Патент на изобретение №2200537
|
||||||||||||||||||||||||||
(54) КОМПОЗИЦИЯ ДЛЯ ПРЯМОГО ОКРАШИВАНИЯ КЕРАТИНОВЫХ ВОЛОКОН (ВАРИАНТЫ), СПОСОБ ИХ ПРЯМОГО ОКРАШИВАНИЯ (ВАРИАНТЫ), НАБОР ДЛЯ ПРЯМОГО ОКРАШИВАНИЯ КЕРАТИНОВЫХ ВОЛОКОН (ВАРИАНТЫ)
(57) Реферат: Предметом изобретения является комбинация двух катионных красителей в качестве прямых красителей в композициях, не содержащих самоокисляющего красителя и предназначенных для прямого окрашивания кератиновых волокон, в частности волос, способ их окрашивания и набор для прямого окрашивания кератиновых волокон. Изобретение дает окраске менее избирательные, хроматичные и устойчивые к различным агрессивным факторам свойства. 6 с. и 17 з.п.ф-лы, 1 табл. Текст описания в факсимильном виде (см. чертежи) То Формула изобретения
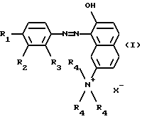
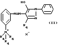
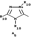
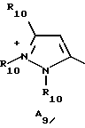
(i) катионный краситель формул I, II, III: ![]() ![]() ![]() в которых R1 обозначает атом водорода или аминогруппу; R2 обозначает атом водорода или нитрогруппу; R3 обозначает атом водорода, нитрогруппу или C1-C4-алкоксирадикал; R4 обозначает С1-С4-алкил; R5 обозначает атом водорода или п-(три-С1-С4-алкиламмоний)фенил; R6 обозначает атом брома или NH-п-(три-С1-С4-алкиламмоний)фенил; Х– обозначает анион, выбранный преимущественно из хлорид-, метилсульфат- и ацетат-анионов. (ii) катионный краситель формул IV, V, VI, VI’, VII: а) соединения формулы IV ![]() в которой D обозначает атом азота или группу -СН; R7 и R8, одинаковые или различные, обозначают атом водорода; С1-С4-алкил, который может быть замещен радикалом -CN, -ОН или -NH2; или вместе с атомом углерода бензольного цикла могут образовывать гетероцикл, включающий кислород или азот и возможно замещенный одним или несколькими C1-C4-алкильными радикалами; или радикал 4′-аминофенил; R9 и R’9, одинаковые или различные, обозначают атом водорода или галогена (хлор, бром, иод или фтор), цианогруппу, С1-С4-алкил, С1-С4-алкокси или ацетилоксигруппу; Х– обозначает анион, выбранный преимущественно из хлорид-, метилсульфат- и ацетат-анионов; А обозначает группу, выбранную из структур А1-А19: ![]() ![]() ![]() ![]() ![]() ![]() ![]() ![]() ![]() ![]() ![]() ![]() ![]() ![]() ![]() ![]() ![]() ![]() и ![]() в которых R10 обозначает С1-С4-алкил, который может быть замещен гидроксилом; R11 обозначает С1-С4-алкоксигруппу, при условии, что (i) когда D обозначает -СН, А представляет собой А4 или A13 и R9 не является алкоксигруппой, то R7 и R8 не могут быть одновременно атомами водорода; (ii) когда D обозначает атом азота, а А представляет собой А6, то R7 и R8 не могут быть одновременно метильными радикалами; b) соединения формулы V ![]() в которой R12 обозначает атом водорода или C1-C4-алкил; R13 обозначает атом водорода, алкил, который может быть замещен циано- или аминогруппой, радикал 4′-аминофенил или, совместно с R12 может образовывать гетероцикл, включающий кислород или азот и/или возможно замещенный С1-С4-алкилом; R14 и R15, одинаковые или различные, обозначают атом водорода или галогена (бром, хлор, иод или фтор), C1-C4-алкил, С1-С4-алкокси или цианогруппу; X– обозначает анион, выбранный преимущественно из хлорид-, метилсульфат- и ацетат-анионов; В обозначает группу, выбранную из структур В1-В6: ![]() ![]() ![]() ![]() ![]() ![]() в которых R16 обозначает С1-С4-алкил; R17 и R18, одинаковые или различные, обозначают атом водорода или С1-С4-алкил; с) соединения формул VI и VI’: ![]() ![]() в которых R19 обозначает атом водорода, С1-С4-алкокси, атом галогена (бром, хлор, иод или фтор) или аминогруппу; R20 обозначает атом водорода, С1-С4-алкил или, совместно с атомом углерода бензольного цикла, могут образовывать гетероцикл, включающий кислород и/или возможно замещенный одним или несколькими С1-С4-алкильными радикалами; R21 обозначает атом водорода или галогена (бром, хлор, иод или фтор); R22 и R23, одинаковые или различные, обозначают атом водорода или С1-С4-алкил; D1 и D2, одинаковые или различные, обозначают атом азота или группу -СН; m= 0 или 1; при условии, что, когда R19 является незамещенной аминогруппой, тогда D1 и D2 являются одновременно группами -СН, a m= 0; Х– обозначает анион, выбранный преимущественно из хлорид-, метилсульфат- и ацетат-анионов; Е обозначает группу, выбранную из структур Е1-Е8: ![]() ![]() ![]() ![]() ![]() ![]() ![]() ![]() в которых R’ обозначает С1-С4-алкил; когда m= 0 и D1 является атомом азота, тогда Е может также обозначать группу структуры Е9: ![]() в которой R’ обозначает С1-С4-алкил; d) соединения формулы VII G-N= N-J (VII) в которой G обозначает группу, выбранную из структур G1-G3: ![]() ![]() ![]() в которых R24 обозначает С1-С4-алкил или фенил, который может быть замещен С1-С4-алкилом или атомом галогена (хлор бром, иод или фтор); R25 обозначает С1-С4-алкил или фенил; R26 и R27, одинаковые или различные обозначают С1-С4-алкил или фенил или образуют совместно в G1 бензольный цикл, замещенный одним или несколькими радикалами С1-С4-алкил, C1-С4-алкокси или NO2, или образуют совместно в G2 бензольный цикл, возможно замещенный одним или несколькими радикалами С1-С4-алкил, С1-С4-алкокси или NO2; R26 кроме того может обозначать атом водорода; Z обозначает атом кислорода, серы или группу NR25; М обозначает группу -СН, -CR (где R обозначает C1-C4-алкил) или -NR28(X–)r; К обозначает группу -СН, -CR (где R обозначает C1-C4-алкил) или -NR28(X–)r; Р обозначает группу -СН, -CR (где R обозначает C1-C4-алкил) или -NR28(X–)r; r= 0 или 1; R28 обозначает атом О–, радикал С1-С4-алкокси или С1-С4-алкил; R29 и R30, одинаковые или различные, обозначают атом водорода или атом галогена (хлор, бром, иод или фтор), C1-С4-алкил, С1-С4-алкокси или NO2; Х– обозначает анион, выбранный преимущественно, из хлорида, иодида, метилсульфата, этилсульфата, ацетата и перхлората; при условии, что если R28 обозначает атом О–, то r= 0; если К или Р или М обозначает [-N-(C1-C4)-алкил] Х–, то R29 или R30 не является атомом водорода; если К обозначает -NR28(X–)r, то М= Р и обозначает -СН или -CR; если М обозначает -NR28(X–)r, то К= Р и обозначает -СН или -CR; если Р обозначает -NR28(X–)r, то К= М и обозначает -СН или -CR; если Z обозначает атом серы, в то время как R27 обозначает С1-С4-алкил, то R26 отличен от атома водорода; если Z обозначает -NR28, в то время как R25 обозначает С1-С4-алкил, то, по меньшей мере, один из радикалов R24, R26, или R27 в G2 не является С1-С4-алкилом; J обозначает: (а) группу структуры J1 ![]() в которой R31 обозначает атом водорода, атом галогена (хлор, бром, иод или фтор), радикал С1-С4-алкил, С1-С4-алкокси, -ОН, -NO2, -NHR34, -NR35R36 или -NHCO-(C1-C4)-алкил, или, совместно с R32, образует пяти- или шестичленный цикл, не содержащий или содержащий один или несколько гетероатомов, выбранных из азота, кислорода и серы; R32 обозначает атом водорода, атом галогена (хлор, бром, иод или фтор), радикал С1-С4-алкил или С1-С4-алкокси, или, совместно с R33 или R34, образует пяти- или шестичленный цикл, не содержащий или содержащий один или несколько гетероатомов, выбранных из азота, кислорода и серы; R33 обозначает атом водорода, радикал -ОН, -NНR34 или -NR35R36; R34 обозначает атом водорода, С1-С4-алкил, моногидрокси-С1-С4-алкил, полигидрокси-С2-С4-алкил или фенил; R35 и R36, одинаковые или различные, обозначают C1-C4-алкил, моногидрокси-С1-С4-алкил или полигидрокси-С2-С4-алкил; (b) остаток пяти- или шестичленного азотсодержащего гетероцикла, который может содержать и другие гетероатомы и/или карбонильные группы и может быть замещенным одним или несколькими радикалами С1-С4-алкил, амино или фенил, и, в частности, группу структуры J2: ![]() в которой R37 и R38 одинаковые или различные, обозначают атом водорода, С1-С4-алкил или фенил; Y обозначает радикал -СО- или -С(СН3)= ; n= 0 или 1 при условии, что, когда n= 1, тогда U обозначает радикал -СО-. 2. Композиция по п. 1, отличающаяся тем, что катионный краситель формулы I выбирают из Basic Brown 17, Basic Brown 16, Basic Red 76 и Basic Red 118. 3. Композиция по п. 1, отличающаяся тем, что катионным красителем формулы II является Basic Yellow 57. 4. Композиция по п. 1, отличающаяся тем, что катионным красителем формулы III является Basic Blue 99. 5. Композиция по п. 1, отличающаяся тем, что катионные красители формулы IV выбирают из соединений формул IV1-IV54 (см. графическую часть). 6. Композиция по п. 5, отличающаяся тем, что катионные красители формулы IV выбирают из соединений формул IV1, IV2, IV14 и IV31. 7. Композиция по п. 1, отличающаяся тем, что катионные красители формулы V выбирают из соединений формул V1-V9 (см. графическую часть). 8. Композиция по п. 1, отличающаяся тем, что катионные красители формулы VI выбирают из соединений формул VI1-VI18 (см. графическую часть). 9. Композиция по п. 8, отличающаяся тем, что катионные красители формулы VI выбирают из соединений формул VI4, VI5 и VI13. 10. Композиция по п. 1, отличающаяся тем, что катионные красители формулы VI’ выбирают из соединений формул VI’1-VI’3 (см. графическую часть). 11. Композиция по п. 1, отличающаяся тем, что катионные красители формулы VII выбирают из соединений формул VII1-VII77 (см. графическую часть). 12. Композиция для прямого окрашивания кератиновых волокон, в частности волос, отличающаяся тем, что она содержит в подходящей для окрашивания среде комбинацию по меньшей мере одного красителя формул I-III и по меньшей мере одного красителя формул IV-VII, определенных в любом из пп. 1-11. 13. Композиция по п. 12, отличающаяся тем, что катионный краситель или красители формул I, II, III присутствуют в концентрации от 0,001 до 10% от общей массы композиции. 14. Композиция по п. 13, отличающаяся тем, что катионный краситель или красители формул I, II, III присутствуют в концентрации от 0,005 до 5% от общей массы композиции. 15. Композиция по п. 12, отличающаяся тем, что катионный краситель или красители формул IV, V, VI, VI или VII присутствуют в концентрации от 0,001 до 10% от общей массы композиции. 16. Композиция по п. 15, отличающаяся тем, что катионный краситель или красители формул IV, V, VI, VI или VII присутствуют в концентрации от 0,005 до 5% от общей массы композиции. 17. Композиция по любому из пп. 12-16, отличающаяся тем, что подходящая для окрашивания среда (или носитель) состоит из воды или из смеси воды с по меньшей мере одним органическим растворителем. 18. Композиция по любому из пп. 12-17, отличающаяся тем, что ее рН составляет 2-11, предпочтительно 5-10. 19. Композиция по любому из пп. 12-18, отличающаяся тем, что она содержит добавки, выбранные среди антиоксидантов, пропиточных агентов, комплексообразующих агентов, загущающих агентов, отдушек, буферов, диспергентов, поверхностно-активных агентов, полимеров, пленкообразующих агентов, керамидов, консервантов, светофильтрующих агентов и матирующих агентов. 20. Способ прямого окрашивания кератиновых волокон, в частности, волос, отличающийся тем, что на волокна наносят по меньшей мере одну из определенных в пп. 12-19 красящих композиций на время, достаточное для проявления желаемой окраски, после чего волокна ополаскивают, возможно промывают шампунем, вновь ополаскивают и сушат. 21. Способ прямого окрашивания кератиновых волокон, в частности, волос, отличающийся тем, что на волокна наносят по меньшей мере одну из определенных в пп. 12-19 красящих композиций на время, достаточное для проявления желаемой окраски, без заключительного ополаскивания. 22. Набор для прямого окрашивания кератиновых волокон, в частности, волос, содержащий отделения, отличающийся тем, что в первом отделении находится по меньшей мере один катионный краситель формул I-III, определенных в любом из пп. 1-4, а во втором отделении находится по меньшей мере один катионный краситель формул IV-VII, определенный в любом из пп. 1 и 5-11. 23. Набор для прямого окрашивания кератиновых волокон, в частности, волос, содержащий отделения, отличающийся тем, что в первом отделении находится порошковая композиция, содержащая комбинацию по меньшей мере одного катионного красителя формул I-III, определенных в любом из пп. 1-4, и по меньшей мере одного катионного красителя формул IV-VII, определенный в любом из пп. 1, 5-11, а во втором отделении находится водная композиция, служащая носителем для краски. РИСУНКИ
MM4A – Досрочное прекращение действия патента СССР или патента Российской Федерации на изобретение из-за неуплаты в установленный срок пошлины за поддержание патента в силе
Дата прекращения действия патента: 19.01.2009
Извещение опубликовано: 20.07.2010 БИ: 20/2010
|
||||||||||||||||||||||||||














































