Патент на изобретение №2200539
|
||||||||||||||||||||||||||
(54) КОМПОЗИЦИЯ ДЛЯ ОКИСЛИТЕЛЬНОЙ ОКРАСКИ КЕРАТИНОВЫХ ВОЛОКОН, СПОСОБ ИХ ОКРАСКИ, НАБОР ДЛЯ ОКИСЛИТЕЛЬНОЙ ОКРАСКИ КЕРАТИНОВЫХ ВОЛОКОН
(57) Реферат: Изобретением является композиция для окислительной окраски кератиновых волокон, в частности волос, включающая в подходящей для окраски среде гетероциклический фиксирующийся при окислении краситель и фермент типа лакказы, а также способ окраски, при котором используют эту композицию, и набор ингредиентов композиции. Композиция обеспечивает интенсивные и хроматические окраски, обладает незначительной селективностью и устойчивостью по отношению к физическим воздействиям. 3 с. и 28 з.п. ф-лы, 2 табл. Предметом изобретения является композиция для окислительной окраски кератиновых волокон и, в частности, кератиновых волокон человека, таких как волосы, включающая в подходящей для окраски среде по крайней мере один гетероциклический фиксирующийся при окислении краситель и по крайней мере один фермент типа лакказы, а также способ окраски, при котором используют эту композицию. Известно окрашивание кератиновых волокон и, в частности, человеческих волос с помощью красящих композиций, содержащих один или несколько предшественников фиксирующегося при окислении красителя, в частности, о- или п-фенилендиамины, о- или п-аминофенолы, гетероциклические основания, обычно называемые окисляющимися основаниями. Эти фиксирующиеся при окислении красители (окисляющиеся основания) представляют собой бесцветные или слегка окрашенные соединения, которые, в сочетании с окислителями, могут давать начало процессам окислительной конденсации, приводящим к образованию окрашенных и красящих соединений. Также известно, что можно изменять оттенки, получаемые с помощью этих окисляющихся оснований, путем сочетания их с краскообразующими компонентами или модификаторами окраски, причем эти последние выбирают, в частности, среди ароматических м-диаминов, м-аминофенолов, м-дифенолов и некоторых гетероциклических соединений. Разнообразие молекул, используемых в качестве окисляющихся оснований и краскообразующих компонентов, позволяет получать богатую палитру цветов. Так называемая “перманентная” окраска, получаемая благодаря этим фиксирующимся при окислении красителям, кроме того, должна удовлетворять некоторому числу требований. Так, она не должна иметь недостатков в токсикологическом плане, она должна позволять получать оттенки желаемой интенсивности и обладать хорошей устойчивостью по отношению к внешним факторам (свет, непогода, мытье, перманентная завивка, потение, трения). Красители должны также обладать способностью закрашивать седые волосы и, наконец, должны быть как можно менее селективными, то есть позволять получать, по возможности, незначительные различия в окраске вдоль одного кератинового волокна, которое на самом деле может быть в различной степени сенсибилизировано (то есть разрушено) между верхушкой и корнем. Окислительную окраску кератиновых волокон обычно осуществляют в щелочной среде, в присутствии пероксида водорода. Однако, использование щелочных сред в присутствии пероксида водорода связано с тем недостатком, что имеет следствием значительное разрушение волокон, а также обесцвечивание кератиновых волокон, которое не всегда желательно. Окислительную окраску кератиновых волокон также можно осуществлять с помощью окисляющих систем, отличных от пероксида водорода, таких как ферментативные системы. Так, уже было предложено в патенте США 3251742, заявках на патенты Франции А-2112549, А-2694018, заявке на Европейский патент А-0504005, международных заявках на патент 95/07988, 95/33836, 95/33837, 96/00290, 97/19998 и 97/19999 окрашивание кератиновых волокон с помощью композиций, включающих по крайней мере один фиксирующийся при окислении краситель, или по крайней мере один предшественник меланина, в сочетании с ферментами типа лакказы, причем вышеуказанные композиции вступают в контакт с кислородом воздуха. Эти красящие композиции, хотя и используемые в условиях, не вызывающих разрушения кератиновых волокон, сравнимого с разрушением, возникающим за счет окрашиваний, осуществляемых в присутствии пероксида водорода, приводят к окраскам, еще недостаточным одновременно в плане однородности тона, распределенного по длине волокна (унисон), в плане хроматичности (блеск) и интенсивности окрашивания. В настоящее время заявитель нашел, что можно получать новые краски, способные приводить к интенсивным окрашиваниям, не вызывающим значительного разрушения кератиновых волокон, малоселективным и очень устойчивым к различным агрессивным воздействиям, которым могут подвергаться волокна, путем сочетания по крайней мере одного надлежащим образом выбранного фиксирующегося при окислении гетероциклического красителя (окисляющегося основания и/или краскообразующего компонента) и по крайней мере одного фермента типа лакказы. Это открытие составляет основу настоящего изобретения. Таким образом, первым предметом изобретения является готовая к употреблению композиция для окислительной окраски кератиновых волокон и, в частности, кератиновых волокон человека, таких как волосы, отличающаяся тем, что она включает, в подходящей для окраски среде: – по крайней мере один фиксирующийся при окислении краситель, выбираемый из гетероциклических окисляющих оснований и гетероциклических краскообразующих компонентов, – по крайней мере один фермент типа лакказы; причем вышеуказанная композиция не содержит гетероциклического краскообразующего компонента, выбираемого из индолов, индолинов, моноциклических пиридинов и феназинов, и не содержит гетероциклического окисляющегося основания, выбираемого из 4,5-диамино-6-гидроксипиримидина и 3,4-диаминогидроксипиразола. Готовая к употреблению красящая композиция согласно изобретению приводит к интенсивным и хроматическим окраскам. Получаемые с помощью готовой к употреблению красящей композиции согласно изобретению окраски обладают, кроме того, незначительной селективностью и превосходной устойчивостью одновременно по отношению к атмосферным факторам, таким как свет и непогода, и по отношению к потению и различным обработкам, которым могут подвергаться волосы (мытье, перманентные деформации). Предметом изобретения также является способ окислительной окраски кератиновых волокон, при котором используют эту готовую к употреблению красящую композицию. Лакказа или лакказы, используемые в готовой к употреблению красящей композиции согласно изобретению, могут быть, в частности, выбраны среди лакказ растительного происхождения, животного происхождения, грибкового происхождения (дрожжи, плесени, грибы) или бактериального происхождения, причем организмы, от которых они происходят, могут быть одноклеточными или многоклеточными. Лакказа или лакказы, используемые в готовой к употреблению красящей композиции согласно изобретению, также могут быть получены методами биотехнологии. Из используемых согласно изобретению лакказ растительного происхождения можно назвать лакказы, продуцируемые растениями, осуществляющими хлорофильный синтез, такие, которые указаны в заявке на патент Франции А-2694018. В частности, можно назвать лакказы, содержащиеся в экстрактах анакардиевых, таких как, например, экстракты Magnifera indica, Schinus molle или Pleiogynium timoriense; в экстрактах ногоплодниковых; Rosmarinus off.; Solanum tuberosum; Iris sp.; Coffea sp.; Daucus carrota, Vinca minor; Persea americana; Catharenthus roseus; Musa sp.; Malus pumila; Gingko biloba; Monotropa hypopithys (вертляница); Aesculus sp.; Acer pseudoplatanus; Prunus persica и Pistacia palaestina. Из используемых согласно изобретению лакказ грибкового происхождения, получаемых в известных случаях методами биотехнологии, можно назвать лакказу или лакказы, происходящие от Polyporus versicolor, Rhizoctonia praticola и Rhus vernicifera, такие, как указанные, например, в заявке на патент Франции А-2112549 и в заявке на Европейский патент А-504005, лакказы, описанные в международных заявках на патент 95/07988, 95/33836, 95/33837, 96/00290, 97/19998 и 97/19999, содержание которых входит составной частью в настоящее описание, как например, лакказа или лакказы, происходящие от Scytalidium, Polyporus pinsitus, Myceliophtora thermophila, Rhizoctonia solani, Pyricularia orizae и их вариантов. Можно назвать также лакказу или лакказы, происходящие от Tramates versicolor, Fomes fomentarius, Chaetomium thermophile, Neurospora crassa, Colorius versicol, Botrytis cinerea, Rigidoporus lignosus, Phellinus noxius, Pleurotus ostreatus, Aspergillus nidulans, Podospora anserina, Agaricus bisporus, Ganoderma lucidum, Glomerella cingulata, Lactanus piperatus, Russula delica, Heterobasidion annosum, Thelephora terrestris, Cladosporium cladosporioides, Cerrena unicolor, Coriolus hirsutus, Ceriporiopsis subvermispora, Coprinus cinereus, Panaeolus papilionaceus, Panaeolus sphinctrinus, Schizophyllum commune, Dichomitius squalens и их вариантов. Более предпочтительно выбирают лакказы грибкового происхождения, в известных случаях получаемые методами биотехнологии. Ферментативная активность лакказ, используемых согласно изобретению и включающих сирингалдазин в число своих субстратов, может быть определена по окислению сирингалдазина в аэробных условиях. Единица Lacu соответствует количеству фермента, катализирующему конверсию 1 ммоль сирингалдазина в минуту при рН 5,5 и при температуре 30oС. Единица U соответствует количеству фермента, для которого дельта поглощения при длине волны 530 нм составляет 0,001 в минуту, при использовании сирингалдазина в качестве субстрата, при температуре 30oС и рН 6,5. Ферментативная активность лакказ согласно изобретению также может быть определена по окислению п-фенилендиамина. Единица ulac соответствует количеству фермента, для которого дельта поглощения при длине волны 496,5 нм составляет 0,001 в минуту, при использовании п-фенилендиамина в качестве субстрата (64 ммоль), при температуре 30oС и рН 5. Согласно изобретению, предпочтительно определять ферментативную активность в единицах ulac. Из гетероциклических окисляющих оснований, используемых в готовой к употреблению красящей композиции согласно изобретению, можно, в частности, назвать пиримидиновые производные, пиразольные производные и их соли присоединения с кислотой. Из пиримидиновых производных, в особенности, можно назвать соединения, указанные, например, в патенте ФРГ 2359399 или в патентах Японии 88-169571 и 91-333495, такие как 2,4,5,6-тетрааминопиримидин, 4-гидрокси-2,5,6-триаминопиримидин, и их соли присоединения с кислотой, а также пиразолопиримидиновые производные, такие как пиразол[1,5-а]пиримидин-3, 7-диамин, 2-метилпиразол[1,5-а] пиримидин-3,7-диамин, 2,5-диметилпиразол[1,5-а] пиримидин-3,7-диамин, пиразол[1,5-а]пиримидин-3,5-диамин, 2,7-диметилпиразол[1,5-а]пиримидин-3,5-диамин, 3-аминопиразол[1,5-а] пиримидин-7-ол, 3-амино-5-метилпиразол[1,5-а] пиримидин-7-ол, 3-аминопиразол[1,5-а] пиримидин-5-ол, 2-(3-аминопиразол[1,5-а]пиримидин-7-иламино)этанол, 3-амино-7- -гидроксиэтиламино-5-метилпиразол [1,5-а] пиримидин, 2-(7-аминопиразол[1,5-а] пиримидин-3-иламино)этанол, 2-[(3-аминопиразол[1,5-а]пиримидин-7-ил)-(2-гидроксиэтил)амино]этанол, 2-[(7-аминопиразол[1,5-а]пиримидин-3-ил)-(2-гидроксиэтил)амино] этанол, 5,6-диметилпиразол[1,5-а]пиримидин-3,7-диамин, 2,6-диметилпиразол[1,5-а]пиримидин-3,7-диамин, 2,5,N-7,N-7-тетраметилпиразол[1,5-а] пиримидин-3,7-диамин и их соли присоединения и их таутомерные формы, когда существует таутомерное равновесие.
Из пиразольных производных в особенности можно назвать соединения, указанные в патентах или заявках на патенты ФРГ 3843892, 4133957, 4234886, 4234887; Франции 2733749, 2735685; в международных заявках на патент 94/08969 и 94/08970; такие как 4,5-диаминопиразол, 4,5-диамино-1-метилпиразол, 1-бензил-4,5-диаминопиразол, 3,4-диаминопиразол, 1-бензил-4,5-диамино-3-метилпиразол, 4-амино-1,3-диметил-5-гидразинопиразол, 4,5-диамино-3-метил-1-фенилпиразол, 4,5-диамино-3-метил-1-трет.-бутилпиразол, 4,5-диамино-1-метил-3-трет.-бутилпиразол, 4,5-диамино-1-этил-3-метилпиразол, 4,5-диамино-1-этил-3-(4′-метоксифенил)пиразол, 4,5-диамино-1-этил-3-гидроксиметилпиразол, 4,5-диамино-3-гидроксиметил-1-метилпиразол, 4,5-диамино-3-гидроксиметил-1-изопропилпиразол, 4,5-диамино-3-метил-1-изопропилпиразол и их соли присоединения с кислотой.
Из гетероциклических краскообразующих компонентов, используемых в готовой к употреблению красящей композиции согласно изобретению, можно, в частности, назвать производные бензимидазола, производные бензоморфолина, производные сезамола, пиразолазольные производные, пирролоазольные производные, имидазолоазольные производные, пиразолопиримидиновые производные, производные пиразолин-3,5-дионов, пиррол[3,2-d] оксазольные производные, пиразол [3, 4-d] тиазольные производные, S-оксидотиазолоазольные производные, S,S-диоксидотиазолоазольные производные и их соли присоединения с кислотой.
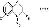
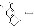
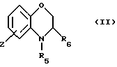
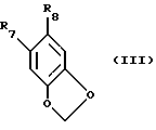
Из производных бензимидазола, используемых в качестве гетероциклических краскообразующих компонентов в красящей композиции согласно изобретению, в особенности можно назвать соединения следующей формулы (I):![]() в которой R1 означает атом водорода или (C1-C4)-алкил; R2 означает атом водорода, (C1-C4)-алкил или фенил; R3 означает гидроксил, аминогруппу или метоксигруппу; R4 означает атом водорода, гидроксил, метоксигруппу или (C1-C4)-алкил; при условии, что: – когда R3 означает аминогруппу, тогда он занимает положение 4; – когда R3 занимает положение 4, тогда R4 находится в положении 7; – когда R3 занимает положение 5, тогда R4 находится в положении 6; и их соли присоединения с кислотой. Из производных бензимидазола вышеприведенной формулы (I) в особенности можно назвать 4-гидроксибензимидазол, 4-аминобензимидазол, 4-гидрокси-7-метилбензимидазол, 4-гидрокси-2-метилбензимидазол, 1-бутил-4-гидроксибензимидазол, 4-амино-2-метилбензимидазол, 5,6-дигидроксибензимидазол, 5-гидокси-6-метоксибензимидазол, 4,7-дигидроксибензимидазол, 4,7-дигидрокси-1-метилбензимидазол, 4,7-диметоксибензимидазол, 5,6-дигидрокси-1-метилбензимидазол, 5,6-дигидрокси-2-метилбензимидазол, 5,6-диметоксибензимидазол и их соли присоединения с кислотой. Из производных бензоморфолина, используемых в качестве гетероциклических краскообразующих компонентов в готовой к употреблению красящей композиции согласно изобретению, в особенности можно назвать соединения следующей формулы (II): ![]() в которой: R5 и R6, одинаковые или разные, означают атом водорода или (C1-C4)-алкил; Z означает гидроксил или аминогруппу; и их соли присоединения с кислотой. Из производных бензоморфолина вышеприведенной формулы (II) в особенности можно назвать 6-гидрокси-1,4-бензоморфолин, N-метил-6-гидрокси-1,4-бензоморфолин, 6-амино-1,4-бензоморфолин и их соли присоединения с кислотой. Из производных сезамола, используемых в качестве гетероциклического краскообразующего компонента в готовой к употреблению красящей композиции согласно изобретению, в особенности можно назвать соединения следующей формулы (III): ![]() в которой: R7 означает гидроксил, амино-, (С1-С4)-алкиламино, моногидрокси-(C1-C4)-алкиламино- или полигидрокси-(С2-С4)-алкиламиногруппу; R8 означает атом водорода или галогена или (C1-C4)-алкокси; и их соли присоединения с кислотой. Из производных сезамола вышеприведенной формулы (III) в особенности можно назвать 2-бром-4,5-метилендиоксифенол, 2-метокси-4,5-метилендиоксианилин, 2-( -гидроксиэтил)амино-4,5-метилендиоксибензол и их соли присоединения с кислотой.
Из пиразолоазольных производных, используемых в качестве гетероциклического краскообразующего компонента в готовой к употреблению красящей композиции согласно изобретению, в особенности можно назвать соединения, указанные в следующих заявках на патенты и патентах: патент Франции 2075583; заявки на Европейский патент А-119860, А-285274, А-244160, А-578248; патент Великобритании 1458377; патенты США 3227554, 3419391, 3061432, 4500630, 3725067, 3926631, 5457210; патенты Японии 84/99437, 83/42045, 84/162548, 84/171956, 85/33552, 85/43659, 85/172982, 85/190779; также как в следующих публикациях: Chem. Ber. , 32, 797 [1899]; Chem. Ber., 89, 2550 [1956]; J. Chem. Perkin Trans., I, 2047 [1977]; J. Prakt. Chem., 320, 533 [1978], содержание которых входит составной частью в настоящую заявку.
В качестве пиразолоазольных производных в особенности можно назвать:– 2-метилпиразол[1,5-b]-1,2,4-триазол; – 2-этилпиразол[1,5-b]-1,2,4-триазол; – 2-изопропилпиразол[1,5-b]-1,2,4-триазол; – 2-фенилпиразол[1,5-b]-1,2,4-триазол; – 2,6-диметилпиразол[1,5-b]-1,2,4-триазол; – 7-хлор-2,6-диметилпиразол[1,5-b]-1,2,4-триазол; – 3,6-диметилпиразол[3,2-с]-1,2,4-триазол; – 6-фенил-3-метилтиопиразол[3,2-с]-1,2,4-триазол; – 6-аминопиразол[1,5-а]бензимидазол; и их соли присоединения с кислотой. Из пирролоазольных производных, используемых в качестве гетероциклического краскообразующего компонента в готовой к употреблению красящей композиции согласно изобретению, в особенности можно назвать соединения, указанные в следующих заявках на патенты и патентах: патент США 5256526; заявки на Европейский патент А-557851, А-578248, А-518238, А-456226, А-488909, А-488248, и в следующих публикациях: – D.R. Liljegren, Ber., 3436 [1964]; – E.J. Browne, J.C.S., 5149 [1962]; – P. Magnus, J.A.C.S., 112, 2465 [1990]; – P. Magnus, J.A.C.S., 109, 2711 [1987]; – Angew. Chem., 72, 956 [1960]; – и Rec.Trav.Chim., 80, 1075, [1961]; содержание которых входит составной частью в настоящую заявку. В качестве пирролоазольных производных в особенности можно назвать: – 5-циано-4-этоксикарбонил-8-метилпиррол[1,2-b]-1,2,4-триазол; – 5-циано-8-метил-4-фенилпиррол[1,2-b]-1,2,4-триазол; – 7-амидо-6-этоксикарбонилпиррол[1,2-а]бензимидазол; и их соли присоединения с кислотой. Из имидазолоазольных производных, используемых в качестве гетероциклического краскообразующего компонента в готовой к употреблению красящей композиции согласно изобретению, в особенности можно назвать соединения, указанные в следующих заявках на патенты и патентах: патент США 5441863; патенты Японии 62-279337, 06-236011 и 07-092632, содержание которых входит составной частью в настоящую заявку. В качестве имидазолоазольных производных в особенности можно назвать: – 7,8-дицианоимидазол[3,2-а]имидазол; – 7,8-дициано-4-метилимидазол[3,2-а]имидазол; и их соли присоединения с кислотой. Из пиразолопиримидиновых производных, используемых в качестве гетероциклического краскообразующего компонента в готовой к употреблению красящей композиции согласно изобретению, в особенности можно назвать соединения, указанные в заявке на Европейский патент А-304001, содержание которой входит составной частью в настоящую заявку. В качестве пиразолопиримидиновых производных в особенности можно назвать: – пиразол[1,5-а]пиримидин-7-он; – 2,5-диметилпиразол[1,5-а]пиримидин-7-он; – 2-метил-6-этоксикарбонилпиразол[1,5-а]пиримидин-7-он; – 2-метил-5-метоксиметилпиразол[1,5-а]пиримидин-7-он; 2-трет.-бутил-5-трифторметилпиразол[1,5-а]пиримидин-7-он; – 2,7-диметилпиразол[1,5-а]пиримидин-7-он; и их соли присоединения с кислотой. Из производных пиразолин-3,5-дионов, используемых в качестве гетероциклического краскообразующего компонента в готовой к употреблению красящей композиции согласно изобретению, в особенности можно назвать соединения, указанные в следующих заявках на патенты и патентах: Японии 07-036159, Японии 07-084348 и США 4128425, и в следующих публикациях: – L. Wyzgowska, Acta. Pol. Pharm., 39 (1-3), 83 [1982]; – E. Hannig, Pharmazie, 35 (4), 231 [1980]; – M.H. Elnagdi, Bull. Chem. Soc. Jap., 46 (6), 1830 [1973]; – G. Cardillo, Gazz. Chim. Ital., 96 (8-9), 973 [1966]; содержание которых входит составной частью в настоящую заявку. В качестве производных пиразолин-3,5-дионов в особенности можно назвать: – 1,2-дифенилпиразолин-3,5-дион; – 1,2-диэтилпиразолин-3,5-дион; и их соли присоединения с кислотой. Из пиррол[3,2-d]оксазольных производных, используемых в качестве гетероциклического краскообразующего компонента в готовой к употреблению красящей композиции согласно изобретению, в особенности можно назвать соединения, указанные в заявке на патент Японии 07-325375, содержание которой входит составной частью в настоящую заявку. Из пиразол[3,4-d]тиазольных производных, используемых в качестве гетероциклического краскообразующего компонента в готовой к употреблению красящей композиции согласно изобретению, в особенности можно назвать соединения, описанные в заявке на патент Японии 07-244361 и в J.Heterocycl.Chem., 1613 [1979]. Из S-оксидотиазолоазольных и S,S-диоксидотиазолоазольных производных, используемых в качестве гетероциклического краскообразующего компонента в готовой к употреблению красящей композиции согласно изобретению, в особенности можно назвать соединения, описанные в следующих документах: – заявка на патент Японии 07-098489; – Химия гетероциклических соединений, 93 [1967]; – J. Prakt. Chem., 318, 12 [1976]; – Indian J. Heterocycl. Chem., 5 (2), 135 [1995]; – Acta Pol. Pharm., 52 (5), 415 [1995]; – Heterocycl. Commun., 1 (4), 297 [1995]; – Arch. Pharm., (Weinheim, Германия), 327 (12), 825 [1994]. Гетероциклический фиксирующийся при окислении краситель или гетероциклические фиксирующиеся при окислении красители, то есть гетероциклическое окисляющееся основание или гетероциклические окисляющиеся основания и/или гетероциклический краскообразующий компонент или гетероциклические краскообразующие компоненты, составляют предпочтительно около 0,0001-12 мас.%, по отношению к общей массе готовой к употреблению красящей композиции и еще более предпочтительно около 0,005-6 мас.% по отношению к этой массе. Готовая к употреблению красящая композиция согласно изобретению может также содержать, кроме вышеуказанных гетероциклических фиксирующихся при окислении красителей, по крайней мере одно бензольное окисляющееся основание и/или по крайней мере один бензольный краскообразующий компонент, и/или по крайней мере один прямой краситель, в частности, для изменения оттенков или обогащения их отливами. Из бензольных окисляющих оснований, которые могут находиться в качестве дополнительных в готовой к употреблению красящей композиции согласно изобретению, можно, в частности, назвать п-фенилендиамины, бисфенилалкилендиамины, о-фенилендиамины, п-аминофенолы, о-аминофенолы и их соли присоединения с кислотой. Эти бензольные окисляющиеся основания, когда их используют, составляют предпочтительно около 0,0005-12 мас.%, по отношению к общей массе красящей композиции, и еще более предпочтительно около 0,005-6 мас.% по отношению к этой массе. Из бензольных краскообразующих компонентов, которые могут находиться в качестве дополнительных в готовой к употреблению красящей композиции согласно изобретению, можно, в частности, назвать м-фенилендиамины, м-аминофенолы, м-дифенолы и их соли присоединения с кислотой. Эти бензольные краскообразующие компоненты, когда они присутствуют, составляют предпочтительно около 0,0001-10 мас.%, по отношению к общей массе готовой к употреблению красящей композиции, и еще более предпочтительно около 0,005-5 мас.% по отношению к этой массе. Как правило, соли присоединения с кислотой, используемые в рамках красящих композиций согласно изобретению (соли окисляющихся оснований и краскообразующих компонентов), выбирают, в частности, среди гидрохлоридов, гидробромидов, сульфатов и тартратов, лактатов и ацетатов. Подходящая для окраски среда (или носитель) готовой к употреблению красящей композиции согласно изобретению обычно образована водой или смесью воды по крайней мере с одним органическим растворителем для солюбилизации соединений, которые недостаточно растворимы в воде. Величину рН готовой к употреблению композиции согласно изобретению выбирают таким образом, чтобы была достаточной ферментативная активность лакказы. Обычно величина рН составляет примерно от 4 до 11, и предпочтительно примерно от 6 до 9. Ее можно доводить до желаемого значения с помощью подкисляющих или подщелачивающих компонентов, обычно используемых при окраске кератиновых волокон. Готовая к употреблению красящая композиция согласно изобретению также может включать различные добавки, обычно используемые в композициях для окраски волос, такие как анионные, катионные, неионные, амфотерные, цвиттерионные поверхностно-активные вещества или их смеси; полимеры; антиоксиданты; ферменты, отличные от используемых согласно изобретению лакказ, такие как, например, пероксидазы или оксидоредуктазы с двумя электронами; способствующие пенетрации компоненты, комплексообразователи, отдушки, буферы, диспергаторы, пленкообразующие компоненты, консерванты, матирующие компоненты, загустители, витамины. Разумеется, специалист должен выбирать это или эти возможные дополнительные соединения таким образом, чтобы не ухудшать или существенно не ухудшать, за счет предусматриваемой добавки или предусматриваемых добавок, выгодные свойства, присущие готовой к употреблению красящей композиции согласно изобретению. Готовая к употреблению красящая композиция согласно изобретению может находиться в различных формах, таких как жидкости, кремы, гели или возможно находящиеся под давлением гели, или в любой другой форме, пригодной для осуществления окраски кератиновых волокон, и, в частности, человеческих волос. В этом случае гетероциклический фиксирующийся при окислении краситель или гетероциклические фиксирующиеся при окислении красители и в известных случаях дополнительный или дополнительные фиксирующиеся при окислении красители и фермент или ферменты типа лакказы находятся в одной и той же готовой к употреблению композиции и, следовательно, вышеуказанная композиция не должна содержать газообразного кислорода, чтобы избежать преждевременного окисления фиксирующегося при окислении красителя или фиксирующихся при окислении красителей. Предметом изобретения также является способ окраски кератиновых волокон, и в частности, кератиновых волокон человека, таких как волосы, при котором используют готовую к употреблению красящую композицию, такую как указанная выше. Согласно этому способу, на волокна наносят по крайней мере одну готовую к употреблению красящую композицию, такую как указанная выше, на время, достаточное для проявления желаемой окраски, после чего волокна ополаскивают, в случае необходимости моют шампунем, снова ополаскивают и высушивают. Время, необходимое для проявления окраски на кератиновых волокнах, как правило, составляет от 3 до 60 минут и еще более точно от 5 до 40 минут. Согласно особому варианту осуществления изобретения, способ включает предварительный этап, заключающийся в хранении в отдельной форме, с одной стороны, композиции (А), содержащей в подходящей для окраски среде по крайней мере один фиксирующийся при окислении краситель, выбираемый из гетероциклических окисляющихся оснований и гетероциклических краскообразующих компонентов, такой как указанный выше, и, с другой стороны, композиции (Б), включающей, в подходящей для окраски среде, по крайней мере один фермент типа лакказы, затем в осуществлении их смешения в момент употребления перед нанесением этой смеси на кератиновые волокна. Следующим предметом изобретения является устройство с несколькими отделениями или “набор” для окраски или любая другая система упаковки с несколькими отделениями, первое отделение которого содержит композицию (А), такую как указанная выше, и второе отделение содержит композицию (Б), такую как указанная выше. Эти устройства могут быть снабжены средством, позволяющим наносить на волосы желаемую смесь, таким, как приспособления, описанные в патенте Франции 2586913 на имя заявителя. Нижеследующий пример предназначен для иллюстрации изобретения, никоим образом не ограничивая его объема охраны. Пример 1 окраски Приготовляют готовые к употреблению красящие композиции (содержания указаны в граммах), приведенные в табл.1. Каждую из вышеуказанных готовых к употреблению красящих композиций наносят на 40 минут при температуре 30oС на пряди натуральных седых волос с 90% седины. Волосы затем ополаскивают, моют обычным шампунем, потом высушивают. Волосы окрашиваются в оттенки, указанные в табл.2. В вышеуказанных красящих композициях, лакказа из Rhus vernicifera, со 180 ед/мг, выпускаемая фирмой Sigma, может быть заменена на 1,0 г лакказы из Pyricularia Orizae, со 100 ед/мг, выпускаемой фирмой I.C.N. Формула изобретения
-гидроксиэтиламино-5-метилпиразол[1,5-a] пиримидина, 2-(7-аминопиразол[1,5-a] пиримидин-3-иламино)этанола, 2-[(3-аминопиразол[1,5-a] пиримидин-7-ил)-(2-гидроксиэтил)амино] этанола, 2-[(7-аминопиразол [1,5-а] пиримидин-3-ил)-(2-гидроксиэтил)амино] этанола, 5,6-диметилпиразол[1,5-a] пиримидин-3,7-диамина, 2,6-диметилпиразол[1,5-a] пиримидин-3,7-диамина, 2,5, N-7, N-7-тетраметилпиразол [1,5-a] -пиримидин-3,7-диамина, их солей присоединения и их таутомерных форм, когда существует таутомерное равновесие.
10. Композиция по п. 7, отличающаяся тем, что пиразольные производные выбирают из группы, состоящей из 4,5-диаминопиразола, 4,5-диамино-1-метилпиразола, 1-бензил-4,5-диаминопиразола, 3,4-диаминопиразола, 1-бензил-4,5-диамино-3-метилпиразола, 4-амино-1,3-диметил-5-гидразинопиразола, 4,5-диамино-3-метил-1-фенилпиразола, 4,5-диамино-3-метил-1-трет. -бутилпиразола, 4,5-диамино-1-метил-3-трет. -бутилпиразола, 4,5-диамино-1-этил-3-метилпиразола, 4,5-диамино-1-этил-3-(4′-метоксифенил)пиразола, 4,5-диамино-1-этил-3-гидроксиметилпиразола, 4,5-диамино-3-гидроксиметил-1-метилпиразола, 4,5-диамино-3-гидроксиметил-1-изопропилпиразола, 4,5-диамино-3-метил-1-изопропилпиразола и их солей присоединения с кислотой.
11. Композиция по п. 1, отличающаяся тем, что гетероциклический краскообразующий компонент или гетероциклические краскообразующие компоненты выбирают из производных бензимидазола, производных бензоморфолина, производных сезамола, пиразолоазольных производных, пирролоазольных производных, имидазолоазольных производных, пиразолопиримидиновых производных, производных пиразолин-3,5-дионов, пиррол[3,2-d] оксазольных производных, пиразол[3,4-d] тиазольных производных, S-оксидотиазолоазольных производных, S, S-диоксидотиазолоазольных производных и их солей присоединения с кислотой.
12. Композиция по п. 11, отличающаяся тем, что производные бензимидазола выбирают из соединений следующей формулы I:![]() в которой R1 означает атом водорода, (С1-С4)-алкил; R2 означает атом водорода, (С1-С4)-алкил или фенил; R3 означает гидроксил, аминогруппу или метоксигруппу; R4 означает атом водорода, гидроксил, метоксигруппу, (С1-С4)-алкил; при условии, что когда R3 означает аминогруппу, тогда он занимает положение 4; когда R3 занимает положение 4, тогда R4 находится в положении 7; когда R3 занимает положение 5, тогда R4 находится в положении 6, и их солей присоединения с кислотой. 13. Композиция по п. 12, отличающаяся тем, что производные бензимидазола выбирают из группы, состоящей из 4-гидроксибензимидазола, 4-аминобензимидазола, 4-гидрокси-7-метилбензимидазола, 4-гидрокси-2-метилбензимидазола, 1-бутил-4-гидроксибензимидазола, 4-амино-2-метилбензимидазола, 5,6-дигидроксибензимидазола, 5-гидрокси-6-метоксибензимидазола, 4,7-дигидроксибензимидазола, 4,7-дигидрокси-1-метилбензимидазола, 4,7-диметоксибензимидазола, 5,6-дигидрокси-1-метилбензимидазола, 5,6-дигидрокси-2-метилбензимидазола, 5,6-диметоксибензимидазола и их солей присоединения с кислотой. 14. Композиция по п. 11, отличающаяся тем, что производные бензоморфолина выбирают из соединений следующей формулы II: ![]() в которой R5 и R6, одинаковые или разные, означают атом водорода или (С1-С4)-алкил; Z означает гидроксил или аминогруппу, и их солей присоединения с кислотой. 15. Композиция по п. 14, отличающаяся тем, что производные бензоморфолина выбирают из группы, состоящей из 6-гидрокси-1,4-бензоморфолина, N-метил-6-гидрокси-1,4-бензоморфолина, 6-амино-1,4-бензоморфолина и их солей присоединения с кислотой. 16. Композиция по п. 11, отличающаяся тем, что производные семазола выбирают из соединений следующей формулы III: ![]() в которой R7 означает гидроксил, амино-, (C1-C4)-алкиламино-, моногидрокси-(C1-C4)-алкиламино- или полигидрокси-(C2-C4)-алкиламиногруппу; R8 – означает атом водорода или галогена или (С1-С4)-алкокси, и их солей присоединения с кислотой. 17. Композиция по п. 16, отличающаяся тем, что производные семазола выбирают из группы, состоящей из 2-бром-4,5-метилендиоксифенола, 2-метокси-4,5-метилендиоксианилина, 2-( -гидроксиэтил)амино-4,5-метилендиоксибензола и их солей присоединения с кислотой.
18. Композиция по п. 11, отличающаяся тем, что пиразолоазольные производные выбирают из группы, состоящей из 2-метилпиразол [1,5-b] -1,2,4-триазола, 2-этилпиразол [1,5-b] -1,2,4-триазола, 2-изопропилпиразол [1,5-b] -1,2,4-триазола, 2-фенилпиразол [1,5-b] -1,2,4-триазола, 2,6-диметилпиразол [1,5-b] -1,2,4-триазола, 7-хлор-2,6-диметилпиразол [1,5-b] -1,2,4-триазола, 3,6-диметилпиразол [3,2-c] -1,2,4-триазола, 6-фенил-3-метилтиопиразол [3,2-c] -1,2,4-триазола, 6-аминопиразол [1,5-a] бензимидазола и их солей присоединения с кислотой.
19. Композиция по п. 11, отличающаяся тем, что пирролоазольные производные выбирают из группы, состоящей из 5-циано-4-этоксикарбонил-8-метилпиррол [1,2-b] -1,2,4-триазола, 5-циано-8-метил-4-фенилпиррол [1,2-b] -1,2,4-триазола, 7-амидо-6-этоксикарбонилпиррол [1,2-a] бензимидазола и их солей присоединения с кислотой.
20. Композиция по п. 11, отличающаяся тем, что имидазолоазольные производные выбирают из группы, состоящей из 7,8-дицианоимидазол [3,2-a] имидазола, 7,8-дициано-4-метилимидазол [3,2-a] имидазола и их солей присоединения с кислотой.
21. Композиция по п. 11, отличающаяся тем, что пиразолопиримидиновые производные выбирают из группы, состоящей из пиразол [1,5-a] пиримидин-7-она, 2,5-диметилпиразол [1,5-a] пиримидин-7-она, 2-метил-6-этоксикарбонилпиразол [1,5-a] пиримидин-7-она, 2-метил-5-метоксиметилпиразол [1,5-a] пиримидин-7-она, 2-трет. -бутил-5-трифторметилпиразол [1,5-a] пиримидин-7-она, 2,7-диметилпиразол [1,5-a] пиримидин-7-она и их солей присоединения с кислотой.
22. Композиция по п. 11, отличающаяся тем, что производные пиразолин-3,5-дионов выбирают из группы, состоящей из 1,2-дифенилпиразолин-3,5-диона, 1,2-диэтилпиразолин-3,5-диона и их солей присоединения с кислотой.
23. Композиция по п. 1, отличающаяся тем, что гетероциклический фиксирующийся при окислении краситель или гетероциклические фиксирующиеся при окислении красители составляют 0,0001-12 мас. % по отношению к общей массе красящей композиции.
24. Композиция по п. 23, отличающаяся тем, что гетероциклический фиксирующийся при окислении краситель или гетероциклические фиксирующиеся при окислении красители составляют 0,005-6 мас. % по отношению к общей массе красящей композиции.
25. Композиция по п. 1, отличающаяся тем, что она дополнительно содержит по крайней мере одно бензольное окисляющее основание, выбираемое из п-фенилендиаминов, бисфенилалкилендиаминов, о-фенилендиаминов, п-аминофенолов, о-аминофенолов и их солей присоединения с кислотой, и/или по крайней мере один бензольный краскообразующий компонент, выбираемый из м-фенилендиамино, м-аминофенолов, м-дифенолов и их солей присоединения с кислотой, и/или по крайней мере один прямой краситель.
26. Композиция по пп. 7-22, 25, отличающаяся тем, что соли присоединения с кислотой выбирают из гидрохлоридов, гидробромидов, сульфатов и тартратов, лактатов и ацетатов.
27. Композиция по п. 1, отличающаяся тем, что подходящая для окраски среда образована водой или смесью воды по крайней мере с одним органическим растворителем.
28. Композиция по п. 1, отличающаяся тем, что она имеет значение рН 4-11.
29. Способ окислительной окраски кератиновых волокон, в частности волос, отличающийся тем, что на указанные волокна наносят по крайней мере одну красящую композицию, такую, как указанная в любом из пп. 1-28, на время, достаточное для проявления желаемой окраски.
30. Способ по п. 29, отличающийся тем, что композицию А, содержащую в подходящей для окраски среде по крайней мере один гетероциклический фиксирующийся при окислении краситель по пп. 1, 7-24 и 26, смешивают перед нанесением на кератиновые волокна с композицией Б, включающей в подходящей для окраски среде по крайней мере один фермент типа лакказы.
31. Набор для окислительной окраски кератиновых волокон, в частности волос, отличающийся тем, что он включает отделение, содержащее композицию А по п. 30, и отделение, содержащее композицию Б по п. 30.
РИСУНКИ
MM4A Досрочное прекращение действия патента Российской Федерации на изобретение из-за неуплаты в установленный срок пошлины за поддержание патента в силе
Дата прекращения действия патента: 23.12.2003
Извещение опубликовано: 10.05.2005 БИ: 13/2005
|
||||||||||||||||||||||||||

-гидроксиэтиламино-5-метилпиразол [1,5-а] пиримидин, 2-(7-аминопиразол[1,5-а] пиримидин-3-иламино)этанол, 2-[(3-аминопиразол[1,5-а]пиримидин-7-ил)-(2-гидроксиэтил)амино]этанол, 2-[(7-аминопиразол[1,5-а]пиримидин-3-ил)-(2-гидроксиэтил)амино] этанол, 5,6-диметилпиразол[1,5-а]пиримидин-3,7-диамин, 2,6-диметилпиразол[1,5-а]пиримидин-3,7-диамин, 2,5,N-7,N-7-тетраметилпиразол[1,5-а] пиримидин-3,7-диамин и их соли присоединения и их таутомерные формы, когда существует таутомерное равновесие.
Из пиразольных производных в особенности можно назвать соединения, указанные в патентах или заявках на патенты ФРГ 3843892, 4133957, 4234886, 4234887; Франции 2733749, 2735685; в международных заявках на патент 94/08969 и 94/08970; такие как 4,5-диаминопиразол, 4,5-диамино-1-метилпиразол, 1-бензил-4,5-диаминопиразол, 3,4-диаминопиразол, 1-бензил-4,5-диамино-3-метилпиразол, 4-амино-1,3-диметил-5-гидразинопиразол, 4,5-диамино-3-метил-1-фенилпиразол, 4,5-диамино-3-метил-1-трет.-бутилпиразол, 4,5-диамино-1-метил-3-трет.-бутилпиразол, 4,5-диамино-1-этил-3-метилпиразол, 4,5-диамино-1-этил-3-(4′-метоксифенил)пиразол, 4,5-диамино-1-этил-3-гидроксиметилпиразол, 4,5-диамино-3-гидроксиметил-1-метилпиразол, 4,5-диамино-3-гидроксиметил-1-изопропилпиразол, 4,5-диамино-3-метил-1-изопропилпиразол и их соли присоединения с кислотой.
Из гетероциклических краскообразующих компонентов, используемых в готовой к употреблению красящей композиции согласно изобретению, можно, в частности, назвать производные бензимидазола, производные бензоморфолина, производные сезамола, пиразолазольные производные, пирролоазольные производные, имидазолоазольные производные, пиразолопиримидиновые производные, производные пиразолин-3,5-дионов, пиррол[3,2-d] оксазольные производные, пиразол [3, 4-d] тиазольные производные, S-оксидотиазолоазольные производные, S,S-диоксидотиазолоазольные производные и их соли присоединения с кислотой.
Из производных бензимидазола, используемых в качестве гетероциклических краскообразующих компонентов в красящей композиции согласно изобретению, в особенности можно назвать соединения следующей формулы (I):




