Патент на изобретение №2200538
|
||||||||||||||||||||||||||
(54) КОМПОЗИЦИЯ ДЛЯ ОКРАСКИ КЕРАТИНОВЫХ ВОЛОКОН, СПОСОБ ИХ ОКРАСКИ (ВАРИАНТЫ), НАБОР ДЛЯ ОКРАСКИ КЕРАТИНОВЫХ ВОЛОКОН
(57) Реферат: Изобретение относится к красящей композиции для кератиновых волокон, в частности волос, включающей, в подходящей для окраски среде, прямой катионной краситель заданной формулы и отличающейся тем, что она содержит, кроме того, неионное поверхностно-активное вещество, выбираемое из группы, состоящей из алкилполиглюкозидов, эфиров на основе жирных кислот и сахара или алкилсахара, жирных сахароамидов и их смесей. Изобретение также относится к способам и набору для окраски, в которых используют эту композицию. Изобретение обеспечивает интенсивные и малоизбирательные окраски волокон, устойчивых к различным агрессивным воздействиям. 6 с. и 33 з.п. ф-лы, 1 табл. Текст описания в факсимильном виде (см. чертежи) То Формула изобретения
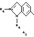
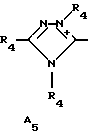
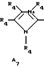
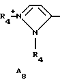
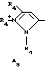
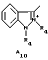
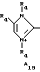
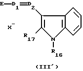
а) соединения следующей формулы (I): ![]() в которой D означает атом азота или группу -СН; R1 и R2, одинаковые или разные, означают атом водорода; (C1-C4)-алкил, который может быть замещен радикалом -CN, -ОН или -NH2; или вместе с атомом углерода бензольного кольца образуют в известных случаях кислород- или азотсодержащий гетероцикл, который может быть замещен одним или несколькими (C1-C4)-алкильными радикалами; 4′-аминофенил; R3 и R’3, одинаковые или разные, означают атом водорода или галогена, выбираемый среди атомов хлора, брома, иода и фтора, цианогруппу, (C1-C4)-алкил, (C1-C4)-алкоксил или ацетилоксигруппу; Х– означает анион, предпочтительно выбираемый из хлор-, метилсульфат- и ацетат-аниона; А означает группу, выбираемую среди следующих структур А1-А19: ![]() ![]() ![]() ![]() ![]() ![]() ![]() ![]() ![]() ![]() ![]() ![]() ![]() ![]() ![]() ![]() ![]() ![]() ![]() в которых R4 означает (C1-C4)-алкил, который может быть замещен гидроксилом; R5 означает (C1-C4)-алкоксил; при условии, что, когда D означает -СН, А означает А4 или A13 и R3 отличается от алкоксила, тогда R1 и R2 не означают одновременно атом водорода; б) соединения следующей формулы (II): ![]() в которой R6 означает атом водорода или (C1-C4)-алкил; R7 означает атом водорода; алкил, который может быть замещен радикалом -CN или аминогруппой; 4′-аминофенил или вместе с 6 образует в известных случаях кислородсодержащий и/или азотсодержащий гетероцикл, который может быть замещен (C1-C4)-алкилом; R8 и R9, одинаковые или разные, означают атом водорода; атом галогена, такой как атом брома, хлора, иода или фтора; (C1-C4)-алкил или (С1-С4)-алкоксил, радикал -CN; Х– означает анион, предпочтительно выбираемый из хлор-, метилсульфат- и ацетат-аниона; В означает группу, выбираемую среди следующих структур В1-В6: ![]() ![]() ![]() ![]() ![]() ![]() в которых R10 означает (C1-C4)-алкил; R11 и R12, одинаковые или разные, означают атом водорода или (C1-C4)-алкил; в) соединения следующих формул (III) и (III’): ![]() ![]() в которых R13 означает атом водорода, (C1-C4)-алкоксил, атом галогена, такой как атом брома, хлора, иода или фтора, или аминогруппу; R14 означает атом водорода, (C1-C4)-алкил или вместе с атомом углерода бензольного кольца образует гетероцикл, в известных случаях кислородсодержащий и/или замещенный одной или несколькими (C1-C4)-алкильными группами; R15 означает атом водорода или галогена, такой как атом брома, хлора, иода или фтора; R16 и R17, одинаковые или разные, означают атом водорода или (C1-C4)-алкил; D1 и D2, одинаковые или разные, означают атом азота или группу -СН; m= 0 или 1; при условии, что, когда R13 означает незамещенную аминогруппу, тогда D1 и D2 означают одновременно группу -СН и m= 0; X– означает анион, предпочтительно выбираемый из хлор-, метилсульфат- и ацетат-аниона; Е означает группу, выбираемую среди следующих структур Е1-Е8: ![]() ![]() ![]() ![]() ![]() ![]() ![]() ![]() в которых R’ означает (C1-C4)-алкил; причем, когда m= 0 и D1 означает атом азота, тогда Е также может означать группу следующей структуры Е9: ![]() в которой R’ означает (C1-C4)-алкил; г) соединения следующей формулы (IV): G – N = N – J (IV) в которой символ G означает группу, выбираемую среди следующих структур G1-G3: ![]() ![]() ![]() в которых R18 означает (C1-C4)-алкил; фенил, который может быть замещен (C1-C4)-алкилом или атомом галогена, выбираемым среди атомов хлора, брома, иода и фтора; R19 означает (C1-C4)-алкил или фенил; R20 и R21, одинаковые или разные, означают (C1-C4)-алкил, фенил, или в G1 вместе образуют бензольное кольцо, замещенное одним или несколькими (C1-C4)-алкильными радикалами, (C1-C4)-алкоксильными радикалами или группой NO2; или в G2 вместе образуют бензольное кольцо, незамещенное или замещенное одним или несколькими (C1-C4)-алкильными радикалами, (C1-C4)-алкоксильными радикалами или группой NO2; R20 может означать, кроме того, атом водорода; Z означает атом кислорода, серы или группу -NR19; М означает группу -СН, -CR (где R означает (C1-C4)-алкил) или -NR22(X–)r; К означает группу -СН, -CR (где R означает (C1-C4)-алкил) или -NR22(X–)r; Р означает группу -СН, -CR (где R означает (C1-C4)-алкил) или -NR22(Х–)r; r= 0 или 1; R22 означает атом О–, (C1-C4)-алкоксил или (C1-C4)-алкил; R23 и R24, одинаковые или разные, означают атом водорода или галогена, выбираемый среди атомов хлора, брома, иода и фтора, (C1-C4)-алкил, (C1-C4)-алкоксил, группу -NO2; X– означает анион, предпочтительно выбираемый из хлор-, иод-, метилсульфат-, этилсульфат-, ацетат- и перхлорат-аниона; при условии, что если R22 означает О–, тогда r= 0; если К или Р или М означают -N-(C1-C4)-алкил-Х–, тогда R23 или R24 отличается от атома водорода; если К означает -NR22(X–)r, тогда М= Р= -СН, -CR; если М означает -NR22(X–)r, тогда К= Р= -СН, -CR; если Р означает -NR22(X–)r, тогда К= М и означают -СН или -CR; если Z означает атом серы, a R21 означает (C1-C4)-алкил, тогда R20 отличается от атома водорода; если Z означает -NR18 с R19, означающим (C1-C4)-алкил, тогда по крайней мере один из радикалов R18, R20 или R21 в G2 отличается от (C1-C4)-алкила; J означает: (а) группу следующей структуры J1: ![]() в которой R25 означает атом водорода, атом галогена, выбираемый среди атомов хлора, брома, иода и фтора, (C1-C4)-алкил, (C1-C4)-алкоксил, радикал -ОН, -NО2, -NHR28, -NR29R30, -NHCO-(C1-C4)-алкил, или вместе с R26 образует 5- или 6-членный цикл, не содержащий или содержащий один или несколько гетероатомов, выбираемых среди атомов азота, кислорода или серы; R26 означает атом водорода, атом галогена, выбираемый среди атомов хлора, брома, иода и фтора, (C1-C4)-алкил, (C1-C4)-алкоксил, или вместе с R27 и R28 образует 5- или 6-членный цикл, не содержащий или содержащий один или несколько гетероатомов, выбираемых среди атомов азота, кислорода или серы; R27 означает атом водорода, группу -ОН, радикал -NHR28, радикал -NR29R30; R28 означает атом водорода, (C1-C4)-алкил, моногидрокси-(C1-C4)-алкил, полигидрокси-(С2-С4)-алкил, фенил; R29 и R30, одинаковые или разные, означают (C1-C4)-алкил, моногидрокси-(C1-C4)-алкил, полигидрокси-(С2-С4)-алкил; (б) 5- или 6-членную азотсодержащую гетероциклическую группу, которая может включать другие гетероатомы и/или карбонилсодержащие группы и может быть замещена одним или несколькими (C1-C4)-алкильными, амино- или фенильными радикалами, и в частности, группу следующей структуры J2: ![]() в которой R31 и R32, одинаковые или разные, означают атом водорода, (C1-C4)-алкил, фенил; Y означает радикал -СО- или радикал ![]() n= 0 или 1, причем когда n = 1, U означает радикал -СО-; причем вышеуказанная композиция отличается тем, что она содержит, кроме того, (ii) по крайней мере одно неионное поверхностно-активное вещество, выбираемое из группы, состоящей из: (ii)1 – алкилполиглюкозидов; (ii)2 – эфиров на основе жирных кислот и сахара или алкилсахара; (ii)3 – жирных сахароамидов; (ii)4 – их смесей. 2. Композиция по п. 1, отличающаяся тем, что прямые катионные красители формулы (I) выбирают из соединений, отвечающих следующим структурам (I1) – (I54) (см. графическую часть). 3. Композиция по п. 2, отличающаяся тем, что прямые катионные красители отвечают структурам (I1), (I2), (I14) и (I31). 4. Композиция по п. 1, отличающаяся тем, что прямые катионные красители формулы (II) выбирают из соединений, отвечающих следующим структурам (II1)-(I19) (см. графическую часть). 5. Композиция по п. 1, отличающаяся тем, что прямые катионные красители формулы (III) выбирают из соединений, отвечающих следующим структурам (III1)-(III18) (см. графическую часть) 6. Композиция по п. 5, отличающаяся тем, что прямые катионные красители формулы (III) выбирают из соединений, отвечающих структурам (III4), (III5) и (III13). 7. Композиция по п. 1, отличающаяся тем, что прямые катионные красители формулы (III’) выбирают из соединений, отвечающих следующим структурам (III’1)-(III’3) (см. графическую часть). 8. Композиция по п. 1, отличающаяся тем, что прямые катионные красители формулы (IV) выбирают из соединений, отвечающих следующим структурам (IV)1-(IV)77 (см графическую часть). 9. Композиция по любому из пп. 1-8, отличающаяся тем, что прямой катионный краситель или прямые катионные красители формул (I), (II), (III), (III’) или (IV) составляют 0,001-10 мас. % по отношению к общей массе композиции. 10. Композиция по п. 9, отличающаяся тем, что прямой катионный краситель или прямые катионные красители формул (I), (II), (III), (III’) или (IV) составляют 0,005-5 мас. % по отношению к общей массе композиции. 11. Композиция по п. 1, отличающаяся тем, что неионное поверхностно-активное вещество (ii) алкилполиглюкозидного типа представляет собой соединение следующей формулы (V): R1-O-(R2-O-)a-(-L-)b— (V) в которой R1 означает линейный или разветвленный алкил и/или алкенил, содержащий примерно 8-24 атомов углерода; алкилфенил, линейная или разветвленная алкильная группа которого содержит примерно 8-24 атомов углерода; R2 означает алкиленовый радикал с 2-4 атомами углерода; L означает дезозу (молекулу восстановленного сахара) с 5-6 атомами углерода; a= 0-10; b= 1-15. 12. Композиция по п. 11, отличающаяся тем, что в формуле (V) R1 означает линейный или разветвленный алкил и/или алкенил с 9-14 атомами углерода, а= 0, L означает глюкозу, b= 1-4. 13. Композиция по п. 1, отличающаяся тем, что неионное поверхностно-активное вещество (ii) типа эфира на основе жирной кислоты и сахара или алкилсахара (ii)2, представляет собой эфир на основе жирной кислоты с 4-22 атомами углерода и сахара или эфир на основе жирной кислоты с 4-22 атомами углерода и (C1-C4)-алкилсахара. 14. Композиция по п. 13, отличающаяся тем, что неионное поверхностно-активное вещество (ii) представляет собой моноэфир на основе жирной кислоты с 4-22 атомами углерода и глюкозы или сахарозы. 15. Композиция по п. 13, отличающаяся тем, что неионное поверхностно-активное вещество (ii) представляет собой эфир на основе жирной кислоты с 4-22 атомами углерода и метилглюкозида, этилглюкозида или бутилглюкозида. 16. Композиция по п. 15, отличающаяся тем, что неионное поверхностно-активное вещество (ii) представляет собой эфир на основе жирных кислот с 12-18 атомами углерода и бутилглюкозида, или метилглюкозидмоностеарат. 17. Композиция по п. 1, отличающаяся тем, что неионное поверхностно-активное вещество типа жирного сахароамида (ii)3 выбирают из: (ii)3 (а) N-замещенных альдонамидов и (ii)3 (б) полигидроксилированных амидов жирных кислот или их смесей. 18. Композиция по п. 17, отличающаяся тем, что N-замещенные альдонамиды (ii)3 (а) выбирают из: (i) N-замещенных лактобионамидов, N-замещенных мальтобионамидов, N-замещенных целлобионамидов, N-замещенных меллибионамидов и N-замещенных гентиобионамидов; (ii) эфиров N-лактобиониламинокислоты, эфиров N-мальтобиониламинокислоты, эфиров N-меллибиониламинокислоты, эфиров N-целлобиониламинокислоты и эфиров N-гентиобиониламинокислоты; (iii) N-(алкилокси)алкиллактобионамидов; (iv) N-(полиалкилокси)алкиллактобионамидов, N-(полиалкилокси)алкилмальтобионамидов, N-(полиалкилокси)алкилцеллобионамидов, N-(полиалкилокси)алкилмеллибионамидов или N-(полиалкилокси)алкилгентиобионамидов. 19. Композиция по п. 17, отличающаяся тем, что полигидроксилированный амид жирной кислоты (ii)3 (b) представляет собой соединение следующей формулы (VI): ![]() в которой Т означает углеводородную группу с 5-31 атомами углерода, предпочтительно линейную алкильную или алкенильную цепь с 7-15 атомами углерода или их смеси; V означает атом водорода, углеводородный радикал с 1-4 атомами углерода, 2-гидроксиэтил, 2-гидроксипропил или их смеси, предпочтительно (C1-C4)-алкил и более предпочтительно метил; W означает полигидроксиуглеводородную группу, включающую линейную углеводородную цепь по крайней мере с тремя гидроксильными группами, непосредственно связанными с цепью; или алкоксилированное производное вышеуказанной группы. 20. Композиция по п. 19, отличающаяся тем, что W означает производное восстанавливающего сахара, получаемое путем реакции восстановительного аминирования, и предпочтительно глицитильную группу. 21. Композиция по п. 19 или 20, отличающаяся тем, что W выбирают из групп следующих формул: -СН2-(СНОН)n-CH2OH; -СН-(СН2OН)-(СНОН)n-1-CH2OH; -CH2-(СНОН)2(CHOR’)(СНОН)-СН2ОН; в которых n означает целое число от 3 до 5; R’ означает водород, циклический или алифатический моносахарид или одно из его алкоксилированных производных. 22. Композиция по п. 21, отличающаяся тем, что W означает группу -CH2-(СНОН)4-СН2OН. 23. Композиция по любому из пп. 19-22, отличающаяся тем, что в формуле (VI) группу T-CON= выбирают из амида жирной кислоты кокосового масла, стеарамида, олеамида, лаурамида, миристинамида, каприкамида, пальмитамида и амида жирной кислоты жиров. 24. Композиция по п. 1, отличающаяся тем, что неионное поверхностно-активное вещество или неионные поверхностно-активные вещества (ii) составляют 0,05-30 мас. % по отношению к общей массе композиции. 25. Композиция по п. 24, отличающаяся тем, что неионное поверхностно-активное вещество или неионные поверхностно-активные вещества составляют 0,1-15 мас. % по отношению к общей массе композиции. 26. Композиция по п. 1, отличающаяся тем, что подходящая для окраски среда (или носитель) образована водой или смесью воды по крайней мере с одним органическим растворителем. 27. Композиция по п. 1, отличающаяся тем, что она имеет значение рН 2-11 и предпочтительно 5-10. 28. Композиция по п. 1, отличающаяся тем, что она предназначена для окислительной окраски и дополнительно содержит одно или несколько окисляющихся оснований, выбираемых из п-фенилендиаминов, бисфенилалкилен-диаминов, п-аминофенолов, о-аминофенолов и гетероциклических оснований. 29. Композиция по п. 28, отличающаяся тем, что окисляющееся основание или окисляющиеся основания составляют 0,0005-12 мас. % по отношению к общей массе красящей композиции. 30. Композиция по п. 29, отличающаяся тем, что окисляющееся основание или окисляющиеся основания составляют 0,005-6 мас. % по отношению к общей массе красящей композиции. 31. Композиция по любому из пп. 28-30, отличающаяся тем, что она дополнительно содержит один или несколько краскообразующих компонентов, выбираемых из м-фенилендиаминов, м-аминофенолов, м-дифенолов и гетероциклических краскообразующих компонентов. 32. Композиция по п. 31, отличающаяся тем, что краскообразующий компонент или краскообразующие компоненты составляют 0,0001-10 мас. % по отношению к общей массе красящей композиции. 33. Композиция по п. 32, отличающаяся тем, что краскообразующий компонент или краскообразующие компоненты составляют 0,005-5 мас. % по отношению к общей массе красящей композиции. 34. Композиция по п. 1, отличающаяся тем, что она предназначена для прямой осветляющей окраски или окислительной окраски и содержит по крайней мере один окислитель. 35. Способ окраски кератиновых волокон, в частности волос, отличающийся тем, что на волокна наносят по крайней мере одну красящую композицию по п. 1 на время, достаточное для проявления желаемой окраски, после чего волокна ополаскивают, в случае необходимости моют шампунем, снова ополаскивают и высушивают. 36. Способ окраски кератиновых волокон, в частности волос, отличающийся тем, что на волокна наносят по крайней мере одну красящую композицию по п. 1 на время, достаточное для проявления желаемой окраски, без заключительного ополаскивания. 37. Способ окраски кератиновых волокон, в частности волос, отличающийся тем, что композицию (А1), содержащую, в подходящей для окраски среде, по крайней мере один прямой катионный краситель (i), такой, как указанный в предыдущих пунктах, и по крайней мере одно окисляющееся основание, смешивают перед нанесением смеси на кератиновые волокна с композицией (Б1), включающей, в подходящей для окраски среде, по крайней мере один окислитель, причем композиция (А1) или композиция (Б1) содержит неионное поверхностно-активное вещество (ii), такое, как указанное в предыдущих пунктах. 38. Способ окраски кератиновых волокон, в частности волос, отличающийся тем, что композицию (А2), содержащую, в подходящей для окраски среде, по крайней мере один прямой катионный краситель (i), такой, как указанный в предыдущих пунктах, смешивают перед нанесением смеси на кератиновые волокна с композицией (Б2), включающей, в подходящей для окраски среде, по крайней мере один окислитель, причем композиция (А2) или композиция (Б2) содержит неионное поверхностно-активное вещество (ii), такое, как указанное в предыдущих пунктах. 39. Набор для окраски кератиновых волокон, в частности волос, имеющий отделение, отличающийся тем, что он имеет отделение под композицию (А1) или (А2) по п. 37 или 38, и отделение под композицию (Б1) или (Б2) по п. 37 или 38. РИСУНКИ
MM4A – Досрочное прекращение действия патента СССР или патента Российской Федерации на изобретение из-за неуплаты в установленный срок пошлины за поддержание патента в силе
Дата прекращения действия патента: 30.07.2008
Извещение опубликовано: 20.07.2010 БИ: 20/2010
|
||||||||||||||||||||||||||













































