Патент на изобретение №2200733
|
||||||||||||||||||||||||||
(54) ГЕТЕРОЦИКЛИЧЕСКИЕ О-ДИКАРБОНИТРИЛЫ
(57) Реферат: Описываются новые гетероциклические о-дикарбонитрилы общей формулы I, где R: Н, СН3, N(СН3)2, которые могут быть использованы для получения гексазоцикланов-флуорофоров, в качестве фрагмента-донора для получения гексазоцикланов-бифлуорофоров и гексазоцикланов-трифлуорофоров. Такие гексазоцикланы перспективны для использования в качестве активных сред жидких и твердых лазеров, сцинтилляторов, особенно для индикации жесткого излучения, для трансформации коротковолнового излучения в длинноволновое при передаче информации по волоконно-оптическим линиям связи, для увеличения мощности солнечных батарей, для защиты ценных бумаг, для изготовления рекламных щитов и т.д. 2 табл.
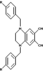
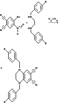
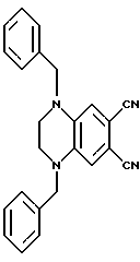
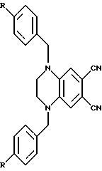
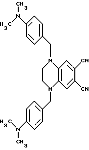
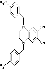
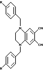
Изобретение относится к области получения новых гетероциклических о-дикарбонитрилов. O-дикарбонитрилы могут быть использованы для получения гексазоцикланов-флуорофоров, в качестве фрагмента-донора для получения гексазоцикланов-бифлуорофоров и гексазоцикланов-трифлуорофоров. Такие гексазоцикланы перспективны для использования в качестве активных сред жидких и твердых лазеров, сцинтилляторов, особенно для индикации жесткого излучения, для трансформации коротковолнового излучения в длинноволновое при передаче информации по волоконно-оптическим линиям связи, для увеличения мощности солнечных батарей, для защиты ценных бумаг, для изготовления рекламных щитов и т.д. Данное соединение обладает следующими спектральными характеристиками: полоса излучения 540 нм при возбуждении в полосу 312 нм. Задачей, решаемой настоящим изобретением, является получение новых гетероциклических о-дикарбонитрилов. Заявляются гетероциклические о-дикарбонитрилы общей формулы ![]() где R: Н, СН3, N(СН3)2. К заявляемым соединениям относятся 1,4-дибензил-1,2,3,4-тетрагидро-6,7-хиноксалиндикарбонитрил (I): I1,4-ди(4-метилбензил)-1,2,3,4-тетрагидро-6,7-хиноксалиндикарбонитрил (II): II1,4-ди(4-диметиламинобензил)-1,2,3,4-тетрагидро-6,7-хиноксалиндикарбонитрил (III): IIIДанные соединения получают реакцией ароматического нуклеофильного замещения атома брома и нитрогруппы в 4-бром-5-нитрофталонитриле на соответствующий бифункциональный нуклеофил, протекающей при нагревании в ДМФА в присутствии карбоната калия по схеме: ![]() Реакцию проводят в среде диметилформамида при температуре 90…100oС в течение 2…3 часов. Изобретение иллюстрируется следующими примерами. Пример 1. В колбу, снабженную мешалкой, обратным холодильником, термометром, последовательно загружают 30 мл ДМФА, 2,41 г (0,01 моль) N,N’-дибензил-1,2-этандиамина, 2,80 г (0,02 моль) безводного карбоната калия, 2,52 г (0,01 моль) 4-бром-5-нитрофталонитрила. Температуру реакционной смеси поднимают до 90. . .100 oС и выдерживают ее в таком состоянии при интенсивном перемешивании в течение 2 часов. Затем, охладив до комнатной температуры, реакционную смесь выливают в 100 мл воды, отфильтровывают образовавшийся осадок, промывают его 50 мл воды и кристаллизуют из 20 мл ДМФА. Получают 2,87 г (79,7% от теории) 1,4-дибензил-1,2,3,4-тетрагидро-6,7-хиноксалиндикарбонитрила. Это светло-коричневый кристаллический порошок, Т. пл. = 205…206oС. Найдено, %: С 71,98; Н 5,08; N 13,94 Вычислено, %: С 72,06; Н 5,05; N 14,01 C24H20N4 1H ЯМР ([2H6] ДМСО) , м.д.: 7,35 (d, 4H, J=8,2 Гц), 7,27 (d, 6Н, J= 8,1 Гц), 6,90 (s, 2H), 4,65 (s, 4H), 3,55 (s, 4H).
Примеры 2, 3. Реакцию проводят аналогично примеру 1 за исключением того, что в качестве реагента используется эквимолярное количество N,N’-ди(4-мeтилбeнзил)-l, 2-этaндиaминa и N,N’-ди(4-диметиламинобензил)-1,2-этандиамина соответственно.
Условия и результаты приведены в табл. 1.
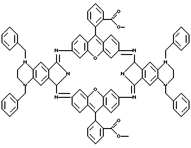
Пример 4. Конденсация I с родамином 123. В колбу, снабженную мешалкой, термометром, обратным холодильником и капилляром для ввода аргона, загружают 3,2 г (0,01 моль) I, 3,8 г (0,01 моль) родамина 123 и 10 г фенола. Полученную смесь медленно нагревают при перемешивании до 175…185oС. Образовавшийся расплав выдерживают при перемешивании в токе аргона до прекращения выделения аммиака. После окончания реакции реакционную смесь выливают в 20 мл этанола, выпавший осадок отфильтровывают, промывают 3 мл этанола и сушат при Т=60oС в течение 2 часов. Получают 6,7 г (95% от теории) гексазоциклана.
Найдено, %: С 77,88; Н 5,11; N 10,06Вычислено, %: С 77,89; Н 5,09; N 10,10 С90Н70N10О6 В ИК-спектре гексазоциклана отсутствует полоса 2220 см -1 -C N, присутствует полоса 680 см-1 C=N-.
Структурная формула гексазоциклана, полученного на основе I и родамина 123:![]() Макрогетероцикл, полученный на основе I и родамина 123, имеет следующие спектральные характеристики: максимум спектра излучения 571 нм при максимумах спектра поглощения 280, 347, 498 нм. Примеры 5, 6. Конденсация II, III с родамином 123 проводится аналогично примеру 4. Условия и результаты, а также спектральные характеристики полученных макрогетероциклов приведены в табл. 2. Формула изобретения
![]() где R: Н, СН3, N(CH3)2. РИСУНКИ
MM4A Досрочное прекращение действия патента Российской Федерации на изобретение из-за неуплаты в установленный срок пошлины за поддержание патента в силе
Дата прекращения действия патента: 23.06.2003
Извещение опубликовано: 20.11.2004 БИ: 32/2004
|
||||||||||||||||||||||||||


I
II
III
, м.д.: 7,35 (d, 4H, J=8,2 Гц), 7,27 (d, 6Н, J= 8,1 Гц), 6,90 (s, 2H), 4,65 (s, 4H), 3,55 (s, 4H).
Примеры 2, 3. Реакцию проводят аналогично примеру 1 за исключением того, что в качестве реагента используется эквимолярное количество N,N’-ди(4-мeтилбeнзил)-l, 2-этaндиaминa и N,N’-ди(4-диметиламинобензил)-1,2-этандиамина соответственно.
Условия и результаты приведены в табл. 1.
Пример 4. Конденсация I с родамином 123. В колбу, снабженную мешалкой, термометром, обратным холодильником и капилляром для ввода аргона, загружают 3,2 г (0,01 моль) I, 3,8 г (0,01 моль) родамина 123 и 10 г фенола. Полученную смесь медленно нагревают при перемешивании до 175…185oС. Образовавшийся расплав выдерживают при перемешивании в токе аргона до прекращения выделения аммиака. После окончания реакции реакционную смесь выливают в 20 мл этанола, выпавший осадок отфильтровывают, промывают 3 мл этанола и сушат при Т=60oС в течение 2 часов. Получают 6,7 г (95% от теории) гексазоциклана.
Найдено, %: С 77,88; Н 5,11; N 10,06
N, присутствует полоса 680 см-1 C=N-.
Структурная формула гексазоциклана, полученного на основе I и родамина 123:
