Патент на изобретение №2200735
|
||||||||||||||||||||||||||
(54) 2,2′-ДИФЕНИЛ-3,3′-(N-ФЕНИЛЕН)БИС(6,7-ХИНОКСАЛИНДИКАРБОНИТРИЛ
(57) Реферат: Изобретение относится к получению новых тетранитрилов гетероциклических тетракарбоновых кислот формулы I, которые могут быть использованы для получения полигексазоцикланов – флуорофоров, бифлуорофоров, трифлуорофоров. Такие полигексазоцикланы перспективны для использования в качестве активных сред жидких и твердых лазеров, сцинтилляторов, особенно для индикации жесткого излучения, для трансформации коротковолнового излучения в длинноволновое при передаче информации по волоконно-оптическим линиям связи, для увеличения мощности солнечных батарей, для защиты ценных бумаг, для изготовления рекламных щитов. 1 табл.
Изобретение относится к области получения новых тетранитрилов гетероциклических тетракарбоновых кислот, которые могут быть использованы для получения не описанных ранее полигексазоцикланов – флуорофоров, бифлуорофоров, трифлуорофоров. Такие полигексазоцикланы перспективны для использования в качестве активных сред жидких и твердых лазеров, сцинтилляторов, особенно для индикации жесткого излучения, для трансформации коротковолнового излучения в длинноволновое при передаче информации по волоконно-оптическим линиям связи, для увеличения мощности солнечных батарей, для защиты ценных бумаг, для изготовления рекламных щитов и т.д. Полученный полигексазоциклан обладает следующими показателями: полоса излучения 532 нм при возбуждении в полосу 312 нм. Полигексазоциклан, полученный на основе 2,2′-дифенил-3,3′-(п-фенилен)бис(6,7-хиноксалиндикарбонитрила), заявляемом в данном патенте, обладает уникальными спектральными характеристиками, отличными от характеристик уже известных гексазоцикланов. Варьируя в тетракарбонитриле, различные заместители и мостиковые фрагменты можно в конкретной паре с диамином более точно скорректировать максимум излучения конечного полигексазоциклана, т.е. максимально приблизиться к реализации заданных свойств. Именно таким способом могут быть получены лазерные красители для перенастраевыемых лазеров с требуемой длиной волны поглощения и варьируемой длиной волны излучения, а также становится доступной вся цветовая гамма флуоресцентных красителей, применяемых в самых разнообразных целях. Задачей, решаемой настоящим изобретением, является получение 2,2′-дифенил-3,3′-(п-фенилен)бис(6,7-хиноксалиндикарбонитрила). Заявляется 2,2′-дифенил-3,3′-(п-фенилен)бис(6,7-хиноксалиндикарбонитрил) формулы ![]() Данное соединение получают реакцией конденсации двукратного избытка 4,5-диаминофталонитрила с 1-[4-(2-оксо-2-фенилацетил)фенил]-2-фенил-1,2-этандионом по схеме (см. в конце описания). Реакцию проводят в среде уксусной кислоты при температуре кипения в течение 1-1,5 часов. Изобретение иллюстрируется следующими примерами. Пример 1. В колбу, снабженную обратным холодильником, последовательно загружают 30 мл уксусной кислоты, 3,2 г (0,02 моль) 4,5-диаминофталонитрила, 3,4 г (0,01 моль) 1-[4-(2-оксо-2-фенилацетил)фенил]-2-фенил-1,2-этандиона. Реакционную смесь выдерживают при кипении в течение 1,5 часов. Затем реакционную массу выливают в 100 мл воды, отфильтровывают образовавшийся осадок, промывают его 50 мл воды и кристаллизуют из ДМФА. Получают 4,82 г (82,2% от теории) 2,2′-дифенил-3,3′-(п-фенилен)бис(6,7-хиноксалиндикарбонитрила) – белого кристаллического порошка с т. пл. >300oС. Найдено, %: С 77,77; Н 3,12; N 19,03 Вычислено, %: С 77,80; Н 3,10; N 19,10 (С38Н18N8) 1Н ЯМР ([2Н6] ДМСО): м.д.: 8,90 (s, 4H), 7,45 (m, 14H).
Пример 2. Конденсация 2,2′-дифенил-3,3′-(п-фенилен)бис(6,7-хиноксалиндикарбонитрила) с родамином 123. В колбу, снабженной мешалкой, термометром, обратным холодильником и капилляром для ввода аргона загружают 5,7 г (0,01 моль) 2,2′-дифенил-3,3′-(п-фенилен)бис(6,7-хиноксалиндикарбонитрила), 3,8 г (0,01 моль) родамина 123 и 10 г фенола. Полученную смесь медленно нагревают при перемешивании до 175-185oС. Образовавшийся расплав выдерживают при перемешивании в токе аргона до прекращения выделения аммиака. После окончания реакции реакционную смесь выливают в 20 мл этанола, выпавший осадок отфильтровывают, промывают 3 мл этанола и сушат при Т=60oС в течение 2 часов, затем в вакуумe над Р2O5. Получают 12,0 г (96% от теории) полигексазоциклана.
Найдено, %: С 76,98; Н 4,09; N 11,18Вычислено, %: С 77,02; Н 4,05; N 11,23 (C80H50N10O6)n В ИК-спектре полигексазоциклана отсутствует полоса 2220 см-1 -C N, присутствует полоса 680 см-1 -C=N.
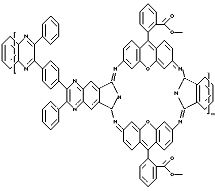
Структурная формула полигексазоциклана, полученного на основе 2,2′-дифенил-3,3′-(п-фенилен)бис(6,7-хиноксалиндикарбонитрила) и родамина 123![]() Полигексазоциклан, полученный на основе 2,2′-дифенил-3,3′-(п-фенилен)бис(6,7-хиноксалиндикарбонитрила) и родамина 123 имеет следующие спектральные характеристики: максимум спектра излучения – 448 нм при максимумах спектра поглощения – 280 и 365 нм. Формула изобретения
РИСУНКИ
MM4A Досрочное прекращение действия патента Российской Федерации на изобретение из-за неуплаты в установленный срок пошлины за поддержание патента в силе
Дата прекращения действия патента: 04.10.2003
Извещение опубликовано: 10.01.2005 БИ: 01/2005
|
||||||||||||||||||||||||||


м.д.: 8,90 (s, 4H), 7,45 (m, 14H).
Пример 2. Конденсация 2,2′-дифенил-3,3′-(п-фенилен)бис(6,7-хиноксалиндикарбонитрила) с родамином 123. В колбу, снабженной мешалкой, термометром, обратным холодильником и капилляром для ввода аргона загружают 5,7 г (0,01 моль) 2,2′-дифенил-3,3′-(п-фенилен)бис(6,7-хиноксалиндикарбонитрила), 3,8 г (0,01 моль) родамина 123 и 10 г фенола. Полученную смесь медленно нагревают при перемешивании до 175-185oС. Образовавшийся расплав выдерживают при перемешивании в токе аргона до прекращения выделения аммиака. После окончания реакции реакционную смесь выливают в 20 мл этанола, выпавший осадок отфильтровывают, промывают 3 мл этанола и сушат при Т=60oС в течение 2 часов, затем в вакуумe над Р2O5. Получают 12,0 г (96% от теории) полигексазоциклана.
Найдено, %: С 76,98; Н 4,09; N 11,18
N, присутствует полоса 680 см-1 -C=N.
Структурная формула полигексазоциклана, полученного на основе 2,2′-дифенил-3,3′-(п-фенилен)бис(6,7-хиноксалиндикарбонитрила) и родамина 123