Патент на изобретение №2200540
|
||||||||||||||||||||||||||
(54) БЕЗВОДНАЯ КОМПОЗИЦИЯ ДЛЯ ОБЕСЦВЕЧИВАНИЯ КЕРАТИНОВЫХ ВОЛОКОН, СОДЕРЖАЩАЯ КОМБИНАЦИЮ АНИОННЫХ И/ИЛИ НЕИОННЫХ АМФИФИЛЬНЫХ ПОЛИМЕРОВ С ПО МЕНЬШЕЙ МЕРЕ ОДНОЙ ЖИРНОЙ ЦЕПЬЮ И КАТИОННЫХ ИЛИ АМФОТЕРНЫХ СУБСТАНТИВНЫХ ПОЛИМЕРОВ
(57) Реферат: Изобретение относится к безводным композициям для обесцвечивания кератиновых волокон, в частности волос, содержащим в подходящей для обесцвечивания среде по меньшей мере один щелочной агент и по меньшей мере одну перекисную соль, а также комбинацию по меньшей мере одного анионного и/или неионного амфифильного полимера с по меньшей мере одной жирной цепью и по меньшей мере одного катионного или амфотерного субстантивного полимера, к способу обесцвечивания волос с использованием этих безводных композиций и набору для обесцвечивания кератиновых волокон, в частности, кератиновых волокон человека, таких как волосы. Технический результат: использование безводных композиций согласно изобретению позволяет значительно ограничить разрушение кератиновых волокон при их обесцвечивании. 3 с. и 22 з.п. ф-лы, 3 табл. Изобретение относится к безводным композициям для обесцвечивания кератиновых волокон, в частности волос, содержащим композицию по меньшей мере одного анионного амфифильного полимера с по меньшей мере одной жирной цепью и/или по меньшей мере одного неионного амфифильного полимера с по меньшей мере одной жирной цепью и по меньшей мере одного катионного или амфотерного субстантивного полимера, к применению этих композиций для получения готовых к применению обесцвечивающих композиций, к способу обесцвечивания кератиновых волокон с использованием этих композиций и к упакованному набору, содержащему такую композицию. Обесцвечивание кератиновых волокон человека, в частности, волос происходит за счет окисления меланина, что приводит к растворению и частичному или полному удалению этого пигмента. Для того, чтобы обесцветить волосы, обычно используют обесцвечивающие порошки, содержащие перекисный реактив, такой как персульфаты, пербораты или перкарбонаты аммония или щелочных металлов, который непосредственно перед применением соединяют с водной композицией перекиси водорода. Поскольку перекисные соли и перекись водорода относительно устойчивы в кислой среде, для образования нужного количества кислорода названные реактивы необходимо активировать созданием щелочного рН. С этой целью к обесцвечивающим порошкам обычно добавляют щелочные соединения, такие как амины и силикаты щелочных металлов. Названная выше химическая обработка окисляющими агентами и щелочами часто является очень агрессивной и приводит к изменению химической структуры кератина. Это изменение проявляется в плохих косметических свойствах волос, например, их трудном расчесывании, неприятном восприятии на ощупь или в блеклых и жестких волосах, и особенно в разрушении кератиновых волокон. Названное разрушение волокон является особенно нежелательным, поскольку оно необратимым образом изменяет физико-химические свойства волос. Последние становятся более пористыми и вследствие этого хуже поддающимися сушке, более чувствительными к другим обработкам, таким как окрашивание или перманент, а также приобретают измененные в нежелательную сторону механические и поверхностные свойства, что выражается, например, в пониженной устойчивости волос к разрыву при растяжении и повышенному коэффициенту трения. Чтобы избавиться от этих проблем, до настоящего времени прибегали к использованию катионных или амфотерных субстантивных полимеров. Эти полимеры, будучи нанесенными на волосы, улучшают их косметические свойства, т.е. делают их более мягкими, более блестящими и легче расчесываемыми, однако не позволяют существенно ограничить разрушение кератиновых волокон. Заявитель пришел к удивительному открытию, состоящему в том, что можно значительно ограничить разрушение кератиновых волокон, комбинируя один или несколько катионных или амфотерных субстантивных полимеров из числа обычно используемых с одним или несколькими анионными и/или неионными амфифильными полимерами, содержащими по меньшей мере одну жирную цепь, называемыми также ассоциативными полимерами. Таким образом, предметом настоящего изобретения является безводная композиция для обесцвечивания кератиновых волокон, в частности, кератиновых волокон человека, содержащая в подходящей для обесцвечивания среде по меньшей мере один щелочной агент, по меньшей мере одну перекисную соль и наряду с этим комбинацию – по меньшей мере одного анионного и/или неионного амфифильного полимера, содержащего по меньшей мере одну жирную цепь, и – по меньшей мере одного катионного или амфотерного субстантивного полимера. Предметом изобретения является также применение таких безводных композиций для получения готовых к применению обесцвечивающих композиций. Предметом изобретения являются также способ обесцвечивания кератиновых волокон с использованием названных выше безводных обесцвечивающих композиций и упакованный набор, содержащий такую композицию. Другие предметы будут выявлены по мере чтения последующих описания и примеров. Анионные амфифильные полимеры, содержащие по меньшей мере одну жирную цепь и используемые в соответствии с настоящим изобретением в сочетании с катионными или амфотерными субстантивными полимерами, представляют собой сшитые или несшитые сополимеры, содержащие – гидрофильные структурные звенья, образованные одним или несколькими этиленово-ненасыщенными мономерами и содержащими одну свободную карбоксильную функцию, и – гидрофобные структурные звенья, образованные из одного или нескольких этиленово-ненасыщенных мономеров и содержащие одну гидрофобную боковую цепь, а также возможно – структурные звенья сшивки, образованные из полиненасыщенных мономеров. Мономер или мономеры с этиленовой ненасыщенностью, содержащие одну карбоксильную функцию, выбирают из этакриловой, метакриловой и акриловой кислот, преимущественно из метакриловой и акриловой кислот и их смесей. Мономер или мономеры с этиленовой ненасыщенностью, содержащие одну гидрофобную боковую цепь, могут быть (i) эфирами ненасыщенных карбоновых кислот с жирными спиртами или (ii) простыми аллиловыми эфирами жирных спиртов. (i) Эфиры ненасыщенных карбоновых кислот с жирными спиртами выбирают, например, из эфиров этакриловой, метакриловой и/или акриловой кислот с С10-С30-алкилами, преимущественно с С12-С22-алкилами. В число этих эфиров, например, входят лаурилакрилат, стеарилакрилат, децилакрилат, изоцецилакрилат, додецилакрилат, а также соответствующие метакрилаты, а именно, лаурилметакрилат, стеарилметакрилат, децилметакрилат, изодецилметакрилат и додецилметакрилат. (ii) Простые аллиловые эфиры жирных спиртов, образующие гидрофобные структурные звенья анионных амфифильных полимеров настоящего изобретения соответствуют формуле CH2=CR’CH2-o-Bn-R (I) в которой R’ обозначает атом водорода или метильную группу, В обозначает этиленоксигруппу, n обозначает целое число от 0 до 100, R обозначает углеводородную группу, выбранную из остатков алкила, арилалкила, арила, алкиларила или циклоалкила, содержащих от 8 до 30, предпочтительно, от 10 до 24 и, еще более предпочтительно, от 12 до 18 атомов углерода. Предпочтительным структурным звеном формулы I, в соответствии с изобретением, является звено, в котором R’ обозначает атом водорода, n равен 10 и R является стеарильным радикалом (C18). Названный выше сшитый мономер является соединением, содержащим по меньшей мере две несопряженные между собой и способные участвовать в полимеризации двойные связи. В качестве примера могут быть названы диаллилфталат, аллил(мет)акрилат, дивинилбензол, диметакрилат(поли)этиленгликоля, метилен-бис-акриламид, полиаллилсахароза и полиаллилпентаэритрит. Анионные амфифильные полимеры названного выше типа описаны, например, в патентах US-3915921 и US-4509949 [сополимеры мет (или эт)акриловой кислоты и С10-С30-алкилмет (или эт)акрилатов] и в патенте ЕР-0216479 В2 [сополимеры мет(или эт)акриловой кислоты с аллиловыми эфирами жирных спиртов]. В качестве примеров предпочтительных полимеров могут быть названы: – сшитые полимеры акриловой кислоты и С10-С30-алкилакрилаты, такие как полимеры, поставляемые на рынок фирмой GOODRICH под названиями PEMULEN TR1, PEMULEN TR2 и CARBOPOL 1382; – сшитые полимеры акриловой кислоты и С10-С30-аллилметакрилата, такие как CARBOPOL ETD 2020, поставляемый фирмой GOODRICH, – тройной сополимер метакриловая кислота/этилакрилат/ оксиэтиленированный стеарилметакрилат (55/35/10); – тройной сополимер (мет)акриловая кислота/этилакрилат/ оксиэтиленированный (25 оксиэтиленовых звеньев) бегенилметакрилат; и – тройной сополимер метакриловая кислота/этилакрилат/сшитый простой аллиловый эфир стеарета-10. В число пригодных для настоящего изобретения неионогенных амфифильных полимеров с по меньшей мере одной жирной цепью, например, входят: – целлюлозы или гидроксиалкилцеллюлозы, модифицированные группами, содержащими по меньшей мере одну жирную цепь (алкил, арилалкил или алкиларил с преимущественно 8-22 атомами углерода в алкильной группе), такие как продукты NATROSOL PLUS GRADE 330 CS фирмы AQUALON, BERMOCOLL EHM 100 фирмы BEROL NOBEL или POLYSURF 67 фирмы HERCULES, или целлюлозы или гидроксиалкилцеллюлозы, модифицированные полиалкоксилированными алкилфенольными группами, такие как продукты AMERCELL POLYMER НМ-1500 фирмы AMERCHOL; – гидроксипропилгуары, модифицированные группами, содержащими по меньшей мере одну жирную цепь с 8-22 атомами углерода, такие как продукты ESAFLOR НМ 22 (с С22-алкильной цепью) фирмы LAMBERTI, MIRACARE XC95-3 (с С14-алкильной цепью) и RE205-1 (с С20-алкильной цепью) фирмы RHONE POULENC; – полиуретаны, содержащие по меньшей мере одну жирную цепь алкильного или алкенильного ряда с 8-30 атомами углерода, такие как продукт SER-AD FX 1100 фирмы SERVODELBEN или – сополимер НМДИ (насыщенный метилендифенилдиизоцианат)полиэтиленгликоль(ли) с концевой децильной группой; – сополимер НМДИ (насыщенный метилендифенилдиизоцианат)полиэтиленгликоль(ли)с концевой С1-С16-алкильной группой, соединенный с мальтодекстриновой матрицей, и – диуретан ГМДИ (гексаметилендиизоцианат) оксиэтиленированных (66 оксиэтиленовых звеньев) и оксипропиленированных (14 оксипропиленовых звеньев) С10-С18-спиртов, поставляемый фирмой AKZO под названием ELFACOS Т 212; – сополимеры винилпирролидона и гидрофобных мономеров с жирной цепью, такие как поставляемые фирмой I.S.P. продукты ANTARON V216 или GANEX V216 (поливинилпирролидон/гексадецен), ANTARON V220 или GANEX V220 (поливинилпирролидон/эйкозен); – сополимеры C1-С6-алкиловых эфиров (мет)акриловой кислоты и амфифильных мономеров с по меньшей мере одной жирной цепью; – сополимеры гидрофильных (мет)акрилатов и гидрофобных мономеров с по меньшей мере одной жирной цепью, например, сополимер метакрилата полиэтиленгликоля и лаурилметакрилата. Предпочтительными являются, в частности, полиуретаны, содержащие по меньшей мере одну жирную цепь алкильного ряда с 10-20 атомами углерода, и гидроксиэтилцеллюлозы, модифицированные группами, содержащими по меньшей мере одну 8-C22-алкильную группу. Безводные композиции содержат один или несколько анионных и/или неионных амфифильных полимеров, содержащих по меньшей мере одну жирную цепь, в количестве от 0,03 до 30 и, предпочтительно, от 0,3 до 15 маc.%. В обесцвечивающих композициях по изобретению комбинируют один или несколько описанных выше анионных и/или неионных амфифильных полимеров, содержащих по меньшей мере одну жирную цепь, с по меньшей мере одним катионным или амфотерным субстантивным полимером. Под субстантивным полимером в области косметики подразумевают полимер, который благодаря своему сродству с основой, например волосами, способен образовывать на этой основе покрытие. Субстантивный характер традиционно оценивается с помощью теста, описанного Richard J. Crawford в Journal of the Society of Cosmetic, 1980, 31 (5), 273-278. В рамках настоящего изобретения выражение “катионный полимер” обозначает любой полимер, содержащий катионные группы и/или группы, способные ионизоваться с образованием катионных групп. Катионные полимеры, пригодные для использования в настоящем изобретении, могут быть выбраны из числа всех уже известных как улучшающие косметические свойства волос, в частности, полимеров, которые описаны в патентных заявках ЕР-А-337354 и ЕР-А-557203 и во французских патентах FR-2270846, 2383660, 2598611, 2470596 и 2519863. Предпочтительные катионные полимеры выбирают из числа полимеров, которые содержат структурные звенья с первичными, вторичными, третичными и/или четвертичными аминогруппами, которые могут либо составлять часть главной полимерной цепи, либо находиться в боковом заместителе, непосредственно связанном с главной цепью. Среднечисленная молекулярная масса используемых катионных полимеров приблизительно составляет от 500 до 5 106 и, предпочтительно, от примерно 10 до 3 106.
Из катионных полимеров могут быть особо выделены полимеры полиаминного, полиаминоамидного и поли-четвертично-аммониевого типа.
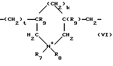
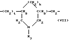
Такие соединения являются известными. Они, в частности, описаны во французских патентах 2505348 или 2542997. Из упомянутых полимеров могут быть названы:(1) гомополимеры или сополимеры, являющиеся производными сложных эфиров или амидов акриловой или метакриловой кислоты и содержащие по меньшей мере одно структурное звено приведенных ниже формул II, III, IV или V: ![]() ![]() в которых R3, одинаковые или разные, обозначают атом водорода или радикал СН3; А, одинаковые или разные, обозначают нормальный или разветвленный C1-C6-алкил, преимущественно С2-С3-алкил, или гидрокси-С1-С4-алкил; R4, R5 и R6, одинаковые или разные, обозначают C1-C18-алкил или бензил, преимущественно C1-C6-алкил; R1 и R2, одинаковые или разные, обозначают водород или С1-С6-алкил, преимущественно метил или этил; Х обозначает анион минеральной или органической кислоты, например, метосульфат-анион, или галогенид, например, хлорид или бромид. Полимеры семейства (1) могут кроме того содержать одно или несколько структурных звеньев, являющихся производными сомономеров, которые могут быть выбраны из числа акриламидов, метакриламидов, диацетон-акриламидов, акриламидов и метакриламидов, замещенных по азоту С1-С4-алкилами, акриловых или метакриловых кислот или их эфиров, виниллактамов, таких как винилпирролидон или винилкапролактам и сложных виниловых эфиров. В частности, из полимеров семейства (1) могут быть названы: – сополимеры акриламида и четвертичной аммониевой соли диметиламиноэтилового эфира метакриловой кислоты с диметилсульфатом или метилгалогенидом; – сополимеры акриламида и хлорида метакрилилоксиэтил(триметил)аммония, описанные, например, в патентной заявке ЕР-А-080976; – сополимер акриламида и метосульфата метакрилилоксиэтил(триметил)аммония; – сополимеры винилпирролидона с кватернизованными или некватернизованными диалкиламиноалкиловыми эфирами акриловой и метакриловой кислот, которые детально описаны во французских патентах 2077143 и 2393573; – тройные сополимеры диметиламиноэтилового эфира метакриловой кислоты с винилкапролактамом и винилпирролидоном; – сополимер винилпирролидона и метакриламидопропил(диметил)амина; и – кватернизованные сополимеры винилпирролидона с диметиламинопропиловым производным метакриламида. (2) Производные простых эфиров целлюлозы, содержащие четвертичные аммониевые группы, описанные во французском патенте 1492597. Эти полимеры определены также в словаре CTFA как четвертично-аммониевые производные гидроксиэтилцеллюлозы, прореагировавшей с эпоксидом, замещенным триметиламмониевой группой. (3) Катионные производные целлюлозы, такие как сополимеры целлюлозы или производные целлюлозы, привитые водорастворимым мономером четвертичного аммония, описанные, в частности, в патенте US 4131576, такие как гидроксиалкилцеллюлозы, например, гидроксиметил-, гидроксиэтил- или гидроксипропилцеллюлозы, привитые, в частности, солью метакрилоилэтил-(триметил)аммония, метакриламидопропил(триметил)аммония и диметилдиаллиламмония. (4) Катионные полисахариды, более конкретно описанные в патентах US 3589578 и 4031307, такие как гуаровые смолы, содержащие катионные триалкиламмониевые группы. Используются, например, гуаровые смолы, модифицированные солью (например, хлоридом) 2,3-эпоксипропил(триметил)аммония. (5) Полимеры, образованные структурными звеньями гиперазинила и двухвалентных алкиленовых или гидроксиалкиленовых радикалов с прямыми или разветвленными цепями, которые могут быть прерваны атомами кислорода, серы, азота или ароматическими или гетероциклическими циклами, а также продукты окисления и/или кватернизации этих полимеров. Такие полимеры описаны, например, во французских патентах 2162025 и 2280361. (6) Водорастворимые полиаминоамиды, полученные, в частности, поликонденсацией кислых соединений с полиамином. Эти полиаминоамиды могут быть поперечно сшиты эпигалогенгидрином, диэпоксидом, диангидридом, ненасыщенным диангидридом, бис-ненасыщенным производным, бис-галогенгидрином, бис-азетидинием, бис-галогенацилдиамином, бис-алкилгалогенидом или олигомером, образующимся при реакции бифункционального соединения, реакционноспособного по отношению к бис-галогенгидрину, бис-азетидинию, бис-галогенацилдиамину, бис-алкилгалогениду, эпигалогенгидрину, диэпоксиду или к бис-ненасыщенному производному. Концентрация сшивающего агента составляет при этом от 0,025 до 0,35 моль на одну аминогруппу полиаминоамида. Названные полиаминоамиды могут иметь в качестве заместителей алкильные группы и, в том случае, когда они содержат одну или несколько третичных аминогрупп, они могут быть кватернизованы. Такие полимеры описаны, в частности, во французских патентах 2252840 и 2368508. (7) Производные полиаминоамидов, образующиеся при конденсации полиалкилен-полиаминов с поликарбоновыми кислотами с последующим алкилированием бифункциональными агентами. В качестве примера могут быть названы полимеры адипиновая кислота/диалкиламиногидроксиалкилдиалкилентриамин, в которых алкил содержит 1-4 атома углерода и является преимущественно метилом, этилом или пропилом. Такие полимеры описаны, в частности, во французском патенте 1583363. Из этих производных можно особо выделить полимеры адипиновая кислота/диметиламиногидроксипропил/диэтилентриамин, поставляемые фирмой Sandoz под названием “Cartaretine F, F4 или F8”. (8) Полимеры, получаемые реакцией полиалкиленполиамина, содержащего две первичные аминогруппы и по меньшей мере одну вторичную аминогруппу, с дикарбоновой кислотой, выбранной из дигликолевой кислоты и насыщенных алифатических дикарбоновых кислот с 3-8 атомами углерода. Поскольку молярное отношение полиалкиленполиамина к дикарбоновой кислоте составляет от 0,8:1 до 1,4: 1, образующийся при этом полиаминоамид должен реагировать с эпихлоргидрином при молярном отношении последнего к вторичной группе полиаминоамида от 0,5:1 до 1,8: 1. Такие полимеры описаны, в частности, в американских патентах 3227615 и 2961347. (9) Циклические полимеры алкилдиаллиламина или диалкилдиаллиламмония, такие как гомополимеры или сополимеры, содержащие в качестве главного компонента цепи структурные звенья, соответствующие формулам VI или VII: ![]() ![]() в которых k и t равны 0 или 1 при сумме k+t, равной 1; R9 обозначает атом водорода или метил; R7 и R8 независимо один от другого, обозначают С1-С22-алкил, гидроксиалкил, в котором алкил преимущественно содержит 1-5 атомов углерода, амидо-С1-С4-алкил, или R7 и R8 совместно с атомом азота, с которым они связаны, могут образовывать гетероциклы, такие как пиперидинил или морфолинил; и Y– обозначает анион: бромид, хлорид, ацетат, борат, цитрат, тартрат, бисульфат, бисульфит, сульфат, фосфат. Такие полимеры описаны, в частности, во французском патенте 2080759 и в дополнительном свидетельстве к нему 2190406. (10) Четвертично-аммониевый полимер, содержащий структурные звенья, соответствующие формуле: ![]() в которой R10, R13, R12 и R13, одинаковые или разные, обозначают алифатические, алициклические или арилалифатические радикалы с 1-20 атомами углерода или низшие гидроксиалкилалифатические радикалы или же R10, R11, R12 и R13, совместно или по-отдельности, образуют вместе с атомами азота, с которыми они связаны, гетероциклы, которые могут содержать второй гетероатом, отличный от азота, или же R10, R11, R12 и R13 обозначают нормальный или разветвленный С1-С6-алкильный радикал, замещенный нитрильной, сложноэфирной, ацильной, амидной группой или группой -CO-O-R14-D или -CO-NH-R14-D, где R14 является алкиленом, a D – четвертичной аммониевой группой; A1 и B1 обозначают полиметиленовые группы с 2-10 атомами углерода, которые могут быть нормальными или разветвленными, насыщенными или ненасыщенными и могут содержать, связанные с главной цепью или включенные в нее, один или несколько ароматических циклов или один или несколько атомов кислорода, серы или сульфоксидных, сульфоновых, дисульфидных, аминных, алкиламинных, гидроксильных, четвертично-аммониевых, уреидных, амидных или сложно-эфирных групп; и Х– обозначает анион минеральной или органической кислоты; A1, R10 и R12 вместе с двумя атомами азота, с которыми они связаны, могут образовывать пиперазиновый цикл и кроме того, если A1 обозначает нормальный или разветвленный, насыщенный или ненасыщенный алкиленовый или гидроксиалкиленовый радикал, то B1 может также обозначать группу -(CH2)n-CO-D-OC-(CH2)n– в которой D обозначает: а) остаток гликоля формулы: -O-Z-O-, где Z обозначает нормальный или разветвленный углеводородный радикал или группу одной из приведенных ниже формул: -(CH2-CH2-O)x-СН2-СН2– -[CH2-CH(СН3)-O]y-СН3-СН(СН3О)- где х и y обозначают целое число от 1 до 4, выражающее степень полимеризации индивидуальных полимеров, или любое число от 1 до 4, выражающее среднюю степень полимеризации; b) остаток бис-вторичного диамина, такой как производное пиперазина; c) остаток бис-первичного диамина формулы: -NH-Y-NH-, где Y обозначает нормальный или разветвленный углеводородный радикал или же двухвалентный радикал; -CH2-CH2-S-S-CH2-CH2-; d) уреиленовую группу формулы -NH-CO-NH-; Х– преимущественно обозначает анион, такой как хлорид или бромид. Среднечисленная молекулярная масса названных выше полимеров обычно составляет от 1000 до 100000. Полимеры этого типа описаны, в частности, во французских патентах 2320330, 2270846, 2316271, 2336434 и 2413907 и патентах США 2273780, 2375853, 2388614, 2454547, 3206462, 2261002, 2271378, 3874870, 4001432, 3929990, 3966904, 4005193, 4025617, 4025627, 4025653, 4026945 и 4027020. Более конкретно, могут быть использованы полимеры, которые образованы структурными звеньями, отвечающими приведенной ниже формуле IX: ![]() в которой R15, R16, R17 и R18, одинаковые или разные, обозначают алкильный или гидроксиалкильный радикал с приблизительно 1-4 атомами углерода, n и р являются целыми числами приблизительно от 2 до 20 и Х– является анионом минеральной или органической кислоты. (11) Поли-четвертично-аммониевые полимеры, образованные структурными звеньями формулы X: ![]() в которой R19, R20, R21 и R22, одинаковые или разные, обозначают атом водорода или радикал метил, этил, пропил, -гидроксиэтил, -гидроксипропил или группу -СН2-CH2(ОСН2СН2)рОН, где р равен 0 или целому числу от 1 до 6, при условии, что R19, R20, R21 и R22 не являются одновременно атомами водорода;r и s, одинаковые или разные, являются целыми числами от 1 до 6; q равен 0 или целому числу от 1 до 34; Х обозначает атом галогена; А обозначает радикал дигалогенида или, предпочтительно, радикал -CH2-CH2-O-CH2-CH2. Такие соединения описаны, в частности, в патентной заявке ЕР-А-122324. (12) Четвертичные полимеры винилпирролидона и винилимидазола. (13) Полиамины, такие как продукт, названный в словаре CTFA POLYETHYLENEGLYCOL (15) TALLOW POLYAMINE. (14) Сшитые полимеры солей метакрилилокси-С1-С4-алкил-(три-С1-С4-алкил) аммония, такие как полимеры, полученные гомополимеризацией четвертично-аммониевой соли диметиламино-этилметакрилата с метилхлоридом или сополимеризацией акриламида с четвертично-аммониевой солью диметиламиноэтилметакрилата с метилхлоридом с последующим в обоих случаях поперечным сшиванием соединением с олефиновой ненасыщенностью, в частности, метилен-бис-акриламидом. Более конкретно, может быть использован сшитый сополимер акриламида с метакрилилоксиэтил(триметил)аммонийхлоридом (20/80 по массе) в виде дисперсии, содержащей 50 мас. % названного сополимера в минеральном масле. Такая дисперсия поставляется фирмой ALLIED COLLOIDS под названием SALCARE SC92. Можно также использовать сшитый гомополимер хлорида метакрилилоксиэтил(триметил)аммония, содержащего приблизительно 50 мас.% этого гомополимера в минеральном масле или в жидком сложном эфире. Такие дисперсии поставляются фирмой ALLIED COLLOIDS под названием SALCARE SC95 и SAKCARE SC96. Может быть также использован метосульфат сополимера метакрилилоксиэтил(триметил)аммония и метакрилилоксиэтил(диметил)(ацетил) аммония, поставляемый фирмой ROHM GmbH под названием PLEX7525L (название в CTFA: Polyquaternium-35).
Другими катионными полимерами, пригодными для использования в рамках изобретения, являются полиалкиленимины, в частности, полиэтиленимины, полимеры, содержащие винилпиридиновые или винилпиридиниевые структурные звенья, продукты конденсации полиаминов с эпихлоргидрином, четвертичные полиуреилены и производные хитина.
Амфотерные полимеры, пригодные для использования в соответствии с настоящим изобретением, могут быть также выбраны из полимеров, содержащих статистически распределенные в полимерной цепи звенья К и М, где К обозначает структурное звено, образованное из мономера, содержащего по меньшей мере один основной атом азота, и М обозначает структурное звено, образованное из кислотного мономера, содержащего одну или несколько карбоксильных или сульфоновых групп, или же К и М могут обозначать группы, образованные из цвиттерионных мономеров карбоксибетаинов или сульфобетаинов;К и М могут также обозначать катионную полимерную цепь, содержащую первичные, вторичные, третичные или четвертичные аминогруппы, из которых по меньшей мере, одна содержит карбоксильную или сульфоновую группу, присоединенную через углеводородный радикал, или же К и М составляют часть полимерной цепи с , -дикарбоксиэтиленовым структурным звеном, в котором одна из карбоксильных групп была введена в реакцию с полиамином, содержащим одну или несколько первичных или вторичных аминогрупп.
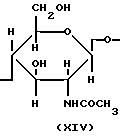
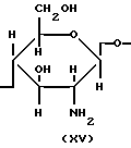
Особо предпочтительные амфотерные пленкообразующие полимеры, отвечающие данному выше определению, выбирают из следующих полимеров:(1) Полимеры, образующиеся при сополимеризации мономера, являющегося производным винилового соединения, содержащего карбоксильную группу, в частности, акриловой кислоты, метакриловой кислоты, малеиновой кислоты и -хлоракриловой кислоты, и основного мономера, являющегося производным замещенного винилового соединения, содержащего по меньшей мере один основной атом, такого как, в частности, диалкиламиноалкиловые эфиры метакриловой и акриловой кислот, диалкиламино-алкилметакриламид и -акриламид. Такие соединения описаны в американском патенте 3836537. Можно также упомянуть сополимер акрилата натрия с хлоридом акриламидопропил(триметил) аммония.
Виниловым соединением может быть также соль диалкилдиаллиламмония, такая как хлорид диэтилдиаллиламмония.
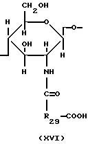
(2) Полимеры, содержащие структурные звенья, образованные из:a) по меньшей мере одного мономера, выбранного из акриламидов и метакриламидов, замещенных по азоту алкильным радикалом; b) по меньшей мере одного кислотного сомономера, содержащего одну или несколько реакционноспособных карбоксильных групп; и c) из по меньшей мере одного основного сомономера, такого как эфиры замещенных первичными, вторичными, третичными и четвертичными аминогруппами акриловой и метакриловой кислот и четвертично-аммониевой соли диметиламиноэтилметакрилата с диметил- или диэтилсульфатом. Более предпочтительными в соответствии с изобретением N-замещенными акриламидами и метакриламидами являются группы, алкильные радикалы в которых содержат от 2 до 12 атомов углерода, и из них более предпочтительными являются N-этилакриламид, N-трет-бутилакриламид, N-трет-октилакриламид, N-октилакриламид, N-децилакриламид, N-додецилакриламид и соответствующие метакриламиды. Кислотные сомономеры выбирают, в частности, из кислот: акриловой, метакриловой, кротоновой, итаконовой, малеиновой, фумаровой, а также из моно-С1-С4-алкиловых эфиров малеиновой или фумаровой кислот или ангидридов этих кислот. Предпочтительными основными сомономерами являются аминоэтиловый, бутиламиноэтиловый, N, N’-диметиламиноэтиловый и N-трет-бутиламиноэтиловый эфиры метакриловой кислоты. В частности, используют сополимеры, имеющие следующее название в словаре CTFA (4-е издание, 1991 г.): Осtylacrylamide/acrylates/butylaminoethylmethacrylate copolymer. (3) Сшитые и частично или полностью алкилированные полиаминоамиды, являющиеся производными полиаминоамидов общей формулы: -[-CO-R23-CO-Z-]- (XI) в которой R23 обозначает двухвалентный радикал, образованный из насыщенной дикарбоновой кислоты, моно- или дикарбоновой алифатической кислоты с этиленовой двойной связью, эфира этих кислот с С1-С5-алканолом, или радикал, образующийся при соединении какой-либо из названных выше кислот с бис-первичным амином или бис-вторичным амином, a Z обозначает бис-первично-амино-, моно- или бис-вторично-амино-радикал полиалкилен-полиамина и преимущественно представляет собой: a) составляющий от 60 до 100 мол.% радикал -NH-[-(CH2)x-NH-]p– (XII) где х=2 и р=2 или 3 или же х=3 и р=2; такой радикал образуется из диэтилентриамина, триэтилентетрамина или дипропилентриамина; b) составляющий от 0 до 40 мол.% приведенный выше радикал XII, в котором х=2 и р=1 и который образуется из этилендиамина, или пиперазиновый радикал: ![]() с) составляющий от 0 до 20 мол.% радикал -NН-(СН2)6-NН-, образованный из гексаметилендиамина; причем названные полиаминоамиды сшиваются при добавлении бифункционального сшивающего агента, выбираемого из эпигалогенгидринов, диэпоксидов, диангидридов, бис-ненасыщенных производных, в количестве от 0,025 до 0,35 моль сшивающего агента на одну аминогруппу полиаминоамида, и алкилируются при действии акриловой кислоты, хлоруксусной кислоты или алкансультона или их солей. Насыщенные карбоновые кислоты преимущественно выбирают из кислот с 6-10 атомами углерода, таких как адипиновая, 2,2,4-триметиладипиновая, 2,4,4-триметиладипиновая, терефталевая кислота, кислот с двумя двойными этиленовыми связями, таких, например, как акриловая, метакриловая и итаконовая кислота. Используемые при алкилировании алкансультоны являются преимущественно пропансультоном или бутансультоном, а солями алкилирующих агентов преимущественно являются натриевая или калиевая соли. (4) Полимеры, содержащие цвиттерионные структурные звенья формулы: ![]() в которой R24 обозначает ненасыщенную, способную участвовать в полимеризации группу, такую как остаток акрилата, метакрилата, акриламида или метакриламида, y и z обозначают целое число от 1 до 3, R25 и R26 обозначают атом водорода, метил, этил или пропил, R27 и R28 обозначают атом водорода или алкильный радикал, таким образом, что сумма атомов углерода в R27 и R28 не превышает 10. Полимеры, содержащие такие звенья, могут также содержать звенья, образованные из нецвиттерионных мономеров, таких как диметил- или диэтиламиноэтиловый эфир акриловой или метакриловой кислоты, алкилакрилаты или алкилметакрилаты, акриламиды или метакриламиды или винилацетат. В качестве примера можно назвать сополимер метилметакрилата с метиловым эфиром диметил(карбокси)(метил)аммоний-этилметакриловой кислоты. (5) Полимеры-производные хитозана, содержащие мономерные структурные звенья приведенных ниже формул XIV, XV и XVI: ![]() ![]() ![]() из которых звено XIV присутствует в количестве от 0 до 30%, звено XV в количестве от 5 до 50% и звено XVI в количестве от 30 до 90%, причем в последнем звене R29 обозначает радикал формулы: ![]() в которой, если q=0, R30, R31 и R32, одинаковые или разные, обозначают, каждый, атом водорода, метил, гидроксил, ацетоксигруппу, аминогруппу, остаток моноалкиламина или диалкиламина, которые могут прерываться одним или несколькими атомами азота и/или могут быть замещены одной или несколькими группами: амино, гидроксил, карбоксил, алкилтио, сульфоновая, алкилтиогруппа, в которой алкильный радикал замещен аминогруппой, причем по меньшей мере один из радикалов R30, R31 и R32 является в этом случае атомом водорода; или если q=1, R30, R31 и R32 обозначают, каждый, атом водорода, а также соли названных соединений с основаниями или кислотами. (6) Полимеры, образованные при N-карбоксиалкилировании хитозана, такие как N-карбоксиметилхитозан или N-карбоксибутилхитозан. (7) Полимеры общей формулы XVIII, такие, например, которые описаны во французском патенте 1400366: ![]() в которой R33 обозначает атом водорода, радикал СН3О, СН3СН2О или фенил, R34 обозначает атом водорода или низший алкил, такой как метил или этил, R35 обозначает атом водорода или низший алкил, такой как метил или этил, R36 обозначает низший алкил, такой как метил или этил, или радикал, отвечающий формуле -R37-N(R35)2, где R37 обозначает группу -CH2-CH2-, -CH2-CH2-CH2– или -СН2-СН(СН3)-, а R35 имеет указанные выше значения; а также высшие гомологи этих радикалов, содержащие до 6 атомов углерода. (8) Амфотерные полимеры типа -D-X-D-X-, выбираемые из: а) полимеров, получаемых действием хлоруксусной кислоты или хлорацетата натрия на соединения, содержащие по меньшей мере одно структурное звено формулы: -D-X-D-X-D (XIX) в которой D обозначает радикал ![]() а Х обозначает символ Е или Е’, где Е и Е’, одинаковые или разные, обозначают двухвалентный радикал, представляющий собой алкилен с нормальной или разветвленной цепью, содержащий до 7 атомов углерода в главной цепи, незамещенной или замещенной гидроксильными группами, который может также содержать атомы кислорода, азота, серы, 1-3 ароматических и/или гетероциклических колец; причем атомы кислорода, азота и серы присутствуют в виде групп: эфирной, тиоэфирной, сульфоксидной, сульфоновой, сульфониевой, алкиламинной, алкениламинной, гидроксильной, бензиламинной, аминоксидной, четвертично-аммониевой, амидной, имидной, спиртовой, сложноэфирной и/или уретановой; b) полимеров формулы: -D-X-D-X (XX) в которой D обозначает радикал ![]() а Х обозначает символ Е или Е’ и по меньшей мере один раз Е’, причем Е имеет указанное выше значение и Е’ является двухвалентным радикалом, представляющим собой алкилен с нормальной или разветвленной цепью, содержащий до 7 атомов углерода в главной цепи, незамещенной или замещенной одним или несколькими гидроксильными радикалами, и содержащий один или несколько атомов азота, связанных с алкильными цепями, которые могут прерываться атомом кислорода, и обязательно содержащий одну или несколько карбоксильных функций или одну или несколько гидроксильных функций и бетаинизированный реакцией с хлоруксусной кислотой или с хлорацетатом натрия. (9) Сополимеры С1-С5-алкилвинилового эфира с малеиновым ангидридом, частично модифицированным полуамидированием N,N-диалкиламиноалкиламином, таким как N, N-диметиламинопропиламин или полуэтерификацией N,N-диалканоламином. Эти сополимеры могут также содержать другие винильные сомономеры, такие как винилкапролактам. Катионные или амфотерные субстантивные полимеры могут также содержать гидрофобные группы. Они могут быть, например, выбраны из производных целлюлозы с четвертично-аммониевыми группами и полиакрилатов с боковыми амино-содержащими группами, таких, например, как: – целлюлозы с четвертично-аммониевыми группами, модифицированные группами, содержащими по меньшей мере одну жирную цепь, выбранными из алкильных, арилалкильных или алкиларильных групп, содержащих по меньшей мере 8 атомов углерода, или смесями последних; – гидроксиэтилцеллюлозы с четвертично-аммониевыми группами, модифицированные группами, содержащими по меньшей мере одну жирную цепь, выбранными из алкильных, арилалкильных или алкиларильных групп, содержащих по меньшей мере 8 атомов углерода, или смесями последних; – полиакрилаты с боковыми кватернизованными или некватернизованными аминогруппами, содержащими гидрофобные группы. Упомянутые выше алкильные радикалы, содержащиеся в целлюлозах или гидроксиэтилцеллюлозах с четвертично-аммониевыми группами, содержат преимущественно от 8 до 30 атомов углерода. Арильные радикалы преимущественно обозначают фенильную, бензильную, нафтильную или антрильную группу. Из катионных или амфотерных субстантивных полимеров, пригодных для использования в соответствии с изобретением, в частности, предпочтительны: – гомополимер хлорида диметилдиаллиламмония, выпускаемый фирмой MERCK под названием MERQUAT 100 DRY; – сополимеры хлорида диметилдиаллиламмония и акриламида, выпускаемые фирмой CALGON под названием MERQUAT 2200; – полимеры типа поли(четвертичного аммония), полученные и описанные во французском патенте 2270846, образованные структурными звеньями, отвечающими приведенной ниже формуле XXI: ![]() и в частности те, средневесовая молекулярная масса которых, определенная с помощью гель-проникающей хроматографии, составляет от 9500 до 9900; – полимеры типа поли(четвертичного аммония), полученные и описанные во французском патенте 2270846 и образованные структурными звеньями, отвечающими приведенной ниже формуле XXII: ![]() и в частности те, средневесовая молекулярная масса которых, определенная с помощью гель-проникающей хроматографии, составляет приблизительно 1200; – полимеры типа поли(четвертичного аммония), описанные в патентах США 4390689, 4702906, 4719282 и образованные структурными звеньями, отвечающими приведенной ниже формуле XIII: ![]() в которой р является целым числом от 1 до 6 и D обозначает простую связь или группу -(СН2)r-СО, где r равно 4 или 7, и в частности те, средневесовая молекулярная масса которых ниже 100000 и, предпочтительно, ниже или равна 50000; – следующие амфотерные сополимеры: – сополимер хлорида диаллилдиметиламмония с акриловой кислотой (80/20), поставляемый фирмой CALGON под названием MERQUAT 280 DRY (название CTFA: Polyquaternium-22); – сополимер хлорида диметилдиаллиламмония с акриловой кислотой (95/5), поставляемый фирмой CALGON под названием MERQUAT 295 DRY (название CTFA: Polyquaternium-22); – сополимер хлорида метакриламидопропилтримония, акриловой кислоты и метилакрилата, поставляемый фирмой CALGON под названием MERQUAT 2001 (название CTFA: Polyquaternium-47); – тройной сополимер акриламид/хлорид диметилдиаллиламмония/акриловая кислота, поставляемый фирмой CALGON под названием MERQUAT 3330 DRY (название CTFA: Polyquaternium-39). Из приведенного выше списка субстантивных полимеров наиболее предпочтительными являются амфотерные сополимеры Polyquaternium-22, Polyquaternium-39 и Polyquaternium-47 (названия CTFA). Безводные обесцвечивающие композиции содержат катионный или амфотерный субстантивный полимер в количестве от 0,03 до 30 и, предпочтительно, от 0,3 до 15% от массы безводной композиции. Массовое отношение анионного и/или неионного амфифильного полимера или полимеров к катионному или амфотерному субстантивному полимеру обычно составляет от 10/1 до 1/10 и, предпочтительно, от 5/1 до 1/5. Как было сказано выше, безводная обесцвечивающая композиция содержит по меньшей мере один щелочной агент и по меньшей мере одну перекисную соль. Указанный щелочной агент выбирают из аммониевых солей, таких как хлорид, сульфат, фосфат или нитрат аммония, силикатов, фосфатов или карбонатов щелочных или щелочноземельных металлов, в частности, метасиликатов щелочных металлов. Перекисные соли выбирают из числа персульфатов, перкарбонатов и перборатов аммония или щелочных металлов. Предпочтительными являются персульфаты и из них главным образом персульфаты натрия и калия. Композиции по изобретению содержат перекисную соль в количестве от 20 до 70 и, предпочтительно, от 30 до 60% от общей массы безводной композиции. Обесцвечивающие композиции по изобретению могут также содержать все типы добавок, обычно используемых в обесцвечивающих композициях, способных облегчить работу с композициями и их нанесение, улучшить сохранность или эффективность композиций и улучшить косметические свойства обработанных волос. Такими добавками являются, например, агенты, регулирующие выделение кислорода, такие как карбонат магния или магнезия; водорастворимые загущающие или гелеобразующие полимеры, такие как целлюлозы и их производные, такие как гидроксиэтилцеллюлоза, гидроксипропилцеллюлоза и гидроксипропилметилцеллюлоза, крахмал и производные крахмала, гидроксипропилгуар и гуаровая смола, альгинаты, полисахариды, поливинилпирролидон, карбоксиметилцеллюлоза, ксантановая смола, аравийская камедь, смола гатти, адрагантная камедь, полиакриламиды и полимеры акриловой кислоты; анионные, неионогенные, катионные, амфотерные или цвиттерионные поверхностно-активные агенты и их смеси; минеральные или растительные масла; воски; гранулирующие добавки; связующие; минеральные наполнители, такие как кремнезем и глина; матирующие агенты, такие как оксид титана; красители; комплексообразователи и отдушки. Само собой разумеется, что при выборе названных выше дополнительных веществ и их количеств специалист должен проследить за тем, чтобы полезные свойства, изначально присущие обесцвечивающей композиции настоящего изобретения, не оказались ухудшенными или существенно ухудшенными при введении предполагаемых добавок. Композиции по изобретению преимущественно содержат по меньшей мере один поверхностно-активный агент. Поверхностно-активными агентами, подходящими для осуществления настоящего изобретения, являются, в частности, следующие: (i) Анионные ПАВ: В качестве примеров, подходящих для использования в рамках настоящего изобретения анионных ПАВ, индивидуальных или в смесях, могут быть, в частности, названы соли (в частности, щелочные соли и более конкретно соли натрия, аммония, аминов, аминоспиртов или магния) следующих соединений: алкилсульфаты, простые алкиловые эфиры-сульфаты, простые эфиры-алкиламидосульфаты, простые алкилариловые полиэфиры-сульфаты, моноглицериды-сульфаты, алкилсульфонаты, алкилфосфаты, алкиламидосульфонаты, алкиларилсульфонаты, -олефинсульфонаты, парафинсульфонаты, С6-С24-алкилсульфосукцинаты, простые С6-С24-алкиловые эфиры-сульфосукцинаты, С6-С24-алкиламидосульфосукцинаты, С6-С24-алкилсульфоацетаты, С6-С24-ацилсаркозинаты и С6-С24-ацилглутаматы. Могут быть также использованы сложные эфиры, содержащих карбоксильные группы С6-С24-алкилполигликозидов, такие как алкилглюкозид-цитраты, алкилполигликозид-тартраты и алкилполигликозидсульфосукцинаты; алкилсульфосукцинаматы; ацилизетионаты и N-ацилтаураты; радикал алкил или ацил во всех этих различных соединениях содержит преимущественно от 12 до 20 атомов углерода, а радикал арил обозначает преимущественно фенил или бензил. Из других анионных ПАВ, которые также могут быть использованы, можно назвать соли жирных кислот, такие как соли олеиновой, рицинолевой, пальмитиновой и стеариновой кислот, кислот масла копры или гидрогенизованного масла копры; ацил-лактилаты, радикал ацил в которых содержит 8-20 атомов углерода. Можно также использовать алкил-D-галактозидуроновые кислоты и их соли, простые С6-С24-алкиловые эфиры полиоксиалкиленированных карбоновых кислот, простые С6-С24-алкилариловые эфиры полиоксиалкиленированных карбоновых кислот, простые С6-С24-алкиламидные эфиры полиоксиалкиленированных карбоновых кислот и их соли, в частности, соли, которые содержат от 2 до 50 алкиленоксидных групп, в частности, этиленоксидных групп, и их смеси.
(ii) Неионогенные ПАВНеионогенные поверхностно-активные агенты, в свою очередь, сами по себе также являются хорошо известными соединениями (по этому поводу см., например, книгу М.R. Porter “Handbook of Surfactants”, выпущенную издательством Blackie & Son, Glasgow and London, 1991, pp. 116-178) и их природа в рамках настоящего изобретения не имеет определяющего значения. Они могут быть, в частности, выбраны из следующих соединений: спирты, -диолы, алкилфенолы или полиэтоксилированные и полипропоксилированные жирные кислоты, содержащие в жирной цепи, например, от 8 до 18 атомов углерода, в то время как количество этиленоксидных или пропиленоксидных групп может составлять от 2 до 50. Можно также назвать сополимеры этилен- и пропиленоксида, продукты конденсации этилен- и пропиленоксида с жирными спиртами; полиэтоксилированные жирные амиды, содержащие преимущественно от 2 до 30 моль этиленоксида; полиглицеринированные жирные амиды, содержащие в среднем 1-5 и, в частности, 1,5-4 глицериновых групп; полиэтоксилированные жирные амины, содержащие преимущественно от 2 до 30 моль этиленоксида; оксиэтиленированные эфиры жирных кислот с сорбитаном, содержащие от 2 до 30 моль этиленоксида; эфиры жирных кислот с сахарозой; эфиры жирных кислот с полиэтиленгликолем; алкилполигликозиды; производные N-алкилглюкамина; аминоксиды, такие как С10-С14-алкиламиноксиды или оксиды N-ациламинопропилморфолина. Следует отметить, что алкилполигликозиды представляют собой неионогенные ПАВ, которые особенно хорошо подходят для применения в настоящем изобретении.
(iii) Амфотерные или цвиттерионные ПАВАмфотерные или цвиттерионные поверхностно-активные агенты, природа которых в рамках настоящего изобретения не имеет определяющего значения, могут, в частности, быть производными вторичных или третичных алифатических аминов, алифатический радикал в которых представляет собой нормальную или разветвленную цепь, содержащую 8-18 атомов углерода и включающую по меньшей мере одну анионную водосолюбилизирующую группу (например, карбоксилатную, сульфонатную, сульфатную, фосфатную или фосфонатную). Могут быть названы также С8-С20-алкилбетаины, сульфобетаины, С8-С20-алкиламидо-С1-С6-алкилбетаины и С8-С20-алкиламидо-С1-С6-алкилсульфобетаины. Из производных аминов могут быть названы продукты, описанные в патентах US-2528378 и US-2781354 и классифицированные в словаре CTFA, 3-е издание, 1982, под названиями Amphocarboxyglycinates и Amphocarboxypropionates, имеющие, соответственно, следующие структуры: R38-CONHCH2CH2-N(R39)(R40)(CH2COO-), где R38 обозначает алкильный радикал кислоты R38-СООН, содержащейся в гидролизованном копровом масле, радикал гептил, нонил или ундецил; R39 обозначает бета-гидроксиэтильную группу; и R40 обозначает карбоксиметильную группу; и R38 ‘-CONHCH2CH2-N(B)(С), где В обозначает -CH2CH2OX’, С обозначает -(СН2)zY’, где z равен 1 или 2; X’ обозначает группу -CH2CH2-COOH или атом водорода; Y’ обозначает -СООН или радикал -СН2СНОН-SО3Н; R38‘ обозначает алкильный радикал кислоты R-COOH, содержащейся в копровом масле или в гидролизованном льняном масле, алкил, в частности, C7-, С9-, С11– или С13-алкилы, С17-алкил и его изо-форма или ненасыщенный С17-радикал. Названные соединения классифицированы в словаре CTFA, 5-е издание, 1993 г. , под названиями Disodium Coco-ampho-diacetate, Disodium Lauroampho-diacetate, Disodium Caprylampho-diacetate, Disodium Capryloampho-diacetate, Disodium Coco-ampho-dipropionate, Disodium Lauroampho-dipropionate, Disodium Caprylampho-dipropionate или Disodium Capryloampho-dipropionate, Lauro-ampho-dipropionic acid, Coco-ampho-dipropionic acid. (iv) Катионные ПАВ Из катионных ПАВ могут, в частности, быть названы: соли первичных, вторичных или третичных жирных аминов, которые могут быть полиоксиалкиленированными; четвертичные аммониевые соли, такие как хлориды или бромиды тетраалкиламмония, алкиламидоалкилтриалкиламмония, триалкилбензиламмония, триалкилгидроксиалкиламмония или алкилпиридиния; производные имидазолина; и аминоксиды, обладающие катионным характером. Количества поверхностно-активных агентов, присутствующих в композициях по изобретению, могут варьировать от 0,01 до 40 и, предпочтительно, от 0,1 до 30% от общей массы композиции. Безводная обесцвечивающая композиция может быть представлена в виде порошка, который после смешения с перекисью водорода превращается в припарку. Композиция может быть также в форме безводного обесцвечивающего крема, содержащего распыляющие агенты в суспензии или в дисперсии в органическом носителе, например, в виде кремов, описанных в патентах US 4170637, DE 3814356, DE 3844956, ЕР 0778029 и DE 19723538. Согласно настоящему изобретению, безводная обесцвечивающая композиция преимущественно находится в виде порошка из покрытых, непокрытых или гранулированных частиц. Предметом настоящего изобретения является также способ обесцвечивания кератиновых волокон, в частности, волос человека. Этот способ включает стадии, заключающиеся в: – смешивании непосредственно перед применением безводной обесцвечивающей композиции, содержащей по меньшей мере один щелочной агент, по меньшей мере одну перекисную соль и комбинацию по меньшей мере одного анионного и/или неионного амфифильного полимера, содержащего по меньшей мере одну жирную цепь, и по меньшей мере одного катионного или амфотерного субстантивного полимера, с водной перекисноводородной композицией; – нанесении смеси на подлежащий обесцвечиванию участок кератиновых волокон; – выдерживании в течение времени, достаточного для получения желаемого обесцвечивания, которое обычно составляет от 10 мин до 1 часа и, предпочтительно, от 10 до 45 мин; и – удалении обесцвечивающей смеси ополаскиванием водой с последующими промывкой шампунем и сушкой. Предметом изобретения является также применение описанной выше безводной обесцвечивающей композиции для получения готовой к применению обесцвечивающей композиции. Для этой цели безводную композицию смешивают с приблизительно 0,5-10 весовыми эквивалентами водной перекисноводородной композиции, например, раствора, эмульсии или геля с 2-12 мас.%. перекиси водорода. Эту смесь необходимо приготовлять непосредственно перед нанесением продукта на волосы. Величина рН готовой к применению обесцвечивающей композиции составляет преимущественно от 7 до 12 и, более предпочтительно, от 8,5 до 11,5. Еще одним предметом изобретения является состоящее из нескольких частей упаковочное устройство, называемое также упаковочным “набором”, включающее по меньшей мере два отделения, в одном из которых находится описанная выше безводная обесцвечивающая композиция, а в другом – водная перекисноводородная композиция. Приведенные ниже примеры приводятся в качестве не ограничивающей объема изобретения иллюстрации, позволяющей лучше понять изобретение. Примеры 1-3 Приготовляют три следующие (А, В и С) обесцвечивающие композиции в порошкообразной форме (см. табл. 1). Приготовляют также следующую перекисноводородную композицию (D), приведенную в табл.2. Смешивают по 8 г каждой из обесцвечивающих композиций А, В и С с 16 г перекисноводородной композиции D. С каждой из полученных готовых к применению композиций AD, BD и CD осуществляют 3 последовательных цикла обесцвечивания на прядях шатеновых волос массой 3 г каждая в соответствии со следующей прописью. После пуска секундомера погружают в каждую готовую к применению композицию прядь волос, которую после этого распускают веером на пластине, температуру которой поддерживают на уровне 31oС. Веерообразную прядь покрывают половиной количества смеси и делают выдержку в течение 20 мин. По истечении 20 мин прядь быстро переворачивают, покрывают оставшейся смесью и выдерживают в течение еще 20 мин. После выдержки прядь обильно ополаскивают водой до тех пор, пока она не станет отмытой. Для удаления возможных остатков окисляющего агента производят нейтрализующую промывку шампунем. Прядь после этого расчесывают гребнем и сушат в течение 1 часа с помощью фена при 60oС, используя для защиты фильтровальную бумагу. Прядь вновь увлажняют и вновь промывают обычным шампунем, после чего расчесывают и вновь сушат в течение 1 часа феном при 60oС. После обесцвечивания каждую прядь массой 3 г разделяют на 5 прядей по 0,6 г и каждую из последних подвергают описанному ниже испытанию на щелочную растворимость. Каждую из 5 прядей помещают в кристаллизатор, который затем выдерживают в сушильной камере при 60oС в течение 30 мин. Кристаллизаторы с прядями взвешивают после выдержки в сушильной камере (Ро), вынимают из кристаллизаторов пряди и взвешивают те же кристаллизаторы пустыми (P1). После этого пряди вновь помещают в кристаллизаторы, которые выдерживают в эксикаторе в течение 24 час. В колбы Эрленмейера объемом 50 мл вводят 40 мл 0,1 н. раствора NaOH и помещают колбы в водяную баню с температурой 65oС. После уравновешивания температуры тестируемые пряди волос погружают в щелочной раствор, в котором пряди выдерживают в течение 30 мин, 2-3 раза осторожно перемешивая. Извлеченные из щелочного раствора пряди подвергают серии из трех промывок, каждая из которых состоит в погружении пряди на 15 мин в 100 мл деминерализованной воды, применяя время от времени осторожное перемешивание. После стекания воды с ополасканных таким образом прядей их помещают в предварительно тарированные (P1) кристаллизаторы. Кристаллизаторы с прядями после этого сушат 25 час в сушильной камере при 105oС. После охлаждения в течение 45 мин в эксикаторе кристаллизаторы с прядями вновь взвешивают (P2). Щелочную растворимость (SA), выражающую потерю веса пряди, выраженную в %, рассчитывают следующим образом: SA=(P0-P2)/(P0-P1-a) 100где (Р0-Р2) означает потерю веса пряди во время испытания, а (P0-P1-a) означает исходный вес пряди при том, что а – вес скрепки прядей (0,07 г). Измерение щелочной растворимости волос позволяет иметь представление о разрушении кератиновых волокон в результате обесцвечивания. Действительно, окисление дисульфидных мостиков кератина до сульфоно-кислых групп в процессе обесцвечивания повышает растворимость волоса, обработанного щелочным раствором. Чем выше щелочная растворимость, тем в большей степени разрушено волокно. Результаты испытаний на щелочную растворимость, собранные в приведенной ниже табл. 3, являются средними значениями результатов, полученных на пяти разных прядях. Представленные результаты показывают, что использование одного амфотерного субстантивного полимера (Polyquaternium-22) (композиция BD) не позволяет ограничить разрушение волокна по сравнению с композицией, не содержащей ни субстантивного полимера, ни амфифильного полимера (композиция AD). Напротив, комбинация, в соответствии с изобретением анионного амфифильного сополимера акриловой кислоты с С10-С30-алкилакрилатом (CARBOPOL 1382 фирмы GOODRICH) и амфотерного субстантивного полимера (Polyquaternium-22) (композиция CD) существенно (приблизительно на 17%) понижает щелочную растворимость обесцвеченных кератиновых волокон. Пример 4 Приготовляют обесцвечивающую композицию в порошкообразной форме, Е, следующего состава (количества в вес.%): Персульфат калия – 38 Персульфат натрия – 30 Метасиликат натрия – 14 Хлорид аммония – 5 Этилендиаминтетрауксусная кислота – 1 Додецилсульфосукцинат Na/бензоат Na – 2 Кремнезем – 2 Polyquatertnium-22 – 1 Цетилгидроксиэтилцеллюлоза, выпускаемая фирмой HERCULES под названием Polysurf 67 – 4 8 г композиции Е смешивают с 16 г описанной выше композиции D. Полученную смесь наносят на волосы и производят обесцвечивание в течение 45 мин. После ополаскивания, отмывки шампунем и сушки получают равномерное обесцвечивание. Состояние волокна было хорошим при ограниченном разрушении. Пример 5 Приготовляют обесцвечивающую композицию в виде безводного крема, F, следующего состава (количества в вес.%): Изопропилпальмитат – 23 Минеральное масло – 3 Персульфат калия – 27 Персульфат натрия – 20 Метасиликат натрия – 12 Хлорид аммония – 4 Этилендиаминтетрауксусная кислота – 1 Цетилсеариловый спирт с 25 моль этиленоксида – 2 Глина – 1 Polyquaternium-22 – 1 Serad FX-1100 – 3 Оксид титана – 1 Стеарат магния – 2 10 г композиции F смешивают с 15 г описанной выше композиции D. Полученную смесь наносят на волосы и производят обесцвечивание в течение 45 мин. После ополаскивания, отмывки шампунем и сушки получают равномерное обесцвечивание. Состояние волокна было хорошим при ограниченном разрушении. Формула изобретения
106, предпочтительно от 103 до 3 106, причем массовое отношение анионного и/или неионного амфифильного полимера к катионному или амфотерному субстантивному полимеру составляет от 10/1 до 1/10.
2. Композиция по п. 1, отличающаяся тем, что мономер или мономеры с этиленовой ненасыщенностью, содержащие карбоксильную функцию, выбирают из этакриловой, метакриловой и акриловой кислот, преимущественно из метакриловой и акриловой кислот и их смесей.
3. Композиция по любому из п. 1 или 2, отличающаяся тем, что мономер или мономеры с этиленовой ненасыщенностью, содержащие гидрофобную боковую цепь, выбирают из С10-С30 – (предпочтительно С12-С22) алкиловых эфиров этакриловой, метакриловой и/или акриловой кислот.
4. Композиция по любому из пп. 1 и 2, отличающаяся тем, что мономер или мономеры с этиленовой ненасыщенностью, содержащие гидрофобную боковую цепь, выбирают из аллиловых эфиров жирных спиртов, соответствующих формулеCH2 = CR’CH2-O-Bn-R, (1) в которой R’ обозначает атом водорода или метильную группу; В обозначает этиленокси-группу; n обозначает целое число от 0 до 100; R обозначает углеводородную группу, выбранную из остатков алкила, арилалкила, арила, алкиларила или циклоалкила, содержащих от 8 до 30, предпочтительно от 10 до 24 атомов углерода. 5. Композиция по любому из предыдущих пунктов, отличающаяся тем, что анионный амфифильный полимер, содержащий по меньшей мере одну жирную цепь, содержит, кроме того, структурные звенья, образованные поперечно-сшивающим мономером, содержащим две несопряженные этиленовые двойные связи. 6. Композиция по п. 5, отличающаяся тем, что названный выше поперечно-сшивающий мономер выбирают из диаллилфталата, аллил(мет)акрилата, дивинилбензола, диметакрилата (поли)этиленгликоля, метилен-бис-акриламида, полиаллилсахарозы и полиаллилпентаэритрита. 7. Композиция по пп. 1-6, отличающаяся тем, что анионный амфифильный полимер, содержащий по меньшей мере одну жирную цепь, является сшитым сополимером акриловой кислоты и С10-С30-алкилакрилата. 8. Композиция по п. 1, отличающаяся тем, что неионный амфифильный полимер, содержащий по меньшей мере одну жирную цепь, является гидроксиэтилцеллюлозой, модифицированной группами, содержащими по меньшей мере одну С8-С22-алкильную группу, или полиуретаном, модифицированным по меньшей мере одной С10-С20-алкильной цепью. 9. Композиция по любому из предыдущих пунктов, отличающаяся тем, что анионный амфифильный полимер и/или неионный амфифильный полимер, содержащие по меньшей мере одну жирную цепь, присутствуют в количестве от 0,03 до 30 и, предпочтительно, от 0,3 до 15% от общей массы безводной композиции. 10. Композиция по п. 1, отличающаяся тем, что названный субстантивный полимер выбирают из производных кватернизованной целлюлозы и полиакрилатов с кватернизованными или некватернизованными аминосодержащими боковыми группами. 11. Композиция по п. 10, отличающаяся тем, что производные кватернизованной целлюлозы выбирают из кватернизованных целлюлоз, модифицированных группами, содержащими по меньшей мере одну жирную цепь, выбираемыми из алкильных, арилалкильных и алкиларильных групп, содержащих по меньшей мере 8 атомов углерода, или их смесей; и кватернизованных гидроксиэтилцеллюлоз, модифицированных группами, содержащими по меньшей мере одну жирную цепь, выбираемыми из алкильных, арилалкильных и алкиларильных групп, содержащих по меньшей мере 8 атомов углерода, или их смесей. 12. Композиция по п. 1, отличающаяся тем, что названный катионный субстантивный полимер представляет собой гомополимер хлорида диметилдиаллиламмония или сополимер диметилдиаллиламмония с акриламидом. 13. Композиция по п. 1, отличающаяся тем, что названный катионный субстантивный полимер представляет собой поли (четвертичный аммоний), образованный структурными звеньями, отвечающими формулам ![]() ![]() или же формуле ![]() в которой р обозначает целое число от 1 до 6; D обозначает простую связь или группу – (СН2)r-СО, где r равно 4 или 7. 14. Композиция по п. 1, отличающаяся тем, что названный амфотерный субстантивный полимер выбирают из Polyquaternium-22, Polyquaternium-39 и Polyquaternium-47. 15. Композиция по любому из предыдущих пунктов, отличающаяся тем, что названный катионный или амфотерный субстантивный полимер присутствует в количестве от 0,03 до 30 и, предпочтительно от 0,3 до 15% от общей массы безводной композиции. 16. Композиция по любому из предыдущих пунктов, отличающаяся тем, что массовое отношение анионного и/или неионного амфифильного полимера к катионному или амфотерному субстантивному полимеру составляет от 5/1 до 1/5. 17. Композиция по любому из предыдущих пунктов, отличающаяся тем, что названный щелочной агент выбирают из аммониевых солей, таких как хлорид, сульфат, фосфат или нитрат аммония, силикатов, фосфатов или карбонатов щелочных или щелочноземельных металлов, в частности, метасиликатов щелочных металлов. 18. Композиция по любому из предыдущих пунктов, отличающаяся тем, что названную перекисную соль выбирают из персульфатов, перкарбонатов и перборатов аммония или щелочных металлов, в частности, из персульфатов натрия и калия. 19. Композиция по п. 18, отличающаяся тем, что названная перекисная соль присутствует в количестве от 20 до 70 и, предпочтительно от 30 до 60% в расчете на безводную композицию. 20. Композиция по любому из предыдущих пунктов, отличающаяся тем, что она дополнительно содержит облегчающие процесс обесцвечивания добавки, выбираемые из следующей группы: агенты, регулирующие выделение кислорода, загущающие или гелеобразующие полимеры, анионные, неионогенные, катионные амфотерные или цвиттерионные поверхностно-активные агенты и их смеси, минеральные и растительные масла, воски, гранулирующие добавки, связующие, минеральные наполнители, матирующие агенты, такие как оксид титана, красители, комплексообразователи и отдушки. 21. Композиция по п. 20, отличающаяся тем, что она содержит от 0,01 до 40 и, предпочтительно от 0,1 до 30 мас. % по меньшей мере одного поверхностно-активного агента. 22. Композиция по любому из предыдущих пунктов, отличающаяся тем, что она находится в виде порошка, или суспензии, или дисперсии порошка в безводном жидком органическом носителе. 23. Композиция по любому из предыдущих пунктов, отличающаяся тем, что ее используют для получения готовой к применению обесцвечивающей композиции путем добавления водной композиции перекиси водорода. 24. Способ обесцвечивания кератиновых волокон, в частности, волос человека, включающий следующие стадии смешивание непосредственно перед применением безводной обесцвечивающей композиции, определенной в любом из пп. 1-22, с водной перекисно-водородной композицией, нанесение полученной смеси на подлежащей обесцвечиванию участок кератиновых волокон, выдерживание в течение времени, достаточного для получения желаемого обесцвечивания, и удаление обесцвечивающей смеси ополаскиванием водой с последующими промывкой шампунем и сушкой. 25. Набор для обесцвечивания кератиновых волокон, в частности, кератиновых волокон человека, таких как волосы, отличающийся тем, что он содержит два отделения, в одном из которых находится безводная обесцвечивающая композиция по любому из пп. 1-22, а в другом – водная композиция перекиси водорода. РИСУНКИ
MM4A Досрочное прекращение действия патента Российской Федерации на изобретение из-за неуплаты в установленный срок пошлины за поддержание патента в силе
Дата прекращения действия патента: 29.01.2005
Извещение опубликовано: 20.02.2006 БИ: 05/2006
|
||||||||||||||||||||||||||

106 и, предпочтительно, от примерно 10 до 3






-гидроксиэтил,
SC92. Можно также использовать сшитый гомополимер хлорида метакрилилоксиэтил(триметил)аммония, содержащего приблизительно 50 мас.% этого гомополимера в минеральном масле или в жидком сложном эфире. Такие дисперсии поставляются фирмой ALLIED COLLOIDS под названием SALCARE
, 













