Патент на изобретение №2200534
|
||||||||||||||||||||||||||
(54) КОМПОЗИЦИЯ ДЛЯ УКЛАДКИ ВОЛОС, СОДЕРЖАЩАЯ ПОЛИМЕР С ОСОБЫМИ ХАРАКТЕРИСТИКАМИ И НЕИОННЫЙ ПОЛИМЕР
(57) Реферат: Предметом изобретения является композиция для укладки волос, содержащая в косметически приемлемой среде: (1) по меньшей мере один полимер (А), выбираемый таким образом, что пленка, полученная при высыхании смеси этого полимера (А) с этанолом или водой при комнатной температуре и при относительной степени влажности 50%, имеет механический профиль, определяемый по меньшей мере: (i) коэффициентом удлинения при разрыве ( r), большем или равным 300%; (ii) коэффициентом восстановления через 300 с (R300), большим или равным 45%, и (iii) когда коэффициент восстановления через 300 с составляет от 45 до 60%, тогда удлинение меньше 1300%; (2) по меньшей мере один неионный пленкообразующий полимер (В), отличный от полимера (А); аэрозольное устройство, содержащее композицию согласно изобретению, а также способ сохранения прически или придания прическе формы при помощи этой композиции. Технический результат: композиция согласно изобретению придает волосам помимо длительной фиксации хорошие косметические свойства, в частности хорошую расчесываемость, мягкость и приятный внешний вид. 3 с. и 7 з.п. ф-лы, 2 табл.
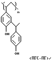
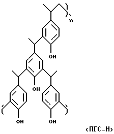
Предметом изобретения является композиция для укладки волос, содержащая в косметически приемлемой среде по меньшей мере один полимер (А) с особыми характеристиками и по меньшей мере один полимер (В), пленкообразующий и неионный. Равным образом предметом изобретения являются способ придания прическе формы или сохранения прически при помощи этой композиции, а также ее применение для получения средств для укладки волос, таких как лаки, спреи или пены, с целью обеспечения сохранения прически или придания ей формы. Средствами для волос, предназначенными для фиксации волос, наиболее распространенными на рынке косметики, являются композиции для распыления в аэрозольной упаковке или во флаконах с насосом, такие как лаки, спреи или пены, представляющие собой, по существу, раствор, наиболее часто спиртовой или водно-спиртовой, пленкообразующего полимера, растворимого в воде или в спирте, в смеси с различными косметическими добавками. Однако эти составы для волос, такие как пены, гели и, особенно, спреи и лаки в аэрозольной упаковке, предназначенные для сохранения формы прически, еще не придают прическе достаточной устойчивости к различным естественным движениям, таким как ходьба, движения головой или порывы ветра. Полимеры, используемые в рецептуре этих средств для волос, представляют собой анионные, амфотерные или неионные пленкообразующие полимеры, которые приводят к образованию пленок, по своему поведению более или менее твердых и ломких. Когда полимер слишком ломкий, процент удлинения при разрыве, измеренный на пленке, низкий, то есть обычно ниже 2%, и устойчивость прически во времени не обеспечивается. Чтобы устранить эту проблему, уже были сделаны попытки смешать эти полимеры с пластификаторами, с результате чего были получены более гибкие и не хрупкие покрытия. Однако эти пленки являются деформируемыми и пластичными, то есть после деформации они только очень незначительно восстанавливают их исходную форму. Если устойчивость прически и улучшилась, она еще не является достаточной, так как форма прически изменяется во времени. Более удовлетворительные результаты в смысле устойчивости были получены с композициями, содержащими комбинацию пленкообразующих полимеров, таких как, например, целлюлозный полимер и акриловый полимер. Однако эти композиции также не в полной мере удовлетворяют ожиданиям, поскольку волосы теряют некоторые из их природных косметических свойств. Следовательно, существует необходимость в косметических композициях для сохранения и/или фиксации прически, которые придавали бы волосам, помимо длительной фиксации, хорошие косметические свойства, в частности, хорошую расчесываемость, мягкость и приятный внешний вид. Заявитель удивительным образом и неожиданно обнаружил, что можно устранить технические проблемы, упоминавшиеся выше, используя некоторые специфические комбинации полимеров. Предметом изобретения является композиция для причесывания, содержащая в косметически приемлемой среде: (1) по меньшей мере один полимер (А), выбираемый таким образом, что пленка, полученная при высыхании смеси этого полимера (А) с этанолом или водой при комнатной температуре и при относительной влажности 50%, имеет механический профиль, определяемый по меньшей мере: (i) коэффициентом удлинения при разрыве ( r), большем или равным 300%;(ii) коэффициентом восстановления через 300 секунд (R300), большем или равным 45%; и (iii) когда коэффициент восстановления через 300 секунд составляет от 45 до 60%, тогда удлинение меньше 1300%; (2) по меньшей мере один неионный пленкообразующий полимер (В), отличный от полимера (А) и выбираемый среди: – полиалкилоксазолинов; – гомополимеров винилацетата; – сополимеров винилацетата и сложного эфира акриловой кислоты; – сополимеров винилацетата и этилена; – сополимеров винилацетата и сложного эфира малеиновой кислоты; – сополимеров полиэтилена и малеинового ангидрида; – гомополимеров алкилакрилатов и гомополимеров алкилметакрилатов; – сополимеров сложных эфиров акриловой кислоты, таких как, например, сополимеры алкилакрилатов и алкилметакрилатов; – сополимеров акрилонитрила и неионного мономера, выбираемого среди бутадиена и алкил(мет)акрилатов; – сополимеров алкилакрилата и уретана; – гуаровых камедей; – полимеров на основе гидроксистирола; – гомополимеров или сополимеров виниллактамов. Другой предмет настоящего изобретения касается способа укладки волос или сохранения прически, включающий в себя использование этой композиции. Еще один предмет настоящего изобретения касается применения этой композиции при изготовлении косметических композиций для волос с целью обеспечения сохранения прически или придания прическе формы. Полимерами (А), особенно подходящими для настоящего изобретения, являются полимеры, поставляемые фирмой Goodrich под названием Avalure AC 315 и V29 .С точки зрения настоящего изобретения под пленкой, полученной сушкой при комнатной температуре (22 2oС) при относительной степени влажности 50 5%, подразумевают пленку, полученную в этих условиях, исходя из 6%-ной смеси активного вещества (а.в.) полимера А с этанолом или водой, причем количество смеси подобрано таким образом, чтобы получить в тефлоновой матрице пленку толщиной 500 50 мкм. Сушку проводят до тех пор, пока не прекратится изменение массы пленки, что соответствует приблизительно 12 дням. Полимеры А, растворимые или частично растворимые в этаноле, испытывают в этаноле. Другие полимеры испытывают в воде в растворенной или в диспергированной форме.
С точки зрения настоящего изобретения коэффициент удлинения при разрыве и коэффициент восстановления оценивают посредством испытаний, описанных ниже.
Для проведения испытаний на растяжение пленку разрезают на образцы прямоугольной формы длиной 80 мм и шириной 15 мм.
Испытания осуществляют на приборе, выпускаемом под названием Lloyd или выпускаемом под названием Zwick, в тех же самых условиях температуры и влажности, что и при сушке, то есть при температуре 22 2oС и относительной степени влажности 50 5%.
Образцы растягивают со скоростью 20 мм/мин, расстояние между губками составляет 50 1 мм.
Для определения мгновенного коэффициента восстановления (Ri) поступают следующим образом:– растягивают образец на 150% ( max), то есть в 1,5 раза по сравнению с его исходной длиной (I0);– ослабляют растягивающее усилие, задавая скорость возврата, равную скорости растяжения, или 20 мм/мин, и измеряют удлинение образца в процентах после возвращения к нулевой нагрузке ( i).Мгновенный коэффициент восстановления в % (Ri) определяется следующей формулой: Ri = (( max– i)/ max) 100.Для определения коэффициента восстановления через 300 секунд образец, подвергнутый предыдущим операциям, выдерживают при нулевом растягивающем усилии в течение дополнительных 300 секунд и измеряют его коэффициент удлинения в процентах ( 300).Коэффициент восстановления через 300 секунд в % (R300) определяется следующей формулой: R300 = (( max– 300)/ max) 100.Неионные пленкообразующие полимеры (В), используемые согласно настоящему изобретению, выбирают, предпочтительно, среди: – гомополимеров винилпирролидона и винилкапролактама; – сополимеров винилпирролидона и винилацетата; – полиалкилоксазолинов, таких как полиэтилоксазолины, предлагаемые фирмой DOW CHEMICAL под названиями РЕОХ 50000, РЕОХ 200000 и РЕОХ 500000; – гомополимеров винилацетата, таких как продукт, предлагаемый под названием APPRETAN ЕМ фирмой HOECHST или продукт, предлагаемый под названием RHODOPAS А 012 фирмой RHONE POULENC; – сополимеров винилацетата и сложного эфира акриловой кислоты, такого как продукт, предлагаемый под названием RHODOPAS AD 310 фирмой RHONE POULENC; – сополимеров винилацетата и этилена, таких как продукт, предлагаемый под названием APPRETAN TV фирмой HOECHST; – сополимеров винилацетата и сложного эфира малеиновой кислоты, например дибутилмалеата, таких как продукт, предлагаемый под названием APPRETAN MB EXTRA фирмой HOECHST; – сополимеров полиэтилена и малеинового ангидрида; – гомополимеров алкилакрилатов и гомополимеров алкилметакрилата, таких как продукт, предлагаемый под названием MICROPEARL RQ 750 фирмой MATSUMOTO, или продукт, предлагаемый под названием LUHYDRAN А 848 S фирмой BASF; – сополимеров сложных эфиров акриловой кислоты, таких как, например, сополимеры алкилакрилатов и алкилметакрилатов, таких как продукты, предлагаемые фирмой ROHM & HAAS под названиями PRIMAL AC-261 К и EUDRAGIT NE 30 D, фирмой BASF под названиями ACRONAL 601, LUHYDRAN LR 8833 или 8845, фирмой HOECHST под названиями APPRETAN N 9213 или N 9212; – сополимеров акрилонитрила и неионного мономера, выбираемого, например, среди бутадиена и алкил(мет)акрилатов, можно назвать продукты, предлагаемые под названиями NIPOL LX 531 В фирмой NIPPON ZEON, или продукты, предлагаемые под названием CJ 0601 В фирмой ROHM & HAAS; – полиуретанов, таких как продукты, предлагаемые под названиями ACRYSOL RM 1020 или ACRYSOL RM 2020 фирмой ROHM & HAAS, продукты URAFLEX ХР 401 UZ, URAFLEX ХР 402 UZ фирмой DSM RESINS; – сополимеров алкилакрилата и уретана, таких как продукт 8538-33, предлагаемый фирмой NATIONAL STARCH; – полиамидов, таких как продукт ESTAPOR LO 11, предлагаемый фирмой RHONE POULENC; – неионных гуаровых камедей, химически модифицированных или немодифицированных. Немодифицированные неионные гуаровые камеди представляют собой, например, продукты, выпускаемые под названием VIDOGUM GH 175 фирмой UNIPECTINE и под названием JAGUAR фирмой MEYHALL. Модифицированные неионные гуаровые камеди, используемые согласно изобретению, предпочтительно модифицированы гидроксиалкильными группами, содержащими от 1 до 6 атомов углерода. В качестве примера можно упомянуть гидроксиметильную, гидроксиэтильную, гидроксипропильную и гидроксибутильную группы. Эти гуаровые камеди хорошо известны в уровне техники и могут быть получены, например, путем введения в реакцию соответствующих алкиленоксидов, таких как, например, пропиленоксид, с гуаровой камедью таким образом, чтобы получить гуаровую камедь, модифицированную гидроксипропильными группами. Такие неионные гуаровые камеди, в известных случаях модифицированные гидроксиалкильными группами, выпускаются, например, под торговыми названиями JAGUAR HP8, JAGUAR HP60 и JAGUAR HP120, JAGUAR DC 293 и JAGUAR HP 105 фирмой MEYHALL или под названием GALACTASOL 4H4FD2 фирмой AQUALON. Если не указано иное, алкильные радикалы неионных полимеров содержат от 1 до 6 атомов углерода. Согласно изобретению можно также использовать неионные пленкообразующие полимеры, полученные на основе гидроксистирола, и, в частности, полимеры, которые могут быть получены сополимеризацией: (i) по меньшей мере одного гидроксистирольного мономера, одного из его предшественников или одной из его солей, при этом фенильная группа этого мономера содержит по меньшей мере одну гидроксильную группу и, в известных случаях, замещена одним или несколькими радикалами, выбираемыми в группе, включающей в себя (C1-C12)-алкилы, (C1-C12)-алкоксиалкилы, галогены, SО3Н, (C2-C12)-ациламиногруппы, карбоксильные группы, (C1-C12)-карбоксиалкилы, и (ii) по меньшей мере одного другого мономера, сополимеризуемого с вышеупомянутым гидроксистирольным мономером, одним из его предшественников или одной из его солей, причем этот другой мономер выбирают в группе, включающей в себя акриловые мономеры, метакриловые мономеры и их производные, в частности, алкилакрилаты или алкилметакрилаты с линейной, циклической или разветвленной алкильной группой, содержащей от 1 до 10 атомов углерода, такие как метил-, этил-, пропил-, бутил-, изобутил-, трет-бутил- и 2-этилгексилакрилаты или метакрилаты, N-замещенные или N,N’-замещенные акриламиды или метакриламиды, виниловые мономеры, такие как винилгалогениды, сложные виниловые эфиры, в частности винилбензоат, трет-винилбензоат или винилацетат. Виниловые, акриловые или метакриловые мономеры могут содержать одну или несколько силоксановых групп. В этом случае их выбирают, в частности, в группе, включающей в себя: – мономеры формулы СН2=С(СН3)-С-O-(СН2)3-Si-O-Si(СН3)2-СН3, – кремнийсодержащие макромономеры с монофункциональной концевой группой, такой как винильная, аллильная, остаток сложного эфира, простого эфира или амида акриловой или метакриловой кислоты формулы CH2=C(R1)-C-X-R2-Si(CH3)(R4)- O-Si(СН3)2-R3, в которой R1 обозначает Н или СН3, Х обозначает О или NH, R2 обозначает (СН2)р, где р обозначает целое число, которое может быть нулем, R3 и R4 обозначают, независимо, СН3 или алифатическую, циклоалифатическую или ароматическую группу, содержащую от 1 до 12 атомов углерода; виниловый мономер, аллиловый мономер, мономер сложного эфира, простого эфира или амида акриловой или метакриловой кислоты, содержащий одну или несколько галогенсодержащих групп, в частности хлорированных и/или фторированных, и/или содержащий группу, поглощающую в УФ-А и/или УФ-В области спектра, в частности бензилиденкамфорную или бензотриазольную группы, замещенные или незамещенные. Полимеры гидроксистирольного типа могут быть также получены реакцией гомополимеризации, которая предпочтительно может быть осуществлена, исходя из ацетоксистирола, с получением поли-п-ацетоксистирола, который подвергают последующему гидролизу. Она может быть также осуществлена в кислой среде, исходя из 4-гидроксифенилметилкарбинола. Согласно этому способу осуществления изобретения полимер предпочтительно представляет собой гомополимер, принадлежащий к семейству поли-п-гидроксистирола, и предпочтительно выбирают поли-4-гидроксистирол. С точки зрения настоящего изобретения под термином “предшественник гидроксистирольного мономера” подразумевают любое фенольное производное, способное приводить к гидроксистиролу в результате реакции разложения в кислой среде, в частности в результате дегидратации в кислой среде. В качестве примера предшественником может быть ацетоксистирол или 4-гидроксифенилметилкарбинол, и реакция разложения в этом случае может быть схематически представлена следующим образом: ![]() ПГС-Е представляет собой гомополимер, отвечающий формуле ![]() ПГС-Е получают исходя из ацетоксистирола посредством радикальной полимеризации и последующего гидролиза. Его молекулярная масса составляет от 8000 до 100000 г/моль. ПГС-Е является линейным полимером. ПГС-ПГ представляет собой полимер, отвечающий формуле ![]() ПГС-ПГ получают путем каталитической полимеризации в кислой среде исходя из 4-гидроксифенилметилкарбинола. Его молекулярная масса составляет от 4000 до 7000 г/моль. ПГС-Н представляет собой полимер, отвечающий формуле ![]() ПГС-Н получают путем каталитической полимеризации 4-гидроксифенилметилкарбинола в кислой среде. Его молекулярная масса составляет от 4000 до 7000 г/моль. ПГС-ПГ-Л представляет собой полимер, имеющий ту же самую брутто формулу, что и ПГС-Е. Однако способ его получения отличается, так как полимеризацию осуществляют исходя из гидроксистирольных мономеров. В композициях согласно изобретению пленкообразующий полимер или пленкообразующие полимеры (А) присутствуют предпочтительно в концентрациях, составляющих от 0,05 до 20 мас.%, более предпочтительно в интервале от 0,1 до 15 мас.% и наиболее предпочтительно от 0,25 до 10 мас.% по отношению к общей массе композиции. В композициях согласно изобретению пленкообразующий полимер или пленкообразующие полимеры (В) присутствуют предпочтительно в концентрациях, составляющих от 0,05 до 20 мас.%, более предпочтительно в интервале от 0,1 до 15 мас.% и наиболее предпочтительно от 0,25 до 10 мас.% по отношению к общей массе композиции. Предпочтительно концентрации полимеров (А) и (В) выбирают таким образом, что отношение концентрации полимера (А) к концентрации полимера (В) находится в интервале от 4000 до 0,002. Косметически приемлемая среда предпочтительно представляет собой воду или один, или несколько косметически приемлемых растворителей, таких как спирты, или смеси вода-растворитель(и), причем эти растворители предпочтительно являются спиртами, содержащими от 1 до 4 атомов углерода. Среди этих спиртов можно назвать этанол, изопропанол. Этанол является особенно предпочтительным. Композиция согласно изобретению может также содержать по меньшей мере одну добавку, выбираемую среди загустителей, поверхностно-активных веществ, отдушек, консервантов, солнцезащитных фильтров, протеинов, витаминов, минеральных или синтетических полимеров, не обладающих фиксирующими свойствами, и любую другую добавку, обычно используемую в косметических композициях, предназначенных для нанесения на волосы. Разумеется, специалист должен выбирать возможное соединение или возможные соединения для добавления в композицию согласно изобретению таким образом, чтобы полезные свойства, внутренне присущие композиции согласно изобретению, не изменялись или существенным образом не изменялись при предполагаемом добавлении. Эти композиции могут быть представлены в различных формах, в частности для того, чтобы обеспечить нанесение композиции в распыленной форме или в форме пены, во флаконах с насосом или в аэрозольных баллончиках. Такие формы упаковки используют, например, когда хотят получить спрей, лак или пену для фиксации или лечения волос. Композиции согласно изобретению могут также находиться в форме кремов, гелей, эмульсий, лосьонов или восков. Когда с целью получения лака или пены композицию согласно изобретению упаковывают в форме аэрозоля, она содержит по меньшей мере один пропеллент, который может быть выбран среди летучих углеводородов, таких как н-бутан, пропан, изобутан, пентан, хлорированный и/или фторированный углеводород и их смеси. В качестве пропеллента можно также использовать углекислый газ, закись азота, простой диметиловый эфир (ДМЭ), азот, сжатый воздух. Можно также использовать смеси пропеллентов. Предпочтительно используют простой диметиловый эфир. Предпочтительно пропеллент присутствует в концентрации от 5 до 90 мас.% по отношению к общей массе композиции в аэрозольном устройстве и, более конкретно, в концентрации от 10 до 60 мас.%. Композиции согласно изобретению могут быть нанесены на сухие или влажные волосы. Изобретение будет более полно проиллюстрировано при помощи следующего примера, не носящего ограничительного характера. Все процентные содержания представляют собой относительные массовые процентные содержания по отношению к общей массе композиции, и а.в. обозначает активное вещество. ПРИМЕР Готовят композицию для укладки волос согласно настоящему изобретению, содержащую в качестве полимера (A) Avalure АС315 и в качестве полимера (В) поливинилкапролактам, и композицию, соответствующую известному уровню техники, содержащую в качестве полимера (A) Avalure AC315 и в качестве полимера (В) этилцеллюлозу. В следующей ниже таблице 1 представлены приготовленные составы. Две композиции, упакованные в форме аэрозоля (композиция, ДМЭ 35%), наносят на пряди каштановых волос длиной 18 см, массой 20 г. Мягкость и легкость расчесывания волос после нанесения этих композиций на волосы оценивает комиссия из 5 человек посредством осязательного теста. Присуждаемые оценки изменяются в диапазоне от 0 (плохая характеристика) до 50 (отличная характеристика). Оцениваемая расчесываемость представляет собой легкость повторного прохождения расчески после первого расчесывания, предназначенного для разрушения структур полимер-волос. Полученные результаты представлены в таблице 2, приведенной ниже. Из этого следует, что композиции согласно изобретению обеспечивают лучшие результаты в том, что касается мягкости и расчесываемости, чем композиции, соответствующие известному уровню техники. Формула изобретения
r), большим или равным 300%; (ii) коэффициентом восстановления через 300 с (R300), большим или равным 45%, и (iii) когда коэффициент восстановления через 300 с составляет от 45 до 60%, тогда удлинение меньше 1300%; (2) от 0,05 до 20 мас. % по меньшей мере одного неионного пленкообразующего полимера (В), отличного от полимера (А) и выбираемого из: полиалкилоксазолинов; гомополимеров винилацетата; сополимеров винилацетата и сложного эфира акриловой кислоты; сополимеров винилацетата и этилена; сополимеров винилацетата и сложного эфира малеиновой кислоты; сополимеров полиэтилена и малеинового ангидрида; гомополимеров алкилакрилатов и гомополимеров алкилметакрилатов; сополимеров сложных эфиров акриловой кислоты, таких, как, например, сополимеры алкилакрилатов и алкилметакрилатов; сополимеров акрилонитрила и неионного мономера, выбираемого из бутадиена и алкил(мет)акрилатов; сополимеров алкилакрилата и уретана; гуаровых камедей; полимеров на основе гидроксистирола и гомополимеров или сополимеров виниллактамов.
2. Композиция по п. 1, отличающаяся тем, что полимеры (В), происходящие из гидроксистирола, представляют собой линейные или разветвленные полимеры, которые могут быть получены способом, включающим в себя гомополимеризацию или сополимеризацию по меньшей мере одного гидроксистирольного мономера, одного из его предшественников или одной из его солей, при этом фенильная группа этого мономера содержит по меньшей мере одну гидроксильную группу и, в известных случаях, замещена одним или несколькими радикалами, выбираемыми из группы, включающей в себя (С1-С12)алкилы, (С1-С12)алкоксиалкилы, галогены, SO3H, (С2-С12)ациламиногруппы, карбоксильные группы, (С1-С12)карбоксиалкилы.
3. Композиция по п. 2, отличающаяся тем, что пленкообразующий полимер (В) может быть получен сополимеризацией: (i) по меньшей мере одного гидроксистирольного мономера, одного из его предшественников или одной из его солей, при этом фенильная группа этого мономера содержит по меньшей мере одну гидроксильную группу и в известных случаях замещена одним или несколькими радикалами, выбираемыми из группы, включающей в себя (С1-С12)алкилы, (С1-С12)алкоксиалкилы, галогены, SO3H, (С2-С12)ациламиногруппы, карбоксильные группы, (С1-С12)карбоксиалкилы, и (ii) по меньшей мере одного другого мономера, сополимеризуемого с вышеупомянутым гидроксистирольным мономером, одним из его предшественников или одной из его солей, причем этот другой мономер выбирают из группы, включающей в себя акриловые и метакриловые мономеры или их производные, в частности алкилакрилаты или алкилметакрилаты с линейной, циклической или разветвленной алкильной группой, содержащей от 1 до 10 атомов углерода, N-замещенные или N, N’-замещенные акриламиды или метакриламиды, виниловые мономеры, такие, как винилгалогениды, сложные виниловые эфиры, в частности винилбензоат, трет-винилбензоат или винилацетат.
4. Композиция по любому из предыдущих пунктов, отличающаяся тем, что пленкообразующий полимер или пленкообразующие полимеры (А) присутствуют в концентрациях, составляющих от 0,1 до 15% мас. %, и более предпочтительно – от 0,25 до 10 мас. %, по отношению к общей массе композиции.
5. Композиция по любому из предыдущих пунктов, отличающаяся тем, что пленкообразующий полимер или пленкообразующие полимеры (В) присутствуют в концентрациях, составляющих от 0,1 до 15 мас. %, и более предпочтительно – от 0,25 до 10 мас. %, по отношению к общей массе композиции.
6. Композиция по любому из предыдущих пунктов, отличающаяся тем, что отношение концентрации полимера (А) к концентрации полимера (В) находится в интервале от 4000 до 0,002.
7. Композиция по любому из предыдущих пунктов, отличающаяся тем, что она дополнительно содержит обычные косметические добавки, выбираемые из группы, состоящей из жиров, загустителей, смягчающих средств, веществ, препятствующих пенообразованию, увлажняющих компонентов, антиперспирантов, подщелачивающих агентов, красителей, пигментов, отдушек, консервантов, поверхностно-активных веществ, протеинов и витаминов.
8. Композиция по любому из пп. 1-7, отличающаяся тем, что ее используют для изготовления косметического средства для волос, предназначенного для сохранения и/или фиксации прически.
9. Аэрозольное устройство, состоящее из резервуара, содержащего композицию по любому из предыдущих пунктов и газ-пропеллент, а также приспособление для распределения композиции.
10. Способ сохранения прически или придания прическе формы, отличающийся тем, что используют композицию по любому из пп. 1-7.
РИСУНКИ
MM4A – Досрочное прекращение действия патента СССР или патента Российской Федерации на изобретение из-за неуплаты в установленный срок пошлины за поддержание патента в силе
Дата прекращения действия патента: 19.11.2007
Извещение опубликовано: 20.07.2010 БИ: 20/2010
|
||||||||||||||||||||||||||

r), большем или равным 300%; (ii) коэффициентом восстановления через 300 с (R300), большим или равным 45%, и (iii) когда коэффициент восстановления через 300 с составляет от 45 до 60%, тогда удлинение меньше 1300%; (2) по меньшей мере один неионный пленкообразующий полимер (В), отличный от полимера (А); аэрозольное устройство, содержащее композицию согласно изобретению, а также способ сохранения прически или придания прическе формы при помощи этой композиции. Технический результат: композиция согласно изобретению придает волосам помимо длительной фиксации хорошие косметические свойства, в частности хорошую расчесываемость, мягкость и приятный внешний вид. 3 с. и 7 з.п. ф-лы, 2 табл.
и V29
2oС) при относительной степени влажности 50
100.


