих заболеванию ринитом); идиопатической, аллергической или воспалительной форм конъюнктивита, блефарита, ирита (воспаление радужки) или их сочетания (и снижения зуда, намокания, просачивания и выделения слизи в глазу или его части, обычно сопутствующих заболеванию конъюнктивитом, блефаритом, иритом или их сочетанию). Пиримидо[4,5-b]индолы (IV) применяются для лечения/профилактики астмы (и снижения образования/выделения слизи в легких). При лечении избыточного выделения слизи и астмы пиримидо[4,5-b]индолы (IV) вводят перорально, IV и посредством ингаляции в стандартной дозе. При лечении избыточного выделения слизи пероральная доза применяемых пиримидо[4,5-b] -индолов (IV) составляет примерно от 0,05 до 20 мг/кг/день. Частота введения составляет от одного до 4 раз в день. Пероральное введение пиримидо[4,5-b]индолов (IV) при лечении избыточного выделения слизи может длиться месяцами или даже годами. Подверженным заболеванию индивидуумам лекарство может быть введено предварительно за несколько часов до возникновения проблемы. Доза IV составляет от примерно 0,05 до примерно 20 мг/кг/день. Аэрозольный состав содержит примерно от 0,01 до 1,0% трициклических амидов (IV) и вводится или употребляется, при необходимости, примерно четыре раза в день. Пиримидо[4,5-b] индолы (IV) также полезны для лечения/профилактики идиопатической, воспалительной, аллергической или контактной форм дерматита (и снижения зуда, образования выделений и утолщения кожи, сопутствующих заболеванию дерматитом). При лечении дерматита и связанных с ним признаков и симптомов пиримидо[4,5-b] индолы (IV) вводят перорально и IV в стандартной дозе, а при местном применении в виде различных составов местного действия (раствор, суспензия, крем, мазь, лосьон, порошок, гель или другие идентифицированные смеси) пиримидо[4,5-b]индолы (IV) используют при концентрации пиридо[4,5-b]индолов в материале основы от примерно 0,01% до примерно 20%. Частота введения составляет от одного до 4 раз в день. Пероральное и местное применение пиримидо-[4,5-b]индолов (IV) для лечения признаков и/или симптомов дерматита может продолжаться месяцами или даже годами. Подверженным заболеванию индивидуумам лекарство может быть введено предварительно за несколько часов до возникновения проблемы. Доза IV составляет от примерно 0,05 до примерно 20 мг/кг/день. Пиримидо [4,5-b] индолы (IV) также полезны для лечения/профилактики идиопатической, воспалительной или сезонной аллергической формы ринита (и для уменьшения зуда, образования влаги, просачивания и выделения слизи слизистой оболочкой носа, которыми сопровождается заболевание ринитом). При лечении ринита и связанных признаков и симптомов пиримидо-[4,5-b]индолы (IV) вводят перорально и IV в стандартной дозе, а при местном применении в виде различных составов местного применения (раствор, суспензия, крем, мазь, лосьон, порошок, гель или другие идентифицированные смеси) пиримидо-[4,5-b] индолы (IV) при концентрации пиридо[4,5-b]индолов в материале основы примерно от 0,01% до 20%. Частота введения составляет от одного до 4 раз в день. Пероральное и местное применение пиримидо[4,5-b]индолов (IV) для лечения признаков и/или симптомов ринита может продолжаться месяцами или даже годами. Подверженным заболеванию индивидуумам лекарство может быть введено предварительно за несколько часов до возникновения проблемы. Доза IV составляет примерно от 0,05 до 20 мг/кг/день. Пиримидо[4,5-b] индолы (IV) также полезны для лечения/профилактики идиопатической, аллергической или воспалительной форм конъюнктивита, блефарита, ирита или их сочетания (и снижения зуда, намокания, просачивания и выделения слизи в глазу или его части, сопровождающих заболевание конъюнктивитом, блефаритом, иритом или их сочетание). При лечении конъюнктивита, блефарита, ирита или их сочетания и связанных с ними признаков и симптомов пиримидо[4,5-b] индолы (IV) вводят перорально и IV в стандартной дозе, а при местном применении в виде различных составов местного применения (раствор, суспензия, крем, мазь, лосьон, порошок, гель или другие идентифицированные смеси) пиримидо[4,5-b]индолы (IV) применяют при концентрации пиридо[4,5-b]индолов в материале основы примерно от 0,001% до 20%. Частота введения составляет от одного до 4 раз в день. Пероральное и местное применение пиримидо[4,5-b] индолов (IV) для лечения признаков и/или симптомов конъюнктивита, блефарита, ирита или их сочетания может продолжаться месяцами или даже годами. Подверженным заболеванию индивидуумам лекарство может быть введено предварительно за несколько часов до возникновения проблемы. Доза IV составляет примерно от 0,05 до 20 мг/кг/день. Термин “терапия или лечение” широко используется в данном патенте и включает как лечение существующего заболевания, так и предотвращение, где это возможно, появления подобного заболевания, как хорошо известно специалистам в данной области. Например, пиримидо[4,5-b]индолы (IV) могут использоваться для лечения существующего заболевания астмой и для профилактики появления такого будущего заболевания; существующего заболевания дерматитом и для профилактики появления будущего заболевания, существующего ринита и для профилактики появления будущего заболевания, существующего конъюнктивита, блефарита, ирита или их сочетания и для профилактики появления их в будещем. Точная дозировка и частота введения зависят от конкретных применяемых пиримидо[4,5-b] индолов (IV), конкретного типа заболевания, которое подвергается лечению, серьезности заболевания, возраста, веса, общего физического состояния конкретного пациента, приема пациентом других лекарственных препаратов, что хорошо известно специалистам в данной области, и может быть более точно определено путем измерения уровня в крови или концентрации трициклических амидов (IV) в крови пациента и/или ответной реакцией пациента на конкретное заболевание, подвергающееся лечению. Определения и условные обозначения Приведенные ниже определения и объяснения предназначены для терминов, использованных по всему документу, включая как описание, так и формулу изобретения. I. Условные обозначения для формул и определения переменных. Содержание атома углерода в варьируемых заместителях указано одним из двух способов. В первом способе используется приставка к полному названию переменной, так например “C1-C4“, где 1 и 4 являются целыми числами, представляющими минимальное и максимальное число атомов углерода в переменной. Приставка отделена от переменной пробелом. Например, “C1-C4 алкил” представляет алкил, содержащий от 1 до 4 атомов углерода (включая их изомерные формы, если в указании не оговорено противоположное). Где бы ни была дана отдельная приставка, она указывает на целочисленное содержание атомов углерода в определяемой переменной. Так, С2-С4 алкоксикарбонил описывает группу СН3-(CH2)n-O-CO-, где n равен нулю, единице или двум. Во втором способе указывается содержание атомов углерода только для каждого фрагмента определения путем заключения обозначения “Ci-Cj” в скобки и помещения его непосредственно (не включая пробел) перед определяемым фрагментом даваемого определения. При таком нестандартном условном обозначении (C1-С3)алкоксикарбонил имеет такое же значение, что и C2-C4 алкоксикарбонил, потому что “C1-С3” относится только к содержанию атомов углерода алкоксигруппы. Аналогично, когда С2-С6 алкоксиалкил, и (C1-С3)алкокси-(C1-С3)алкил определяют алкоксиалкильные группы, содержащие от 2 до 6 атомов углерода, эти два определения различаются между собой, так как первое определение допускает, чтобы или алкокси, или алкильный фрагмент содержали по отдельности 4 или 5 атомов углерода, тогда как последнее определение ограничивает каждую из этих групп тремя атомами углерода. II. Определения Все температуры приведены в градусах Цельсия. ТСХ обозначает тонкослойную хроматографию. ТГФ означает тетрагидрофуран. ДМФ означает диметилформамид. ДМСО означает диметилсульфоксид. Рассол обозначает водный насыщенный раствор хлорида натрия. ИК относится к инфракрасной спектроскопии. ЯМР относится к спектроскопии ядерного (протонного) магнитного резонанса, химические сдвиги приведены в м.д. (- 😉 в слабое поле относительно тетраметилсилана.
ТМС означает тетраметилсилан.
-ф относится к фенилу (C6H5).
МС относится к масс-спектрометрии, выраженной в единицах m/z или масса/заряд. [М+Н] + относится к положительному иону в скобках плюс атом водорода. EI означает электронный удар. CI означает химическую ионизацию. FAB означает бомбардировку быстрыми атомами.
ВРМС обозначает масс-спектрометрию высокого разрешения.
Эфир относится к диэтиловому эфиру.
“Фармацевтически приемлемый” относится к таким свойствам и/или веществам, которые приемлемы для пациента с фармакологической/токсикологической точки зрения, а для химика, производящего лекарственный препарат, с физической/химической точки зрения в плане композиции, состава, стабильности, переносимости пациентом и биодоступности.
Фармацевтически приемлемые соли включают соли следующих кислот: хлористо-водородной, бромисто-водородной, серной, фосфорной, азотной, лимонной, метансульфоновой, СН3-(СН2)n1-СООН, где n1 принимает значения от 0 до 4, НООС-(CH2)n1-COOH, где n является таким, как определено выше, НООС-СН=СН-СООН, ф-СООН.
При использовании пар растворителей соотношение использованных растворителей представлено как объем/объем (об./об.).
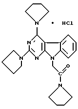
При использовании растворимости твердого вещества в растворителе, соотношение твердого вещества к растворителю представлено как вес/объем (вес/об. )ПРИМЕРЫ Без дополнительной детализации предполагается, что специалист в данной области может, используя предшествующее описание, воплотить на практике изобретение во всей его полноте. Следующие подробные примеры описывают получение различных соединений и/или осуществление различных способов по изобретению, предназначены, главным образом, для иллюстрации и не ограничивают каким-либо образом предшествующее описание. Специалисты в данной области точно идентифицируют соответствующие изменения в способах, как в отношении реагентов, так и условий и способов проведения реакций. ПРИМЕР 1. 9-[2-(Метансульфонилокси)этил]-2,4-ди-1-пирролидинил -9Н-пиримидо[4,5-b]индол (II) 9-[2-(Гидрокси)этил-2,4-ди-2-пирролидинил-9Н-пиримидо-[4,5-b] индол (I, J. Med. Chem., 38, 4161-3 (1995)) подвергают взаимодействию с метансульфонилхлоридом способами, известными специалистам, получая указанное в заголовке соединение. ПРИМЕР 2. Моногидрохлорид 1-[(2,4-ди-1-пирролидинил-9Н-пиримидо [4,5-b] индол-9-ил)ацетил] пирролидина, также известный как моногидрохлорид пирролидинамида (2,4-ди-1-пирролидинил-9Н-пиримидо-[4,5-b] индол-9-ил)уксусной кислоты (IV/V). Перемешиваемую смесь 9-[2-(метансульфонилокси)этил] -2,4-ди-1-пирролидинил-9Н-пиримидо[4,5-b] индола (II, пример 1 и WO 96/26941-А1, 165 г), цианида натрия (180 г), воды (360 мл) и ДМСО (3000 мл) нагревают при 100oС в течение 18 часов. Важно, чтобы исходный мезилат содержал следовое количество триэтиламина, или оставшееся при его получении, или же специально добавленное. Смесь охлаждают до 20-25oС, разбавляют водой (приблизительно 6000 мл) и фильтруют. Твердый продукт промывают водой для удаления избытка цианида, затем растирают с ацетоном. В результате фильтрования и высушивания получают 2,4-ди-1-пирролидинил-9Н-пиримидо[4,5-b] индол (III), т. пл. = 209-211o; ЯМР (СDСl3) 7,88, 7,22, 7,09, 3,95, 3,67 и 1,98 ; MC (m/z, FAB, M+H) 308.
Смесь 2,4-ди-1-пирролидинил-9Н-пиримидо[4,5-b]индола (III, 93,1 г) в ТГФ (2150 мл) охлаждают до -40o и обрабатывают в течение 30 минут н-бутиллитием/гексаном (1,6 М, 246 мл). Еще через 30 минут при -4oC добавляют в течение 15 минут смесь бромацетилпирролидина [J. Med. Chem., 30, 20-24 (1987), 93,1 г] в ТГФ (750 мл). Реакционной смеси дают возможность нагреться до 20-25o в течение 2 часов, а затем повторно охлаждают до -40o и фильтруют. Твердые продукты распределяют между хлористым метиленом и водой, органический слой сушат и концентрируют, получая свободное основание указанного в заголовке соединения (IV), т. пл. = 201-204o; ЯМР (СDСl3) 7,87, 7,38, 7,21-7,08, 5,05, 3,92, 3,62, 3,48, 3,33, 1,96 и 1,85 .
Обработка смеси указанного выше свободного основания (IV, 94,5 г) в метаноле одним эквивалентом хлористо-водородной кислоты в метаноле дает указанное в заголовке соединение (V), т. пл. = 250-255o; MС (m/z, наблюдаемый М+)=418,2476, рассчитано для С24Н30N6О = 418,2481. (Солевая компонента, гидрохлоридная в данном случае, не проявляется в МС, что является обычным).
ПРИМЕР 3. Сульфат пирролидинамида(2,4-ди-1-пирролидинил-9Н-пиримидо[4,5-b]индол-9-ил)уксусной кислоты (V).
Следуя общей методике последнего параграфа примера 2, с незначительными изменениями, используя при этом пирролидинамид (2,4-ди-1-пирролидинил-9Н-пиримидо[4,5-b] индол-9-ил)уксусной кислоты (IV, пример 2) и серную кислоту, получают указанное в заголовке соединение, т. пл. = 175-180o.
ПРИМЕР 4. Метансульфонатная соль пирролидинамида (2,4-ди-1-пирролидинил-9Н-пиримидо[4,5-b]индол-9-ил)уксусной кислоты (V).
Следуя общей методике последнего параграфа примера 2 с незначительными изменениями, используя при этом пирролидинамид (2,4-ди-1-пирролидинил-9Н -пиримидо[4,5-b]индол-9-ил)уксусной кислоты (IV, пример 2) и метансульфоновую кислоту, получают указанное в заголовке соединение, т. пл. = 199-200o.
ПРИМЕР 5. Малеатная соль пирролидинамида (2,4-ди-1-пирролидинил-9 Н-пиримидо[4,5-b]индол-9 -ил)уксусной кислоты (V).
Следуя общей методике последнего параграфа примера 2 с незначительными изменениями, используя при этом пирролидинамид (2,4-ди-1-пирролидинил-9Н -пиримидо[4,5-b]индол-9-ил)уксусной кислоты (IV, пример 2) и используя малеиновую кислоту, получают указанное в заголовке соединение, т. пл.= 150-151o.
ПРИМЕР 6. Фосфатная соль пирролидинамида (2,4-ди-1-пирролидинил- 9Н-пиримидо[4,5-b]индол-9 -ил)уксусной кислоты (V).
Следуя общей методике последнего параграфа примера 2 с незначительными изменениями, используя при этом пирролидинамид (2,4-ди-1-пирролидинил-9Н -пиримидо[4,5-b]индол-9-ил)уксусной кислоты (IV, пример 2) и фосфорную кислоту, получают указанное в заголовке соединение, т. пл. = 200-201o.
ПРИМЕР 7. трет-Бутиловый эфир (2,4-ди-1-пирролидинил -9Н-пиримидо[4,5-b] индол-9-ил)уксусной кислоты (VI).
К смеси 2,4-ди-1-пирролидинил-9Н-пиримидо[4,5-b]индола (III, пример 2, 2,0 г) в ТГФ (50 мл) при -15o добавляют н-бутиллитий (4,26 мл, 1,6 М в гексане). Через 1 час добавляют трет-бутилбромацетат (1,27 г) в ТГФ (20 мл) и смесь перемешивают при 20-25oС в течение 2 часов. Смесь распределяют между водным бикарбонатом натрия и хлористым метиленом и органический слой сушат и концентрируют. Хроматография сырого продукта (силикагель; гексан/хлористый метилен/этилацетат (70/25/5)) дает указанное в заголовке соединение, т. пл.= 131-133o; ЯМР (СDСl3) 7,87, 7,15, 4,92, 3,92, 3,61, 1,96 и 1,43 – ; MC (m/z)=421 (М+).
ПРИМЕР 8. Гидрохлорид (2,4-ди-1-пирролидинил-9Н-пиримидо[4,5-b]индол-9-ил)уксусной кислоты (VII)Смесь трет-бутилового эфира (2,4-ди-1-пирролидинил -9Н-пиримидо[4,5-b] индол-9-ил)уксусной кислоты (VI, пример 7, 2,5 г) в водной соляной кислоте (1,0 М) нагревают при кипении с обратным холодильником в течение 2 часов. Затем смесь охлаждают и концентрируют до примерно одной трети первоначального объема. Фильтрование полученного твердого продукта дает указанное в заголовке соединение, т. пл. = 250-253o; ЯМР (СDСl3) 8,07, 7,35, 5,21, 4,10, 3,73 и 2,11 -; ИК (без растворителя) 2925, 1736, 1627, 1608, 1568, 1445 и 1193 см2.
ПРИМЕР 9. Морфолинамид (2,4-ди-1-пирролидинил-9Н -пиримидо[4,5-b]индол-9-ил)уксусной кислоты (IV) и моногидрохлорид (V)Смесь гидрохлорида (2,4-ди-1-пирролидинил-9Н -пиримидо-[4,5-b]индол-9-ил)уксусной кислоты (VII, пример 8, 1,41 г) в хлористом метилене (20 мл) и ацетонитриле (20 мл) обрабатывают триэтиламином (1,08 мл), охлаждают до -5o, затем обрабатывают изобутилхлорформиатом (0,50 мл). Смесь перемешивают в течение 20 минут, затем обрабатывают морфолином (0,83 мл). Смесь перемешивают в течение 2 часов, затем распределяют между хлористым метиленом и водным бикарбонатом натрия. Слои разделяют, органический слой сушат и концентрируют и остаток очищают хроматографически (силикагель; ацетон/хлористый метилен, 10/90), получая свободное основание указанного в заголовке соединения, т. пл. 220-222o. Смесь свободного основания (IV) указанного в заголовке соединения (1,3 г) в метаноле (50 мл) обрабатывают одним эквивалентом хлористо-водородной кислоты в метаноле. Перекристаллизация полученного твердого продукта из метанола/этилацетата дает указанное в заголовке соединение, т. пл. = 238-240o; ЯМР (СН3ОD) 8,0, 7,42, 7,35, 7,27, 5,31, 3,98, 3,80, 3,69, 3,59 и 2,06 .
ПРИМЕР 10. Аминометилпиридинамид (2,4-ди-1-пирролидинил- 9Н-пиримидо[4,5-b] индол-9-ил) уксусной кислоты (IV) и дигидрохлорид (V)Следуя общей методике примера 9, но используя 2-(аминометил)пиридин вместо морфолина и два эквивалента хлористо-водородной кислоты на стадии солеобразования, получают свободное основание (IV) указанного в заголовке соединения, которое превращают в указанное в заголовке соединение, т. пл. = 162-165o; ЯМР (CH3OD) 8,77, 8,58, 8,00, 7,47, 7,37, 7,30, 5,33, 4,81, 4,10, 3,74 и 2,12 .
ПРИМЕР 11. Амид (2,4-ди-1-пирролидинил-9Н -пиримидо-[4,5-b]индол-9-ил) уксусной кислоты (IV) и гидрохлорид (V)Следуя общей методике примера 9, но используя аммиак вместо морфолина, получают свободное основание (IV) указанного в заголовке соединения, которое превращают в указанное в заголовке соединение, т.пл. = 260-264o; ЯМР (СН3ОD) 8,06, 7,36, 5,12, 4,05, 3,67 и 2,08 .
ПРИМЕР 12. 1-Амино-1-деоксисорбитоламид (2,4-ди-1-пирролидинил- 9Н-пиримидо[4,5-b]индол-9-ил) уксусной кислоты (IV) и гидрохлорид (V)Следуя общей методике примера 9, но используя 1-амино-1-деоксисорбит вместо морфолина, получают свободное основание (IV) указанного в заголовке соединения, которое превращают в указанное в заголовке соединение, т. пл. = 122-126o; МС (m/z) вычислено 529,2774, наблюдается 529,2779. ПРИМЕР 13. Пролинамид (2,4-ди-1-пирролидинил-9Н-пиримидо [4,5-b]индол-9-ил) уксусной кислоты (IV) и гидрохлорид (V) Следуя общей методике примера 9, но используя пролин вместо морфолина, получают свободное основание (IV) указанного в заголовке соединения, которое превращают в указанное в заголовке соединение, т. пл. = 118-120o; МС (m/z) вычислено 462,2379, наблюдается 462,2371. ПРИМЕР 14. Глицинамид (2,4-ди-1-пирролидинил-9Н-пиримидо[4,5-b]индол-9-ил)уксусной кислоты (IV) и гидрохлорид (V) Следуя общей методике примера 9, но используя глицин вместо морфолина, получают свободное основание (IV) указанного в заголовке соединения, которое превращают в указанное в заголовке соединение, т. пл.=155-160o; ЯМР (СН3ОD) 8,04, 7,47, 7,37, 7,29, 5,17, 4,00, 3,66, 3,30 и 2,08 .
ПРИМЕР 15. Гидроксиламинамид (2,4-ди-1-пирролидинил-9Н-пиримидо[4,5-b] индол – 9-ил)уксусной кислоты (IV) и гидрохлорид (V)Следуя общей методике примера 9, но используя O-бензил-гидроксиламин вместо морфолина, получают свободное основание (IV) указанного в заголовке соединения, которое превращают в O-бензильное производное указанного в заголовке соединения, т. пл.=184-186o. Это вещество (523 мг) дебензоилируют путем гидрирования в присутствии палладия на угле (10%, 504 мг), ДМФ (50 мл), водород (45 фунтов на кв. дюйм (310,364 кПа) в течение 5,5 часов). Фильтрование и концентрирование фильтрата дают свободное основание (IV) указанного в заголовке соединения, т. пл. = 147-150o. Образование гидрохлоридной соли осуществляют в соответствии с примером 9, получая указанное в заголовке соединение, т. пл. = 210-212o; МС (m/z) вычислено 381,2039, наблюдается 381,2028. ПРИМЕР 16. 3-Гидроксипирролидинамид (2,4-ди-1-пирролидинил -9Н-пиримидо[4,5-b]индол-9-ил)уксусной кислоты (IV) и соль (V) Следуя общей методике примера 9, но используя 3-гидроксипирролидин вместо морфолина, получают указанное в заголовке соединение, т. пл. = 224-226o; МС (m/z)=434,l (М+), а также гидрохлоридную соль, т. пл. = 145-150o. ПРИМЕР 17. 4-Амино-1-бутаноламид(2,4-ди -1-пирролидинил-9Н-пиримидо[4,5-b]индол -9-ил)уксусной кислоты (IV) и гидрохлорид (V) Следуя общей методике примера 9, но используя 4-амино-1-бутанол вместо морфолина, получают свободное основание (IV) указанного в заголовке соединения, т. пл. = 199-201o, которое превращают в соль указанного в заголовке соединения, т. пл. = 108-110o; МС (m/z) вычислено 436,2587, наблюдается 436,2574. ПРИМЕР 18. 4-Аминобутановой кислоты амид (2,4-ди-1-пирролидинил-9Н-пиримидо[4,5-b]индол-9-ил)-уксусной кислоты (IV) Следуя общей методике примера 9, но используя 4-аминобутановую кислоту вместо морфолина, получают указанное в заголовке соединение, т. пл. = 215-220o; МС (m/z) вычислено 450,2379, наблюдается 450,2379. ПРИМЕР 19. 2-Гидроксипирролидинамид (2,4-ди-1-пирролидинил -9Н-пиримидо[4,5-b]индол-9-ил)уксусной кислоты (IV) Следуя общей методике примера 9, но используя диэтилацеталь 4-иминобутиральдегида вместо морфолина, получают промежуточный ацетальный продукт, т. пл. 153-156o. Ацеталь гидролизуют, следуя общей методике, приведенной в J. Org. Chem., 48, 3667 (1983). Смесь ацетального промежуточного продукта (103 мг), йодида натрия (80 мг) и метилтрихлорсилана (0,05 мл) в ацетонитриле перемешивают при 20-25o в течение 30 минут. Затем реакционную смесь распределяют между водным бикарбонатом натрия, тиосульфатом натрия и хлористым метиленом, слои разделяют и органический слой сушат и концентрируют. Хроматография остатка (силикагель; ацетон/хлористый метилен, 10/90) дает указанное в заголовке соединение (свободное основание), т. пл.=185-1900; МС (т/е) вычислено= 434,2430; наблюдается= 434,2421. ЯМР (CDCl3) 7,87, 7,65, 7,26, 7,16, 5,47, 5,28, 4,88, 4,84, 4,79, 3,93, 3,66-3,61 и 1,99-1,91 . Методика оценки токсичности in vitro (PHOSPHO ASSAY) изложена в Toxicology Methods, 1, 89-105 (1991) и Toxicology in vitro, 8, 1083-1090 (1995); обзор последней статьи приведен Quintessence 1 [4], 23, 1994. Исследования in vivo, проведенные на модели морских свинок, указывают на корреляцию полученных оценок токсичности и данных опытов in vitro (см. Declaration under 37 C.F.R. 1.132 of Roger G. Ulrich, p. 3).
В соответствии с этими данными обращает внимание неожиданное свойство заявленной группы соединений, а именно – отсутствие токсичности. Так, например, соединения, описанные в существующем уровне техники и являющиеся ближайшими аналогами соединений по данному изобретению![]() и ![]() обладают значительной токсичностью, тогда как заявленное соединение 6105-2 (PNU-142,731A), в котором n1=1, a R3-1 и R3-2, взятые вместе с присоединенным атомом азота, образуют 1-пирролидинил ![]() совершенно не проявляет токсичности в печени, желчных протоках и желчном пузыре в опытах in vitro и in vivo (см. Declaration under 37 C.F.R. 1.132 of Ivan M. Richards, pp. 8-9). Анализируя данные о наличии токсичности у известных соединений (см. Declaration under 37 C.F.R. 1.132 of Roger G. Ulrich, p. 6), можно отметить следующую закономерность: соединение является токсичным, если заместитель R7 в положении 9 (т.е. у индольного атома азота) является 2-гетероарилэтилом. Если указанный заместитель является алифатическим, то соединение нетоксично (см. табл.1). Очевидно, в данном случае можно говорить о связи токсичности с характером заместителя у атома азота в положении 9. Заявляемые соединения в качестве R7 содержат заместитель, характеризующийся наличием в нем фрагмента -(CH2)n1-C(О)-, и не являются токсичными (см. табл.2). Таким образом, отсутствие токсичности является качественно новым групповым свойством заявляемых соединений. В отношении биологической активности следует обратить внимание на данные, полученные в результате проведения исследования (LUNG ASSAY), хорошо известного специалисту в данной области (cм. Declaration under 37 C.F.R. 1.132 of Roger G. Ulrich, p. 6 и Declaration under 37 C.F.R. 1.132 of Jia En Chin, p. 5). Методика данного исследования опубликована в Am. J. Physiol. 273 (Lung Cell. Mol. Physiol. 17) L513-L523 (1997), см. также Am. J. Respir. Cell. Mol. Biol., 15, 172-183 (1996). Приведенные данные свидетельствуют о том, что соединения по данному изобретению так же, как и их ближайшие аналоги, могут применяться при лечении астмы (см. табл.3). Количественные характеристики биологической активности приведены в приложении, озаглавленном Case 6105 Lung Data. Формула изобретения
![]() где R1-1 и R1-2 вместе с присоединенным к ним атомом азота образуют 1-пирролидинил, R2-1 и R2-2 вместе с присоединенным к ним атомом азота образуют 1-пирролидинил; n число от 1 до 3; R3-1 означает Н и R3-2 означает (1) -Н, (2) (СН2)-(2-пиридил), (3) (СН2)-(3-пиридил), (4) (СН2)-(4-пиридил), (5) (СН2)-[СН(ОН)] 4-СН2OН, (6) CН2СН2СН2СН2OН, или R3-1 и R3-2 вместе с присоединенным к ним атомом азота образуют гетероциклическое кольцо, выбранное из (1) 1-пирролидинила, (2) 1-пиперидинила, (3) 4-морфолинила, (4) 2-гидрокси-1-пирролидинила, (5) 3-гидрокси-1-пирролидинила, (6) 1-пролинила, и их фармацевтически приемлемые соли. 2. Трициклические амины формулы (IV) по п. 1, где n равно 1. 3. Трициклические амины формулы (IV) по п. 1, где R3-1 представляет -Н, и R3-2 выбран из группы, состоящей из (1) -Н, (2) -СН2-[2-пиридинил] , (3) -СН2-[СН(ОН)] 4-СН2-ОН, (4) -ОН, (5) -СН2-СН2-СН2-СН2-ОН, и где R3-1 и R3-2 вместе с присоединенным к ним атомом азота образуют гетероциклическое кольцо, выбранное из группы, состоящей из (1) 1-пирролидинила, (2) 1-пиперидинила, (3) 4-морфолинила, (4) 2-гидрокси-1-пирролидинила, (5) 3-гидрокси-1-пирролидинила, (6) 1-пролинила. 4. Трициклические амины формулы (IV) по п. 1, где R3-1 и R3-2 взяты вместе с присоединенными атомами азота с образованием 1-пирролидинила. 5. Трициклические амины формулы (IV) по п. 4, где фармацевтически приемлемые соли выбирают из группы, состоящей из гидрохлорида, сульфата, метансульфоната, малеата и фосфата. 6. Трициклические амины формулы (IV) по п. 1, которые выбраны из группы, состоящей из пирролидинамида (2,4-ди-1-пирролидинил-9Н-пиримидо[4,5-b] индол-9-ил)уксусной кислоты, морфолинамида (2,4-ди-1-пирролидинил-9Н-пиримидо[4,5-b] индол-9-ил)уксусной кислоты, 2-аминометилпиридинамида (2,4-ди-1-пирролидинил-9Н-пиримидо[4,5-b] индол-9-ил)уксусной кислоты, амида (2,4-ди-1-пирролидинил-9Н-пиримидо[4,5-b] индол-9-ил)уксусной кислоты, 1-амино-1-деоксисорбитамида(2,4-ди-1-пирролидинил-9Н-пиримидо[4,5-b] индол-9-ил)уксусной кислоты, пролинамида (2,4-ди-1-пирролидинил-9Н-пиримидо[4,5-b] -индол-9-ил)уксусной кислоты, глицинамида (2,4-ди-1-пирролидинил-9Н-пиримидо[4,5-b] индол-9-ил)уксусной кислоты, гидроксиламинамида (2,4-ди-1-пирролидинил-9Н-пиримидо-[4,5-b] индол-9-ил)уксусной кислоты, 3-гидроксипирролидинамида (2,4-ди-1-пирролидинил-9Н-пиримидо[4,5-b] индол-9-ил)уксусной кислоты, 4-амино-1-бутаноламида (2,4-ди-1-пирролидинил-9Н-пиримидо[4,5-b] индол-9-ил)уксусной кислоты, 4-аминобутановой кислоты амида(2,4-ди-1-пирролидинил-9Н-пиримидо[4,5-b] индол-9-ил)уксусной кислоты, 2-гидроксипирролидинамида (2,4-ди-1-пирролидинил-9Н-пиримидо[4,5-b] индол-9-ил)уксусной кислоты. 7. Трициклические амины формулы (IV) по п. 6, которые представляют собой пирролидинамид (2,4-ди-1-пирролидинил-9Н-пиримидо[4,5-b] индол-9-ил)уксусной кислоты. 8. Трициклические амины формулы (IV) по п. 6, которые представляют собой моногидрохлорид пирролидинамида (2,4-ди-1-пирролидинил-9Н-пиримидо[4,5-b] индол-9-ил)уксусной кислоты, сульфат пирролидинамида (2,4-ди-1-пирролидинил-9Н-пиримидо[4,5-b] индол-9-ил)уксусной кислоты, метансульфонатную соль пирролидинамида (2,4-ди-1-пирролидинил-9Н-пиримидо[4,5-b] индол-9-ил)уксусной кислоты, малеатную соль пирролидинамида (2,4-ди-1-пирролидинил-9Н-пиримидо[4,5-b] индол-9-ил)уксусной кислоты и фосфатную соль пирролидинамида (2,4-ди-1-пирролидинил-9Н-пиримидо[4,5-b] индол-9-ил)уксусной кислоты. 9. Промежуточное соединение для получения соединения по п. 1, представляющее собой трет-бутиловый эфир (2,4-ди-1-пирролидинил-9Н-пиримидо[4,5-b] индол-9-ил)уксусной кислоты. 10. Промежуточное соединение для получения соединения по п. 1, представляющее собой (2,4-ди-1-пирролидинил-9Н-пиримидо[4,5-b] индол-9-ил)уксусную кислоту и ее фармацевтически приемлемые соли. 11. Промежуточное соединение по п. 10, которое представляет собой гидрохлорид (2,4-ди-1-пирролидинил-9Н-пиримидо [4,5-b] индол-9-ил)уксусной кислоты. Приоритет по пунктам: 08.01.1997 и 09.04.1997 по пп. 1-11. РИСУНКИ
MM4A – Досрочное прекращение действия патента СССР или патента Российской Федерации на изобретение из-за неуплаты в установленный срок пошлины за поддержание патента в силе
Дата прекращения действия патента: 20.12.2005
Извещение опубликовано: 20.12.2007 БИ: 35/2007
|
||||||||||||||||||||||||||


😉 в слабое поле относительно тетраметилсилана.
ТМС означает тетраметилсилан.
-ф относится к фенилу (C6H5).
МС относится к масс-спектрометрии, выраженной в единицах m/z или масса/заряд. [М+Н] + относится к положительному иону в скобках плюс атом водорода. EI означает электронный удар. CI означает химическую ионизацию. FAB означает бомбардировку быстрыми атомами.
ВРМС обозначает масс-спектрометрию высокого разрешения.
Эфир относится к диэтиловому эфиру.
“Фармацевтически приемлемый” относится к таким свойствам и/или веществам, которые приемлемы для пациента с фармакологической/токсикологической точки зрения, а для химика, производящего лекарственный препарат, с физической/химической точки зрения в плане композиции, состава, стабильности, переносимости пациентом и биодоступности.
Фармацевтически приемлемые соли включают соли следующих кислот: хлористо-водородной, бромисто-водородной, серной, фосфорной, азотной, лимонной, метансульфоновой, СН3-(СН2)n1-СООН, где n1 принимает значения от 0 до 4, НООС-(CH2)n1-COOH, где n является таким, как определено выше, НООС-СН=СН-СООН, ф-СООН.
При использовании пар растворителей соотношение использованных растворителей представлено как объем/объем (об./об.).
При использовании растворимости твердого вещества в растворителе, соотношение твердого вещества к растворителю представлено как вес/объем (вес/об. )
.
Обработка смеси указанного выше свободного основания (IV, 94,5 г) в метаноле одним эквивалентом хлористо-водородной кислоты в метаноле дает указанное в заголовке соединение (V), т. пл. = 250-255o; MС (m/z, наблюдаемый М+)=418,2476, рассчитано для С24Н30N6О = 418,2481. (Солевая компонента, гидрохлоридная в данном случае, не проявляется в МС, что является обычным).
ПРИМЕР 3. Сульфат пирролидинамида(2,4-ди-1-пирролидинил-9Н-пиримидо[4,5-b]индол-9-ил)уксусной кислоты (V).
Следуя общей методике последнего параграфа примера 2, с незначительными изменениями, используя при этом пирролидинамид (2,4-ди-1-пирролидинил-9Н-пиримидо[4,5-b] индол-9-ил)уксусной кислоты (IV, пример 2) и серную кислоту, получают указанное в заголовке соединение, т. пл. = 175-180o.
ПРИМЕР 4. Метансульфонатная соль пирролидинамида (2,4-ди-1-пирролидинил-9Н-пиримидо[4,5-b]индол-9-ил)уксусной кислоты (V).
Следуя общей методике последнего параграфа примера 2 с незначительными изменениями, используя при этом пирролидинамид (2,4-ди-1-пирролидинил-9Н -пиримидо[4,5-b]индол-9-ил)уксусной кислоты (IV, пример 2) и метансульфоновую кислоту, получают указанное в заголовке соединение, т. пл. = 199-200o.
ПРИМЕР 5. Малеатная соль пирролидинамида (2,4-ди-1-пирролидинил-9 Н-пиримидо[4,5-b]индол-9 -ил)уксусной кислоты (V).
Следуя общей методике последнего параграфа примера 2 с незначительными изменениями, используя при этом пирролидинамид (2,4-ди-1-пирролидинил-9Н -пиримидо[4,5-b]индол-9-ил)уксусной кислоты (IV, пример 2) и используя малеиновую кислоту, получают указанное в заголовке соединение, т. пл.= 150-151o.
ПРИМЕР 6. Фосфатная соль пирролидинамида (2,4-ди-1-пирролидинил- 9Н-пиримидо[4,5-b]индол-9 -ил)уксусной кислоты (V).
Следуя общей методике последнего параграфа примера 2 с незначительными изменениями, используя при этом пирролидинамид (2,4-ди-1-пирролидинил-9Н -пиримидо[4,5-b]индол-9-ил)уксусной кислоты (IV, пример 2) и фосфорную кислоту, получают указанное в заголовке соединение, т. пл. = 200-201o.
ПРИМЕР 7. трет-Бутиловый эфир (2,4-ди-1-пирролидинил -9Н-пиримидо[4,5-b] индол-9-ил)уксусной кислоты (VI).
К смеси 2,4-ди-1-пирролидинил-9Н-пиримидо[4,5-b]индола (III, пример 2, 2,0 г) в ТГФ (50 мл) при -15o добавляют н-бутиллитий (4,26 мл, 1,6 М в гексане). Через 1 час добавляют трет-бутилбромацетат (1,27 г) в ТГФ (20 мл) и смесь перемешивают при 20-25oС в течение 2 часов. Смесь распределяют между водным бикарбонатом натрия и хлористым метиленом и органический слой сушат и концентрируют. Хроматография сырого продукта (силикагель; гексан/хлористый метилен/этилацетат (70/25/5)) дает указанное в заголовке соединение, т. пл.= 131-133o; ЯМР (СDСl3) 7,87, 7,15, 4,92, 3,92, 3,61, 1,96 и 1,43 –


