Патент на изобретение №2200734
|
||||||||||||||||||||||||||
(54) АМИДЫ ПИРИДИЛАЛКЕНОВЫХ И ПИРИДИЛАЛКИНОВЫХ КИСЛОТ, СПОСОБЫ ИХ ПОЛУЧЕНИЯ, ФАРМАЦЕВТИЧЕСКАЯ КОМПОЗИЦИЯ НА ИХ ОСНОВЕ И СПОСОБ ЕЕ ПОЛУЧЕНИЯ
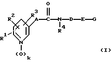
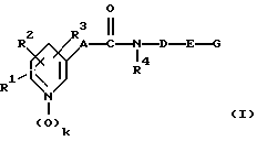
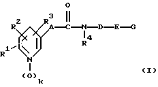
(57) Реферат: Изобретение относится к области органической химии, а именно к новым амидам пиридилалкеновых и пиридилалкиновых кислот. Описываются амиды пиридилалкеновых и пиридилалкиновых кислот общей формулы (I) ![]() где радикалы R1, R2, R3, R4, A, D, Е, G и k, такие как представлено в п. 1 формулы изобретения. Также описывается способ (варианты) получения амидов пиридилалкеновых и пиридилалкиновых кислот, фармацевтическая композиция на основе соединений формулы (I), обладающая антинеопластической и/или иммуносупрессивной активностью, и способ получения фармацевтической композиции. Технический результат – получены новые соединения, обладающие полезными биологическими свойствами. 12 с. и 23 з.п.ф-лы, 10 табл. Текст описания в факсимильнов виде (см. чертежи) Т Т Т Формула изобретения
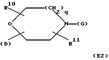
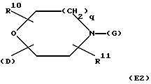
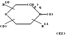
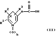
![]() где R1 выбирают из группы состоящей из водорода, галогена, циано, C1-С6-алкила, трифторметила, С3-С8-циклоалкила, С1-С4-гидроксиалкила, гидрокси, С1-С4-алкокси, бензилокси, С1-С4-алканоилокси, С1-С4-алкилтио, С2-С5-алкоксикарбонила, аминокарбонила, С3-С9-диалкиламинокарбонила, карбокси, фенила, фенокси, пиридилокси и NR5R6, где R5 и R6 выбраны, независимо друг от друга, из водорода, C1-С6-алкила; R2 является водородом, галогеном, C1-С6-алкилом, трифторметилом и гидрокси; R1 и R2, если они смежные, необязательно образуют мостик, который выбран из группы -(СН2)4– и -(СН= СН)2– и -СН2О-CR7R8-O-, где R7 и R8 являются независимо друг от друга водородом или С1-С6-алкилом; R3 выбран из водорода, галогена и C1-С6-алкила, и R4 выбран из водорода, C1-С6-алкила, С3-С6-алкенила, гидрокси, C1-С6-алкокси и бензилокси; k = 0 или 1; А является С2-С6-алкениленом, который необязательно замещен единожды- трижды С1-С3-алкилом, гидрокси, фтором, циано или фенилом, С4-С6-алкадиениленом, который необязательно единожды или дважды замещен С1-С3-алкилом, фтором, циано или фенилом, 1,3,5-гексатриениленом, который необязательно замещен C1-С3-алкилом, фтором или циано, и этиниленом; D выбран из C1-С10-алкилена необязательно единожды или дважды замещенного Cl-С3-алкилом или гидрокси, С2-С10-алкенилена, необязательно единожды или дважды замещенного С1-С3 алкилом или гидрокси, где двойная связь необязательно находится в кольце Е, С3-С10-алкинилена, который возможно единожды или дважды замещен C1-С3-алкилом или гидрокси, и эта группа, состоящая из C1-С10-алкилена, С2-С10-алкенилена и С3-С10-алкинилена, в которых от одной до трех метиленовых единиц изостерически замещены О, S, NR9, СО, SO или SO2, где R9 является водородом, C1-С3-алкилом, С1-С6-ацилом или метансульфонилом; Е выбирают из ![]() и ![]() где гетероциклическое кольцо необязательно имеет двойную связь; n и p независимо друг от друга являются 0, 1, 2 или 3, при условии, что n+p<4; q = 1 или 2; R10 выбран из водорода, C1-С3-алкила, гидрокси, гидроксиметила, карбокси или С2-С7-алкоксикарбонила; R11 выбран из водорода или оксогруппы, смежной с атомом азота; G выбран из водорода, G1, G2, G3, G4 и G5, где G1 представляет собой остаток -(CH2)r-(CR13R14)s-R12(Gl) где r = 0, 1 или 2; s = 0 или 1; R12 выбран из водорода, C1-С6-алкила, С3-С6-алкенила, С3-С6-алкинила, С3-С8-циклоалкила, бензила, фенила, группы, состоящей из моноциклических ароматических пяти- и шестичленных гетероциклов, которые содержат от одного до трех гетероатомов, выбранных из N, S и О и связаны непосредственно, либо через метиленовую группу, группы, состоящей из аннелированных би- и трициклических ароматических или частично гидрогенированных карбоциклических систем колец с 8-16 кольцевыми атомами и, по меньшей мере, одним ароматическим кольцом, в котором связь может осуществляться либо через ароматическое или гидрогенированное кольцо, либо непосредственно, либо через метиленовую группу, и группы состоящей из аннелированных би- и трициклических ароматических или частично гидрогенированных гетероциклических систем колец с 8-16 кольцевыми атомами и, по меньшей мере, одним ароматическим кольцом, в котором от одного до трех кольцевых атомов выбирают из N, S и О, и связь может возникать либо через ароматическое или гидрогенированное кольцо, либо непосредственно, либо через метиленовую группу; R13 имеет то же значение, что и R12, но выбран независимо от него; R14 выбран из водорода, гидрокси, метила, бензила, фенила; группы, состоящей из моноциклических ароматических пяти- или шестичленных гетероциклов, которые содержат от одного до трех гетероатомов, выбранных из N, S и О и которые являются либо напрямую связанными, либо через метиленовую группу; группы, состоящей из аннелированных би- и трициклических ароматических или частично гидрогенированных карбоциклических систем колец с 8-16 кольцевыми атомами и, по меньшей мере, одним ароматическим кольцом, в котором связь осуществляется либо через ароматическое или гидрогенированное кольцо и либо непосредственно, либо через метиленовую группу; группы, состоящей из аннелированных би- и трициклических ароматических или частично гидрогенированных гетероциклических систем колец с 8-16 кольцевыми атомами и, по меньшей мере, одним ароматическим кольцом, в котором от одного до трех кольцевых атомов могут быть выбраны из N, S и О, и связь выполнена либо через ароматическое или гидрогенированное кольцо, и либо непосредственно, либо через метиленовую группу; G2 выбран из остатков ![]() и ![]() где заместители R12 и R14 имеют упомянутые выше значения, или группа -NR12R14 представляет собой гетероцикл, содержащий N, причем этот гетероцикл, содержащий N, выбирают из группы, состоящей из насыщенных или ненасыщенных моноциклических, четырех-восьмичленных гетероциклов, которые, за исключением основного атома азота, необязательно содержат один или два других гетероатома, выбираемых из N, S и О, и группы, состоящей из насыщенных и ненасыщенных би- и трициклических анелированных или связанных мостиком гетероциклов с 8-16 кольцевыми атомами, которые, за исключением основного атома азота, необязательно содержат один или два других гетероатома, выбираемых из N, S и О, G3 является остатком -SO2-(CH2)rR12 (G3) G4 является остатком ![]() где Аr1 и Аr2 выбраны независимо из фенила, пиридила и нафтила, G5 является -COR15 (G5) где R15 выбран из трифторметила, C1-С6-алкокси, С3-С6-алкенилокси и бензилокси, где системы ароматических колец в заместителях R1, R2, R4, R12, R13, R14, R15, Аr1 и Аr2 и в системе колец -NR12R14 необязательно несут независимо один от другого от одного до трех заместителей из галогена, циано, C1-С6-алкила, трифторметила, С3-С8-циклоалкила, фенила, бензила, гидрокси, C1-С6-алкокси, который может необязательно полностью или частично замещен фтором, бензилокси, фенокси, меркапто, С1-С6-алкилтио, карбокси, C1-С6-алкоксикарбонилом, бензилоксикарбонилом, нитро, амино, моно-С1-С6-алкиламино и ди-(С1-С6-алкил)-амино, где две соседние группы ароматического кольца или системы колец необязательно образуют дополнительное кольцо через мостик метилендиокси, таутомеров в случае замещения гетероцикла или системы аннелированных колец за счет свободных гидрокси, меркапто и/или аминогрупп, стериоизомеров и/или их смесей и фармацевтически приемлемых солей за исключением гидрохлорида (Е)-3-(3-пиридил)-N-[2-(1-бензилпиперидин-4-ил)этил] -2-пропенамида. 2. Соединения по п. 1, где R1 является водородом, галогеном, циано, метилом, трифторметилом, гидрокси, С1-С4-алкокси, этилтио, метоксикарбонилом, трет-бутоксикарбонилом, аминокарбонилом, карбокси и фенокси, R2 является водородом, галогеном, трифторметилом и гидрокси, R3 выбирают из водорода или галогена, R4 выбран из водорода, C1-С3-алкила, гидрокси, C1-С3-алкокси, k = 0 или 1, А является С2-С6-алкениленом, который, необязательно, замещен единожды или дважды C1-С3-алкилом, гидрокси или фтором, С4-С6-алкадиениленом, который необязательно замещен C1-С3-алкилом или 1-2 атомами фтора, и 1,3,5-гексатриениленом, который необязательно замещен фтором, D выбран из С1-С8-алкилена, необязательно единожды или дважды замещенного метилом или гидрокси, С2-С8-алкенилена, необязательно единожды или дважды замещенного метилом или гидрокси, где двойная связь может быть в кольце Е, С3-С8-алкинилена, который возможно единожды или дважды замещен метилом или гидрокси, и эта группа, состоящая из C1-C8-алкилена, С2-С8-алкенилена и С3-С8-алкинилена, где от одной до трех метиленовых единиц изостерически замещены О, S, NH, N(CH3), N(СОСН3), N(SO2CH3), CO, SO или SO2, Е выбран из ![]() и ![]() где гетероциклическое кольцо при необходимости, имеет двойную связь; n и p независимо друг от друга являются 0, 1, 2 или 3, при условии, что n+p 3;q имеет значение 1 или 2; R10 выбран из водорода, C1-С3-алкила, гидрокси, гидроксиметила; R11 выбран из водорода или оксогруппы, смежной с атомом азота; G выбран из водорода, G1, G2, G3, G4 и G5, где G1 представляет собой остаток -(CH2)r-(CR13R14)s-R12 (G1) где r = 0, 1 или 2; s = 0 или 1; R12 выбран из водорода, C1-С6-алкила, С3-С8-циклоалкила, бензила, фенила, группы, состоящей из бензоциклобутила, инданила, инденила, оксоинданила, нафтила, дигидронафтила, тетрагидронафтила, оксотетрагидронафтила, бифениленила, фторенила, оксофторенила, антрила, дигидроантрила, оксодигидроантрила, диоксодигидроантрила, фенантрила, дигидрофенантрила, оксодигидрофенантрила, дибензоциклогептенила, оксодибензоциклогептенила, дигидродибензоциклогептенила, оксодигидродибензоциклогептенила, дигидродибензоциклооктенила, тетрагидродибензоциклооктенила и оксотетрагидродибензоциклооктенила, связанного непосредственно или через метиленовую группу, и группы, состоящей из фурила, тиенила, пирролила, оксазолила, изоксазолила, тиазолила, изотиазолила, пиразолила, имидазолила, оксадиазолила, тиадиазолила, триазолила, пиридила, пиразинила, пиридазинила, пиримидинила, триазинила, имидазотиазолила, бензофурила, дигидробензофурила, бензотиенила, дигидробензотиенила, индолила, индолинила, оксоиндолинила, диоксоиндолинила, бензоксазолила, оксобензоксазолинила, бензизоксазолила, оксобензизоксазолинила, бензотиазолила, оксабензотиазолинила, бензоизотиазолила, оксобензоизотиазолинила, бензимидазолила, оксобензимидазолинила, индазолила, оксаиндазолинила, бензофуразанила, бензотиадиазолила, бензотриазолила, оксазолопиридила, оксодигидрооксазолопиридила, тиазолопиридила, оксодигидротиазолопиридила, изотиазолопиридила, имидазопиридила, оксодигидроимидазолопиридила, пиразолопиридила, оксодигидропиразолопиридила, тиенопиримидинила, хроманила, хроманонила, бензопиранила, хромонила, хинолила, изохинолила, дигидрохинолила, оксодигидрохинолинила, тетрагидрохинолила, оксотетрагидрохинолинила, бензодиоксанила, хиноксалинила, хиназолинила, нафтиридинила, карбазолила, тетрагидрокарбазолила, оксотетрагидрокарбазолила, пиридоиндолила, акридинила, оксодигидроакридинила, фенотиазинила, дигидродибензоксепинила, оксодигидродибензоксепинила, бензоциклогептатиенила, оксобензоциклогептатиенила, дигидротиенобензотиепинила, оксодигидротиенобензотиепинила, дигидродибензотиепинила, оксодигидродибензотиепинила, октадигидродибензотиепинила, дигидродибензазепинила, оксодигидродибензазепинила, октагидродибензазепинила, бензоциклогептапиридила, оксобензоциклогептапиридила, дигидропиридобензодиазепинила, дигидродибензоксазепинила, дигидропиридобензоксепинила, дигидропиридобензоксазепинила, оксодигидропиридобензоксазепинила, дигидродибензотиазепинила, оксодигидродибензотиазепинила, дигидропиридобензотиазепинила, оксодигидропиридобензотиазепинила, связанных непосредственно или через метиленовую группу; R13 имеет то же значение, что и R12, но выбран независимо от него, R14 выбран из водорода, гидрокси, метила, бензила, фенила, и группы, состоящей из инданила, инденила, нафтила, дигидронафтила, тетрагидронафтила, фурила, тиенила, пирролила, оксазолила, изоксазолила, тиазолила, изотиазолила, пиразолила, имидазолила, оксадиазолила, тиадиазолила, триазолила, пиридила, пиразинила, пиридазинила, пиримидинила, триазинила, бензофурила, бензотиенила, индолила, индолинила, бензоксазолила, бензотиазолила, бензимидазолила, хроманила, хинолила и тетрагидрохинолила, связанных непосредственно или через метиленовую группу, G2 выбран из остатков ![]() и ![]() где заместители R12 и R14 имеют упомянутые выше значения, или группа -NR12R14 представляет собой азотсодержащий гетероцикл, связанный через атом азота и этот азотсодержащий гетероцикл выбирают из группы, состоящей из азетидина, пирролидина, пиперидина, (1Н)тетрагидропиридина, гексагидроазепина, 1(Н)тетрагидроазепина, октагидроазоцина, пиразолидина, пиперазина, гексагидродиазепина, морфолина, гексагидрооксазепина, тиоморфолина, тиоморфолин-1,1-диоксида, 5-аза-бицикло-[2.1.1] гексана, 2-аза-бицикло [2.2.1] гептана, 7-аза-бицикло[2.2.1] гептана, 2,5-диаза-бицикло[2.2.1] -гептана, 2-азабицикло[2.2.2] октана, 8-азабицикло[3.2.1] октана, 2,5-диаза-бицикло[2.2.2] октана, 9-азабицикло[3.3.1] нонана, индолина, изоиндолина, (1Н)-дигидрохинолина, (1Н)-тетрагидрохинолина, (2Н)-тетрагидроизохинолина, (1Н)-тетрагидрохиноксалина, (4Н)-дигидробензоксазина, (4Н)-дигидробензотиазина, (1Н)-тетрагидробензо[b] азепина, (1Н)-тетрагидробензо[с] азепина, (1Н)-тетрагидробензо[d] азепина, (5Н)-тетрагидробензо[b] оксазепина, (5Н)-тетрагидробензо[b] тиазепина, 1,2,3,4-тетрагидро-9Н-пиридо[3,4-b] -индола, (10Н)-дигидроакридина, 1,2,3,4-тетрагидроакриданона, (10Н)-феноксазина, (10Н)-фенотиазина, (5Н)-дибензазепина, (5Н)-дигидродибензазепина, (5Н)-октагидродибензазепина, (5Н)-дигидродибензодиазепина, (11Н)-дигидродибензо[b, е] оксазепина, (11Н)-дигидродибензо[b, е] тиазепина, (10Н)-дигидродибензо[b, f] оксазепина(10Н)-дигидродибензо[b, f] тиазепина и (5Н)-тетрагидродибензазоцина, G3 является остатком -SO2-(CH2)rR12 (G3) G4 является остатком ![]() где Аr1 и Аr2 выбраны, независимо друг от друга из фенила, пиридила и нафтила; G5 является остатком -COR15 (G5) где R15 выбран из трифторметила, C1-С6-алкокси, С3-С6-алкенилокси и бензилокси, где системы ароматических колец необязательно замещены независимо один от другого одним- тремя одинаковыми или различными заместителями, выбранными из группы, состоящей из галогена, циано, C1-C6-алкила, трифторметила, С3-С8-циклоалкила, фенила, бензила, гидрокси, C1-С6-алкокси, полностью или частично замещенным фтором; бензилокси, фенокси, меркапто, Cl-С6-алкилтио, карбокси, Cl-С6-алкоксикарбонил, бензилоксикарбонил, нитро, амино, моно-С1-С6-алкиламино и ди-(С1-C6-алкил)-амино, где две соседние группы могут образовывать дополнительное кольцо через мостик метилендиокси. 3. Соединения по пп. 1 и 2, где R1 выбирают из группы, составленной водородом, галогеном, циано, метилом, трифторметилом, гидрокси, метокси, или метоксикарбонилом, R2 является водородом или галогеном, R3 является водородом, R4 выбран из водорода, C1-С3-алкила и гидрокси, k = 0 или 1, А выбран из С2-С6-алкенилена, который, необязательно, замещен единожды или дважды гидрокси или фтором, или С4-С6-алкадиенилена, который необязательно замещен одним или двумя атомами фтора, и 1,3,5-гексатриенилена, D выбирают из С2-С8-алкилена, необязательно замещенного метилом или гидрокси, С2-С8-алкенилена, возможно замещенного метилом или гидрокси, где двойная связь может быть также в кольце Е, и эта группа, состоящая из С2-С8-алкилена, и С2-С8-алкенилена, где от одной до трех метиленовых единиц изостерически заменены на О, NH, N(CH3), N(СОСН3), N(SO2СН3) или СО, Е выбран из остатков ![]() и ![]() где гетероциклическое кольцо при необходимости имеет двойную связь; n и p независимо друг от друга имеют значение 0, 1, 2 или 3, при условии, что n+p 3;q = 1 или 2, R10 выбран из водорода, метила или гидроксила; R11 выбран из водорода или оксогруппы, смежной с атомом азота; G выбран из водорода, С3-С8-циклоалкила, метоксикарбонила, третбутоксикарбонила, трифторацетила, дифенилфосфиноила и остатков -(CH2)r-(CR13R14)s-R12 (G1) ![]() ![]() и -SO2-(CH2)rR12 (G3) где r = 0, 1 или 2; s = 0 или 1; R12 выбран из водорода, метила, бензила или фенила, группы, составленной из инданила, инденила, оксоинданила, нафтила, дигидронафтила, тетрагидронафтила, оксотетрагидронафтила, фторенила, оксофторенила, антрила, дигидроантрила, оксодигидроантрила, диоксодигидроантрила, дибензоциклогептенила, оксодибензоциклогептенила, дигидродибензоциклогептенила, и оксодигидродибензоциклогептенила, связанного непосредственно или через метиленовую группу, и группы, состоящей из фурила, тиснила, пирролила, оксазолила, изоксазолила, тиазолила, изотиазолила, пиразолила, имидазолила, оксадиазолила, тиадиазолила, триазолила, пиридила, пиразинила, пиридазинила, пиримидинила, имидазотиазолила, бензофурила, дигидробензофурила, бензотиенила, дигидробензотиенила, индолила, индолинила, оксоиндолинила, диоксоидолинила, бензоксазолила, оксобензоксазолинила, бензизоксазолила, оксобензизоксазолинила, бензотиазолила, оксабензотиазолинила, бензоизотиазолила, оксобензоизотиазолинила, бензимидазолила, оксобензимидазолинила, бензофуразанила, бензотиадиазолила, бензотриазолила, оксазолопиридила, оксодигидрооксазолопиридила, тиазолопиридила, оксодигидротиазолопиридила, изотиазолопиридила, имидазопиридила, оксодигидроимидазопиридила, пиразолопиридила, тиенопиримидинила, хроманила, хроманонила, бензопиранила, хромонила, хинолила, изохинолила дигидрохинолила, оксодигидрохинолинила, тетрагидрохинолила, оксотетрагидрохинолинила, бензодиоксанила, хиноксалинила, хиназолинила, нафтиридинила, карбазолила, тетрагидрокарбазолила, оксотетрагидрокарбазолила, пиридоиндолила, акридинила, оксодигидроакридинила, фенотиазинила, дигидродибензоксепинила, бензоциклогептатиенила, оксобензоциклогептатиенила, дигидротиенобензотиепинила, оксодигидротиенобензотиепинила, дигидродибензотиепинила, оксодигидродибензотиепинила, дигидродибензазепинила, оксодигидродибензазепинила, октагидродибензазепинила, бензоциклогептапиридила, оксобензоциклогептапиридила, дигидропиридобензоксепинила, дигидродибензотиазепинила, оксодигидродибензотиазепинила, связанных непосредственно или через метиленовую группу; R13 является водородом, метилом, бензилом или фенилом; R14 выбран из водорода, гидрокси, метила, бензила или фенила, и группы, состоящей из нафтила, фурила, тиенила, оксазолила, тиазолила, пиразолила, имидазолила, оксадиазолила, тиадиазолила, пиридила, бензофурила, бензотиенила, индолила, индолинила, бензоксазолила, бензотиазолила, бензимидазолила, хроманила, хинолила или тетрагидрохинолила, связанных непосредственно или через метиленовую группу, где в формуле ![]() -NR12R14 необязательно выбран из пирролидина, пиперидина, (1Н)тетрагидропиридина, гексагидроазепина, октагидроазоцина, пиперазина, гексагидродиазепина, морфолина, гексагидрооксазепина, 2-аза-бицикло-[2.2.1] гептана, 7-аза-бицикло[2.2.1] гептана, 2,5-диаза-бицикло[2.2.1] гептана, 8-азабицикло[3.2.1] октана, 2,5-диаза-бицикло[2.2.2] октана, индолина, изоиндолина, (1Н)-дигидрохинолина, (1Н)-тетрагидрохинолина, (2Н)-тетрагидроизохинолина, (1Н)-тетрагидрохиноксалина, (4Н)-дигидробензоксазина, (4Н)-дигидробензотиазина, (1Н)-тетрагидробензо[b] азепина, (1Н)-тетрагидробензо-[d] азепина, (5Н)-тетрагидробензо[b] оксазепина, (5Н)-тетрагидробензо[b] тиазепина, 1,2,3,4-тетрагидро-9Н-пиридо[3,4-b] индола, (10Н)-дигидроакридина, 1,2,3,4-тетрагидроакриданона, (5Н)-дигидродибензазепина, (5Н)-дигидродибензодиазепина, (11Н)-дигидродибензо[b, е] оксазепина, (11Н)-дигидродибензо[b, е] тиазепина, (10Н)-дигидродибензо[b, f] оксазепина или (5Н)-тетрагидробензазоцина. 4. Соединения по любому из пп. 1-3, где R1 является водородом, фтором, хлором, метилом, трифторметилом или гидрокси, R2 и R3 являются водородом, R4 является водородом или гидрокси, k = 0 или 1, А является С2-С4-алкиленом, необязательно замещенным фтором, D выбран из С2-С6-алкилена, С2-С6-алкинилена, где двойная связь необязательно есть в кольце Е, и эта группа, состоящая из С2-С6-алкилена и С2-С6-алкенилена, в которых метиленовая единица изостерически заменена на О, NH, N(СН3) или СО или этиленовая группа изостерически заменена на NH-CO или CO-NH или пропиленовая группа изостерически заменена на NH-CO-O или O-CO-NH, Е выбран из пирролидина, пиперидина, 1,2,5,6-тетрагидропиридина, гексагидроазепина, морфолина и гексагидро-1,4-оксазепина, где гетероциклическое кольцо, необязательно соседнее с атомом азота, может быть замещено оксигруппой, G выбран из водорода, трет-бутоксикарбонила, дифенилфосфиноила или одного из остатков -(CH2)r-(CR13R14)s-R12 (G1) ![]() ![]() и -SO2-(CH2)rR12 (G3) где r = 0 или 1; s = 0 или 1, R12 выбран из водорода, метила, бензила или фенила, группы, состоящей из инденила, оксоинданила, нафтила, тетрагидронафтила, фторенила, оксофторенила, антрила, дигидроантрила, оксодигидроантрила, диоксодигидроантрила, дибензоциклогептенила, дигидродибензоциклогептенила, связанного непосредственно или через метиленовую группу, и группы, состоящей из фурила, тиенила, оксазолила, тиазолила, имидазолила, оксадиазолила, тиадиазолила, пиридила, пиразинила, пиримидинила, имидазотиазолила, бензофурила, бензотиенила, индолила, оксоиндолинила, диоксоиндолинила, бензоксазолила, оксобензоксазолинила, бензотиазолила, оксабензотиазолинила, бензимидазолила, оксобензимидазолинила, бензофуразанила, бензотриазолила, оксазолопиридила, оксодигидрооксазолопиридила, тиазолопиридила, оксодигидротиазолопиридила, хроманила, хроманонила, бензопиранила, хромонила, хинолила, изохинолила, оксодигидрохинолинила, тетрагидрохинолинила, оксотетратадрохинолинила, бензодиоксанила, хиназолинила, акридинила, оксодигидроакридинила, фенотиазинила, дигидродибензоксепинила, бензоциклогептатиенила, дигидротиенобензотиепинила, дигидродибензотиепинила, оксодигидродибензотиепинила, дигидродибензазепинила, ксодигидродибензазепинила, октагидродибензазепинила, бензоциклогептапиридила, оксобензоциклогептапиридила, дигидродибензотиазепинила, связанных непосредственно или через метиленовую группу; R13 является водородом, метилом, бензилом или фенилом; R14 является водородом, гидрокси, метилом, бензилом или фенилом, и группы, составленной нафтилом, фурилом, тиенилом, пиридилом, бензофурилом, бензотиенилом, индолилом, бензоксазолилом, бензотиазолилом, бензимидазолилом, хроманилом, хинолилом или тетрагидрохинолилом, связанными непосредственно или через метиленовую группу, где в формуле ![]() -NR12R14 может быть выбран из пирролидина, пиперидина, гексагидроазепина, морфолина, 2,5-диазабицикло[2.2.1] гептана, индолина, изоиндолина, (1Н)-дигидрохинолина, (1Н)-тетрагидрохинолина, (2Н)-тетрагидроизохинолина, (1Н)-тетрагидробензо[b] азепина, (1Н)-тетрагидробензо[d] азепина, (5Н)-тетрагидробензо-[b] оксазепина, (5Н)-тетрагидробензо[b] тиазепина, 1,2,3,4-тетрагидроакриданона, (5Н)-дигидродибензазепина, (11Н)-дигидродибензо[b, е] тиазепина и (11Н)-дигидродибензо[b, е] оксазепина, где ароматические системы колец необязательно замещены независимо друг от друга одним – тремя одинаковыми или различными заместителями, выбираемыми из галогена, циано, C1-С6-алкила, трифторметила, С3-С8-циклоалкила, фенила, бензила, гидрокси, С1-С6-алкокси, C1-С6-алкокси, которые полностью или частично замещены фтором, могут нести бензилокси, фенокси, меркапто, C1-С6-алкилтио, карбокси, C1-С6-алкоксикарбонил, бензилоксикарбонил, нитро, амино, моно-С3-С6-алкиламино или ди-(С1-С6-алкил)-амино, где две соседние группы на ароматическом кольце или системе колец необязательно образуют дополнительное кольцо посредством мостика метилендиокси. 5. Соединение по любому из пп. 1-4, где R1 является водородом, фтором, метилом, трифторметилом или гидрокси, R2 и R3 являются водородом, R4 является водородом или гидрокси, k = 0, А является этениленом или 1,3-бутадиениленом, D выбран из С2-С6-алкилена или С2-С6-алкенилена, где двойная связь необязательно находится в кольце Е, Е выбран из пирролидина, пиперидина, гексагидроазепина или морфолина, G выбран из бензила, фенэтила, фторенилметила, антрилметила, дифенилметила, фторенила или дигидродибензоциклогептенила, фурилметила, тиенилметила, тиазолилметила, пиридилметила, бензотиенилметила, хинолилметила, фенилтиенилметила, фенилпиридилметила, дигидродибензоксепинила, дигидродибензотиепинила, ацетила, пивалоила, фенилацетила, дифенилацетила, дифенилпропионила, нафтилацетила, бензоила, нафтоила, антрилкарбонила, оксофторенилкарбонила, оксодигидроантрилкарбонила или диоксодигидроантрилкарбонила, фуроила, пиридилкарбонила, хромонилкарбонила, хинолилкарбонила, нафтиламинокарбонила, дибензиламинокарбонила, бензилфениламинокарбонила, дифениламинокарбонила, индолил-1-карбонила, дигидродибензазепин-N-карбонила, тетрагидрохинолинил-N-карбонила, тетрагидробензо[b] азепинил-N-карбонила, метансульфонила, фенилсульфонила, п-толуолсульфонила, нафтилсульфонила, хинолинсульфонила и дифенилфосфиноила, где ароматические системы колец необязательно замещены, независимо друг от друга, одним – тремя одинаковыми или различными заместителями, выбираемыми из галогена, циано, C1-С6-алкила, трифторметила, С3-С8-циклоалкила, фенила, бензила, гидрокси, С1-С6-алкокси, который полностью или частично замещен фтором, бензилокси, фенокси, меркапто, С1-С8-алкилтио, карбокси, C1-С6-алкоксикарбонилом, бензилоксикарбонилом, нитро, амино, моно-С1-С6-алкиламино или ди-(С1-С6-алкил)-амино, где две соседние группы в кольце или в системе колец необязательно образуют дополнительное кольцо посредством мостика метилендиокси. 6. Соединение по одному из пп. 1-5, выбираемое из N-[4-(1-метилсульфонилпиперидин-4-ил)-бутил] -3-(пиридин-3-ил)-акриламида, N-{ 4-[1-(2-нафтилсульфонил)-пиперидин-4-ил] -бутил} -3-(пиридин-3-ил)-акриламида, N-{ 4-[1-(2-нафтилсульфонил)-пиперидин-4-ил] -бутил} -5-(пиридин-3-ил)-2,4-амида пентадиеновой кислоты, N-{ 4-[1-(1-нафтиламинокарбонил)-пиперидин-4-ил] -бутил} -3-(пиридин-3-ил)-акриламида, N-[4-(1-дифениламинокарбонил-пиперидин-4-ил)-бутил] -3-(пиридин-3-ил)-акриламида, N-[4-(1-дифениламинокарбонил-пиперидин-4-ил)-бутил] -5-(пиридин-3-ил)-2,4-амида пентадиеновой кислоты, N-{ 4-[1-(10,11-дигидробензо[b, f] азепин-5-ил-карбонил)-пиперидин-4-ил] -бутил} -3-(пиридин-3-ил)-акриламида и N-[4-(1-дифенилфосфиноил-пиперидин-4-ил)-бутил] -3-(пиридин-3-ил)-акриламида или в виде их фармацевтически приемлемых солей присоединения кислот. 7. Соединение по любому из пп. 1-5, где выбираемое из N-[4-(1-ацетилпиперидин-4-ил)-бутил] -3-(пиридин-3-ил)-акриламида, N-[4-(1-дифенилацетил-пиперидин-4-ил)-бутил] -3-(пиридин-3-ил)-акриламида, N-{ 4-[1-(3,3-дифенилпропионил)-пиперидин-4-ил] -бутил} -3-(пиридин-3-ил)-акриламида, N-[4-(1-бензоилпиперидин-4-ил)-бутил] -3-(пиридин-3-ил)-акриламида, N-[4-(1-бензоилпиперидин-4-ил)-бутил] -5-(пиридин-3-ил)-2,4-амида пентадиеновой кислоты или N-{ 4-[1-(9-оксо-9Н-фторо-4-ил-карбонил)-пиперидин-4-ил] -бутил} -3-(пиридин-3-ил)-акриламида или их фармацевтически приемлемых солей присоединения кислот. 8. Соединение по любому из пп. 1-5, выбираемое из N-{ 4-[1-(фенилпиридин-3-ил-метил)-пиперидин-4-ил] -бутил} -3-(пиридин-3-ил)-акриламида, N-{ 4-[1-(фенилпиридин-4-ил-метил)-пиперидин-4-ил] -бутил} -3-(пиридин-3-ил)-акриламида, N-{ 4-[1-(6,11-дигидробензо[b, е] оксепин-11-ил)-пиперидин-4-ил] -бутил} -3-(пиридин-3-ил)-акриламида и N-{ 4-[1-(6,11-дигидробензо[b, е] тиепин-11-ил)-пиперидин-4-ил] -бутил} -3-(пиридин-3-ил)-акриламида или их фармацевтически приемлемых солей присоединения кислот. 9. Соединение по любому из пп. 1-3, выбираемое из N-[7-(1-дифeнилмeтилпипepидин-4-ил)-гeптил] -3-(пиpидин-3-ил)-aкpилaмидa, N-[8-(1-дифенилметилпиперидин-4-ил)-октил] -3-(пиридин-3-ил)-акриламида, N-[3-(1-дифенилметилпиперидин-4-илокси)-пропил] -3-(пиридин-3-ил)-акриламида и N-[3-(1-бензилпиперидин-4-илокси)-пропил] -3-(пиридин-3-ил)-акриламида или их фармацевтически приемлемых солей присоединения кислот. 10. Соединение по любому из пп. 1-5, выбираемое из N-[2-(1-дифенилметилпиперидин-4-ил)-этил] -5-(пиридин-3-ил)-2,4-амида пентадиеновой кислоты, N-[4-(1-дифенилметилпиперидин-4-ил)-бутил] -5-(пиридин-3-ил)-2,4-амида пентадиеновой кислоты, N-[5-(1-дифенилметилпиперидин-4-ил)-пентил] -5-(пиридин-3-ил)-2,4-амида пентадиеновой кислоты и N-[6-(1-дифенилметилпиперидин-4-ил)-гексил] -5-(пиридин-3-ил)-2,4-амида пентадиеновой кислоты или их фармацевтически приемлемых солей присоединения кислот. 11. Способ получения соединения по одному из пп. 1-10, в котором либо (а) карбоновые кислоты формулы (II) ![]() где R1, R2, R3, А и k имеют приведенные выше значения, или их реакционноспособные производные, взаимодействуют с соединениями формулы (III) ![]() где D, Е, G и R4 имеют значения, приведенные в пп. 1-5, либо (b) соединения формулы (I), где G является водородом, взаимодействуют с соединением формулы (IV) L-G, (IV) где G имеет значения, приведенные в пп. 1-5, за исключением водорода; L представляет собой соответствующий нуклеофуг или реакционноспособную группу, причем тип специфического нуклеофуга или реакционноспособной группы L, также как и условия реакции, зависят от природы остатка G, либо (c) соединения формулы (I), в которой G является водородом, взаимодействуют с соответствующим алкилирующим агентом и/или арилирующим агентом формулы (IV) в соответствии с приведенным выше вариантом (b), где G представляет собой G1 и является алкильным, алкенильным, алкинильным, циклоалкильным, арильным, аралкильным, гетероарильным или гетероаралкильным остатком в соответствии с определением, и нуклеофуг L является реакционноспособным производным спирта хлора, брома или йода, сложным эфиром сульфоновой кислоты, остатком метансульфонилокси, трифторметансульфонилокси, этансульфонилокси, бензолсульфонилокси, паратолуолсульфонилокси, пара-бромбензолсульфонилокси или моно-нитробензолсульфонилокси, или эпоксидной группой, или (d) соединение формулы (I), в которой G является водородом, взаимодействует с карбоновой, карбаминовой, сульфоновой или фосфиновой кислотой формулы (V) HO-G (V) где G представляет собой ацильный, карбамоильный, сульфонильный или фосфиноильный остаток, или с их реакционноспособными производными, причем в качестве предпочтительных реакционноспособных производных карбоновых кислот или сульфоновых кислот (V) используются симметричные или асимметричные ангидриды карбоновых кислот или ангидриды сульфоновых кислот или галогениды ацила или сульфонила, в частности ацил- или сульфонилхлориды, и карбамоильные галогениды или фосфиновые кислоты, и взаимодействие кислот (V) или их реактивных производных с соединениями (I), где G является водородом, преимущественно возникает в присутствии вспомогательных оснований в растворителях и в условиях, описанных в варианте (а), или (е) соединение формулы (I), в которой G является водородом, взаимодействуют с переносчиком карбонильной группы к промежуточному продукту, и последний без очистки или предварительного выделения вводят в реакцию с первичным или вторичным амином формулы (VI) H-NR12R14 (VI) где R12 и R14 и группа -NR12R14 имеют значения, соответствующие таковым в пп. 1-4, где в качестве переносчиков особо реактивной карбонильной группы используют бис-(трихлорметил)карбонат (трифосген) и карбодиимидазол, и реакцию соединений формулы (I), где G является водородом, с трифосгеном или карбонилдиимидазолом предпочтительно проводят в абсолютном, инертном растворителе в присутствии третичного органического амина в качестве вспомогательного основания таким образом, что раствор соединения (I) и вспомогательного основания медленно вводят в раствор эквивалентного количества переносчика карбонильной группы, или (f) соединение формулы (I), где G является водородом, вводят в реакцию с изоцианатом формулы (VII) O= C= N-R12 (VII) в которой R12 имеет значения, указанные в пп. 1-4, где реакция соединений формулы (I), где G является водородом, с изоцианатами формулы (VII) предпочтительно происходит в пентане, гексане, гептане, бензоле, толуоле, ксилоле, дихлорметане, хлороформе, 1,2-дихлорэтане, трихлорэтилене, диэтиловом эфире, тетрагидрофуране, диоксане, этилацетате, бутилацетате, формамиде, диметилформамиде или их смесях, и температура реакции находится в интервале от -20 до 150oС, предпочтительно от 20 до 100oС или (g) соединение формулы (I), где R4 является водородом, взаимодействуют с подходящим алкилирующим агентом формулы (VIII) L-R4, (VIII) в которой R4 является остатком алкила, алкенила, алкинила или циклоалкила и L представляет собой атом галогена, такого как хлор, бром, йод, или сложный эфир сульфоновой кислоты и спирта, где сложные эфиры сульфоновой кислоты формулы (VIII) предпочтительно содержат группу метансульфонилокси, трифторметансульфонилокси, пара-толуолсульфонилокси, пара-бромбензолсульфонилокси или моно-нитробензолсульфонилокси в качестве нуклеотипа L, и амидное алкилирование проводится в присутствии третичных аминогрупп с использованием трет-бутилата калия, гидрида натрия, гидрида калия или бутил лития, в пентане, гексане, гептане, бензоле, толуоле, тетрагидрофуране, диоксане, диметилсульфоксиде, диметилформамиде, N-метилпирролидон, и температура реакции находится в интервале от -40 до 140oС, предпочтительно от -20 до 80oС. 12. Способ по п. 11, в котором в качестве реакционноспособных производных соединения (II), их активированных сложных эфиров, ангидридов, кислотных хлоридов используют, сложные эфиры паранитрофенила, сложные эфиры 2,4,6-трихлорфенила, сложные эфиры пентахлорфенила, сложные эфиры цианометила, сложные эфиры N-гидроксисукцинимида, N-гидроксифталимида, 1-гидроксибензотриазола, N-гидроксипиперидина, 2-гидроксипиридина или 2-меркаптопиридина, в соответствии с вариантом (а), где сложный фениловый эфир хлормуравьиной кислоты, аралифатическими хлорформиатами, такими как сложный бензиловый эфир хлормуравьиной, сложный метиловый эфир муравьиной кислоты, сложный метиловый эфир хлормуравьиной кислоты, сложный этиловый эфир или сложный изобутиловый эфир, использованы в качестве ангидридов, и реакцию соединений (II) с соединениями (III) необязательно проводят в присутствии агентов конденсации дициклогексилкарбодиимида, 1-этил-3-(3-диметиламинопропил)-карбодиимида гидрохлорид, N, N’-карбонилдиимидазол или 1-этоксикарбонил-2-этокси-1,2-дигидрохинолин, где в случае карбодиимидов в качестве агента конденсации предпочтительно добавлен N-гидроксисукцинимид, N-гидроксифталимид, 1-гидроксибензотриазол или N-гидроксипиперидин и соединения формулы (III) в виде свободных оснований или в виде их солей присоединения кислот, вводят в реакцию предпочтительно в виде солей кислот, причем эти соли выбирают из группы, содержащей гидрохлориды, гидробромиды и сульфаты, и реакцию соединений формулы (II), возможно в виде их реакционноспособных производных, проводят с соединениями формулы (III), предпочтительно в бензоле, толуоле, ксилоле, дихлорметане, хлороформе, 1,2-дихлорэтане, трихлорэтилене, диэтиловом эфире, тетрагидрофуране, диоксане, простом эфире диметиленгликоля, этилацетате, ацетонитриле, диметилсульфоксиде, диметилформамиде или N-метилпирролидоне в чистом виде или в виде их смеси из двух или более компонентов, где реакцию необязательно проводят в присутствии карбоната натрия, карбоната калия, такого как гидрокарбонаты щелочного металла, например гидрокарбонат калия, триэтиламина, этилдиизопропиламина, трибутиламина, N-метилморфолина или пиридина, где приемлемый избыток соединения формулы (III) необязательно используют в качестве основания, и, в случае использования соединений формулы (III) в виде их солей присоединения кислот, эквивалентное количество вспомогательного основания, и температура реакции находится в интервале от -40 до 180oС, особенно от -10 до 130oС, предпочтительнее всего она соответствует точке кипения используемого растворителя. 13. Способ по п. 11, в котором в соответствии с вариантом (b), реакцию соединений (I), в которых G является водородом, с соединениями формулы (IV) необязательно проводят в бензоле, толуоле, ксилоле, тетрагидрофуране, диоксане, простом эфире диметилгликоля, этилацетате, ацетонитриле, ацетоне, этилметилкетоне, этаноле, изопропаноле, бутаноле, простом эфире монометилгликоля, диметилсульфоксиде, диметилформамиде или N-метилпирролидон, причем используют как чистые растворители, так и их смеси из двух или более растворителей, и реакцию проводят необязательно в присутствии оснований, например, в присутствии тех же самых, которые могут быть использованы в методе согласно варианту (а) по п. 12, и, в случае хлоридов или бромидов как соединений (IV), добавляют йодид натрия или йодид калия, и температура реакции варьирует между 0 и 180oС. 14. Соединение общей формулы (I) ![]() где G является водородом, а остальные заместители имеют значения, приводимые в пп. 1-4. 15. Фармацевтическая композиция, обладающая антинеопластической и/или иммуносупрессивной активностью, содержащая одно или более соединений по одному из пп. 1-10 или 14, возможно, в сочетании с фармацевтически приемлемым носителем, токсикологически безвредными адъювантами, и необязательно в комбинации с другими активными ингредиентами. 16. Фармацевтическая композиция по п. 15 для лечения рака и/или для цитостатического или иммуносупрессивного лечения человека или животного. 17. Фармацевтическая композиция по п. 15 или 16 в виде твердой, перорально назначаемой формы в виде таблетки, капсулы, покрытой оболочкой таблетки, возможно длительного действия, или в форме, резистентной к действию желудочного сока, или в виде жидкости, перорально назначаемого раствора, суспензии, шипучих таблеток, в виде пилюль или саше, необязательно длительного действия, если это возможно, или в форме, резистентной к действию желудочного сока. 18. Фармацевтическая композиция по п. 15 или 16 в форме, подходящей для инъекции или инфузии, вместе с соответствующими фармацевтически приемлемыми носителями и адъювантами возможно в виде препарата длительного действия, или в форме лекарственного препарата в виде парентерального депо или в виде имплантата, или в виде концентрата, порошка или лиофизилата. 19. Фармацевтическая композиция по п. 15 или 16 в виде ингаляционного терапевтического агента, необязательно, в виде спрея с соответствующими фармацевтически приемлемыми препеллентами, носителями и адъювантами. 20. Фармацевтическая композиция по пп. 15 и 16 в виде трансдермальной терапевтической системы для системного лечения. 21. Фармацевтическая композиция по пп. 15 и 16 в виде желудочно-кишечной терапевтической системы для системного лечения. 22. Фармацевтическая композиция по пп. 15 и 16 в виде мази, суспензии, эмульсии, бальзама или пластыря или в форме наружно применяемого раствора. 23. Фармацевтическая композиция по п. 19 для введения в контролируемой дозированной аэрозольной форме или в форме дозированной композиции в виде сухого порошка. 24. Фармацевтическая композиция по пп. 15 и 16 в виде ректально, генитально или трансуретально назначаемой эмульсии, раствора, липосомного раствора, имплантата, суппозиториев или капсулы. 25. Фармацевтическая композиция по пп. 15 и 16 в виде назальной, отологической или офтальмологической композиции. 26. Фармацевтическая композиция по одному из пп. 15-17 в форме, предназначенной для буккальных аппликаций. 27. Фармацевтическая композиция по одному из пп. 15-17, где доза для однократного приема содержит от 0,01 до 2,0 мг или 0,1-10 или 20 мг активного ингредиента по пп. 1-10 или 14. 28. Фармацевтическая композиция по п. 19, в которой фармацевтически приемлемым носителем и/или разбавителем является пропеллентный аэрозоль. 29. Фармацевтическая композиция по п. 19 или 28, в которой пропеллентным аэрозолем является тетрафторэтан и/или гептафторпропан и/или пропан, бутан или диметиловый эфир или их смеси. 30. Фармацевтическая композиция по пп. 19, 28 или 29, в которой пропеллентный аэрозоль содержит поверхностно-активные адъюванты. 31. Фармацевтическая композиция по пп. 15, 16 или 19, которая содержит глюкозу и/или лактозу в виде дозированного сухого порошка. 32. Фармацевтическая композиция по одному или более пп. 15-17, которая существует в комбинации с дополнительным цитостатическим агентом или иммуносупрессорным агентом, возможно, в виде отдельных одноразовых доз в фармацевтической упаковке. 33. N-(4-дифенилметил-морфолин-2-илметил)-3-(пиридин-3-ил)акриламид. 34. Способ получения фармацевтической композиции по п. 15, в котором одно или более соединений по любому из пп. 1-10, 14 или 33 и/или Е-3-(3-пиридил)-N-[2(1-бензилпиперидин-4-ил)этил] -2-пропенамида гидрохлорид перерабатывают вместе с подходящим фармацевтически приемлемыми носителями и адьювантами с получением окончательной медикаментозной формы. 35. Способ по п. 34 в котором фармацевтическая композиция дополнительно содержит фармацевтически приемлемые адьюванты и/или носители и необязательно один или более дополнительных активных ингредиентов. РИСУНКИ
PD4A – Изменение наименования обладателя патента СССР или патента Российской Федерации на изобретение
(73) Новое наименование патентообладателя:
Адрес для переписки:
Извещение опубликовано: 27.05.2008 БИ: 15/2008
PC4A – Регистрация договора об уступке патента Российской Федерации на изобретение
Прежний патентообладатель:
(73) Патентообладатель:
Дата и номер государственной регистрации перехода исключительного права: 27.01.2009 № РД0046139
Извещение опубликовано: 10.03.2009 БИ: 07/2009
|
||||||||||||||||||||||||||










3;












