Патент на изобретение №2200536
|
||||||||||||||||||||||||||
(54) КОСМЕТИЧЕСКАЯ КОМПОЗИЦИЯ, ВКЛЮЧАЮЩАЯ ПО КРАЙНЕЙ МЕРЕ ОДИН СОПОЛИМЕР СИЛИКОНА И АКРИЛАТА И ПО КРАЙНЕЙ МЕРЕ ОДИН ФОТОЗАЩИТНЫЙ КОМПОНЕНТ
(57) Реферат: Предметом изобретения является косметическая композиция для волос, включающая по крайней мере один особый сополимер силикона и акрилата и по крайней мере один фотозащитный компонент, а также косметический способ сохранения или создания прически, при котором используют вышеуказанную композицию. Технический результат: изобретение обеспечивает хорошую фиксацию прически и достаточную степень фильтрации любого солнечного излучения с достижением хороших косметических свойств. 2 с. и 10 з.п. ф-лы. Изобретение относится к косметической композиции, содержащей, по крайней мере, один особый сополимер силикона и акрилата и, по крайней мере, один фотозащитный компонент. Изобретение также относится к косметическому способу, в частности способу фиксации и/или сохранения прически, при котором используют вышеуказанную композицию, а также к применению этой композиции для получения косметического состава, предназначенного, в частности, для сохранения и/или создания прически. Согласно изобретению под фотозащитным компонентом, как правило, понимают любое известное соединение или любую комбинацию известных соединений, которые известны механизмом поглощения, и/или отражения, и/или рассеяния ультрафиолетового излучения спектра А и/или спектра В, позволяющим предотвращать, или, по меньшей мере, ограничивать контактирование вышеуказанного излучения с поверхностью волос, на которую нанесено (нанесены) это соединение или эти соединения. Другими словами, эти соединения могут представлять собой органические фотозащитные фильтры, поглощающие ультрафиолетовые лучи, или минеральные (нано)пигменты, рассеивающие и/или отражающие ультрафиолетовые лучи, а также их смеси. Среди средств для волос, особенно тех, которые предназначены для создания и/или сохранения прически, наиболее широко распространенных на рынке косметики, следует назвать распыляемые композиции, состоящие преимущественно из раствора, чаще всего спиртового или водного, и одного или нескольких веществ. Если композиции предназначены для фиксации и/или сохранения прически, то этими веществами обычно являются полимерные смолы, функция которых заключается в создании склеивания между волосами, и которые называются также фиксирующим материалом, используемым в смеси с различными косметическими добавками. Эти композиции обычно упакованы либо в аэрозольный баллон, приспособленный для создания давления с помощью пропеллента, либо во флакон с дозатором. Также известны гели или муссы для волос, которые обычно наносят на смоченные волосы перед расчесыванием или укладкой волос. Для создания и фиксации прически затем осуществляют расчесывание круглой щеткой с феном или высушивание. Эти гели или муссы также могут содержать полимерные смолы. Известно, что световые излучения с длинами волн 280-400 нм наносят вред волосам в случае, если человек находится слишком долго под воздействием излучений. В частности, лучи с длинами волн 280-320 нм, известные под названием ультрафиолетовые лучи спектра В, делают волосы ломкими, разрушая их различные составляющие, в особенности кератин. Ультрафиолетовые лучи спектра А с длинами волн 320-400 нм способны изменять натуральный цвет волос, особенно в случае волос светлого цвета. Ультрафиолетовые лучи спектра А также провоцируют потерю эластичности волос, которые становятся сухими и ломкими, особенно на концах. Уже были предложены композиции для волос, включающие фотозащитные компоненты, которые способны отфильтровывать ультрафиолетовые лучи спектра А и спектра В. Однако эти композиции для волос не являются полностью удовлетворительными, так как на волосах фиксируется слишком незначительное количество фотозащитных компонентов. Следовательно, достигаемая в действительности защита, после нанесения композиции для ухода за волосами на волосы, далека от защиты, на которую рассчитывали. Кроме того, фотозащитные компоненты, которые первоначально фиксируются на волосах, не остаются там достаточно продолжительное время для обеспечения человеку соответствующей и длительной защиты. Следовательно, волосы подвергаются естественному солнечному излучению, то есть излучению, содержащему вредоносные ультрафиолетовые лучи спектра А и спектра В, уже спустя непродолжительное время после нанесения композиции для ухода за волосами на волосы. Следовательно, существует необходимость в получении косметических композиций, в частности композиций для сохранения и/или фиксации прически, которые не обладали бы вышеуказанными недостатками, но которые, в частности, обеспечивали бы хорошую фиксацию прически и одновременно достаточную степень фильтрации любого солнечного излучения с достижением хороших косметических свойств. Заявителем неожиданно найдено, что путем сочетания некоторых сополимеров силикона и акрилата с фотозащитными компонентами можно получать косметические композиции, отвечающие вышеуказанным требованиям. Объектом изобретения является косметическая композиция, содержащая в косметически приемлемой среде по крайней мере один сополимер силикона и акрилата и по крайней мере один фотозащитный компонент, причем сополимер силикона и акрилата получен путем радикальной полимеризации по крайней мере одного мономера с двойной связью (а) в присутствии по крайней мере одного силиконового производного (б), включающего оксиалкиленированные группы. Другой объект изобретения относится к способу по уходу за волосами, в частности к способу фиксации и/или сохранения прически, при котором используют вышеуказанную композицию. Изобретение относится к применению этой композиции для получения косметического состава для волос, предназначенного, в частности, для сохранения и/или создания прически. Сополимеры силикона и акрилата, которые особенно являются объектом настоящего изобретения, являются теми, которые описаны в международной заявке на патент 99/04750. В частности, предпочтителен сополимер, выпускаемый в продажу фирмой БАСФ под названием Luviflex Silk. Он представляет собой привитой сополимер трет. -бутилакрилата и метакриловой кислоты и кремнийорганического сополиола. Предпочтительно мономер (а) отвечает формуле (1а): ![]() в которой Х выбирают из группы, состоящей из ОН, ОМ, OR8, NH2, NHR8, N(R8)2; M означает катион, выбираемый из группы, состоящей из Na+, К+, Mg++, NH4++, алкиламмония, диалкиламмония, триалкиламмония и тетраалкиламмония; радикалы R8 могут быть одинаковыми или разными и их выбирают из группы, состоящей из водорода; линейных или разветвленных (C1-C40)-алкильных групп; моно- или полигидроксилированных (C1-C40)-алкильных групп, возможно замещенных одной или несколькими алкоксильными группами, аминогруппами или карбоксильными группами; гидроксилированных простых полиэфирных групп; N,N-диметиламиноэтильной, 2-гидроксиэтильной, 2-метоксиэтильной, 2-этоксиэтильной, гидроксипропильной, метоксипропильной и этоксипропильной групп; R7 и R6, независимо друг от друга, выбирают из группы, состоящей из водорода, линейных или разветвленных (C1-C8)-алкильных групп, метокси-, этокси-, 2-гидроксиэтокси-, 2-метоксиэтоксигруппы и 2-этоксиэтильной группы, групп CN, СОOH и COOM. В частности, мономерами (а) формулы (1а) являются акриловая кислота и ее соли, сложные эфиры или амиды. Сложные эфиры акриловой кислоты могут быть производными линейных (C1-C40)-алкилов, разветвленных (С3-С40)-алкилов или карбоновых спиртов с 3-40 атомами углерода; многоатомных спиртов с 2-8 гидроксильными группами, таких как этиленгликоль, гексиленгликоль, глицерин и гексан-1,2,6-триол; аминоспиртов или простых эфиров спиртов, таких как метоксиметанол и этоксиэтанол, или полиалкиленгликолей. Мономеры (а) формулы (1а) также могут быть выбраны из N,N-диалкиламиноалкилакрилатов и -метакрилатов и N-диалкиламиноалкилакрил- и -метакриламидов, причем амидная группа может быть незамещенной, N-алкил- или N-алкиламиномонозамещенной или N,N-диалкиламинодизамещенной, и причем алкильные группы или алкиламиногруппы происходят от линейных (C1-C40)- или разветвленных (С3-С40)-карбоксильных групп. Мономеры (а) формулы (1а), которые могут быть использованы, также могут представлять собой замещенные соединения, происходящие от акриловой кислоты или ее солей, сложных эфиров или амидов. Можно назвать, например, метакриловую, этакриловую и 3-цианоакриловую кислоты. Особенно подходящими другими мономерами (а) являются сложные виниловые и аллиловые эфиры с 1-40 атомами углерода, линейные карбоновые кислоты с 3-40 атомами углерода или карбоциклические кислоты с 3-40 атомами углерода, винил- или аллилгалогениды; виниллактамы, предпочтительно винилпирролидон и винилапролактам; гетероциклические соединения, замещенные винильными или аллильными группами, предпочтительно винилпиридин, винилоксазолин и аллилпиридин; N-винилимидазолы, диаллиламины, винилиденхлорид, ненасыщенные углеродные соединения, такие как стирол или изопрен, кватернизованные эпихлоргидрином производные акриловой или метакриловой кислоты. В качестве мономера (а) особенно предпочтительны акриловая, метакриловая и этилакриловая кислота; метил-, этил-, пропил-, н-бутил-, изобутил-, трет. -бутил-, 2-этилгексил- и децилакрилат; метил-, этил-, пропил-, н-бутил-, изобутил-, трет. -бутил-, 2-этилгексил- и децилметакрилат; метил-, этил-, пропил-, н-бутил-, изобутил-, трет.-бутил-, 2-этилгексил-и децилэтакрилат; 2,3-дигидроксипропилакрилат; 2,3-дигидроксипропилметакрилат; 2-дигидроксиэтилакрилат; гидроксипропилакрилат; 2-гидроксиэтилметакрилат; 2-гидроксиэтилэтакрилат; 2-метоксиэтилакрилат; 2-этоксиэтилметакрилат; 2-этоксиэтилэтакрилат; гидроксипропилметакрилат; глицерилмоноакрилат; глицерилмонометакрилат; полиалкиленгликоль(мет)акрилаты; ненасыщенные сульфокислоты; акриламид; метакриламид; этакриламид; N,N-диметилакриламид; N-этилакриламид; N-этилметакриламид; 1-винилимидазол; N,N-диметиламиноэтил (мет)акрилат; малеиновая кислота; фумаровая кислота; малеиновый ангидрид и его сложные моноэфиры; кротоновая кислота; итаконовая кислота; простые виниловые эфиры; винилформамид; виниламин; винилпиридин; винилимидазол; винилфуран; стирол; стиролсульфонат; аллиловый спирт и их смеси. Мономер (а) также может содержать атомы кремния, фтора, а также тиогруппы. Мономеры (а) могут быть нейтрализованы, если они содержат кислотные группы, и это осуществляют до или после полимеризации, полностью или частично, чтобы установить растворимость или степень дисперсности в воде на желательном уровне. В качестве агента нейтрализации можно использовать неорганические основания, такие как карбонат натрия, органические основания, такие как аминоспирты, как алканоламины, такие как метаноламин, 2-амино-2-метилпропан-1-ол, триэтаноламин, и диамины, например лизин. Мономеры (а) также могут быть кватернизованы, если они содержат основной атом азота. Если мономеры (а) содержат по крайней мере две двойные связи, то они могут быть частично сшиты. Силиконовые прозводные (б) представляют собой в частности известные соединения, называемые, согласно номенклатуре INCI, диметиконсополиолами или силиконовыми (кремнийсодержащими) поверхностно-активными веществами. Можно указать продукты, выпускаемые в продажу фирмой Goldschmidt под названием Abil , фирмой Рон-Пуленк под названием Alkasil , фирмой Genesee под названием Silicon Polyol Copolymer , фирмой Wacker под названием Besil , фирмой OSI под названием Silwet или фирмой Dow Corning под названием Dow Corning 190 .
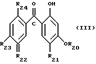
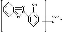
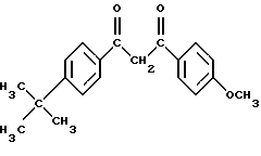
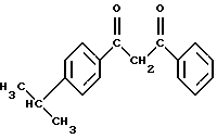
Из силиконовых производных (б) предпочтительны такие, которые отвечают формуле (I)![]() в которой R2 выбирают из СН3 или группы ![]() R3 выбирают из СН3 или группы R2; R4 выбирают из водорода, СН3 или групп ![]() ![]() R6 означает органическую группу с 1-40 атомами углерода, которая может содержать аминогруппы, карбоксильные группы или сульфонатные группы, и, если с=0, R6 означает анион неорганической кислоты; радикалы R1 могут быть одинаковыми или разными и их выбирают из алифатических углеводородов с 1-20 атомами углерода, алифатических или циклоалифатических углеводородов с 3-20 атомами углерода и групп R5, отвечающих нижеприводимой формуле: ![]() n означает целое число от 1 до 6; х и у означают целые числа, выбираемые таким образом, чтобы молекулярная масса полисилоксана составляла 300-30000; а и b означают целые числа от 0 до 50 и с означает 0 или 1. Предпочтительно R1 выбирают из метила, этила, пропила, бутила, изобутила, пентила, изопентила, гексила, октила, децила, додецила и октадецила; циклоалифатических радикалов, в частности из циклогексильных групп; ароматических групп, в частности фенильных или нафтильных групп; смесей ароматических и алифатических радикалов, таких как бензил и фенилэтил, и также толил и ксилил. Предпочтительны радикалы R4, отвечающие формуле (CO)c-R6, где R6 означает алкил, циклоалкил или арил, с 1-40 атомами углерода, который может содержать дополнительные группы, такие как NH2, COOH и/или SО3Н. Предпочтительны радикалы R6, когда с=0, которые представляют собой фосфатные или сульфатные группы. Особенно предпочтительными силиконовыми производными (б) являются те, которые отвечают следующей общей формуле: ![]() Относительное содержание производного (б) в сополимере обычно составляет 0,1-50 мас.% и предпочтительно 1-20 мас.%. Предпочтительны сополимеры силикона и акрилата, растворимые в воде, или диспергируемость которых в воде такая, что в смеси воды с этанолом в объемном соотношении 50: 50 они растворимы в количестве выше 0,1 г/л и предпочтительно выше 0,2 г/л. Композиция предпочтительно включает 0,1-20 мас.% этого сополимера силикона и акрилата и более предпочтительно 0,5-10 мас.% по отношению к массе композиции. Композиция предпочтительно включает 0,1-20 мас.% фотозащитного компонента и более предпочтительно 0,2-10 мас.% по отношению к массе композиции. Из активных в отношении ультрафиолетовых лучей спектра А органических фильтров, используемых согласно изобретению, можно назвать: (1) производные дибензоилметана; (2) активные в отношении ультрафиолетовых лучей спектра А фильтры следующей формулы (I): ![]() в которой R7 и R9, одинаковые или разные, означают атом водорода, атом галогена, радикал ОН; насыщенный или ненасыщенный, линейный или разветвленный (C1-С10)-алкильный радикал; насыщенный или ненасыщенный, линейный или разветвленный (C1-С10)-алкоксильный радикал или группу НSО3; R10 означает атом водорода или группу НSО3; R8 означает гидроксил; группу ОR11, где R11 означает насыщенный или ненасыщенный, линейный или разветвленный (C1-С10)-алкильный радикал; или же группу следующей структуры: ![]() в которой R12 означает атом водорода или группу НSО3; или же группу следующей формулы: ![]() или же группу следующей формулы: ![]() в которой Z означает атом кислорода или радикал -NH-; R13, R14, R15 и R16, одинаковые или разные, означают атом водорода, атом галогена, радикал ОН; насыщенный или ненасыщенный, линейный или разветвленный (C1-С10)-алкильный радикал; насыщенный или ненасыщенный, линейный или разветвленный (C1-С10)-алкоксильный радикал или группу НSО3; (3) активные в отношении ультрафиолетовых лучей спектра А фильтры бензимидазольного или бензоксазольного типа следующей формулы (II): ![]() в которой W означает атом кислорода или радикал -NH-; R17 означает атом водорода или группу НSО3; R18 означает линейный или разветвленный алкоксильный радикал, содержащий около 1-10 атомов углерода, или группу следующей формулы: ![]() где Y означает атом кислорода или радикал -NH-; и R19 означает атом водорода или группу НSО3; (4) производные бензофенона, такие как соединения следующей формулы (III): ![]() в которой R20 означает атом водорода или насыщенный или ненасыщенный, линейный или разветвленный (C1-С10)-алкильный радикал; R21 и R22, одинаковые или разные, означают атом водорода, атом галогена, радикал ОН, насыщенный или ненасыщенный, линейный или разветвленный (C1-С10)-алкильный радикал; насыщенный или ненасыщенный, линейный или разветвленный (C1-С10)-алкоксильный радикал или группу НSО3; R23 означает атом водорода; гидроксил; насыщенный или ненасыщенный, линейный или разветвленный (C1-С10)-алкильный радикал или насыщенный или ненасыщенный, линейный или разветвленный (С1-С10)-алкоксильный радикал; R24 означает ОН, атом водорода или насыщенный или ненасыщенный, линейный или разветвленный (C1-С10)-алкильный радикал; (5) силановые производные или полиорганосилоксаны с бензофеноновой группой, такие как соединения, описанные в заявке на Европейский патент А-0389377, заявке на патент Франции А-2657351 и заявке на Европейский патент А-0655453; (6) антранилаты; (7) бензотриазолы и содержащие бензотриазольные группы силиконы; (8) их смеси. В качестве бензотриазолов или производного бензотриазола предпочтительно используют соединения следующей формулы (I): ![]() в которой А означает атом водорода или двухвалентный радикал -L-W-; Y, одинаковые или разные, выбирают из (C1-С10)-алкильных радикалов, галогенов, (C1-С10)-алкоксильных радикалов, сульфогрупп, имея в виду, что в последнем случае два смежных Y у одного и того же ароматического ядра вместе могут образовывать диоксиалкилиденовую группу, в которой алкилиденовая группа содержит 1-2 атома углерода; при условии, что радикалы Y отличаются от сульфогруппы, если А отличается от атома водорода; n означает 1, 2 или 3; L означает двухвалентный радикал следующей формулы (II): ![]() в которой Х означает атом кислорода или NH; Z означает атом водорода или (C1-C4)-алкильный радикал; n означает целое число от 0 до 3 включительно; m означает 0 или 1; р означает целое число от 1 до 10 включительно; W означает радикал следующей формулы (1), (2) или (3): ![]() или ![]() или -Si(R)3 (3), в которых R, одинаковые или разные, выбирают из (С1-С10)-алкильных радикалов, фенила и 3,3,3-трифторпропила, причем по крайней мере 80% из числа радикалов R означают метил; В, одинаковые или разные, выбирают из радикалов R и радикала V следующей формулы: ![]() в которой Y, n и L имеют вышеуказанные значения; r означает цело число от 0 до 50 включительно и s означает целое число от 1 до 20 включительно, и если s=0, то по крайней мере один из двух радикалов В означает V; u означает целое число от 1 до 6 включительно и t означает целое число от 0 до 10 включительно, имея в виду, что t+u равно или выше 3. Производные бензотриазола формулы (I) представляют собой известные фильтры. Они описываются и их получают согласно синтезам, указанным в патентах США 4316033 и 4328346; Европейских патентах В-0354145, В-0392883 и В-0660701 (входящих составной частью в содержание описания). Из производных дибензоилметана, особенно хорошо пригодных в рамках настоящего изобретения, можно назвать, в частности, следующие соединения: – 2-метилдибензоилметан; – 4-метилдибензоилметан; – 4-изопропилдибензоилметан; – 4-трет.-бутилдибензоилметан; – 2,4-диметилдибензоилметан; – 2,5-диметилдибензоилметан; – 4,4′-диизопропилдибензоилметан; – 4,4′-диметоксидибензоилметан; – 4-трет.-бутил-4′-метоксидибензоилметан; – 2-метил-5-изопропил-4′-метоксидибензоилметан; – 2-метил-5-трет.-бутил-4′-метоксидибензоилметан; – 2,4-диметил-4′-метоксидибензоилметан; – 2,6-диметил-4-трет.-бутил-4′-метоксидибензоилметан. Из вышеуказанных производных дибензоилметана предпочитают, согласно настоящему изобретению, использовать 4-(трет.-бутил)-4′-метокси-дибензоилметан, выпускаемый в продажу фирмой GIVAUDAN под торговым названием “PARSOL 1789”, причем этот фильтр отвечает следующей структурной формуле: ![]() Другим предпочтительным производным дибензоилметана, согласно настоящему изобретению, является 4-изопропилдибензоилметан, фильтр, выпускаемый в продажу фирмой MERCK под названием “EUSOLEX 8020” и отвечающий следующей структурной формуле: ![]() Соединения вышеуказанных структур (I) описываются, соответственно, в патенте США 4585597 и заявках на патенты Франции 2236515, 2282426, 2645148, 2430938 и 2592380. Особенно предпочтительным соединением формулы (I) является бензол-1,4-[ди(3-метилиденкамфо-10-сульфоновая)] кислота, такая как продукт, выпускаемый в продажу фирмой CHIMEX под названием MESORYL SX. Бензол-1,4-ди(3-метилиденкамфо-10-сульфоновая) кислота различные соли (соединение D), описываемые, например, в заявках на патенты Франции А-2528420 и А-2639347, представляют собой известные фильтры (так называемые широкополосные фильтры), способные в самом деле поглощать ультрафиолетовые лучи с длинами волн 280-400 нм, с максимумами поглощения при 320-400 нм, в особенности около 345 нм. Эти фильтры отвечают следующей общей формуле: ![]() в которой D означает атом водорода, щелочной металл или еще радикал NH(R25)3 +, в котором радикалы R25, которые могут быть одинаковыми или разными, означают атом водорода, (C1-C4)-алкильный радикал или гидрокси-(C1-C4)-алкильный радикал или же группу Мn+/n, где Mn+ означает катион многовалентного металла, в котором n равно 2, или 3, или 4, причем Мn+ предпочтительно означает катион металла, выбираемый среди Са2+, Zn2+, Mg2+, Ва2+, Al3+ и Zr4+. Разумеется, что соединения вышеприведенной формулы (I) могут иметь “цис-транс”-изомерию вокруг одной или нескольких двойных связей и все изомеры входят в рамки настоящего изобретения. В качестве примеров отдельных бензимидазольных соединений, отвечающих формуле (II), можно назвать – бензол-1,4-ди(бензимидазол-2-ил-5-сульфоновую) кислоту; – бензол-1,4-ди(бензоксазол-2-ил-5-сульфоновую) кислоту; а также их частично или полностью нейтрализованные формы. Из производных бензофенона формулы (III) в особенности можно назвать соединения, выбираемые из группы, содержащей – 2,4-дигидроксибензофенон (бензофенон-1), как, например, продукт, выпускаемый в продажу фирмой BASF под названием UVINUL 400; – 2,2′,4,4′-тетрагидроксибензофенон (бензофенон-2), как, например, продукт, выпускаемый в продажу фирмой BASF под названием UVINUL D 50; – 2-гидрокси-4-метоксибензофенон, называемый также оксибензон (бензофенон-3), как, например, продукт, выпускаемый в продажу фирмой BASF под названием UVINUL M 40; – 2-гидрокси-4-метоксибензофенон-5-сульфокислота, называемая также сулизобензон (бензофенон-4), как, например, продукт, выпускаемый в продажу фирмой BASF под названием UVINUL MS 40; а также ее форма в виде сульфоната натрия (бензофенон-5); – 2,2′-дигидрокси-4,4′-диметоксибензофенон (бензофенон-6), как, например, продукт, выпускаемый в продажу фирмой NORQUAY под названием HELISORB 11; – 5-хлор-2-гидроксибензофенон (бензофенон-7); – 2,2′-дигидрокси-4-метоксибензофенон, называемый также диоксибензон или бензофенон-8, как продукт, выпускаемый в продажу фирмой AMERICAN CYANAMID под названием SPECTRA-SORB UV-24; – динатриевая соль 2,2′-дигидрокси-4,4′-диметоксибензофенон-5,5′-дисульфокислоты или бензофенон-9, как, например, продукт, выпускаемый в продажу фирмой BASF под названием UVINUL DS 49; – 2-гидрокси-4-метокси-4′-метилбензофенон (бензофенон-10); – бензофенон-11, как, например, продукт, выпускаемый в продажу фирмой BASF под названием UVTNUL М 493; – 2-гидрокси-4-(октилокси)бензофенон(бензофенон-12). Из антранилатов, используемых согласно изобретению, в частности, можно назвать ментилантранилат, как, например, продукт, выпускаемый в продажу фирмой Haarmann and Reimer под названием NEOHELIOPAN МА. В качестве фильтров для ультрафиолетовых лучей спектра В, особенно используемых в рамках настоящего изобретения, можно назвать триазиновые производные, описываемые, в частности, в патенте США 4617390 и заявках на Европейские патенты А-087098, А-0517104, А-0570838 и А-0796851. В особенности известен 2,4,6-трис [п-(2′-этилгексил-1′-оксикарбонил)анилино]-1,3,5-триазин, особенно выпускаемый в продажу фирмой BASF под торговым названием “UVINULT150”. Также предпочтительно используют производные коричной кислоты, такие как изопентил-4-метоксициннамат, 2-этилгексил-4-метоксициннамат, метилдиизопропилциннамат, изоамил-4-метоксициннамат, диэтаноламин-4-метоксициннамат. Из вышеуказанных производных коричной кислоты особенно предпочтительно, согласно настоящему изобретению, использовать 2-этилгексил-п-метоксициннамат, особенно выпускаемый в продажу фирмой GIVAUDAN под торговым названием “PARSOL МСХ”. Также можно использовать алкил-2-циано-3,3-дифенилакрилат и предпочтительно октокрилиден, выпускаемый в продажу фирмой BASF под названием UVINUL N 539. В качестве фотозащитного компонента предпочтительно можно еще использовать алкил-п-аминобензоаты или алкил-п-диметиламинобензоаты или этил-, пропил- или октилглицерид. Можно также использовать 3,4′-метилбензилиден-камфору, 3-бензилиденкамфору, метилсульфат 3,4′-триметиламмонийбензилиден-камфоры и 3-(4′-сульфобензилиден)камфорную кислоту и ее соли. В качестве фотозащитного компонента особенно предпочтительны 2-этилгексил-п-метоксициннамат, триазиновые производные, и, в частности, , салицилаты, и в частности, метил- или октилсалицилат, п-аминобензоаты или п-диметиламинобензоаты, алкил-2-циано-3,3-дифенилакрилат, нанопигменты из группы оксидов металлов или их смеси.
Косметические композиции согласно изобретению могут еще содержать в качестве фотозащитных компонентов пигменты или же нанопигменты (средний размер первичных частиц обычно составляет 5-100 нм, предпочтительно 10-50 нм) из группы оксидов металлов, с защитным покрытием или без таковых, как, например, нанопигменты из группы диоксида титана (аморфного или кристаллического в рутильной и/или анатазной форме), оксида железа, оксида цинка, диоксида циркония или диоксида церия, которые все являются хорошо известными фотозащитными компонентами от ультрафиолетового излучения. Классическими средствами для защитного покрытия являются, кроме того, оксид алюминия и/или стеарат алюминия. Такие нанопигменты из группы оксидов металлов, с защитным покрытием или без него, описываются, например, в заявках на Европейские патенты А-0518772 и А-0518773.
Косметически приемлемая среда предпочтительно образована водой или одним или несколькими косметически приемлемыми растворителями, такими как спирты, или смесями вода-растворитель (растворители), причем этими растворителями предпочтительно являются спирты с 1-4 атомами углерода.
Из этих спиртов можно назвать этанол, изопропанол. Особенно предпочтителен этанол.
Композиция согласно изобретению также может содержать по крайней мере одну добавку, выбираемую из анионоактивных, катионоактивных, неионогенных или амфотерных поверхностно-активных веществ, отдушек, фильтров, консервантов, белков, витаминов, полимеров, других, чем таковые согласно изобретению, растительных, минеральных или синтетических масел и любой другой добавки, обычно используемой в косметических композициях.
Разумеется, специалист должен выбирать добавляемое к композиции возможное соединение или добавляемые к композиции возможные соединения согласно изобретению таким образом, чтобы не ухудшать или существенно не ухудшать за счет предусматриваемого добавления полезных свойств, присущих композиции согласно изобретению.
Эти композиции могут быть помещены в различные упаковки, например во флаконы с дозаторами или в аэрозольные баллоны, чтобы обеспечить нанесение композиции в распыленной форме или в виде мусса. Такие формы упаковки рекомендуются, например, когда хотят получить спрей, лак или мусс для фиксации или ухода за волосами. Композиции согласно изобретению также могут находиться в форме кремов, гелей, эмульсий, лосьонов или восков.
Когда композиция согласно изобретению находится в форме аэрозоля для получения лака или мусса, она содержит по крайней мере один пропеллент, который может быть выбран из летучих углеводородов, таких как н-бутан, пропан, изобутан, пентан, галогенированный углеводород и их смеси. В качестве пропеллента также можно использовать диоксид углерода, закись азота, диметиловый эфир (ДМЭ), азот, сжатый воздух. Также можно использовать смеси пропеллентов. Предпочтительно используют диметиловый эфир.
Пропеллент предпочтительно находится в концентрации 5-90 мас.% по отношению к общей массе композиции в аэрозольной упаковке и более предпочтительно в концентрации 10-60 мас.%.
Композиции согласно изобретению особенно применимы в случае сухих или влажных волос в качестве средств для укладки волос.
Композиции согласно изобретению можно наносить на кожу, ногти, губы, волосы, брови и ресницы.
Изобретение более полно иллюстрируется с помощью следующего примера, не ограничивающего объема охраны изобретения.
Все проценты представляют собой массовые проценты по отношению к общей массе композиции.
ПримерКомпозиция А Luviflex Silk (BASF)(1) – 2 мас.% Uvinul MS 40 – 1 мас.% Этанол – 20 мас.% Аденозинмонофосфат – Достаточное количество до рН 7 Вода – Достаточное количество до 100 г (1) сополимер силикона и акрилата, выпускаемый фирмой BASF (трет.-бутилакрилат/метакриловая кислота/полидиметилсилоксановый простой полиэфир). Композицию А в количестве 5 г наносят на прядь натуральных темно-русых волос европейского типа. После высушивания прядь является мягкой на ощупь и защищена от пагубных воздействий солнца. Формула изобретения
![]() в которой Х выбирают из группы, состоящей из ОН, ОМ, OR8, NH2, NHR8, N(R8)2; M означает катион, выбираемый из группы, состоящей из Na+, K+, Mg++, NH4+, алкиламмония, диалкиламмония, триалкиламмония и тетраалкиламмония; радикалы R8 могут быть одинаковыми или разными и их выбирают из группы, состоящей из водорода, линейных или разветвленных (C1-C40)-алкильных групп, моно- или полигидроксилированных (С1-С40)-алкильных групп, возможно замещенных одной или несколькими алкоксильными группами, аминогруппами или карбоксильными группами, гидроксилированных простых полиэфирных групп, N, N-диметиламиноэтильной, 2-гидроксиэтильной, 2-метоксиэтильной, 2-этоксиэтильной, гидроксипропильной, метоксипропильной и этоксипропильной групп; R7 и R6, независимо друг от друга, выбирают из группы, состоящей из водорода, линейных или разветвленных (C1-C8)-алкильных групп, метокси-, этокси-, 2-гидроксиэтокси-, 2-метоксиэтоксигруппы и 2-этоксиэтильной группы, групп CN, СООН и СООМ, в присутствии по крайней мере одного силиконового производного (б), включающего оксилалкиленированные группы, отвечающего нижеприводимой формуле (I) ![]() в которой R2 выбирают из СН3 или группы ![]() R3 выбирают из СН3 или группы R2; R4 выбирают из водорода, СН3 или групп ![]() ![]() R6 означает органическую группу с 1-40 атомами углерода, которая может содержать аминогруппы, карбоксильные группы или сульфонатные группы, и, если с= 0, R6 означает анион неорганической кислоты; радикалы R1 могут быть одинаковыми или разными и их выбирают из алифатических углеводородов с 1-20 атомами углерода, алифатических или циклоалифатических углеводородов с 3-20 атомами углерода и групп R5, отвечающих нижеприводимой формуле ![]() n означает целое число от 1 до 6; х и у означают целые числа, выбираемые таким образом, чтобы молекулярная масса полисилоксана составляла 300-30000; а и b означают целые числа от 0 до 50; с означает 0 или 1. 2. Композиция по п. 1, отличающаяся тем, что мономер (а) выбирают из сложных виниловых и аллиловых эфиров с 1-40 атомами углерода, линейных карбоновых кислот с 3-40 атомами углерода или карбоциклических кислот с 3-40 атомами углерода; винил- или аллилгалогенидов; виниллактамов, предпочтительно винилпирролидона и винилкапролактама; гетероциклических соединений, замещенных винильными или аллильными группами, предпочтительно винилпиридина, винилоксазолина и аллилпиридина, N – винилимидазолов, диаллиламинов, винилиденхлорида, ненасыщенных углеродных соединений, таких, как стирол или изопрен, кватернизованных эпихлоргидрином производных акриловой или метакриловой кислоты. 3. Композиция по п. 1, отличающаяся тем, что мономер (а) выбран из группы, состоящей из акриловой, метакриловой и этилакриловой кислоты; метил-, этил-, пропил-, н-бутил-, изобутил-, трет-бутил-, 2-этилгексил- и децилакрилата; метил-, этил-, пропил-, н-бутил-, изобутил-, трет-бутил-, 2-этилгексил- и децилметакрилата; метил-, этил-, пропил-, н-бутил-, изобутил-трет-бутил-, 2-этилгексил- и децилэтакрилата; 2,3-дигидроксипропилакрилата; 2,3-дигидроксипропилметакрилата; 2-дигидроксиэтилакрилата; гидроксипропилакрилата; 2-гидроксиэтилметакрилата; 2-гидроксиэтилэтакрилата; 2-метоксиэтилакрилата; 2-этоксиэтилметакрилата; 2-этоксиэтилэтакрилата; гидроксипропилметакрилата; глицерилмоноакрилата; глицерилмонометакрилата; полиалкиленгликоль(мет)акрилатов; ненасыщенных сульфокислот; акриламида; метакриламида; этакриламида; N, N-диметилакриламида; N-этилакриламида; N-этилметакриламида; 1-винилимидазола; N, N-диметиламиноэтил(мет)акрилата; малеиновой кислоты; фумаровой кислоты; малеинового ангидрида и его сложных моноэфиров; кротоновой кислоты; итаконовой кислоты; простых виниловых эфиров; винилформамида; виниламина; винилпиридина; винилимидазола; винилфурана; стирола; стиролсульфоната; аллилового спирта и их смесей. 4. Композиция по любому из пп. 1-3, отличающаяся тем, что силиконовые производные (б) выбирают из диметиконсополиолов или силиконовых поверхностно-активных веществ. 5. Композиция по любому из пп. 1-4, отличающаяся тем, что она включает 0,1-20 мас. % сополимера силикона и акрилата, более предпочтительно 0,5-10 мас. % этого сополимера. 6. Композиция по любому из пп. 1-5, отличающаяся тем, что фотозащитный компонент выбирают из группы, состоящей из (1) производных дибензоилметана; (2) активных в отношении ультрафиолетовых лучей спектра А фильтров следующей формулы (1) ![]() в которой R7 и R9, одинаковые или разные, означают атом водорода, атом галогена, радикал ОН; насыщенный или ненасыщенный, линейный или разветвленный (C1-С10)-алкильный радикал; насыщенный или ненасыщенный, линейный или разветвленный (C1-С10)-алкоксильный радикал или группу НSO3; R10 означает атом водорода или группу НSO3; R8 означает гидроксил; группу OR11, где R11 означает насыщенный или ненасыщенный, линейный или разветвленный (C1-С10)-алкильный радикал; или же группу следующей структуры ![]() в которой R12 означает атом водорода или группу НSO3; или же группу следующей формулы ![]() или же группу следующей формулы ![]() в которых Z означает атом кислорода или радикал -NH-; R13, R14, R15 и R16, одинаковые или разные, означают атом водорода, атом галогена, радикал ОН; насыщенный или ненасыщенный, линейный или разветвленный (С1-С10)-алкильный радикал; насыщенный или ненасыщенный, линейный или разветвленный (С1-С10)-алкоксильный радикал или группу НSO3; (3) активных в отношении ультрафиолетовых лучей спектра А фильтров бензимидазольного или бензоксазольного типа следующей формулы (II) ![]() в которой W означает атом кислорода или радикал -NH-; R17 означает атом водорода или группу НSO3; R18 означает линейный или разветвленный алкоксильный радикал, содержащий около 1-10 атомов углерода, или группу следующей формулы ![]() где Y означает атом кислорода или радикал -NH-; R19 означает атом водорода или группу НSO3; (4) производных бензофенона следующей формулы (III) ![]() в которой R20 означает атом водорода или насыщенный или ненасыщенный, линейный или разветвленный (C1-С10)-алкильный радикал; R21 и R22, одинаковые или разные, означают атом водорода, атом галогена, радикал ОН, насыщенный или ненасыщенный, линейный или разветвленный (C1-C10)-алкильный радикал; насыщенный или ненасыщенный, линейный или разветвленный (C1-С10)-алкоксильный радикал или группу НSO3; R23 означает атом водорода; гидроксил; насыщенный или ненасыщенный, линейный или разветвленный (С1-С10)-алкильный радикал или насыщенный или ненасыщенный, линейный или разветвленный (C1-С10)-алкоксильный радикал; R24 означает ОН, атом водорода или насыщенный или ненасыщенный, линейный или разветвленный (С1-С10)-алкильный радикал; (5) силановых производных или полиорганосилоксанов с бензофеноновой группой; (6) антранилатов; (7) бензотриазолов и содержащих бензотриазольные группы силиконов; (8) их смесей. 7. Композиция по любому из пп. 1-6, отличающаяся тем, что фотозащитный компонент выбран из группы, состоящей из производных коричной кислоты, 2-этилгексил-п-метоксициннамата, триазиновых производных, в особенности 2,4,6-трис[п-(2′-этилгексил-1′-оксикарбонил)анилино] -1,3,5-триазина, салицилатов, в частности метил- или октилсалицилата, п-аминобензоатов или п-диметиламинобензоатов, алкил-2-циано-3,3-дифенилакрилата, нанопигментов из группы оксидов металлов, или их смесей. 8. Композиция по любому из пп. 1-5, отличающаяся тем, что фотозащитный компонент выбирают из группы, состоящей из 3,4′-метилбензилиденкамфоры, 3-бензилиденкамфоры, метилсульфата 3,4′-триметиламмонийбензилиденкамфоры и 3-(4′-сульфобензилиден)камфорной кислоты и ее солей. 9. Композиция по любому из пп. 1-8, отличающаяся тем, что она содержит по крайней мере одну добавку, выбираемую из анионактивных, катионактивных, неионогенных или амфотерных поверхностно-активных веществ, отдушек, консервантов, протеинов, витаминов, полимеров, отличных от полимеров согласно изобретению, растительных, минеральных или синтетических масел. 10. Композиция по любому из пп. 1-9 для получения косметического средства, в частности средства для волос. 11. Композиция по любому из пп. 1-9, для кожи, ногтей, губ, волос, бровей и ресниц. 12. Способ сохранения или создания прически, отличающийся тем, что он включает нанесение композиции по любому из пп. 1-11. MM4A Досрочное прекращение действия патента Российской Федерации на изобретение из-за неуплаты в установленный срок пошлины за поддержание патента в силе
Дата прекращения действия патента: 16.09.2003
Извещение опубликовано: 10.05.2005 БИ: 13/2005
|
||||||||||||||||||||||||||


, фирмой Рон-Пуленк под названием Alkasil




















, салицилаты, и в частности, метил- или октилсалицилат, п-аминобензоаты или п-диметиламинобензоаты, алкил-2-циано-3,3-дифенилакрилат, нанопигменты из группы оксидов металлов или их смеси.
Косметические композиции согласно изобретению могут еще содержать в качестве фотозащитных компонентов пигменты или же нанопигменты (средний размер первичных частиц обычно составляет 5-100 нм, предпочтительно 10-50 нм) из группы оксидов металлов, с защитным покрытием или без таковых, как, например, нанопигменты из группы диоксида титана (аморфного или кристаллического в рутильной и/или анатазной форме), оксида железа, оксида цинка, диоксида циркония или диоксида церия, которые все являются хорошо известными фотозащитными компонентами от ультрафиолетового излучения. Классическими средствами для защитного покрытия являются, кроме того, оксид алюминия и/или стеарат алюминия. Такие нанопигменты из группы оксидов металлов, с защитным покрытием или без него, описываются, например, в заявках на Европейские патенты А-0518772 и А-0518773.
Косметически приемлемая среда предпочтительно образована водой или одним или несколькими косметически приемлемыми растворителями, такими как спирты, или смесями вода-растворитель (растворители), причем этими растворителями предпочтительно являются спирты с 1-4 атомами углерода.
Из этих спиртов можно назвать этанол, изопропанол. Особенно предпочтителен этанол.
Композиция согласно изобретению также может содержать по крайней мере одну добавку, выбираемую из анионоактивных, катионоактивных, неионогенных или амфотерных поверхностно-активных веществ, отдушек, фильтров, консервантов, белков, витаминов, полимеров, других, чем таковые согласно изобретению, растительных, минеральных или синтетических масел и любой другой добавки, обычно используемой в косметических композициях.
Разумеется, специалист должен выбирать добавляемое к композиции возможное соединение или добавляемые к композиции возможные соединения согласно изобретению таким образом, чтобы не ухудшать или существенно не ухудшать за счет предусматриваемого добавления полезных свойств, присущих композиции согласно изобретению.
Эти композиции могут быть помещены в различные упаковки, например во флаконы с дозаторами или в аэрозольные баллоны, чтобы обеспечить нанесение композиции в распыленной форме или в виде мусса. Такие формы упаковки рекомендуются, например, когда хотят получить спрей, лак или мусс для фиксации или ухода за волосами. Композиции согласно изобретению также могут находиться в форме кремов, гелей, эмульсий, лосьонов или восков.
Когда композиция согласно изобретению находится в форме аэрозоля для получения лака или мусса, она содержит по крайней мере один пропеллент, который может быть выбран из летучих углеводородов, таких как н-бутан, пропан, изобутан, пентан, галогенированный углеводород и их смеси. В качестве пропеллента также можно использовать диоксид углерода, закись азота, диметиловый эфир (ДМЭ), азот, сжатый воздух. Также можно использовать смеси пропеллентов. Предпочтительно используют диметиловый эфир.
Пропеллент предпочтительно находится в концентрации 5-90 мас.% по отношению к общей массе композиции в аэрозольной упаковке и более предпочтительно в концентрации 10-60 мас.%.
Композиции согласно изобретению особенно применимы в случае сухих или влажных волос в качестве средств для укладки волос.
Композиции согласно изобретению можно наносить на кожу, ногти, губы, волосы, брови и ресницы.
Изобретение более полно иллюстрируется с помощью следующего примера, не ограничивающего объема охраны изобретения.
Все проценты представляют собой массовые проценты по отношению к общей массе композиции.
Пример











